Sign in to use this feature.

Years

Between: -

Subjects

remove_circle_outline
remove_circle_outline
remove_circle_outline
remove_circle_outline
remove_circle_outline
remove_circle_outline
remove_circle_outline
remove_circle_outline

Journals

Article Types

Countries / Regions

Search Results (26)

Search Parameters:
Keywords = Time–Stress Superposition Principle

Order results
Result details
Results per page
Select all
Export citation of selected articles as:
23 pages, 7146 KB  
Article
Creep Performance and Viscoelastic Constitutive Relationship of Structural Acrylic Connected Using Bulk Polymerization Technique
by Zongyi Wang, Yuhao Liu, Bailun Zhang, Yuanqing Wang, Jianxia Xiao, Wei Cheng, Ming Huang and Yulong Song
Buildings 2025, 15(20), 3691; https://doi.org/10.3390/buildings15203691 - 14 Oct 2025
Viewed by 333
Abstract
Acrylic is increasingly being used in structural engineering applications due to its characteristics of light weight, capability of bulk polymerization, and absence of self-destruction risk, compared to tempered glass. However, structural acrylic exhibits creep behavior when subjected to prolonged loading. In order to [...] Read more.
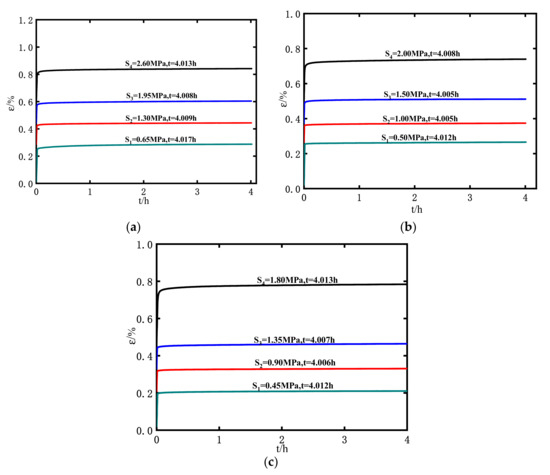
Acrylic is increasingly being used in structural engineering applications due to its characteristics of light weight, capability of bulk polymerization, and absence of self-destruction risk, compared to tempered glass. However, structural acrylic exhibits creep behavior when subjected to prolonged loading. In order to study the creep performance of structural acrylic base material and coupons connected using the bulk polymerization technique, short-term tensile tests and long-term creep tests were conducted, and the effect of annealing temperature controlled in the bulk polymerization process was considered. The results show that annealing temperature significantly affects the quality of bulk polymerization. The Burgers model accurately describes the viscoelastic behavior of acrylic, and the Prony series converted from the parameters in the Burgers model can be directly implemented in Abaqus and accurately simulates the creep behavior of acrylic. The equation proposed in this study, on the basis of the Findley model, is precise enough to predict the creep curves of acrylic base material and connecting coupons. The Time–Stress Superposition Principle is valid when the time is greater than the threshold value. Full article
(This article belongs to the Section Building Materials, and Repair & Renovation)
Show Figures

Figure 1

16 pages, 2410 KB  
Article
Constitutive Model Based on Stress Relaxation for Composite Modified Double-Base Propellants and Master Curve of Relaxation Modulus
by Yao Li, Jinsheng Xu, Changsheng Zhou, Xiong Chen and Xiumin Yang
Aerospace 2025, 12(9), 817; https://doi.org/10.3390/aerospace12090817 - 10 Sep 2025
Viewed by 435
Abstract
This study investigates the constitutive model and relaxation modulus master curve of composite modified double-base (CMDB) propellants through uniaxial constant-rate tensile tests and stress relaxation tests. The experimental observations demonstrate that CMDB propellants exhibit pronounced strain-rate dependence and temperature dependence. Specifically, the yield [...] Read more.
This study investigates the constitutive model and relaxation modulus master curve of composite modified double-base (CMDB) propellants through uniaxial constant-rate tensile tests and stress relaxation tests. The experimental observations demonstrate that CMDB propellants exhibit pronounced strain-rate dependence and temperature dependence. Specifically, the yield stress and fracture strength of the propellant increase with increasing strain rate and decrease with increasing temperature. Conversely, the fracture strain increases with increasing temperature. The stress–strain curves of CMDB propellants display marked nonlinearity, attributed to progressive damage accumulation. The relaxation modulus increases significantly with decreasing temperature. Utilizing the time-temperature superposition principle, we constructed a master curve model for the relaxation modulus of CMDB propellants across varying temperatures. Furthermore, based on the observed stress relaxation behavior, a nonlinear constitutive model for CMDB propellants was developed. Theoretical predictions derived from this model show good agreement with experimental data. This model effectively captures the characteristic stress softening and damage evolution in CMDB propellants, thereby providing a theoretical foundation for assessing its mechanical performance and predicting its service life. Full article
(This article belongs to the Section Astronautics & Space Science)
Show Figures

