Sign in to use this feature.

Years

Between: -

Subjects

remove_circle_outline
remove_circle_outline
remove_circle_outline
remove_circle_outline
remove_circle_outline
remove_circle_outline
remove_circle_outline
remove_circle_outline
remove_circle_outline

Journals

remove_circle_outline
remove_circle_outline
remove_circle_outline
remove_circle_outline
remove_circle_outline
remove_circle_outline
remove_circle_outline
remove_circle_outline
remove_circle_outline
remove_circle_outline
remove_circle_outline
remove_circle_outline
remove_circle_outline
remove_circle_outline
remove_circle_outline

Article Types

Countries / Regions

remove_circle_outline
remove_circle_outline
remove_circle_outline
remove_circle_outline
remove_circle_outline
remove_circle_outline

Search Results (1,619)

Search Parameters:
Keywords = Series Architecture

Order results
Result details
Results per page
Select all
Export citation of selected articles as:
19 pages, 3804 KB  
Article
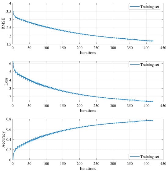
An Optimized CNN-BiLSTM-RF Temporal Framework Based on Relief Feature Selection and Adaptive Weight Integration: Rotary Kiln Head Temperature Prediction
by Jianke Gu, Yao Liu, Xiang Luo and Yiming Bo
Processes 2025, 13(12), 3891; https://doi.org/10.3390/pr13123891 (registering DOI) - 2 Dec 2025
Abstract
The kiln head temperature of a rotary kiln is a core process parameter in cement clinker production, and its accurate prediction coupled with uncertainty quantification is crucial for process optimization, energy consumption control, and safe operation. To tackle the prediction challenges arising from [...] Read more.
The kiln head temperature of a rotary kiln is a core process parameter in cement clinker production, and its accurate prediction coupled with uncertainty quantification is crucial for process optimization, energy consumption control, and safe operation. To tackle the prediction challenges arising from strong multi-variable coupling and nonlinear time series characteristics, this paper proposes a prediction approach integrating feature selection, heterogeneous model ensemble, and probabilistic interval estimation. Firstly, the Relief algorithm is adopted to select key features and construct a time series feature set with high discriminability. Then, a hierarchical architecture encompassing deep feature extraction, heterogeneous model fusion, and probabilistic interval quantification is devised. CNN is utilized to extract spatial correlation features among multiple variables, while BiLSTM is employed to bidirectionally capture the long-term and short-term temporal dependencies of the temperature sequence, thereby forming a deep temporal–spatial feature representation. Subsequently, RF is introduced to establish a heterogeneous model ensemble mechanism, and dynamic weight allocation is implemented based on the Mean Absolute Error of the validation set to enhance the modeling capability for nonlinear coupling relationships. Finally, Gaussian probabilistic regression is leveraged to generate multi-confidence prediction intervals for quantifying prediction uncertainty. Experiments on the real rotary kiln dataset demonstrate that the R2 of the proposed model is improved by up to 15.5% compared with single CNN, BiLSTM and RF models, and the Mean Absolute Error is reduced by up to 27.7%, which indicates that the model exhibits strong robustness to the dynamic operating conditions of the rotary kiln and provides both accuracy guarantee and risk quantification basis for process decision-making. This method offers a new paradigm integrating feature selection, adaptive heterogeneous model collaboration, and uncertainty quantification for industrial multi-variable nonlinear time series prediction, and its hierarchical modeling concept is valuable for the intelligent perception of complex process industrial parameters. Full article
(This article belongs to the Special Issue Transfer Learning Methods in Equipment Reliability Management)
Show Figures

