Sign in to use this feature.

Years

Between: -

Subjects

remove_circle_outline
remove_circle_outline
remove_circle_outline
remove_circle_outline
remove_circle_outline
remove_circle_outline
remove_circle_outline
remove_circle_outline
remove_circle_outline

Journals

Article Types

Countries / Regions

Search Results (79)

Search Parameters:
Keywords = Tpl2

Order results
Result details
Results per page
Select all
Export citation of selected articles as:
22 pages, 11139 KB  
Article
Genome-Wide Identification, Drought-Responsive Expression, and EAR-Mediated Regulatory Network Construction of TOPLESS Genes in Populus ussuriensis Kom.
by Wanxin Li, Qianqian Liu, Jingru Ren, Zihan Fan, Tabeer Gulfam, Zhongzheng Ma and Jingli Yang
Plants 2025, 14(20), 3213; https://doi.org/10.3390/plants14203213 - 19 Oct 2025
Viewed by 322
Abstract
Drought stress significantly impairs plant growth and productivity, which triggers complex adaptive responses mediated by diverse gene families. Among these, the TOPLESS (TPL)/TPL-related (TPR) family of transcriptional corepressors plays a crucial role by recruiting epigenetic modifiers through interactions with EAR motif-containing proteins. However, [...] Read more.
Drought stress significantly impairs plant growth and productivity, which triggers complex adaptive responses mediated by diverse gene families. Among these, the TOPLESS (TPL)/TPL-related (TPR) family of transcriptional corepressors plays a crucial role by recruiting epigenetic modifiers through interactions with EAR motif-containing proteins. However, genome-wide studies of this corepressor family and its associated regulatory networks with EAR motif-containing repressors remain limited. This study aimed to characterize the TPL/TPR transcriptional corepressor family in Populus ussuriensis Kom., elucidate their regulatory networks with EAR motif-containing repressors, and validate their functional roles in drought stress adaptation. To this end, we identified 21 TPL/TPR genes in P. ussuriensis (PuTPLs), classified them into five subfamilies, and found they are evolutionarily conserved with Arabidopsis thaliana and Populus trichocarpa, harboring characteristic CTLH and WD40 domains. Given that TPL/TPR proteins are recruited by transcription factors containing repression motifs, we constructed a putative TPL/TPR-EAR motif interaction network representing a core paradigm of negative regulation. Expression profiling under drought stress showed significant upregulation of most PuTPLs in a tissue-specific and temporal manner. Functional validation using transgenic P. ussuriensis lines overexpressing five PuTPLs demonstrated enhanced drought tolerance, evidenced by reduced electrolyte leakage and malondialdehyde content and increased proline accumulation. Our study provides the first comprehensive genome-wide analysis of the TPL/TPR family in P. ussuriensis, establishes a core EAR-mediated negative regulatory network, and validates the critical role of these genes in drought stress adaptation, providing valuable resources for future mechanistic research and breeding of stress-resistant trees. Full article
Show Figures

