Sign in to use this feature.

Years

Between: -

Subjects

remove_circle_outline
remove_circle_outline
remove_circle_outline
remove_circle_outline
remove_circle_outline
remove_circle_outline
remove_circle_outline
remove_circle_outline

Journals

Article Types

Countries / Regions

Search Results (34)

Search Parameters:
Keywords = SMA bar

Order results
Result details
Results per page
Select all
Export citation of selected articles as:
38 pages, 2674 KB  
Review
Incorporation of Nitinol (NiTi) Shape Memory Alloy (SMA) in Concrete: A Review
by Muhammed Turkmen, Anas Issa, Omar Awayssa and Hilal El-Hassan
Materials 2025, 18(19), 4458; https://doi.org/10.3390/ma18194458 - 24 Sep 2025
Viewed by 822
Abstract
Incorporating Nitinol (NiTi) shape memory alloy (SMA) into concrete structures has gained significant attention in recent years due to its ability to enhance the properties of concrete. This review paper illustrates the history of NiTi SMA and its use in various civil engineering [...] Read more.
Incorporating Nitinol (NiTi) shape memory alloy (SMA) into concrete structures has gained significant attention in recent years due to its ability to enhance the properties of concrete. This review paper illustrates the history of NiTi SMA and its use in various civil engineering structural applications. A detailed analysis of the existing literature and case studies offers perspectives on the possible applications, benefits, and prospects of utilizing NiTi SMA to reinforce and strengthen elements in concrete structures. The study examined publications on the internal usage of NiTi SMA in concrete and cement-based matrices as an embedded element, including fibers, bars, cables, wires, powder, and strands. In addition, superelastic and shape memory forms of NiTi were considered. It was concluded that the superelasticity of NiTi aided in energy dissipation from impact or seismic events. It also improved the re-centering performance and deformation capacity and reduced residual stresses, strains, and cracks. Conversely, the SMA effect of NiTi helped bridge cracks, recover the original shape, and induced prestressing forces under thermal activation. Full article
(This article belongs to the Special Issue Advanced Concrete Formulations: Nanotechnology and Hybrid Materials)
Show Figures

Figure 1

16 pages, 2139 KB  
Article
Adenosine A2B Receptor Antagonism Interferes with TGF-β Cellular Signaling Through SMAD2/-3 and p65-Nf-κB in Podocytes and Protects from Phenotypical Transformation in Experimental Diabetic Glomerulopathy
by Ignacio Arias, Claudia Jara, Pablo Mendoza-Soto, Yessica Nahuelpán, Claudio Cappelli, Carlos Oyarzún, Diego Carrillo-Beltrán, Claudia Quezada-Monrás, Angelo Torres-Arévalo and Rody San Martín
Cells 2025, 14(12), 890; https://doi.org/10.3390/cells14120890 - 12 Jun 2025
Viewed by 1205
Abstract
Studies have emphasized alleviating fibrogenesis through interference with adenosine signaling in experimental diabetic nephropathy. We found that the in vivo antagonism of the adenosine A2B receptor (A2BAR) using MRS1754 in diabetic rats impedes the diabetes-induced glomerular expression of the mesenchymal-like [...] Read more.
Studies have emphasized alleviating fibrogenesis through interference with adenosine signaling in experimental diabetic nephropathy. We found that the in vivo antagonism of the adenosine A2B receptor (A2BAR) using MRS1754 in diabetic rats impedes the diabetes-induced glomerular expression of the mesenchymal-like transformation markers Snail and α-SMA, while the loss of the epithelial podocyte-specific proteins nephrin and ZO-1 was prevented. Furthermore, the production of MCP-1, CCL3, TGF-β, and the transcript levels of inflammatory mediators was reduced by A2BAR antagonism. Using human podocytes in vitro, we demonstrated that A2BAR antagonism affected the TGF-β-induced activation of SMAD2/-3, as evidenced by the attenuated phosphorylation of SMAD2/-3 and decreased SMAD3 occupancy at target gene promoters following the MRS1754 treatment. Moreover, the non-canonical activation of p65-NF-κB, the primary inflammatory signaling pathway downstream of TGF-β, and the expression of Snail were also reduced by MRS1754. We conclude that an A2BAR blockade interferes with the pathogenic TGF-β signaling cascade responsible for the phenotypical transformation of podocytes, thereby alleviating diabetic glomerulopathy. Full article
(This article belongs to the Section Cellular Pathology)
Show Figures