Figure 1

10 pages, 2360 KB  
Article
Glass-Based 4-in-1 High-Voltage Micro-LED Package for High-Brightness Mini-LED Backlight Applications
by Chien-Chi Huang, Tzu-Yi Lee, Chia-Hung Tsai, Fang-Chung Chen, Li-Yin Chen and Hao-Chung Kuo
Nanomaterials 2025, 15(23), 1818; https://doi.org/10.3390/nano15231818 - 1 Dec 2025
Abstract
A novel four-in-one (4-in-series) MicroLED-in-Package (MiP4) architecture is demonstrated for the first time, integrating four sub-85 µm blue micro-LED (µ-LED) dies on a transparent glass substrate through a redistribution-layer (RDL) interconnection process. The MiP4 device operates natively at 16 V, eliminating the need [...] Read more.
A novel four-in-one (4-in-series) MicroLED-in-Package (MiP4) architecture is demonstrated for the first time, integrating four sub-85 µm blue micro-LED (µ-LED) dies on a transparent glass substrate through a redistribution-layer (RDL) interconnection process. The MiP4 device operates natively at 16 V, eliminating the need for step-down converters and simplifying high-voltage backlight driving circuits. The transparent glass carrier enables efficient light extraction, excellent thermal dissipation, and uniform emission. Electrical and optical characterization of dual- (B2), triple- (B3), and quad-chip (B4) devices shows ideal voltage scalability (8 V, 12 V, 16 V) and stable emission at 450 ± 2 nm with minimal FWHM broadening (22–29 nm). Compared with a commercial LED, the MiP4 delivers 1.8× higher optical power (~41.8 mW) despite its active area being only ~1/70 that of the reference device (20,000 µm2 vs. 1,350,000 µm2), yielding a dramatically enhanced luminous flux density of 64 lm/mm2 at 50 mA. Furthermore, pulse-driven measurements under 2%, 5%, and 10% duty cycles verify excellent thermal stability and minimal spectral shift (<1 nm), confirming the device’s robustness and energy efficiency. This first-of-its-kind 4-in-1 high-voltage glass-based µ-LED package provides a scalable and manufacturable route toward next-generation ultra-thin, high-brightness Mini-LED backlight and optical communication systems. Full article
(This article belongs to the Section Nanoelectronics, Nanosensors and Devices)
Show Figures

Figure 1

66 pages, 666 KB  
Review
Machine Learning for Sensor Analytics: A Comprehensive Review and Benchmark of Boosting Algorithms in Healthcare, Environmental, and Energy Applications
by Yifan Xie and Sai Pranay Tummala
Sensors 2025, 25(23), 7294; https://doi.org/10.3390/s25237294 (registering DOI) - 30 Nov 2025
Abstract
Sensor networks generate high-dimensional temporally dependent data across healthcare, environmental monitoring, and energy management, which demands robust machine learning for reliable forecasting. While gradient boosting methods have emerged as powerful tools for sensor-based regression, systematic evaluation under realistic deployment conditions remains limited. This [...] Read more.
Sensor networks generate high-dimensional temporally dependent data across healthcare, environmental monitoring, and energy management, which demands robust machine learning for reliable forecasting. While gradient boosting methods have emerged as powerful tools for sensor-based regression, systematic evaluation under realistic deployment conditions remains limited. This work provides a comprehensive review and empirical benchmark of boosting algorithms spanning classical methods (AdaBoost and GBM), modern gradient boosting frameworks (XGBoost, LightGBM, and CatBoost), and adaptive extensions for streaming data and hybrid architectures. We conduct rigorous cross-domain evaluation on continuous glucose monitoring, urban air-quality forecasting, and building-energy prediction, assessing not only predictive accuracy but also robustness under sensor degradation, temporal generalization through proper time-series validation, feature-importance stability, and computational efficiency. Our analysis reveals fundamental trade-offs challenging conventional assumptions. Algorithmic sophistication yields diminishing returns when intrinsic predictability collapses due to exogenous forcing. Random cross-validation (CV) systematically overestimates performance through temporal leakage, with magnitudes varying substantially across domains. Calibration drift emerges as the dominant failure mode, causing catastrophic degradation across all the static models regardless of sophistication. Importantly, feature-importance stability does not guarantee predictive reliability. We synthesize the findings into actionable guidelines for algorithm selection, hyperparameter configuration, and deployment strategies while identifying critical open challenges, including uncertainty quantification, physics-informed architectures, and privacy-preserving distributed learning. Full article
(This article belongs to the Special Issue Feature Review Papers in Intelligent Sensors)
28 pages, 46098 KB  
Article
Assessing Time Series Foundation Models for Probabilistic Electricity Price Forecasting: Toward a Unified Benchmark
by Gabriele Marchesi, Andrea Ballarino and Alessandro Brusaferri
Energies 2025, 18(23), 6269; https://doi.org/10.3390/en18236269 (registering DOI) - 28 Nov 2025
Viewed by 58
Abstract
Probabilistic electricity price forecasting (PEPF) is a highly complex task with broad economic and operational impact. Recent advances in time series foundation models (TSFMs) offer promising tools to improve PEPF performance. In contrast, PEPF provides a challenging platform for evaluating and accelerating the [...] Read more.
Probabilistic electricity price forecasting (PEPF) is a highly complex task with broad economic and operational impact. Recent advances in time series foundation models (TSFMs) offer promising tools to improve PEPF performance. In contrast, PEPF provides a challenging platform for evaluating and accelerating the development of general TSFMs. Despite their potential synergies, TSFMs have received limited attention in the PEPF literature, while the PEPF task remains largely unexplored in the TSFM context. This work aims to bridge these currently parallel research streams, fostering convergence and cross-fertilization to advance both fields. Focusing on Moirai, an open-source probabilistic framework with native covariate support and fine-tuning capabilities, we set up a comprehensive benchmark against specialized neural network-based PEPF methods across multiple market regions characterized by high variability and heterogeneous conditions. Additionally, we systematically explore fine-tuning strategies and model configurations, including context lengths and exogenous variable usage, to assess their impact on probabilistic forecasting accuracy. Experimental results indicate that Moirai provides promising zero-shot predictions, though it still underperforms compared to domain-specific neural networks. Fine-tuning improves calibration, while the architecture does not yet fully leverage exogenous features. Taken together, these observations offer valuable insights to foster future developments. We release our code through an open repository to facilitate collaborative progress within the PEPF and TSFM communities. Full article
Show Figures