Figure 1

11 pages, 1830 KB  
Article
Increased EGFR/HER2 Pathway Activation Contributes to Skin Tumorigenesis in Tpl2/− Mice
by Laura R. Purkey, Stefania Mehedincu, Charles Irvine, Raelyn Akdag, Megan Little, W. Wade Kothmann, Katharine Rus, Erin Greenberg, Neil Shady and Kathleen DeCicco-Skinner
Cancers 2025, 17(20), 3362; https://doi.org/10.3390/cancers17203362 - 18 Oct 2025
Viewed by 322
Abstract
Background: The mitogen-activated protein kinase (MAPK) signaling pathway is frequently dysregulated in cutaneous squamous cell carcinoma (cSCC). Tumor progression locus 2 (Tpl2), a serine/threonine protein kinase within the MAPK family, regulates cellular proliferation, survival, and inflammatory responses. Loss of Tpl2 activates [...] Read more.
Background: The mitogen-activated protein kinase (MAPK) signaling pathway is frequently dysregulated in cutaneous squamous cell carcinoma (cSCC). Tumor progression locus 2 (Tpl2), a serine/threonine protein kinase within the MAPK family, regulates cellular proliferation, survival, and inflammatory responses. Loss of Tpl2 activates compensatory signaling cascades, driving increased papilloma and cSCC development. In this study we examined whether dysregulated ErbB signaling contributes to the enhanced tumor burden found in Tpl2−/− mice. Methods: To evaluate whether aberrant ErbB signaling drives tumorigenesis in Tpl2−/− mice, wild-type (Tpl2+/+) and Tpl2−/− mice were subjected to a two-stage chemical carcinogenesis protocol for 48 weeks. A subset of mice received Gefitinib (an EGFR inhibitor) or Lapatinib (a HER2 inhibitor) in their diet. Results: We found that Tpl2 ablation increases gene expression of EGFR, HER2, and HER3, while baseline protein levels remain unchanged between Tpl2 genotypes. To investigate the possibility of microRNA (miR)-mediated post-transcriptional regulation of EGFR, HER2, and HER3, we measured ErbB-related miR expression in keratinocytes. We found that HER2/3-related miRs 205 and 21 are increased in Tpl2−/− keratinocytes. Further, Tpl2 loss enhances p-EGFR, EGFR, and HER2 protein expression in papillomas. and HER2-related microRNAs (miRs) 205 and 21 in keratinocytes, and enhances p-EGFR, EGFR, and HER2 protein expression in papillomas. Tpl2−/− mice developed 12-fold more papillomas and 4-fold more cSCCs compared to Tpl2+/+ animals. Treatment with Gefitinib or Lapatinib reduced papilloma numbers by 88% and 50%, respectively, while restoring cSCC numbers to Tpl2+/+ levels. Conclusions: These findings indicate that ErbB targeting represents a promising therapeutic strategy for cSCCs arising from MAPK pathway dysregulation. Full article
Show Figures

Figure 1

14 pages, 6055 KB  
Article
Genome-Wide Identification of TPL/TPR Gene Family in Ten Cotton Species and Function Analysis of GhTPL3 Involved in Salt Stress Response
by Ganggang Zhang, Jianguo Gao, Faren Zhu, Kailu Chen, Jiliang Fan, Lu Meng, Zihan Li, Shandang Shi and Hongbin Li
Genes 2025, 16(9), 1072; https://doi.org/10.3390/genes16091072 - 12 Sep 2025
Viewed by 617
Abstract
Background/Objectives: The TOPLESS (TPL) and TOPLESS-related (TPR) proteins represent a highly conserved class of transcriptional co-repressors in plants, playing pivotal roles in modulating growth, development, and stress responses through the repression of key transcriptional regulators. However, a comprehensive genome-wide analysis of the TPL [...] Read more.
Background/Objectives: The TOPLESS (TPL) and TOPLESS-related (TPR) proteins represent a highly conserved class of transcriptional co-repressors in plants, playing pivotal roles in modulating growth, development, and stress responses through the repression of key transcriptional regulators. However, a comprehensive genome-wide analysis of the TPL/TPR gene family and its involvement in stress responses remains unexplored in cotton. Methods: In this study, 60 TPL/TPR genes were identified from the genomes of ten Gossypium species via bioinformatics approaches, and their protein physicochemical properties, gene structures, phylogenetic relationships, cis-regulatory elements, and expression profiles were characterized. Results: Chromosomal localization and collinearity analyses revealed that segmental duplication events have contributed to the expansion of the TPL/TPR gene family. Further examination of exon–intron architectures and conserved motifs highlighted strong evolutionary conservation within each TPL/TPR subgroup. Expression profiling demonstrated that TPL/TPR genes exhibit tissue-specific expression patterns, with particularly high transcript abundance in floral organs (e.g., petals and stigmas). Cis-element analysis suggested their potential involvement in multiple stress-responsive pathways. Notably, GhTPL3 showed high constitutive expression across various tissues and under stress conditions, with the most pronounced up-regulation under salt stress. Functional validation via Virus-Induced Gene Silencing (VIGS) confirmed that GhTPL3 silencing significantly impairs cotton salt stress tolerance, underscoring its critical role in abiotic stress adaptation. Conclusions: Our findings provide novel insights into the functional diversification and regulatory mechanisms of the TPL/TPR family in cotton, offering a valuable genetic resource for breeding stress-resilient cotton varieties. Full article
(This article belongs to the Special Issue Physiological and Molecular Mechanisms of Plant Stress Response)
Show Figures