Figure 1

20 pages, 3560 KB  
Article
Study on Vibration Effects and Optimal Delay Time for Tunnel Cut-Blasting Beneath Existing Railways
by Ruifeng Huang, Wenqing Li, Yongxiang Zheng and Zhong Li
Appl. Sci. 2025, 15(15), 8365; https://doi.org/10.3390/app15158365 - 28 Jul 2025
Viewed by 750
Abstract
With the development of underground space in urban areas, the demand for tunneling through existing railways is increasing. The adverse effects of cut-blasting during the construction of tunnels under crossing existing railways are investigated. Combined with the principle of blasting seismic wave superposition, [...] Read more.
With the development of underground space in urban areas, the demand for tunneling through existing railways is increasing. The adverse effects of cut-blasting during the construction of tunnels under crossing existing railways are investigated. Combined with the principle of blasting seismic wave superposition, LS-DYNA numerical simulation is used to analyze the seismic wave superposition law under different superposition methods. This study also investigates the vibration reduction effect of millisecond blasting for cut-blasting under the different classes of surrounding rocks. The results show that the vibration reduction forms of millisecond blasting can be divided into separation and interference of waveform. Based on the principle of superposition of blasting seismic waves, vibration reduction through wave interference is further divided. At the same time, a new vibration reduction mode is proposed. This vibration reduction mode can significantly improve construction efficiency while improving damping efficiency. The new vibration reduction mode can increase the vibration reduction to 80% while improving construction efficiency. Additionally, there is a significant difference in the damping effect of different classes of surrounding rock on the blasting seismic wave. Poor-quality surrounding rock enhances the attenuation of seismic wave velocity and peak stress in the surrounding rock. In the Zhongliangshan Tunnel, a tunnel cut-blasting construction at a depth of 42 m, the best vibration reduction plan of Class III is 3 ms millisecond blasting, in which the surface points achieve separation vibration reduction. The best vibration reduction plan of Class V is 1 ms millisecond blasting, in which the surface points achieve a new vibration reduction mode. During the tunnel blasting construction process, electronic detonators are used for millisecond blasting of the cut-blasting. This method can reduce the vibration effects generated by blasting. The stability of the existing railway is ultimately guaranteed. This can improve construction efficiency while ensuring construction safety. This study can provide significant guidance for the blasting construction of the tunnel through the railway. Full article
Show Figures