Graphical abstract

21 pages, 4140 KB  
Article
Investigation of the Seismic Performance of a Multi-Story, Multi-Bay Special Truss Moment Steel Frame with X-Diagonal Shape Memory Alloy Bars
by Dimitrios S. Sophianopoulos and Maria I. Ntina
Appl. Sci. 2024, 14(22), 10283; https://doi.org/10.3390/app142210283 - 8 Nov 2024
Cited by 1 | Viewed by 1635
Abstract
In this work, the seismic response of a multi-story, multi-bay special truss moment frame (STMF) with Ni-Ti shape memory alloys (SMAs) incorporated in the form of X-diagonal braces in the special segment is investigated. The diameter of the SMAs per diagonal in each [...] Read more.
In this work, the seismic response of a multi-story, multi-bay special truss moment frame (STMF) with Ni-Ti shape memory alloys (SMAs) incorporated in the form of X-diagonal braces in the special segment is investigated. The diameter of the SMAs per diagonal in each floor was initially determined, considering the expected ultimate strength of the special segment, developed when the frame reaches its target drift and the desirable collapse mechanism, i.e., the formation of plastic hinges, according to the performance-based plastic design procedure. To further investigate the response of the structure with the SMAs incorporated, half the calculated SMA diameters were introduced. Continuing, three more cases were investigated: the mean value of the SMA diameter was introduced at each floor (case DC1), half the SMA diameter of case DC1 (case DC2), and twice the SMA diameter of case DC1 (case CD3). Dynamic time history analyses under seven benchmark earthquakes were conducted using commercial nonlinear Finite Element software (SeismoStruct 2024). Results were presented in the form of top-displacement time histories, the SMAs force–displacement curves, and maximum inter-story drifts, calculating also maximum SMA displacements. The analysis outcomes highlight the potential of the SMAs to be considered as a novel material in the seismic retrofit of steel structures. Both design approaches presented exhibit a certain amount of effectiveness, depending on the distribution, with the placement of the SMA bars and the seismic excitation considered. Further research is suggested to fully understand the capabilities of the use of SMAs as dissipation devices in steel structures. Full article
(This article belongs to the Special Issue Seismic and Energy Retrofitting of Existing Buildings)
Show Figures

Figure 1

17 pages, 8510 KB  
Article
Development and Performance Evaluation of a Mechanical Connection for Steel and Shape Memory Alloy Bars
by Min-Kyu Song, Eunsoo Choi and Jong-Han Lee
Metals 2024, 14(3), 300; https://doi.org/10.3390/met14030300 - 2 Mar 2024
Viewed by 2008
Abstract
Shape memory alloys (SMAs) demonstrate a shape memory effect and superelasticity that can provide recovery performance to structural members. In this study, a round SMA bar was designed to replace the conventional deformed steel bar, particularly within the plastic hinge section of structural [...] Read more.
Shape memory alloys (SMAs) demonstrate a shape memory effect and superelasticity that can provide recovery performance to structural members. In this study, a round SMA bar was designed to replace the conventional deformed steel bar, particularly within the plastic hinge section of structural members. To integrate the SMA bar and the existing steel bar, a mechanical coupler was proposed by utilizing the advantages of both one-touch and threaded couplers. Uniaxial tensile tests were conducted to analyze the performance of the proposed coupler and the mechanical properties of the SMA–steel connected bar. Stress and strain relationships were examined for steel bars mechanically connected with the SMA bar and for SMA bars before and after exhibiting the shape memory effect. To induce the shape memory effect, SMA should be heated above the finished austenite temperature. Due to the difficulty of accurately measuring strain on the heated bar using traditional contact methods, we employed digital image correlation technology for precise strain measurement of the heated SMA bar. The experimental results indicate the effective application of SMA bars within the plastic hinge region of structural members using the proposed mechanical coupler. Full article
Show Figures