Figure 1

24 pages, 10324 KB  
Article
A Versatile Platform for Designing and Fabricating Multi-Material Perfusable 3D Microvasculatures
by Nathaniel Harris, Charles Miller and Min Zou
Micromachines 2025, 16(6), 691; https://doi.org/10.3390/mi16060691 - 8 Jun 2025
Cited by 1 | Viewed by 1829
Abstract
Perfusable microvasculature is critical for advancing in vitro tissue models, particularly for neural applications where limited diffusion impairs organoid growth and fails to replicate neurovascular function. This study presents a versatile fabrication platform that integrates mesh-driven design, two-photon lithography (TPL), and modular interfacing [...] Read more.
Perfusable microvasculature is critical for advancing in vitro tissue models, particularly for neural applications where limited diffusion impairs organoid growth and fails to replicate neurovascular function. This study presents a versatile fabrication platform that integrates mesh-driven design, two-photon lithography (TPL), and modular interfacing to create multi-material, perfusable 3D microvasculatures. Various 2D and 3D capillary paths were test-printed using both polygonal and lattice support strategies. A double-layered capillary scaffold based on the Hilbert curve was used for comparative materials testing. Methods for printing rigid (OrmoComp), moderately stiff hydrogel (polyethylene glycol diacrylate, PEGDA 700), and soft elastomeric (photocurable polydimethylsiloxane, PDMS) materials were developed and evaluated. Cone support structures enabled high-fidelity printing of the softer materials. A compact heat-shrink tubing interface provided leak-free perfusion without bulky fittings. Physiologically relevant flow velocities and Dextran diffusion through the scaffold were successfully demonstrated. Cytocompatibility assays confirmed that all TPL-printed scaffold materials supported human neural stem cell viability. Among peripheral components, lids fabricated via fused deposition modeling designed to hold microfluidic needle adapters exhibited good biocompatibility, while those made using liquid crystal display-based photopolymerization showed significant cytotoxicity despite indirect exposure. Overall, this platform enables creation of multi-material microvascular systems facilitated by TPL technology for complex, 3D neurovascular modeling, blood–brain barrier studies, and integration into vascularized organ-on-chip applications. Full article
(This article belongs to the Special Issue Microfluidic Chips for Biomedical Applications)
Show Figures

Figure 1

28 pages, 3494 KB  
Article
Research on Carbon Emission Reduction and Preservation Strategies for Fresh Agricultural Products Under Different Cost-Sharing Mechanisms
by Jianhua Wang and Xiwen Xu
Mathematics 2025, 13(8), 1225; https://doi.org/10.3390/math13081225 - 8 Apr 2025
Viewed by 473
Abstract
This study investigates the dynamic carbon emission reduction strategies in a three-tier cold chain supply system consisting of producer, third-party logistics (TPL) provider, and retailer. Using differential game theory, it explores the emission reduction and preservation strategies of supply chain members under different [...] Read more.
This study investigates the dynamic carbon emission reduction strategies in a three-tier cold chain supply system consisting of producer, third-party logistics (TPL) provider, and retailer. Using differential game theory, it explores the emission reduction and preservation strategies of supply chain members under different cost-sharing mechanisms. This study finds that when the entity with higher marginal profits shares the costs, the TPL provider increases its efforts in emission reductions and research and development (R&D) investment. The producer and retailer are more willing to enhance their emission reduction efforts when sharing emission reduction costs, which increases carbon emission reduction and decreases overall emissions. Cost-sharing for preservation enhances the TPL provider’s R&D enthusiasm but does not affect the total emission reduction. When the marginal profits of the producer and retailer reach a certain level, sharing both emission reductions and preservation costs can simultaneously improve carbon reduction and preservation quality. An emission reduction cost-sharing contract can increase corporate profits, while a preservation cost-sharing contract further enhances profitability based on emission reduction cost sharing. Furthermore, the carbon emission reduction and preservation quality of fresh products gradually increase over time and eventually stabilize. Full article
Show Figures