Figure 1

17 pages, 1488 KB  
Article
Study on Seepage Model of Staged-Fractured Horizontal Well in Low Permeability Reservoir
by Jian Song, Zongxiao Ren, Zhan Qu, Xinzhu Wang, Jiajun Cao, Xuemei Luo and Miao Wang
Processes 2025, 13(6), 1934; https://doi.org/10.3390/pr13061934 - 18 Jun 2025
Viewed by 420
Abstract
This study addresses the coupled influence of the threshold pressure gradient and stress sensitivity during the seepage process in low-permeability reservoirs. By integrating Laplace transform, perturbation transform, the image principle, and the superposition principle, a non-steady-state seepage model for segmented-fractured horizontal wells considering [...] Read more.
This study addresses the coupled influence of the threshold pressure gradient and stress sensitivity during the seepage process in low-permeability reservoirs. By integrating Laplace transform, perturbation transform, the image principle, and the superposition principle, a non-steady-state seepage model for segmented-fractured horizontal wells considering both effects is established for the first time. The analytical solution of the point source function including the threshold pressure gradient (λ) and stress sensitivity effect (permeability modulus α) is innovatively derived and extended to closed-boundary reservoirs. The model accuracy is verified by CMG numerical simulation (with an error of only 1.02%). Based on this, the seepage process is divided into four stages: I linear flow (pressure derivative slope of 0.5), II fracture radial flow (slope of 0), III dual radial flow (slope of 0.36), and IV pseudo-radial flow (slope of 0). Sensitivity analysis indicates the following: (1) The threshold pressure gradient significantly increases the seepage resistance in the late stage (the pressure curve shows a significant upward curvature when λ = 0.1 MPa/m); (2) Stress sensitivity dominates the energy dissipation in the middle and late stages (a closed-boundary-like feature is presented when α > 0.1 MPa−1); (3) The half-length of fractures dominates the early flow (a 100 m fracture reduces the pressure drop by 40% compared to a 20 m fracture). This model resolves the accuracy deficiency of traditional single-effect models and provides theoretical support for the development effect evaluation and well test interpretation of fractured horizontal wells in low-permeability reservoirs. Full article
(This article belongs to the Section Energy Systems)
Show Figures

Figure 1

20 pages, 3945 KB  
Article
Nondestructive Evaluation of Aging Failure in Insulation Coatings by Ultrasonic Guided Wave Based on Signal Processing and Machine Learning
by Mengmeng Qiu and Xin Ge
Coatings 2025, 15(3), 347; https://doi.org/10.3390/coatings15030347 - 18 Mar 2025
Cited by 2 | Viewed by 813
Abstract
In the field of nondestructive evaluation (NDE) using ultrasonic guided waves, accurately assessing the aging failure of insulation coatings remains a challenging and prominent research topic. While the application of ultrasonic guided waves in material testing has been extensively explored in the existing [...] Read more.
In the field of nondestructive evaluation (NDE) using ultrasonic guided waves, accurately assessing the aging failure of insulation coatings remains a challenging and prominent research topic. While the application of ultrasonic guided waves in material testing has been extensively explored in the existing literature, there is still a significant gap in quantitatively evaluating the aging failure of insulation coatings. This study innovatively proposes an NDE method for assessing insulation coating aging failure by integrating signal processing and machine learning technologies, thereby effectively addressing both theoretical and practical gaps in this domain. The proposed method not only enhances the accuracy of detecting insulation coating aging failure but also introduces new approaches to non-destructive testing technology in related fields. To achieve this, an accelerated aging experiment was conducted to construct a cable database encompassing various degrees of damage. The effects of aging time, temperature, mechanical stress, and preset defects on coating degradation were systematically investigated. Experimental results indicate that aging time exhibits a three-stage nonlinear evolution pattern, with 50 days marking the critical inflection point for damage accumulation. Temperature significantly influences coating damage, with 130 °C identified as the critical threshold for performance mutation. Aging at 160 °C for 100 days conforms to the time-temperature superposition principle. Additionally, mechanical stress concentration accelerates coating failure when the bending angle is ≥90°. Among preset defects, cut defects were most destructive, increasing crack density by 5.8 times compared to defect-free samples and reducing cable life to 40% of its original value. This study employs Hilbert–Huang Transform (HHT) for noise reduction in ultrasonic guided wave signals. Compared to Fast Fourier Transform (FFT), HHT demonstrates superior performance in feature extraction from ultrasonic guided wave signals. By combining HHT with machine learning techniques, we developed a hybrid prediction model—HHT-LightGBM-PSO-SVM. The model achieved prediction accuracies of 94.05% on the training set and 88.36% on the test set, significantly outperforming models constructed with unclassified data. The LightGBM classification model exhibited the highest classification accuracy and AUC value (0.94), highlighting its effectiveness in predicting coating aging damage. This research not only improves the accuracy of detecting insulation coating aging failure but also provides a novel technical means for aviation cable health monitoring. Furthermore, it offers theoretical support and practical references for nondestructive testing and life prediction of complex systems. Future studies will focus on optimizing model parameters, incorporating additional environmental factors such as humidity and vibration to enhance prediction accuracy, and exploring lightweight algorithms for real-time monitoring. Full article
Show Figures