Figure 1

16 pages, 3059 KB  
Article
Can Shockwave Treatment Elicit a Molecular Response to Enhance Clinical Outcomes in Pressure Ulcers? The SHOck Waves in wouNds Project
by Mirosław Sopel, Izabela Kuberka, Izabela Szczuka, Jakub Taradaj, Joanna Rosińczuk and Robert Dymarek
Biomedicines 2024, 12(2), 359; https://doi.org/10.3390/biomedicines12020359 - 3 Feb 2024
Cited by 4 | Viewed by 1844
Abstract
Wound healing requires the coordinated interaction of dermis cells, the proper deposition of extracellular matrix, re-epithelialization, and angiogenesis. Extracorporeal shock wave (ESW) is a promising therapeutic modality for chronic wounds. This study determined the biological mechanisms activated under ESW, facilitating the healing of [...] Read more.
Wound healing requires the coordinated interaction of dermis cells, the proper deposition of extracellular matrix, re-epithelialization, and angiogenesis. Extracorporeal shock wave (ESW) is a promising therapeutic modality for chronic wounds. This study determined the biological mechanisms activated under ESW, facilitating the healing of pressure ulcers (PUs). A group of 10 patients with PUs received two sessions of radial ESW (300 + 100 pulses, 2.5 bars, 0.15 mJ/mm2, 5 Hz). Histomorphological and immunocytochemical assessments were performed on tissue sections obtained from the wound edges before the ESW (M0) and after the first (M1) and second (M2) ESW. The proliferation index of keratinocytes and fibroblasts (Ki-67), the micro-vessels’ density (CD31), and the number of myofibroblasts (α-SMA) were evaluated. The involvement of the yes-associated protein (YAP1) in sensing mechanical strain, and whether the nuclear localization of YAP1, was shown. The increased proliferative activity of epidermal cells and skin fibroblasts and the increased number of myofibroblasts, often visible as integrated cell bands, were also demonstrated as an effect of wound exposure to an ESW. The results indicate that the major skin cells, keratinocytes, and fibroblasts are mechanosensitive. They intensify proliferation and extracellular matrix remodeling in response to mechanical stress. A significant improvement in clinical wound parameters was also observed. Full article
Show Figures

Figure 1

10 pages, 2661 KB  
Article
Distinguishing the Focal-Conic Fan Texture of Smectic A from the Focal-Conic Fan Texture of Smectic B
by Natalia Osiecka-Drewniak, Zbigniew Galewski and Ewa Juszyńska-Gałązka
Crystals 2023, 13(8), 1187; https://doi.org/10.3390/cryst13081187 - 30 Jul 2023
Cited by 10 | Viewed by 2300
Abstract
This publication presents methods of distinguishing the focal texture of the conical smectic phase A (SmA) and the crystalline smectic B phase (CrB). Most often, characteristic transition bars are observed in polarized light at the temperature point of the SmA–CrB phase transition. TOApy [...] Read more.
This publication presents methods of distinguishing the focal texture of the conical smectic phase A (SmA) and the crystalline smectic B phase (CrB). Most often, characteristic transition bars are observed in polarized light at the temperature point of the SmA–CrB phase transition. TOApy software transforms each image from a series of images recorded during POM observation to a function of light intensity versus temperature. Thermo-optical analysis is a powerful quantitative tool to notice this phase transition, but it has some limitations. The other applied method, the local binary pattern (LBP) algorithm, with high probability, detects differences between the textures of the conical focal fan of the SmA and CrB phases. The LBP algorithm is an efficient tool for texture classification. Full article
Show Figures