Figure 1

16 pages, 3135 KB  
Article
Short-Circuit Characteristic Analysis of SiC Trench MOSFETs with Dual Integrated Schottky Barrier Diodes
by Ling Sang, Xiping Niu, Zhanwei Shen, Yu Huang, Xuan Tang, Kaige Huang, Jinyi Xu, Yawei He, Feng He, Zheyang Li, Rui Jin, Shizhong Yue and Feng Zhang
Electronics 2025, 14(5), 853; https://doi.org/10.3390/electronics14050853 - 21 Feb 2025
Viewed by 1646
Abstract
A 4H-silicon carbide (SiC) trench gate metal–oxide–semiconductor field-effect transistor (MOSFET) with dual integrated Schottky barrier diodes (SBDs) was characterized using numerical simulations. The advantage of three-dimensional stacked integration is that it allows the proposed structure to obtain an electric field of below 0.6 [...] Read more.
A 4H-silicon carbide (SiC) trench gate metal–oxide–semiconductor field-effect transistor (MOSFET) with dual integrated Schottky barrier diodes (SBDs) was characterized using numerical simulations. The advantage of three-dimensional stacked integration is that it allows the proposed structure to obtain an electric field of below 0.6 MV/cm in the gate oxide and SBD contacts and achieve ~10% lower forward voltage of SBDs than the planar gate SBD-integrated MOSFET (PSI-MOS) and the trench gate structure with three p-type-protecting layers (TPL-MOS). The dual-SBD-integrated MOSFET (DSI-MOS) also highlights the better influences of the more than 70% reduction in the miller charge, as well as the over 50% reduction in switching loss compared to the others. Furthermore, the short-circuit (SC) robustness of the three devices was identified. The DSI-MOS attains the critical energy and the aluminum melting point in a longer SC time interval than the TPL-MOS. The p-shield layers in the DSI-MOS are demonstrated to yield the huge benefit of improving the reliability of the contacts when SC reliability is considered. Full article
Show Figures

Figure 1

15 pages, 4924 KB  
Article
Folic Acid-Targeted Mixed Pluronic Micelles for Delivery of Triptolide
by Meizhen Yin, Xinying Zhang, Tongguang Zhang, Zhiqiang Bao and Zhihui He
Polymers 2024, 16(24), 3485; https://doi.org/10.3390/polym16243485 - 13 Dec 2024
Viewed by 1300
Abstract
The present study aimed to explore an ideal delivery system for triptolide (TPL) by utilizing the thin-film hydration method to prepare drug-loaded, folate-modified mixed pluronic micelles (FA–F-127/F-68–TPL). Scanning electron microscopy and atomic force microscopy showed that the drug-loaded micelles had a spherical shape [...] Read more.
The present study aimed to explore an ideal delivery system for triptolide (TPL) by utilizing the thin-film hydration method to prepare drug-loaded, folate-modified mixed pluronic micelles (FA–F-127/F-68–TPL). Scanning electron microscopy and atomic force microscopy showed that the drug-loaded micelles had a spherical shape with a small particle size, with an average of 30.7 nm. Cell viability experiments showed that FA–F-127/F-68–TPL significantly reduced HepG2 cell viability, exhibiting strong cytotoxicity. Its cytotoxicity was markedly enhanced compared with bare TPL. Nile red (Nr) was used as a model drug to prepare FA–F-127/F-68–Nr to further validate its tumor-targeting and cellular uptake capability. After coincubation with HepG2 cells, a multifunctional microplate reader showed that intracellular fluorescence intensity significantly increased, indicating that FA–F-127/F-68–Nr could more effectively enter the cells. A nude mouse model of subcutaneous hepatocellular carcinoma was constructed. Following tail vein injection of FA–F-127/F-68–Nr, the fluorescence imaging system showed that FA–F127/F-68–Nr could significantly target tumor tissue, and even if entering the small-sized tumor was challenging, it could be excreted through urine. Nude mice with subcutaneous hepatocellular carcinoma were treated with tail vein injections of FA–F-127/F-68–TPL (45 µg/kg) every other day for 21 days. The results showed that the growth of the transplanted tumors was significantly slowed, with no significant difference compared with bare TPL. In summary, the FA–F-127/F-68–TPL exhibits the advantages of low cost, excellent biological properties, active/passive targeting capabilities, notable cytotoxicity against liver cancer cells, and significant inhibition of transplanted hepatocellular carcinoma growth. Significantly, the FA–F-127/F-68–TPL, despite challenges in targeting tumors with an insignificant EPR effect, can be efficiently excreted via the kidneys, thereby preventing the release of the drug during prolonged circulation and potential damage to normal tissues. Therefore, FA–F-127/F-68–TPL represents a promising antitumor drug delivery system. Full article
(This article belongs to the Special Issue Biomedical Applications of Intelligent Hydrogel 2nd Edition)
Show Figures