Figure 1

12 pages, 4443 KB  
Article
Rheological Property Modification of a Molten-State Polyamide through the Addition of an α-Olefin–Maleic Anhydride Copolymer
by Xianzhu Mei, Quoc-Viet Do, Takaaki Narita, Misaki Yamaguchi and Masayuki Yamaguchi
Molecules 2024, 29(16), 3730; https://doi.org/10.3390/molecules29163730 - 6 Aug 2024
Cited by 2 | Viewed by 1557
Abstract
The rheological properties of a polyamide (PA) resin with low crystallinity were modified by melt-mixing it with a small amount of an alternative α-olefin–maleic anhydride copolymer as a reactive compound. Because PA has a low melting point, rheological characterization was performed over [...] Read more.
The rheological properties of a polyamide (PA) resin with low crystallinity were modified by melt-mixing it with a small amount of an alternative α-olefin–maleic anhydride copolymer as a reactive compound. Because PA has a low melting point, rheological characterization was performed over a wide temperature range. Owing to the reaction between PA and the alternative α-olefin–maleic anhydride copolymer, the blend sample behaved as a long-chain branched polymer in the molten state. The thermo-rheological complexity was obvious owing to large flow activation energy values in the low modulus region, i.e., the rheological time–temperature superposition principle was not applicable. The primary normal stress difference under steady shear was greatly increased in the wide shear rate range, leading to a large swell ratio at the capillary extrusion. Furthermore, strain hardening in the transient elongational viscosity, which is responsible for favorable processability, was clear. Because this is a simple modification method, it will be widely employed to modify the rheological properties of various polyamide resins. Full article
(This article belongs to the Special Issue Exclusive Feature Papers in Macromolecular Chemistry)
Show Figures

Figure 1

18 pages, 5241 KB  
Article
Thermo-Chemo-Mechanical Modeling of Residual Stress in Unidirectional Carbon Fiber-Reinforced Polymers during Manufacture
by Rui Bao, Junpeng Liu, Zhongmin Xiao and Sunil C. Joshi
Materials 2024, 17(12), 3040; https://doi.org/10.3390/ma17123040 - 20 Jun 2024
Cited by 3 | Viewed by 1715
Abstract
The application of carbon fiber-reinforced composite materials in marine engineering is growing steadily. The mechanical properties of unbonded flexible risers using composite tensile armor wire are highly valued. However, the curing process generates a certain amount of internal residual stress. We present a [...] Read more.
The application of carbon fiber-reinforced composite materials in marine engineering is growing steadily. The mechanical properties of unbonded flexible risers using composite tensile armor wire are highly valued. However, the curing process generates a certain amount of internal residual stress. We present a detailed analysis of epoxy resin laminates to assess the impact of thermal, chemical, and mechanical effects on the curing stress and strain. An empirical model that correlates temperature and degree of cure was developed to precisely fit the elastic modulus data of the curing resin. The chemical kinetics of the epoxy resin system was characterized using differential scanning calorimetry (DSC), while the tensile relaxation modulus was determined through a dynamic mechanical analysis. The viscoelastic model was calibrated using the elastic modulus data of the cured resin combining temperature and degree of the curing (thermochemical kinetics) responses. Based on the principle of time–temperature superposition, the displacement factor and relaxation behavior of the material were also accurately captured by employing the same principle of time–temperature superposition. Utilizing the empirical model for degree of cure and modulus, we predicted micro-curing-induced strains in cured composite materials, which were then validated with experimental observations. Full article
Show Figures