Figure 1

18 pages, 5870 KB  
Article
Experimental Research on the Bond Performance between SMAF-ECC Composites and Steel Bar
by Zhao Yang, Shuai Li, Feng Gao and Rui Wang
Materials 2023, 16(14), 5037; https://doi.org/10.3390/ma16145037 - 17 Jul 2023
Cited by 1 | Viewed by 1688
Abstract
Combining Engineered Cementitious Composites (ECC) with shape memory alloy (SMA) fibers can form SMA fiber reinforced ECC (SMAF-ECC) that has excellent deformation recovery and energy dissipation capabilities. Substituting some of the tensioned concrete with this new composite material, along with steel bars, is [...] Read more.
Combining Engineered Cementitious Composites (ECC) with shape memory alloy (SMA) fibers can form SMA fiber reinforced ECC (SMAF-ECC) that has excellent deformation recovery and energy dissipation capabilities. Substituting some of the tensioned concrete with this new composite material, along with steel bars, is expected to significantly improve the seismic energy dissipation and self-recovery capabilities of traditional reinforced concrete components. However, a reliable bond between steel bars and SMAF-ECC is critical to ensure their synergistic performance. In this paper, the failure mode and bond strength of steel bars and SMAF-ECC were studied through direct tensile tests, and the influence factors such as steel bar diameter, bond length, and SMAF volume fraction were analyzed. A bond-slip constitutive model for steel bars and SMAF-ECC was proposed. The results show that the failure mode of the tensile test specimens is mainly steel bar pull-out failure; the incorporation of SMAF significantly enhances the bond strength between the steel bar and matrix; increasing the steel bar diameter and bond length both lead to a decrease in bond strength while increasing the SMAF volume fraction can significantly increase the bond strength. Among them, the specimen with a steel bar diameter of 12 mm, bond length of 70 mm, and SMAF volume fraction of 0.5% has the largest increase in bond strength, reaching 52.96%. The proposed improved bond-slip constitutive model is in good agreement with the bond-slip curve obtained in the experiments, with a determination coefficient of 0.99. The research results of this paper provide an important theoretical basis for promoting the engineering application of SMAF-ECC materials. Full article
(This article belongs to the Section Advanced Composites)
Show Figures

Figure 1

27 pages, 13213 KB  
Article
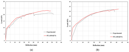
Numerical Investigation on the Performance of Exterior Beam–Column Joints Reinforced with Shape Memory Alloys
by Mahmoud M. Higazey, Mohammad J. Alshannag and Ali S. Alqarni
Buildings 2023, 13(7), 1801; https://doi.org/10.3390/buildings13071801 - 15 Jul 2023
Cited by 7 | Viewed by 3970
Abstract
Upgraded design standards coupled with the damage caused by natural disasters have led to the development of smart materials with the potential to modernize current construction practices. This investigation proposes a nonlinear finite element (FE) model for evaluating the performance of beam–column joints [...] Read more.
Upgraded design standards coupled with the damage caused by natural disasters have led to the development of smart materials with the potential to modernize current construction practices. This investigation proposes a nonlinear finite element (FE) model for evaluating the performance of beam–column joints (RC-BCJ) reinforced with shape memory alloys (SMA) and steel rebars. The model was validated based on accredited experimental data, followed by parametric analysis in ABAQUS to optimize the use of SMA bars for enhancing the seismic resistance of RC-BCJ without compromising their energy dissipation capacity. Parameters investigated include the (a) SMA–steel reinforcement ratio, (b) lengths of SMA bars, (c) elastic modulus of SMA, (d) compressive strength of concrete, and (e) axial load applied on the column. The finite element simulation results indicated that the model was capable of predicting the optimum length of SMA bars sufficient for relocating the plastic hinge away from the face of the column along the beam. Further, simulation results proved that the use of SMA bars in conjunction with steel reinforcement could be considered as an effective tool for enhancing the seismic performance of RC-BCJ joints. Among the parameters investigated, high-strength concrete was the most effective in improving joint resistance. Full article
(This article belongs to the Special Issue New Technologies in Concrete Structures)
Show Figures