Figure 1

24 pages, 9394 KB  
Article
Numerical Simulation of Gas Production Behavior Using Radial Lateral Well and Horizontal Snake Well Depressurization Mining of Hydrate Reservoir in the Shenhu Sea Area of the South China Sea
by Tinghui Wan, Mingming Wen, Hongfeng Lu, Zhanzhao Li, Zongheng Chen, Lieyu Tian, Qi Li, Jia Qu and Jingli Wang
J. Mar. Sci. Eng. 2024, 12(7), 1204; https://doi.org/10.3390/jmse12071204 - 17 Jul 2024
Cited by 1 | Viewed by 1359
Abstract
Improving the production capacity of natural gas hydrates (NGHs) is crucial for their commercial development. Based on the data of the first on-site testing production of NGHs in the Shenhu Sea area, numerical methods were used to analyze the production behavior of radial [...] Read more.
Improving the production capacity of natural gas hydrates (NGHs) is crucial for their commercial development. Based on the data of the first on-site testing production of NGHs in the Shenhu Sea area, numerical methods were used to analyze the production behavior of radial lateral well (RLW) and horizontal snake well (HSW) with different completion lengths when they deployed at different layers of the Class-1 type hydrate reservoir (with a fixed pressure difference of 6 MPa and continuous production for 360 days). The results indicate that compared with the single vertical well production, RLW and HSW can effectively increase production capacity by enlarging drainage area and the productivity is directly proportional to the total completion length. The RLW and HSW deployed at the three-phase layer (TPL) have optimal mining performance within a 360-day production period. Different to the previous research findings, during a short-term production period of 360 days, regardless of the deployment layer, the overall production capacity of HSW is better than RLW’s. The total gas production of HSW-2 circles well type is about four times that of a single vertical well, reaching 1.554 × 107 ST m3. Moreover, the HSW-1 lateral well type stands out with an average Qg of 3.63 × 104 ST m3/d and a specific production index J of 16.93; it has the highest J-index among all well types, which means the best mining efficiency. It is recommended to choose the HSW-1 circle well type, if the coiled tubing drilling technique is used for on-site testing production of NGHs in the future. The research results provide insights into the potential applications of RLW and HSW in this sea area. Full article
Show Figures

Figure 1

20 pages, 2118 KB  
Communication
Preliminary Study on the Restoration of the Phospholipid Profile in Serum from Patients with COVID-19 by Treatment with Vitamin E
by María Elena Soto, Linaloe Manzano-Pech, Verónica Guarner-Lans, Adrían Palacios-Chavarría, Rafael Ricardo Valdez-Vázquez, Raúl Martínez-Memije, Mohammed El-Hafidi, Félix Leao Rodríguez-Fierros and Israel Pérez-Torres
Curr. Issues Mol. Biol. 2024, 46(7), 7219-7238; https://doi.org/10.3390/cimb46070429 - 8 Jul 2024
Viewed by 1739
Abstract
SARS-CoV-2 is an obligatory intracellular pathogen that requires a lipid bilayer membrane for its transport to build its nucleocapsid envelope and fuse with the host cell. The biological membranes are constituted by phospholipids (PLs), and vitamin E (Vit E) protects them from oxidative [...] Read more.
SARS-CoV-2 is an obligatory intracellular pathogen that requires a lipid bilayer membrane for its transport to build its nucleocapsid envelope and fuse with the host cell. The biological membranes are constituted by phospholipids (PLs), and vitamin E (Vit E) protects them from oxidative stress (OS). The aim of this study was to demonstrate if treatment with Vit E restores the modified profile of the FA in PLs in serum from patients with coronavirus disease-19 (COVID-19). We evaluated Vit E, total fatty acids (TFAs), fatty acids of the phospholipids (FAPLs), total phospholipids (TPLs), 8-isoprostane, thromboxane B2 (TXB2), prostaglandins (PGE2 and 6-keto-PGF1α), interleukin-6 (IL-6), and C-reactive protein (CRP) in serum from 22 COVID-19 patients before and after treatment with Vit E and compared the values with those from 23 healthy subjects (HSs). COVID-19 patients showed a decrease in Vit E, TPLs, FAPLs, and TFAs in serum in comparison to HSs (p ≤ 0.01), and Vit E treatment restored their levels (p ≤ 0.04). Likewise, there was an increase in IL-6 and CRP in COVID-19 patients in comparison with HSs (p ≤ 0.001), and treatment with Vit E decreased their levels (p ≤ 0.001). Treatment with Vit E as monotherapy can contribute to restoring the modified FA profile of the PLs in the SARS-CoV-2 infection, and this leads to a decrease in lipid peroxidation, OS, and the inflammatory process. Full article
(This article belongs to the Section Molecular Medicine)
Show Figures