Figure 1

20 pages, 6039 KB  
Article
Prediction of the Bubble Growth Behavior by Means of the Time-, Temperature-, Pressure- and Blowing Agent Concentration-Dependent Transient Elongational Viscosity Function of Polymers
by Tobias Schaible and Christian Bonten
Polymers 2024, 16(9), 1213; https://doi.org/10.3390/polym16091213 - 26 Apr 2024
Cited by 5 | Viewed by 1825
Abstract
Bubble growth processes are highly complex processes, which are not only dependent on the foaming process parameters (temperature, pressure and blowing agent concentration) but also on the type and structure of the polymer used. Since the elongational viscosity at the bubble wall during [...] Read more.
Bubble growth processes are highly complex processes, which are not only dependent on the foaming process parameters (temperature, pressure and blowing agent concentration) but also on the type and structure of the polymer used. Since the elongational viscosity at the bubble wall during bubble growth also depends on these influencing factors, the so-called transient elongational viscosity plays a key role in describing the gas bubble growth behavior in polymer melts. The model-based description of the transient elongational viscosity function is difficult due to its dependence on time, Hencky strain and strain rate. Therefore, representative viscosities or shear viscosity models are usually used in the literature to predict the bubble growth behavior. In this work, the transient equibiaxial elongational viscosity function at the bubble wall during bubble growth is described holistically for the first time. This is achieved by extending the so-called molecular stress function (MSF) model by superposition principles (temperature, pressure and blowing agent concentration) and by using the elongational deformation behavior (Hencky strain and strain rate) at the bubble wall during the initial, and thus viscosity-driven, bubble growth process. Therefore, transient uniaxial elongational viscosity measurements are performed and the non-linear MSF model parameters of the two investigated polymers PS (linear polymer chains) and PLA (long-chain branched polymer chains) are determined. By applying the superposition principles and by changing the strain mode parameter to the equibiaxial case in the MSF model, the transient equibiaxial viscosity master curve is obtained and used to describe the bubble growth process. The results show that the extended MSF model can fully predict the transient equibiaxial elongational viscosity function at the bubble wall during bubble growth processes. The bubble growth behavior over time can then be realistically described using the defined transient equibiaxial elongational viscosity function at the bubble wall. This is not possible, for example, with a representative viscosity and therefore clearly demonstrates the influence and importance of knowing the transient deformation behavior that prevails at the bubble wall during bubble growth processes. Full article
(This article belongs to the Section Polymer Physics and Theory)
Show Figures

Figure 1

14 pages, 2480 KB  
Article
Characterization of Potting Epoxy Resins Performance Parameters Based on a Viscoelastic Constitutive Model
by Lin Yang, Anxin Ding, Mi Xu, Yuefang Li, Xianhang Zhao, Jingxuan Peng and Xiang Li
Polymers 2024, 16(7), 930; https://doi.org/10.3390/polym16070930 - 28 Mar 2024
Cited by 4 | Viewed by 2519
Abstract
To describe the evolution of residual stresses in epoxy resin during the curing process, a more detailed characterization of its viscoelastic properties is necessary. In this study, we have devised a simplified apparatus for assessing the viscoelastic properties of epoxy resin. This apparatus [...] Read more.
To describe the evolution of residual stresses in epoxy resin during the curing process, a more detailed characterization of its viscoelastic properties is necessary. In this study, we have devised a simplified apparatus for assessing the viscoelastic properties of epoxy resin. This apparatus employs a confining cylinder to restrict the circumferential and radial deformations of the material. Following the application of load by the testing machine, the epoxy resin sample gradually reduces the gap between its surface and the inner wall of the confining cylinder, ultimately achieving full contact and establishing a continuous interface. By recording the circumferential stress–strain on the outer surface of the confining cylinder, we can deduce the variations in material bulk and shear moduli with time. This characterization spans eight temperature points surrounding the glass transition temperature, revealing the bulk and shear relaxation moduli of the epoxy resin. Throughout the experiments, the epoxy resin’s viscoelastic response demonstrated a pronounced time-temperature dependency. Below the glass transition temperature, the stress relaxation response progressively accelerated with increasing temperature, while beyond the glass transition temperature, the stress relaxation time underwent a substantial reduction. By applying the time-temperature superposition principle, it is possible to construct the relaxation master curves for the bulk and shear moduli of the epoxy resin. By fitting the data, we can obtain expressions for the constitutive model describing the viscoelastic behavior of the epoxy resin. In order to validate the reliability of the test results, a uniaxial tensile relaxation test was conducted on the epoxy resin casting body. The results show good agreement between the obtained uniaxial relaxation modulus curves and those derived from the bulk and shear relaxation modulus equations, confirming the validity of both the device design and the testing methodology. Full article
(This article belongs to the Special Issue Epoxy Thermoset Polymer Composites)
Show Figures