Figure 1

19 pages, 4717 KB  
Article
Comparison of Pilot-Scale Capacitive Deionization (MCDI) and Low-Pressure Reverse Osmosis (LPRO) for PV-Powered Brackish Water Desalination in Morocco for Irrigation of Argan Trees
by Edgardo E. Cañas Kurz, Ulrich Hellriegel, Abdelkarim Hdoufane, Ibtissame Benaceur, Makram Anane, Fatima Jaiti, Abdelilah El-Abbassi and Jan Hoinkis
Membranes 2023, 13(7), 668; https://doi.org/10.3390/membranes13070668 - 14 Jul 2023
Cited by 9 | Viewed by 3357
Abstract
The use of saline water resources in agriculture is becoming a common practice in semi-arid and arid regions such as the Mediterranean. In the SmaCuMed project, the desalination of brackish groundwater (TDS = 2.8 g/L) for the irrigation of Argan trees in Essaouira, [...] Read more.
The use of saline water resources in agriculture is becoming a common practice in semi-arid and arid regions such as the Mediterranean. In the SmaCuMed project, the desalination of brackish groundwater (TDS = 2.8 g/L) for the irrigation of Argan trees in Essaouira, Morocco, to 2 g/L and 1 g/L (33% and 66% salt removal, respectively) using low-pressure reverse osmosis (LPRO) (p < 6 bar) and membrane capacitive deionization (MCDI) was tested at pilot scale. MCDI showed 40–70% lower specific energy consumption (SEC) and 10–20% higher water recovery; however, the throughput of LPRO (2.9 m3/h) was up to 1.5 times higher than that of MCDI. In addition, both technologies were successfully powered by PV solar energy with total water costs ranging from EUR 0.82 to EUR 1.34 per m3. In addition, the water quality in terms of sodium adsorption ratio was slightly higher with LPRO resulting in higher concentrations of Ca2+ and Mg2+, due to blending with feed water. In order to evaluate both technologies, additional criteria such as investment and specific water costs, operability and brine disposal have to be considered. Full article
(This article belongs to the Special Issue Membranes Desalination of Sea/Brackish Water)
Show Figures

Figure 1

20 pages, 9123 KB  
Article
Numerical Investigation of Flexural Behavior of Reinforced Concrete (RC) T-Beams Strengthened with Pre-Stressed Iron-Based (FeMnSiCrNi) Shape Memory Alloy Bars
by Ahmed Khalil, Mohamed Elkafrawy, Rami Hawileh, Mohammad AlHamaydeh and Wael Abuzaid
J. Compos. Sci. 2023, 7(6), 258; https://doi.org/10.3390/jcs7060258 - 19 Jun 2023
Cited by 13 | Viewed by 3215
Abstract
Shape memory alloy (SMA) is a material that can change shape in response to external stimuli such as temperature, stress, or magnetic fields. SMA types include nitinol (nickel-titanium), copper-aluminum-nickel, copper-zinc-aluminum, iron-manganese-silicon, and various nickel-titanium-X alloys, each exhibiting unique shape memory properties for different [...] Read more.
Shape memory alloy (SMA) is a material that can change shape in response to external stimuli such as temperature, stress, or magnetic fields. SMA types include nitinol (nickel-titanium), copper-aluminum-nickel, copper-zinc-aluminum, iron-manganese-silicon, and various nickel-titanium-X alloys, each exhibiting unique shape memory properties for different applications. Reinforced concrete (RC) T-beams strengthened and pre-stressed with Fe-SMA bars are numerically investigated for their flexural response under the influence of various parameters. The bars are embedded in a concrete layer attached to the beam’s soffit. Based on the numerical results, it was found that increasing the compression strength from 30 to 60 MPa slightly improves the beam’s strength (by 2%), but it significantly increases its ductility by approximately 45%. As opposed to this, the strength and ductility of the pre-stressed T-beam are considerably improved by using a larger diameter of Fe-SMA bars. Specifically, using 12 mm Fe-SMA bar over 6 mm resulted in 65% and 47% greater strength and ductility, respectively. Furthermore, this study examines the importance of considering the flange in the flexural design of pre-stressed beams. It is seen that considering a 500 mm flange width enhanced the ductility by 25% compared to the rectangular-section beam. The authors recommend further experimental work to validate and supplement the calculations and methodology used in the current numerical analysis. Full article
(This article belongs to the Section Composites Modelling and Characterization)
Show Figures