Figure 1

22 pages, 6143 KB  
Article
Unified Spatial Clustering of Territory Risk to Uncover Impact of COVID-19 Pandemic on Major Coverages of Auto Insurance
by Shengkun Xie and Nathaniel Ho
Risks 2024, 12(7), 108; https://doi.org/10.3390/risks12070108 - 1 Jul 2024
Viewed by 1378
Abstract
This research delves into the fusion of spatial clustering and predictive modeling within auto insurance data analytics. The primary focus of this research is on addressing challenges stemming from the dynamic nature of spatial patterns in multiple accident year claim data, by using [...] Read more.
This research delves into the fusion of spatial clustering and predictive modeling within auto insurance data analytics. The primary focus of this research is on addressing challenges stemming from the dynamic nature of spatial patterns in multiple accident year claim data, by using spatially constrained clustering. The spatially constrained clustering is implemented under hierarchical clustering with a soft contiguity constraint. It is highly desirable for insurance companies and insurance regulators to be able to make meaningful comparisons of loss patterns obtained from multiple reporting years that summarize multiple accident year loss metrics. By integrating spatial clustering techniques, the study not only improves the credibility of predictive models but also introduces a strategic dimension reduction method that concurrently enhances the interpretability of predictive models used. The evolving nature of spatial patterns over time poses a significant barrier to a better understanding of complex insurance systems as these patterns transform due to various factors. While spatial clustering effectively identifies regions with similar loss data characteristics, maintaining up-to-date clusters is an ongoing challenge. This research underscores the importance of studying spatial patterns of auto insurance claim data across major insurance coverage types, including Accident Benefits (AB), Collision (CL), and Third-Party Liability (TPL). The research offers regulators valuable insights into distinct risk profiles associated with different coverage categories and territories. By leveraging spatial loss data from pre-pandemic and pandemic periods, this study also aims to uncover the impact of the COVID-19 pandemic on auto insurance claims of major coverage types. From this perspective, we observe a statistically significant increase in insurance premiums for CL coverage after the pandemic. The proposed unified spatial clustering method incorporates a relabeling strategy to standardize comparisons across different accident years, contributing to a more robust understanding of the pandemic effects on auto insurance claims. This innovative approach has the potential to significantly influence data visualization and pattern recognition, thereby improving the reliability and interpretability of clustering methods. Full article
Show Figures

Figure 1

21 pages, 2061 KB  
Article
Coordination of Online Shopping Supply Chain Considering Fresh Product Preservation Efforts and Cargo Damage Costs
by Haiping Ren and Yingxin Hu
J. Theor. Appl. Electron. Commer. Res. 2024, 19(2), 1337-1357; https://doi.org/10.3390/jtaer19020068 - 31 May 2024
Cited by 3 | Viewed by 1487
Abstract
To reduce the losses caused by insufficient preservation efforts during transportation, the preservation effort level has been the focus of research. In the fierce competition of online sales, it is particularly important to reduce the cost of damaged goods by improving the level [...] Read more.
To reduce the losses caused by insufficient preservation efforts during transportation, the preservation effort level has been the focus of research. In the fierce competition of online sales, it is particularly important to reduce the cost of damaged goods by improving the level of preservation efforts. Therefore, according to Stackelberg game theory, this article establishes five decision-making models and incorporates the damage rate and preservation effort level into the research. Finally, this article coordinates the online shipping supply chain (SC) through a joint contract. After comparing and analyzing the model results, research has found that: (1) in centralized model, the level of preservation effort reaches its optimal level and the system benefit is maximized; (2) under third-party logistics (TPL) leading decision-making, the different bearers of cargo damage costs will not affect the profits of both parties and the system; (3) among the four decentralized models, the level of preservation efforts and system profit are highest when the decision is led by online store and TPL bears the cost of damaged goods; and (4) under a given sharing ratio, when the logistics service quotation satisfies a certain range of condition, the online shopping SC can achieve Pareto improvement. This paper studies the differences and reasons for decision models in the supply and demand relationship between online stores and TPL, which provides fresh product e-commerce decision-makers with a theoretical basis. Full article
Show Figures