Figure 1

18 pages, 5510 KB  
Article
Analytical Solution of Ice–Rock-Model Stress Field and Stress Intensity Factors in Inhomogeneous Media
by Feifei Cao, Laiwang Jing and Shaochi Peng
Appl. Sci. 2024, 14(4), 1412; https://doi.org/10.3390/app14041412 - 8 Feb 2024
Cited by 1 | Viewed by 1522
Abstract
The stress distribution and fracture parameter calibration of ice–rock models are important aspects of studying rock properties at high altitudes and latitudes. However, progress in ice–rock modeling has been slow and singular, and it is limited due to the discrete nature of rocks [...] Read more.
The stress distribution and fracture parameter calibration of ice–rock models are important aspects of studying rock properties at high altitudes and latitudes. However, progress in ice–rock modeling has been slow and singular, and it is limited due to the discrete nature of rocks and the applicability of fracture mechanics. In this study, a circular inhomogeneous ice–rock model is proposed for the first time, and a method is provided for calculating the stress field of the model under biaxial loading. A method for calculating the single-crack stress intensity factor of the model subjected to biaxial compressive loading is also provided. The novelty of this work is that the inhomogeneous ice–rock model is treated as a superposition of two models, namely, a circular pore plate and circular ice, according to the superposition principle. The key is that the stress field distribution law of the ice–rock model is obtained based on the basis of the displacement continuity of the ice–rock interface. The analytical and approximate solutions of the stress intensity factor of a single crack were also obtained by considering the normal phase effect of the crack surface and combining the stress distribution law of the ice–rock model. Comparison with the CAE method was made to verify the correctness of the stress field and stress intensity factor calculation methods. The evolution laws of lateral pressure coefficients, the elastic modulus ratio of ice and rock on the stress field, and the stress intensity factor were analyzed. The effects of lateral pressure coefficients, elastic modulus ratios, and crack distributions on the failure modes were investigated using the extended finite element method (XFEM). This study can provide a theoretical basis for the evaluation of mechanical properties and prediction of the failure modes of frozen rock bodies. Full article
(This article belongs to the Special Issue Advances and Challenges in Rock Mechanics and Rock Engineering)
Show Figures

Figure 1

19 pages, 10396 KB  
Article
Two-Way Time-Dependent Prestress Losses of Prestressed Concrete Containment with Bonded Prestressing Strands
by Xingyi Wu, Xingchao Wang, Xinbo Li and Jinxin Gong
Buildings 2023, 13(10), 2513; https://doi.org/10.3390/buildings13102513 - 4 Oct 2023
Viewed by 2012
Abstract
Prestressing plays a pivotal role in ensuring the tightness and integrity of prestressed concrete containment in nuclear power plants. The prestress loss reduces the compressive stress in concrete resulting from the prestressing strands and increases the risk of containment leakage under severe accident [...] Read more.
Prestressing plays a pivotal role in ensuring the tightness and integrity of prestressed concrete containment in nuclear power plants. The prestress loss reduces the compressive stress in concrete resulting from the prestressing strands and increases the risk of containment leakage under severe accident conditions. Therefore, the accurate prediction of prestress loss is essential for the design and in-service management of prestressed concrete containment. Unlike one-way beams or girders in building structures and bridges, two-way prestressing systems are used in prestressed concrete containment. In the current simplified method for evaluating time-dependent prestress loss, the interaction of concrete creep in two directions resulting from the two-way prestressing strands and the influence of the steel liner and mild steel rebars in two directions are neglected. In this study, based on the principle of creep superposition, the age-adjusted effective method for the creep estimation of concrete, and considering concrete shrinkage, concrete creep, and the relaxation of prestressing strands, as well as the influence of the steel liner and mild steel rebars in two directions, a sectional analysis is performed for prestressed concrete containment with bonded prestressing strands, and equations for calculating the two-way time-dependent prestress losses are derived. The results of the two-way time-dependent prestress losses predicted by the derived equations are compared with those of tests in the literature, and great agreement is achieved. Finally, a case study is given to show the application of the proposed method for the prediction of prestress loss in prestressed concrete containment in the nuclear power plant. Full article
(This article belongs to the Section Building Materials, and Repair & Renovation)
Show Figures