Figure 1

11 pages, 6553 KB  
Article
Research on Fatigue Performance of Shape-Memory Alloy Bars under Low Cyclic Loading
by Lei Li, Xianxian Zhao and Junwei Cheng
Buildings 2023, 13(6), 1553; https://doi.org/10.3390/buildings13061553 - 18 Jun 2023
Cited by 5 | Viewed by 2150
Abstract
In recent years, shape memory alloys (SMAs) have been applied in the vibration control of engineering structures due to their special properties such as super elasticity and high damping, and the study of the performance of SMA wires has been relatively comprehensive, while [...] Read more.
In recent years, shape memory alloys (SMAs) have been applied in the vibration control of engineering structures due to their special properties such as super elasticity and high damping, and the study of the performance of SMA wires has been relatively comprehensive, while research on the fatigue performance of SMA bars via cyclic tensile tests has been pretty rare, and low-cycle fatigue test has not been reported. However, the damage to building structures caused by earthquakes is of high-strain, low-cycle fatigue; therefore, in order for SMA bars to be used in seismic design, low-cycle fatigue tests were conducted on SMA bars with a diameter of 14 mm in this paper. Firstly, specimens were heat treated at a constant temperature of 350 °C for 30 min; other specimens were heat treated at a constant temperature of 400 °C for 15 min, while the rests were heat treated under a constant temperature of 400 °C for 30 min. Secondly, the energy dissipation capacity and residual strain of the SMA bar specimens were determined using the low-cycle fatigue test, in which the strain amplitudes were 2.5%, 3.5% and 3.75%. Additionally, the stress–strain relationship for SMA bars under cyclic loading was given. Finally, low-cycle fatigue properties of SMA bars were numerically simulated in the comparison analysis with the experimental results to verify their feasibility. Thus, it is proved that SMA bars can be recommend for seismic design building structures. Full article
Show Figures

Figure 1

23 pages, 10328 KB  
Article
Enhancing the Shear Capacity of RC Beams with Web Openings in Shear Zones Using Pre-Stressed Fe-SMA Bars: Numerical Study
by Mohamed Elkafrawy, Ahmed Khalil, Mohammad AlHamaydeh, Rami Hawileh and Wael Abuzaid
Buildings 2023, 13(6), 1505; https://doi.org/10.3390/buildings13061505 - 11 Jun 2023
Cited by 17 | Viewed by 3411
Abstract
Openings in the shear span can significantly affect the structural behavior of reinforced concrete (RC) beams, particularly in terms of shear capacity and crack propagation. This paper aims to investigate the feasibility of strengthening the web opening in the shear zone of RC [...] Read more.
Openings in the shear span can significantly affect the structural behavior of reinforced concrete (RC) beams, particularly in terms of shear capacity and crack propagation. This paper aims to investigate the feasibility of strengthening the web opening in the shear zone of RC beams by using iron-based shape memory alloy (Fe-SMA) bars, providing valuable insights for structural engineers and researchers. Numerical analysis with ABAQUS/CAE 2020 software was employed in the current study. The research was divided into six groups of beams with web openings of different lengths (150, 300, and 450 mm), prestressing levels (0%, 30%, and 60%), and reinforcement diameters (14, 18, and 22 mm) of Fe-SMA bars. The results show that the presence of web openings can cause a significant reduction in the cracking and ultimate loads of the beams, with reductions ranging from 11% to 50% and 36% to 48%, respectively. However, by adding pre-stressed Fe-SMA bars around small web openings (100 × 150 mm), the shear capacity of the beam is restored, and the beam exhibits behavior similar to solid beams. Additionally, activating the Fe-SMA bars by 30% and 60% resulted in almost similar cracking loads but improved load-carrying capacity of the beam with small openings by 12% and 9%, respectively, compared to the solid beam. The technique proposed for enhancing shear strength is most effective for beams with small (100 × 150 mm) and medium (100 × 300 mm) web openings as it can restore both the beam’s shear strength and stiffness. However, for beams with larger web openings (100 × 450 mm), the use of activated Fe-SMA beams can recover almost 90% of the solid beam’s shear capacity. Furthermore, reinforcing small openings with Fe-SMA bars of different diameters enhances beam shear capacity and stiffness, while for larger openings, higher Fe-SMA reinforcement ratios could potentially restore the beam’s full strength and stiffness. This study emphasizes the importance of strengthening web openings in RC beams, particularly in shear zones, and provides significant insights into how to strengthen beams with web openings, thereby contributing to developing safer structures. However, further laboratory experiments are recommended to validate, complement and extend the findings of this numerical study. Full article
(This article belongs to the Section Building Materials, and Repair & Renovation)
Show Figures