Figure 1

24 pages, 35078 KB  
Article
AUP-DETR: A Foundational UAV Object Detection Framework for Enabling the Low-Altitude Economy
by Jiajing Xu, Xiaozhang Liu, Xiulai Li and Yuanyan Hu
Drones 2025, 9(12), 822; https://doi.org/10.3390/drones9120822 - 27 Nov 2025
Viewed by 90
Abstract
The ascent of the low-altitude economy underscores the critical need for autonomous perception in Unmanned Aerial Vehicles (UAVs), particularly within complex environments such as urban ports. However, existing object detection models often perform poorly when dealing with land–sea mixed scenes, extreme scale variations, [...] Read more.
The ascent of the low-altitude economy underscores the critical need for autonomous perception in Unmanned Aerial Vehicles (UAVs), particularly within complex environments such as urban ports. However, existing object detection models often perform poorly when dealing with land–sea mixed scenes, extreme scale variations, and dense object distributions from a UAV’s aerial perspective. To address this challenge, we propose AUP-DETR, a novel end-to-end object detection framework for UAVs. This framework, built upon an efficient DETR architecture, features the innovative Fusion with Streamlined Hybrid Core (Fusion-SHC) module. This module effectively fuses low-level spatial details with high-level semantics to strengthen the representation of small aerial objects. Additionally, a Synergistic Spatial Context Fusion (SSCF) module adaptively integrates multi-scale features to generate rich and unified representations for the detection head. Moreover, the proposed Spatial Agent Transformer (SAT) efficiently models global context and long-range dependencies to distinguish heterogeneous objects in complex scenes. To advance related research, we have constructed the Urban Coastal Aerial Detection (UCA-Det) dataset, which is specifically designed for urban port environments. Extensive experiments on our UCA-Det dataset show that AUP-DETR outperforms the YOLO series and other advanced DETR-based models. Our model achieves an mAP50 of 69.68%, representing a 4.41% improvement over the baseline. Furthermore, experiments on the public VisDrone dataset validate its excellent generalization capability and efficiency. This research delivers a robust solution and establishes a new dataset for precise UAV perception in low-altitude economy scenarios. Full article
Show Figures

Figure 1

21 pages, 5173 KB  
Article
EdgeFormer-YOLO: A Lightweight Multi-Attention Framework for Real-Time Red-Fruit Detection in Complex Orchard Environments
by Zhiyuan Xu, Tianjun Luo, Yinyi Lai, Yuheng Liu and Wenbin Kang
Mathematics 2025, 13(23), 3790; https://doi.org/10.3390/math13233790 - 26 Nov 2025
Viewed by 94
Abstract
Accurate and efficient detection of red fruits in complex orchard environments is crucial for the autonomous operation of agricultural harvesting robots. However, existing methods still face challenges such as high false negative rates, poor localization accuracy, and difficulties in edge deployment in real-world [...] Read more.
Accurate and efficient detection of red fruits in complex orchard environments is crucial for the autonomous operation of agricultural harvesting robots. However, existing methods still face challenges such as high false negative rates, poor localization accuracy, and difficulties in edge deployment in real-world scenarios involving occlusion, strong light reflection, and drastic scale changes. To address these issues, this paper proposes a lightweight multi-attention detection framework, EdgeFormer-YOLO. While maintaining the efficiency of the YOLO series’ single-stage detection architecture, it introduces a multi-head self-attention mechanism (MHSA) to enhance the global modeling capability for occluded fruits and employs a hierarchical feature fusion strategy to improve multi-scale detection robustness. To further adapt to the quantitative deployment requirements of edge devices, the model introduces the arsinh activation function, improving numerical stability and convergence speed while maintaining a non-zero gradient. On the red fruit dataset, EdgeFormer-YOLO achieves 95.7% mAP@0.5, a 2.2 percentage point improvement over the YOLOv8n baseline, while maintaining 90.0% precision and 92.5% recall. Furthermore, on the edge GPU, the model achieves an inference speed of 148.78 FPS with a size of 6.35 MB, 3.21 M parameters, and a computational overhead of 4.18 GFLOPs, outperforming some existing mainstream lightweight YOLO variants in both speed and mAP@50. Experimental results demonstrate that EdgeFormer-YOLO possesses comprehensive advantages in real-time performance, robustness, and deployment feasibility in complex orchard environments, providing a viable technical path for agricultural robot vision systems. Full article
Show Figures