Figure 1

19 pages, 9566 KB  
Article
Numerical Simulation of Vertical Well Depressurization with Different Deployments of Radial Laterals in Class 1-Type Hydrate Reservoir
by Tinghui Wan, Miao Yu, Hongfeng Lu, Zongheng Chen, Zhanzhao Li, Lieyu Tian, Keliang Li, Ning Huang and Jingli Wang
Energies 2024, 17(5), 1139; https://doi.org/10.3390/en17051139 - 28 Feb 2024
Cited by 4 | Viewed by 1480
Abstract
Gas production efficiency is a key indicator in the commercial development of natural gas hydrates (NGHs). Based on the data from the first natural gas hydrate field test production in the Shenhu Sea area of China, the gas production capability of Class 1-type [...] Read more.
Gas production efficiency is a key indicator in the commercial development of natural gas hydrates (NGHs). Based on the data from the first natural gas hydrate field test production in the Shenhu Sea area of China, the gas production capability of Class 1-type hydrate reservoirs was numerically evaluated by vertical well depressurization with different deployment schemes for radial laterals. The results showed that the radial laterals can effectively improve production efficiency and that the radial laterals deployed at the three-phase layer (TPL) have the best production performance. Compared with the single vertical well production, the completion length of the radial laterals is 150 m with a radius of 0.05 m, and the production pressure difference is set to 6 MPa. The cumulative gas production Vg reaches up to 594.10 × 104 ST m3, increased by about 208.53% after 360 days of production, which provides a reference for the development of natural gas hydrates with radial jet drilling (RJD) technology. Full article
Show Figures

Figure 1

16 pages, 5553 KB  
Article
A Computational Evaluation of Minimum Feature Size in Projection Two-Photon Lithography for Rapid Sub-100 nm Additive Manufacturing
by Rushil Pingali, Harnjoo Kim and Sourabh K. Saha
Micromachines 2024, 15(1), 158; https://doi.org/10.3390/mi15010158 - 21 Jan 2024
Cited by 2 | Viewed by 3186
Abstract
Two-photon lithography (TPL) is a laser-based additive manufacturing technique that enables the printing of arbitrarily complex cm-scale polymeric 3D structures with sub-micron features. Although various approaches have been investigated to enable the printing of fine features in TPL, it is still challenging to [...] Read more.
Two-photon lithography (TPL) is a laser-based additive manufacturing technique that enables the printing of arbitrarily complex cm-scale polymeric 3D structures with sub-micron features. Although various approaches have been investigated to enable the printing of fine features in TPL, it is still challenging to achieve rapid sub-100 nm 3D printing. A key limitation is that the physical phenomena that govern the theoretical and practical limits of the minimum feature size are not well known. Here, we investigate these limits in the projection TPL (P-PTL) process, which is a high-throughput variant of TPL, wherein entire 2D layers are printed at once. We quantify the effects of the projected feature size, optical power, exposure time, and photoinitiator concentration on the printed feature size through finite element modeling of photopolymerization. Simulations are performed rapidly over a vast parameter set exceeding 10,000 combinations through a dynamic programming scheme, which is implemented on high-performance computing resources. We demonstrate that there is no physics-based limit to the minimum feature sizes achievable with a precise and well-calibrated P-TPL system, despite the discrete nature of illumination. However, the practically achievable minimum feature size is limited by the increased sensitivity of the degree of polymer conversion to the processing parameters in the sub-100 nm regime. The insights generated here can serve as a roadmap towards fast, precise, and predictable sub-100 nm 3D printing. Full article
(This article belongs to the Special Issue Ultrafast Laser Micro- and Nanoprocessing)
Show Figures