Figure 1

24 pages, 4367 KB  
Article
Design Recommendations for Columns Made of Ultra-High-Performance Concrete and NiTi SMA Bars
by Javier Pereiro-Barceló, José L. Bonet, Begoña Martínez-Jaén and Beatriz Cabañero-Escudero
Buildings 2023, 13(4), 991; https://doi.org/10.3390/buildings13040991 - 8 Apr 2023
Viewed by 2710
Abstract
The use of new materials in construction endows structures with better mechanical characteristics. The combination of ultra-high-performance concrete (UHPC) and nickel and titanium (NiTi) shape memory alloy (SMA) improves the behavior of building structures by increasing both their ductility and dissipation energy due [...] Read more.
The use of new materials in construction endows structures with better mechanical characteristics. The combination of ultra-high-performance concrete (UHPC) and nickel and titanium (NiTi) shape memory alloy (SMA) improves the behavior of building structures by increasing both their ductility and dissipation energy due to the low-damage and self-centering properties of NiTi SMA. Since UHPC and NiTi SMA are expensive materials and still scarce in distribution channels, this article tries to offer design recommendations to reduce the length of the column-beam connection in which these new materials should be introduced, leaving the rest of the column with conventional materials. To achieve this, a nonlinear static pushover analysis of columns using finite element software, SeismoStruct, was performed. This model was calibrated using experimental results. Next, a parametric analysis was carried out to propose the design recommendations. Results indicated that an adequate design for the column–beam connection, considering both economy and performance, should include a main zone with UHPC and SMA reinforcements, a transition zone with UHPC and steel reinforcements, and another zone with conventional reinforced concrete. The transition zone improved the hybrid column’s performance without excessively raising the cost. The main zone length, the transition zone length, and the strength of the concrete in the rest of the column must be determined to ensure that the critical section of the column was in the main zone to develop the maximum strength and ductility. The length of the main zone depended on the compressive strength of the conventional concrete, the relative axial load of the column, and the required ductility. Full article
(This article belongs to the Special Issue High-Performance Reinforced Concrete Structures and Composites)
Show Figures