Figure 1

30 pages, 23031 KB  
Article
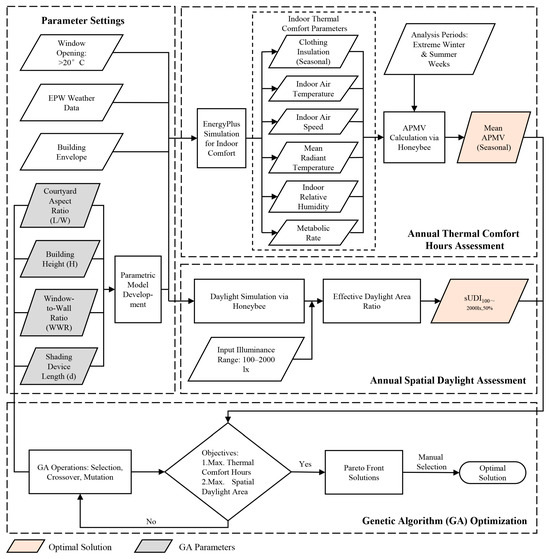
Design Research on Improving the Environmental Performance of Rural Dwellings in China’s Hexi Corridor with Seasonal Room Rotation
by Luxuan Shang, Bo Gao, Dan Yang, Shuqi Li and Haoran Yu
Buildings 2025, 15(23), 4263; https://doi.org/10.3390/buildings15234263 - 25 Nov 2025
Viewed by 114
Abstract
Since the reform and opening-up, China’s urbanization has progressed rapidly, leading to a continuous migration of rural populations to urban areas. This population outflow is particularly pronounced in the economically less developed Northwest China, triggering a series of issues such as rural vacancy [...] Read more.
Since the reform and opening-up, China’s urbanization has progressed rapidly, leading to a continuous migration of rural populations to urban areas. This population outflow is particularly pronounced in the economically less developed Northwest China, triggering a series of issues such as rural vacancy and the idling of residential resources. Against this backdrop, there is an urgent need for scientific methods to guide the renewal design of rural residences, aiming to enhance living comfort, optimize spatial utilization efficiency, and curb rural decline. Although existing research often explores resource utilization strategies at the village level, systematic studies focusing on the individual building scale remain relatively scarce. This study targets rural residences in the Hexi Corridor region. It systematically identifies the “Seasonal Room Rotation” living pattern formed under the context of population contraction and analyzes the “conflict between solar gain and overheating” phenomenon caused by the extreme climate. By integrating architectural characteristics and psychrometric chart analysis, suitable passive design strategies are summarized. Furthermore, based on objectives for indoor light environment and thermal comfort, a genetic algorithm is employed to conduct multi-objective optimization of various building parameters. The results indicate an inherent contradiction in achieving both “warm in winter and cool in summer” within a single room. However, by functionally differentiating building spaces according to their season of use—designating separate “Winter Rooms” and “Summer Rooms”—both winter thermal insulation and summer cooling performance can be systematically enhanced. The research further proposes key design parameters applicable to this new “Seasonal Room Rotation” living pattern, including courtyard form, building height, window-to-wall ratio, and shading component dimensions. This elevates the seasonal adaptation strategy from an internal room-level compromise to a holistic building-level allocation of spatial resources. This study constructs a design methodology for enhancing the green performance of rural residences amidst population contraction. It simultaneously optimizes indoor comfort and spatial utilization efficiency, offering a highly operable new design paradigm for the green renewal of rural homes in complex climatic conditions. Full article
Show Figures