Figure 1

20 pages, 3292 KB  
Article
Multiscale Mathematical Analysis of Influencing Factors and Experimental Verification of Microcrack Self-Healing Efficiency of Bitumen Composites Using Microcapsules
by Xin-Yu Wang, Qian Sun, Sai Wang, Rong-Yue Shao and Jun-Feng Su
Materials 2023, 16(14), 5073; https://doi.org/10.3390/ma16145073 - 18 Jul 2023
Cited by 2 | Viewed by 1473
Abstract
The preparation and application of microcapsules containing healing agents have become a crucial way to enhance the self-healing capability of bitumen. This intelligent material has become a hot topic in the field of pavement material and has greatly stimulated the development and applications [...] Read more.
The preparation and application of microcapsules containing healing agents have become a crucial way to enhance the self-healing capability of bitumen. This intelligent material has become a hot topic in the field of pavement material and has greatly stimulated the development and applications of pavement engineering. However, there has been no research focused on the relationship of the multistructures from the viewpoint of molecular-size, microsize, and macrosize, which significantly limits the predictions of the self-healing efficiency and structure design of this self-healing material. The purpose of this study was to make a mathematical analysis of the influencing factors of self-healing efficiency based on the self-healing mechanism of bitumen using microcapsules, fully considering the structural dimensions, preparation conditions, and self-healing conditions. In the mathematical analysis, the cross-linking degree of the shell material molecules of the microcapsules was considered for its damage strength from the perspective of molecular structure. The final tip stress of the microcrack was believed to be equal to the puncture strength of the microcapsules in terms of microsize. From a macroscale point of view, the amount of healing agent released from the microcapsule rupture was considered more significant than or equal to the volume of the microcracks. At the same time, the time–temperature superposition principle was applied to simplify the influence factors. The above derivation based on multiscale structures found that the additive amount of the microcapsules, temperature, and time were the three main influencing factors on the self-healing features of bitumen. Finally, the experimental data was investigated considering the three factors, which thoroughly verified the feasibility of the derivation. All results will help to establish a bridge between the initial structural design of self-healing bitumen and the prediction of the final self-healing effects. Full article
(This article belongs to the Special Issue Polymer Composites: Design, Manufacturing and Recycling)
Show Figures

Figure 1

19 pages, 4472 KB  
Article
Nonlinear Stress-Free-State Forward Analysis Method of Long-Span Cable-Stayed Bridges Constructed in Stages
by Shaoyang Wei, Wenfeng Gong, Xiaoguang Wu and Zhaohui Zhang
Buildings 2023, 13(7), 1735; https://doi.org/10.3390/buildings13071735 - 8 Jul 2023
Cited by 6 | Viewed by 1707
Abstract
Structural analysis and construction control of staged-construction processes are major subjects in the context of modern long-span bridges. Although the forward and backward analysis methods are able to simulate situations, their main disadvantage is that they usually apply the stage superposition principle. In [...] Read more.
Structural analysis and construction control of staged-construction processes are major subjects in the context of modern long-span bridges. Although the forward and backward analysis methods are able to simulate situations, their main disadvantage is that they usually apply the stage superposition principle. In the actual construction process, due to changes made to the plan, the construction process needs to be adjusted at any time, and it is difficult to implement the construction process in complete accordance with the established plan. As a result, the existing simulation method based on the incremental structural analysis of each construction stage has poor adaptability to such adjustments. In this study, considering the strong geometric nonlinear behavior of the long-span cable-stayed bridge construction process, the geometrically nonlinear mechanical equations of the staged-construction bar system structure were derived. The minimum potential energy theorem was used by introducing the concept of the stress-free-state variable of the structural elements. The equation reflects the influence of the change in the stress-free-state variables of structural elements on the completion state of the structure. From the analysis of the geometrical condition that the equilibrium equation holds, the stress-free installation condition of the closing section of the planar beam element structure was obtained. A new simulation method for long-span cable-stayed bridge construction has been proposed, which is called the stress-free-state forward analysis. This method can directly obtain the intermediate process state of cable-stayed bridge construction without performing stage-by-stage demolition calculations, and causing the internal force and deformation of the completion state to reach the design target state. This method can realize the simulation of multi-process parallel operation in construction, and solves the problem of automatic filtering of temporary loads. To illustrate the application of the method, a long-span cable-stayed bridge was analyzed. Full article
Show Figures