Figure 1

19 pages, 4382 KB  
Article
Active SMA Fibers’ Effect on the Pullout Behavior of a Steel Bar Embedded in Concrete
by Eunsoo Choi, Bui Thanh Nhan and Jongkwon Choi
Materials 2023, 16(5), 1947; https://doi.org/10.3390/ma16051947 - 27 Feb 2023
Cited by 2 | Viewed by 1914
Abstract
This study investigated the bond behavior and radial crack between concrete and reinforcing bars using cold-drawn shape memory alloy (SMA) crimped fibers controlled by the temperature and volume fraction of the fibers. In this novel approach, the concrete specimens containing cold-drawn SMA crimped [...] Read more.
This study investigated the bond behavior and radial crack between concrete and reinforcing bars using cold-drawn shape memory alloy (SMA) crimped fibers controlled by the temperature and volume fraction of the fibers. In this novel approach, the concrete specimens containing cold-drawn SMA crimped fibers with 1.0% and 1.5% volume fractions of cold-drawn SMA fibers were prepared. After that, the specimens were heated to 150 °C to generate recovery stress and activate prestressing within the concrete. The bond strength of specimens was estimated by pullout test using the universal testing machine (UTM). Furthermore, the cracking patterns were investigated using radial strain measured by a circumferential extensometer. The results showed that adding up to 1.5% of SMA fibers improved the bond strength by 47.9% and reduced radial strain by more than 54%. Thus, heating specimens containing SMA fibers showed improved bond behavior compared with non-heated specimens with the same volume fraction. Full article
(This article belongs to the Section Advanced Materials Characterization)
Show Figures

Figure 1

24 pages, 28875 KB  
Article
Flexural Performance of RC Beams Strengthened with Pre-Stressed Iron-Based Shape Memory Alloy (Fe-SMA) Bars: Numerical Study
by Ahmed Khalil, Mohamed Elkafrawy, Wael Abuzaid, Rami Hawileh and Mohammad AlHamaydeh
Buildings 2022, 12(12), 2228; https://doi.org/10.3390/buildings12122228 - 14 Dec 2022
Cited by 25 | Viewed by 4521
Abstract
The iron-based shape memory alloy (Fe-SMA) has promising applications in strengthening and repairing aged steel-reinforced concrete structural elements. Fe-SMA bars can produce pre-stressing forces on reinforced concrete members by activating their shape memory phenomenon upon heating. This study aims to numerically evaluate the [...] Read more.
The iron-based shape memory alloy (Fe-SMA) has promising applications in strengthening and repairing aged steel-reinforced concrete structural elements. Fe-SMA bars can produce pre-stressing forces on reinforced concrete members by activating their shape memory phenomenon upon heating. This study aims to numerically evaluate the impact of pre-stressed Fe-SMA bars on the structural behavior of reinforced concrete (RC) beams at the serviceability and ultimate stages. Nonlinear finite element (FE) models were developed to predict the response of RC beams externally strengthened with Fe-SMAs. The model shows to correlate well with published experimental results. A parametric investigation was also carried out to examine the effect of various concrete grades, pre-stressing levels, and Fe-SMA bars’ diameter on load-deflection behavior. In light of the innovative nature of the Fe-SMA strengthening technique, a comparison investigation was established between RC beams strengthened with Fe-SMA bars against different pre-stressing systems, such as carbon fiber reinforced polymer (CFRP) bars, glass fiber reinforced polymer (GFRP) bars, and steel strands. The numerical findings showed a significant increase in the beams’ load-carrying capacity with larger Fe-SMA bars’ diameter. Specifically, using 12 mm Fe-SMA bars instead of 6 mm increased the beam’s strength by 73%. However, a 14% reduction in ductility was recorded for that case. Moreover, the pre-stressing level of Fe-SMA bars and concrete grade showed a negligible effect on the ultimate strength of the examined beams. Moreover, increasing the pre-stressing level and concrete strength significantly enhanced the load-deflection response in the serviceability stage. Furthermore, using 2T22 mm of Fe-SMA bars resulted in a better structural performance of RC beams compared to other techniques with 2T12 mm, with a comparable cost. Thus, it can be concluded that using Fe-SMA bars embedded in a shotcrete layer attached to the beam’s soffit is a viable and promising strengthening strategy. Nevertheless, further experimental investigations are recommended to further ascertain the reported findings of this numerical investigation. Full article
(This article belongs to the Section Building Materials, and Repair & Renovation)
Show Figures

Graphical abstract

Back to TopTop