Figure 1

35 pages, 2479 KB  
Article
Integrating Vision Transformer and Time–Frequency Analysis for Stock Volatility Prediction
by Myungjin Wooh and Poongjin Cho
Mathematics 2025, 13(23), 3787; https://doi.org/10.3390/math13233787 - 25 Nov 2025
Viewed by 917
Abstract
Financial market volatility prediction remains challenging due to data nonlinearity and non-stationarity. Existing quantitative approaches struggle to capture multi-scale information embedded in time series, while convolutional neural network (CNN)-based image approaches primarily emphasize local feature extraction, whereas Vision Transformers (ViTs) more directly capture [...] Read more.
Financial market volatility prediction remains challenging due to data nonlinearity and non-stationarity. Existing quantitative approaches struggle to capture multi-scale information embedded in time series, while convolutional neural network (CNN)-based image approaches primarily emphasize local feature extraction, whereas Vision Transformers (ViTs) more directly capture global dependencies through self-attention. To address these limitations, we propose TF-ViTNet, a dual-path hybrid model that integrates time–frequency scalogram generated via Continuous Wavelet Transform (CWT) with ViTs for volatility prediction. While time–frequency analysis has been widely adopted in prior studies, the application of ViTs to CWT-based scalograms within parallel architecture provides a new perspective for capturing global spatiotemporal structures in financial volatility. The model employs a parallel architecture where a Vision Transformer pathway learns global spatiotemporal patterns from scalograms while a Long Short-Term Memory (LSTM) pathway captures temporal characteristics from technical indicators, with both streams integrated at the final stage for volatility prediction. Empirical analysis using NASDAQ and S&P 500 index data from 2010 to 2024 demonstrates that TF-ViTNet consistently outperforms LSTM models using numerical data alone and existing benchmarks. In parallel architectures, Vision Transformers capture global patterns in scalograms more effectively than CNNs, achieving significant performance improvements, particularly for NASDAQ. The model maintains stable predictive power even during high volatility regimes, demonstrating strong potential as a risk management tool. Data augmentation improves performance for the stable S&P 500 market but degrades results for the volatile NASDAQ market, emphasizing the need for market-specific augmentation strategies tailored to underlying signal-to-noise characteristics. Full article
(This article belongs to the Special Issue Advances in Machine Learning Applied to Financial Economics)
Show Figures

Figure 1

28 pages, 7396 KB  
Article
Self-Attention-Based Deep Learning for Missing Sensor Data Imputation in Real-Time Probe Card Monitoring
by Mehdi Bejani, Marco Mauri and Stefano Mariani
Sensors 2025, 25(23), 7194; https://doi.org/10.3390/s25237194 - 25 Nov 2025
Viewed by 219
Abstract
In industrial monitoring of semiconductor probe cards, real-time sensor data acquisition and processing are essential for anomaly detection and predictive maintenance. However, missing data resulting from possible sensor malfunctions present a significant challenge, compromising the integrity of subsequent analyses. The present study addresses [...] Read more.
In industrial monitoring of semiconductor probe cards, real-time sensor data acquisition and processing are essential for anomaly detection and predictive maintenance. However, missing data resulting from possible sensor malfunctions present a significant challenge, compromising the integrity of subsequent analyses. The present study addresses this issue by applying and evaluating a state-of-the-art deep learning approach, the Self-Attention-based Imputation for Time Series model, to reconstruct corrupted signals from an industrial sensor network comprising accelerometers and microphones. A rigorous evaluation was conducted against traditional imputation methods and a powerful deep learning comparison method, the Bidirectional Recurrent Imputation for Time Series model, using a comprehensive set of time- and frequency-domain metrics. The results demonstrate that the self-attention model achieves competitive or superior accuracy, with an average improvement of 66% (with values ranging between 25% and 88%) in Mean Absolute Error over traditional methods especially in scenarios with extensive data loss, ensuring high fidelity in the reconstructed signals. The proposed analysis shows that the attention-based architecture offers a substantial practical advantage, completing training per epoch more than twenty times faster than the recurrent-based comparison method. This balance of high performance and computational efficiency makes the self-attention framework a robust and pragmatic solution to achieve data integrity in demanding monitoring and management systems. Full article
(This article belongs to the Special Issue Signal Processing and Machine Learning for Sensor Systems)
Show Figures