Figure 1

13 pages, 3306 KB  
Article
A Study on the Characteristics of High-Solid-Water Filling Materials with Different Water Contents Based on the Boltzmann Superposition Principle
by Jianguo Zhang, Yuejin Zhou, Yuhang Xiao, Man Wang, Shuaitao Liu, Zhanbiao Yang and Xiaotong Li
Sustainability 2023, 15(12), 9675; https://doi.org/10.3390/su15129675 - 16 Jun 2023
Cited by 2 | Viewed by 1394
Abstract
High-solid-water material is a kind of soft rock-like material with significant plastic deformation characteristics, and creep performance is its important material property. In order to study the effect of creep on the properties of high-solid-water materials, this paper first conducts creep tests of [...] Read more.
High-solid-water material is a kind of soft rock-like material with significant plastic deformation characteristics, and creep performance is its important material property. In order to study the effect of creep on the properties of high-solid-water materials, this paper first conducts creep tests of high-solid-water filling materials under different loading methods, performs creep data analysis based on the Boltzmann superposition principle, carries out the creep experiment of high-solid-water materials under different water contents to analyze the creep characteristics of high-solid-water materials, and then processes the curve of graded loading based on the Boltzmann superposition principle to obtain the strain–time curve of axial creep under different constant stress. Finally, the instantaneous curve is compared with the creep stress–strain curve. It is concluded that the high-solid-water filling materials with water content of 61%, 65% and 69% meet the transportation requirements and filling requirements, and the total coagulation time increases slightly with the increase in water content. The curve treated by the Boltzmann superposition principle has the same trend in the overall creep process and the creep curve loaded separately. With the increase in loading stress, the total strain of the material gradually increases, and with the increase in the water content of the material, the rate of change in the total strain of the material also increases. The long-term strength of high-solid-water materials decreases with the increase in water content. The specimen will eventually cause irreversible failure under long-term stress during the fourth-stage loading. Full article
Show Figures

Figure 1

15 pages, 1136 KB  
Article
Thermo-Viscoelastic Characterization of 3D Printing Polymers
by Sung Yi, Nakyung Oh, Kyung-Eun Min, Je-Sik Shin and Cheolhee Kim
Appl. Sci. 2023, 13(5), 2876; https://doi.org/10.3390/app13052876 - 23 Feb 2023
Cited by 5 | Viewed by 2434
Abstract
Polymer materials used in 3D printing exhibit degradation of material mechanical properties when exposed to thermal environments and thermal expansions can induce residual stresses in products or molds, which may result in dimensional instability and subsequent structural failures. In this study, based on [...] Read more.
Polymer materials used in 3D printing exhibit degradation of material mechanical properties when exposed to thermal environments and thermal expansions can induce residual stresses in products or molds, which may result in dimensional instability and subsequent structural failures. In this study, based on linear thermo-viscoelastic principles, material degradation master curves, shift functions, and glass transition temperatures for four different polymers used for 3D printing techniques such as MultiJet Printing and Digital Lighting Process were measured by using a dynamic mechanical analyzer. Based on the single frequency test, the glass transition temperature was measured. In addition, dynamic measurements were carried out over a frequency range at isothermal condition and storage modulus vs. frequency curves were obtained. Then, the storage moduli curves measured at different temperatures were superposed into master curves using the frequency–temperature superposition principle and shift factors were calculated as a function of temperature. Subsequently, the complex moduli curves that were measured in the frequency were curve-fitted onto generalized Maxwell models by using the least squares method and the master curves of relaxation moduli at reference temperature were obtained. The effects of temperature, frequency, and time on dynamic moduli and relaxation behaviors of four polymers used for 3D printing were evaluated. Experimental results showed that Polymers C and D could be suitable to use at the service temperature above 100 °C and Polymer C was highly crosslinked and showed low modulus reduction after about a year. The master relaxation curves obtained through this process can be utilized to predict the long-term performance of polymer molds made by 3D printing at a given environmental condition. Full article
(This article belongs to the Special Issue Selected Papers in the Section Materials 2022)
Show Figures

Figure 1

Back to TopTop