Figure 1

19 pages, 3713 KB  
Article
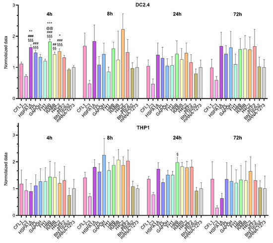
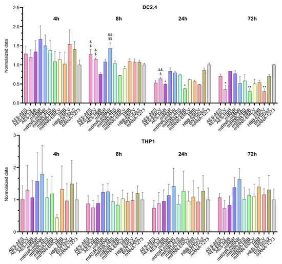
Untranslated Region Sequences and the Efficacy of mRNA Vaccines against Tuberculosis
by Vasiliy Reshetnikov, Ilya Terenin, Galina Shepelkova, Vladimir Yeremeev, Semyon Kolmykov, Maxim Nagornykh, Elena Kolosova, Tatiana Sokolova, Olga Zaborova, Ivan Kukushkin, Alisa Kazakova, Dmitry Kunyk, Anna Kirshina, Olga Vasileva, Kristina Seregina, Ildus Pateev, Fedor Kolpakov and Roman Ivanov
Int. J. Mol. Sci. 2024, 25(2), 888; https://doi.org/10.3390/ijms25020888 - 10 Jan 2024
Cited by 15 | Viewed by 6013
Abstract
mRNA vaccines have been shown to be effective in combating the COVID-19 pandemic. The amount of research on the use of mRNAs as preventive and therapeutic modalities has undergone explosive growth in the last few years. Nonetheless, the issue of the stability of [...] Read more.
mRNA vaccines have been shown to be effective in combating the COVID-19 pandemic. The amount of research on the use of mRNAs as preventive and therapeutic modalities has undergone explosive growth in the last few years. Nonetheless, the issue of the stability of mRNA molecules and their translation efficiency remains incompletely resolved. These characteristics of mRNA directly affect the expression level of a desired protein. Regulatory elements of RNA—5′ and 3′ untranslated regions (UTRs)—are responsible for translation efficiency. An optimal combination of the regulatory sequences allows mRNA to significantly increase the target protein’s expression. We assessed the translation efficiency of mRNA encoding of firefly luciferase with various 5′ and 3′UTRs in vitro on cell lines DC2.4 and THP1. We found that mRNAs containing 5′UTR sequences from eukaryotic genes HBB, HSPA1A, Rabb, or H4C2, or from the adenoviral leader sequence TPL, resulted in higher levels of luciferase bioluminescence 4 h after transfection of DC2.4 cells as compared with 5′UTR sequences used in vaccines mRNA-1273 and BNT162b2 from Moderna and BioNTech. mRNA containing TPL as the 5′UTR also showed higher efficiency (as compared with the 5′UTR from Moderna) at generating a T-cell response in mice immunized with mRNA vaccines encoding a multiepitope antigen. By contrast, no effects of various 5′UTRs and 3′UTRs were detectable in THP1 cells, suggesting that the observed effects are cell type specific. Further analyses enabled us to identify potential cell type-specific RNA-binding proteins that differ in landing sites within mRNAs with various 5′UTRs and 3′UTRs. Taken together, our data indicate high translation efficiency of TPL as a 5′UTR, according to experiments on DC2.4 cells and C57BL/6 mice. Full article
(This article belongs to the Section Molecular Immunology)
Show Figures

Figure 1

14 pages, 3041 KB  
Article
The Roles of the PSEUDO-RESPONSE REGULATORs in Circadian Clock and Flowering Time in Medicago truncatula
by Xiao Wang, Juanjuan Zhang, Xiu Liu, Yiming Kong and Lu Han
Int. J. Mol. Sci. 2023, 24(23), 16834; https://doi.org/10.3390/ijms242316834 - 28 Nov 2023
Cited by 6 | Viewed by 2058
Abstract
PSEUDO-RESPONSE REGULATORs (PRRs) play key roles in the circadian rhythms and flowering in plants. Here, we identified the four members of the PRR family in Medicago truncatula, including MtPRR9a, MtPRR9b, MtPRR7 and MtPRR5, and isolated their Tnt1 [...] Read more.
PSEUDO-RESPONSE REGULATORs (PRRs) play key roles in the circadian rhythms and flowering in plants. Here, we identified the four members of the PRR family in Medicago truncatula, including MtPRR9a, MtPRR9b, MtPRR7 and MtPRR5, and isolated their Tnt1 retrotransposon-tagged mutants. They were expressed in different organs and were nuclear-localized. The four MtPRRs genes played important roles in normal clock rhythmicity maintenance by negatively regulating the expression of MtGI and MtLHY. Surprisingly, the four MtPRRs functioned redundantly in regulating flowering time under long-day conditions, and the quadruple mutant flowered earlier. Moreover, MtPRR can recruit the MtTPL/MtTPR corepressors and the other MtPRRs to form heterodimers to constitute the core mechanism of the circadian oscillator. Full article
(This article belongs to the Special Issue Transcriptional Regulation in Plant Development)
Show Figures

Figure 1

Back to TopTop