Figure 1

16 pages, 3894 KB  
Article
Electrospun ZnO Nanofibers as Functional Interlayer in CdS/PbS-Based n–p Thin Film Solar Cells
by Rodrigo Hernández-Hernández, Liliana Licea-Jiménez, Francisco de Moure-Flores, José Santos-Cruz, Aime Gutiérrez-Peralta and Claudia Elena Pérez-García
Coatings 2025, 15(12), 1371; https://doi.org/10.3390/coatings15121371 - 24 Nov 2025
Viewed by 278
Abstract
We introduce a fully solution-processed interlayer strategy for n–p CdS/PbS thin film solar cells that combines a sol–gel ZnO compact coating with an electrospun ZnO nanofiber network. The synthesis and characterization of ZnO, CdS, and PbS thin films, complemented by electrospun ZnO nanofibers, [...] Read more.
We introduce a fully solution-processed interlayer strategy for n–p CdS/PbS thin film solar cells that combines a sol–gel ZnO compact coating with an electrospun ZnO nanofiber network. The synthesis and characterization of ZnO, CdS, and PbS thin films, complemented by electrospun ZnO nanofibers, are aimed at low-cost photovoltaic applications. Sol–gel ZnO films exhibited a hexagonal wurtzite structure with a bandgap (Eg) of approximately 3.28 eV, functioning effectively as electron transport and hole-blocking layers. CdS films prepared by chemical bath deposition (CBD) showed mixed cubic and hexagonal phases with an Eg of about 2.44 eV. PbS films deposited at low temperature displayed a cubic galena structure with a bandgap of approximately 0.40 eV. Scanning Electron Microscopy revealed uniform ZnO and CdS surface coatings and a conformal 1D ZnO network with nanofibers measuring about 50 nm in diameter (ranging from 49.9 to 53.4 nm), which enhances interfacial contact coverage. PbS films exhibited dense grains ranging from 50 to 150 nm, and EDS confirmed the expected stoichiometries. Electrical characterization indicated low carrier densities and high resistivities consistent with low-temperature processing, while mobilities remained within reported ranges. The incorporation of ZnO layers and nanofibers significantly improved device performance, particularly at the CdS/PbS heterojunction. The device achieved a Voc of 0.26 V, an Jsc of 3.242 mA/cm2, and an efficiency of 0.187%. These improvements are attributed to enhanced electron transport selectivity and reduced interfacial recombination provided by the percolated 1D ZnO network, along with effective hole blocking by the compact film and increased surface area. Fill-factor limitations are linked to series resistance losses, suggesting potential improvements through fiber densification, sintering, and control of the compact layer thickness. This work is a proof-of-concept of a fully solution-processed and low-temperature CdS/PbS architecture. Efficiencies remain modest due to low carrier concentrations typical of low-temperature CBD films and the deliberate omission of high-temperature annealing/ligand exchange. Overall, this non-vacuum, low-temperature coating method establishes electrospun ZnO as a tunable functional interlayer for CdS/PbS devices and offers a practical pathway to elevate power output in scalable productions. These findings highlight the potential of nanostructured intermediate layers to optimize charge separation and transport in low-cost PbS/CdS/ZnO solar cell architectures. Full article
(This article belongs to the Special Issue Innovative Thin Films and Coatings for Solar Cells)
Show Figures

Figure 1

14 pages, 3751 KB  
Article
Transcriptomic Analysis of Space-Induced Compound Leaf Variants in Medicago sativa: Unveiling Molecular Mechanisms Behind 5- to 13-Leaflet Number Variation in Alfalfa Mutants
by Dongqiang Wu, Yuwen Li, Hongmin Li, Jianhua Zhang, Yong Wang and Hongshan Yang
Agronomy 2025, 15(12), 2683; https://doi.org/10.3390/agronomy15122683 - 22 Nov 2025
Viewed by 135
Abstract
(1) Background: Compound leaf morphogenesis in alfalfa (Medicago sativa), a key trait determining yield and agronomic value, is governed by complex molecular mechanisms. (2) Methods: This study systematically investigates the transcriptomic profiles of space-induced alfalfa mutants exhibiting diverse compound leaf numbers [...] Read more.
(1) Background: Compound leaf morphogenesis in alfalfa (Medicago sativa), a key trait determining yield and agronomic value, is governed by complex molecular mechanisms. (2) Methods: This study systematically investigates the transcriptomic profiles of space-induced alfalfa mutants exhibiting diverse compound leaf numbers through RNA sequencing and Short Time-series Expression Miner (STEM)-based data analysis. (3) Results: Our findings reveal that transcriptional regulators, phosphorylation-related protein kinases, and glycoside hydrolases collectively modulate this trait. Specifically, GRAS and WRKY transcription factors show positive correlations with increased leaflet numbers, highlighting their roles in promoting leaflet initiation. Conversely, transcript levels of serine-threonine/tyrosine-protein kinases are inversely related to leaflet number, suggesting their involvement in suppressing excessive leaflet formation via post-translational modifications. Notably, glycoside hydrolases exhibit suppressed expression in mutants with higher leaflet numbers compared to wild-type plants, implying a regulatory role in balancing cell wall plasticity during morphogenesis. (4) Conclusions: These results provide critical insights into the interplay between transcriptional control, phosphorylation dynamics, and cell wall remodeling in shaping compound leaf architecture. Furthermore, the identified genes and pathways offer novel molecular targets for breeding strategies aimed at optimizing multi-leaflet alfalfa varieties, with potential applications in agricultural productivity and functional genomics. Full article
(This article belongs to the Section Crop Breeding and Genetics)
Show Figures

Figure 1

18 pages, 3211 KB  
Article
Soybean Mapping Using Landsat Imagery and Deep Learning: A Case Study in Northeast China
by Qi Xin, Zhengwei He, Hui Deng and Jianyong Zhang
Agronomy 2025, 15(12), 2674; https://doi.org/10.3390/agronomy15122674 - 21 Nov 2025
Viewed by 208
Abstract
Understanding soybean cultivation in Northeast China is essential for informing policies related to national food security. However, long-term, high-resolution soybean maps are still lacking, largely due to persistent cloud cover, limited availability of high-quality field labels, and the difficulty of capturing crop phenological [...] Read more.
Understanding soybean cultivation in Northeast China is essential for informing policies related to national food security. However, long-term, high-resolution soybean maps are still lacking, largely due to persistent cloud cover, limited availability of high-quality field labels, and the difficulty of capturing crop phenological dynamics using traditional remote sensing methods. To address this gap, this study aims to develop a robust framework for generating decade-long soybean distribution maps by integrating medium-resolution Landsat imagery with advanced deep learning techniques. We mapped the soybean distribution across Northeast China from 2013 to 2022 by constructing a bi-monthly NDVI-based composite and applying a deep learning model that combines the Transformer architecture with fully connected neural networks. The model was trained using a large set of field-surveyed samples collected between 2017 and 2019. Validation results demonstrate strong classification performance, with a user accuracy of 89.77% and a producer accuracy of 88.59%, sufficient for reliable spatiotemporal analysis. When compared with prefecture-level statistical yearbook data, the predicted annual soybean areas show a high degree of agreement (R2 = 0.9226). Overall, this study not only fills an important gap in long-term soybean mapping for Northeast China, but also provides a replicable methodological framework for large-scale, time-series crop mapping. The approach has strong potential for broader application in agricultural monitoring and food security assessment. Full article
(This article belongs to the Section Precision and Digital Agriculture)
Show Figures

Figure 1

26 pages, 2301 KB  
Review
Fault Detection and Diagnosis for Human-Centric Robotic Actuation in Healthcare: Methods, Failure Modes, and a Validation Framework
by Camelia Adela Maican, Cristina Floriana Pană, Nicolae Răzvan Vrăjitoru, Daniela Maria Pătrașcu-Pană and Virginia Maria Rădulescu
Actuators 2025, 14(12), 566; https://doi.org/10.3390/act14120566 - 21 Nov 2025
Viewed by 350
Abstract
This review synthesises fault detection and diagnosis (FDD) methods for robotic actuation in healthcare, where precise, compliant, and safe physical human–robot interaction (pHRI) is essential. Actuator families—harmonic-drive electric transmissions, series-elastic designs, Cable/Bowden mechanisms, permanent-magnet synchronous motors (PMSM), and force–torque-sensed architectures—are mapped to characteristic [...] Read more.
This review synthesises fault detection and diagnosis (FDD) methods for robotic actuation in healthcare, where precise, compliant, and safe physical human–robot interaction (pHRI) is essential. Actuator families—harmonic-drive electric transmissions, series-elastic designs, Cable/Bowden mechanisms, permanent-magnet synchronous motors (PMSM), and force–torque-sensed architectures—are mapped to characteristic fault classes and to sensing, residual-generation, and decision pipelines. Four methodological families are examined: model-based observers/parity relations, parameter-estimation strategies, signal-processing with change detection, and data-driven pipelines. Suitability for pHRI is assessed by attention to latency, robustness to movement artefacts, user comfort, and fail-safe behaviour. Aligned with ISO 14971 and the IEC 60601/80601 series, a validation framework is introduced, with reportable metrics—time-to-detect (TTD), minimal detectable fault amplitude (MDFA), and false-alarm rate (FAR)—at clinically relevant thresholds, accompanied by a concise reporting checklist. Across 127 studies (2016–2025), a pronounced technology-dependent structure emerges in the actuator-by-fault relationship; accuracy (ACC/F1) is commonly reported, whereas MDFA, TTD, and FAR are rarely documented. These findings support actuation-aware observers and decision rules and motivate standardised reporting beyond classifier accuracy to enable clinically meaningful, reproducible evaluation in contact-rich pHRI. Full article
Show Figures

Figure 1

27 pages, 1621 KB  
Article
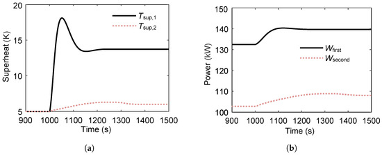
Dynamic Behavior Analysis of Complex-Configuration Organic Rankine Cycle Systems Using a Multi-Time-Scale Dynamic Modeling Framework
by Jinao Shen and Youyi Li
Entropy 2025, 27(11), 1170; https://doi.org/10.3390/e27111170 - 19 Nov 2025
Viewed by 205
Abstract
Organic Rankine Cycle (ORC) systems with complex configurations exhibit strong thermo-mechanical–electrical–magnetic coupling, making dynamic analysis computationally demanding. This study proposes a multi-time-scale modeling framework that partitions the system into second-, decisecond-, and hybrid-scale subsystems for separate computation, reducing simulation time while maintaining accuracy. [...] Read more.
Organic Rankine Cycle (ORC) systems with complex configurations exhibit strong thermo-mechanical–electrical–magnetic coupling, making dynamic analysis computationally demanding. This study proposes a multi-time-scale modeling framework that partitions the system into second-, decisecond-, and hybrid-scale subsystems for separate computation, reducing simulation time while maintaining accuracy. Dynamic models are developed for heat exchangers, expanders, pumps, generators, and converters. The method is validated on a basic ORC system using operational data, achieving a mean absolute error of 2.12%, well within the ±5% tolerance. It is then applied to a series dual-loop ORC and a multi-heat-source ORC with series heat exchangers. Results indicate that the dual-loop configuration enhances disturbance rejection to both sink and heat-source fluctuations, while dual-heat-source system dynamics are predominantly governed by the second heat source. The framework enables efficient, accurate simulation of complex ORC architectures and provides a robust basis for advanced control strategy development. Full article
(This article belongs to the Section Thermodynamics)
Show Figures

Figure 1

16 pages, 3941 KB  
Article
Bis-Oxadiazole Assemblies as NO-Releasing Anticancer Agents
by Egor M. Matnurov, Irina A. Stebletsova, Alexander A. Larin, Jemma Arakelyan, Ivan V. Ananyev, Artem L. Gushchin, Leonid L. Fershtat and Maria V. Babak
Pharmaceutics 2025, 17(11), 1494; https://doi.org/10.3390/pharmaceutics17111494 - 19 Nov 2025
Viewed by 603
Abstract
Background: Malignant pleural mesothelioma (MPM) is an aggressive, asbestos-associated cancer characterized by dysregulated nitric oxide (NO) signaling and increased NO levels that facilitate tumor progression. Paradoxically, this aberrant NO environment creates a therapeutic vulnerability that can be exploited by NO-donor prodrugs, which [...] Read more.
Background: Malignant pleural mesothelioma (MPM) is an aggressive, asbestos-associated cancer characterized by dysregulated nitric oxide (NO) signaling and increased NO levels that facilitate tumor progression. Paradoxically, this aberrant NO environment creates a therapeutic vulnerability that can be exploited by NO-donor prodrugs, which overwhelm cellular defenses with cytotoxic concentrations of NO, inducing nitrosative stress and apoptosis. Within this framework, oxadiazole-based scaffolds have emerged as a promising platform for prodrug development owing to their versatile chemistry and potential as novel NO donors or synergistic agents. In our previous studies, we developed several series of hybrid architectures incorporating 1,2,5-oxadiazole 2-oxide (furoxan) and 1,2,4-oxadiazole scaffolds, producing compounds with diverse and tunable NO-donor activities. We further observed that the cytotoxicity of these hybrids was significantly influenced by the substituents introduced at position 3 of the furoxan ring. Methods: We designed and synthesized a series of bis(1,2,4-oxadiazolyl)furoxans to systematically investigate their NO-donating capacity, cytotoxicity against MPM cell lines, selectivity over healthy lung fibroblasts, and underlying anticancer mechanisms. Results: The bis(1,2,4-oxadiazolyl)furoxans exhibited lower overall cytotoxicity but significantly higher selectivity compared with previously studied 3-cyano-4-(1,2,4-oxadiazolyl)furoxans. Their NO-releasing properties showed a strong correlation with their ability to induce mitochondrial damage, as evidenced by membrane depolarization. Moreover, the incorporation of specific substituents, such as a furan ring, on the 1,2,4-oxadiazole moiety introduced an additional mechanism of action through the induction of reactive oxygen species. Conclusions: Analysis of cancer cell death confirmed that these compounds acted through a multimodal mechanism dependent on both NO release and the specific substituents on the 1,2,4-oxadiazole moiety. Full article
(This article belongs to the Special Issue Prodrug Applications for Targeted Cancer Therapy)
Show Figures

Graphical abstract

Back to TopTop