Sign in to use this feature.

Years

Between: -

Subjects

remove_circle_outline
remove_circle_outline
remove_circle_outline
remove_circle_outline
remove_circle_outline
remove_circle_outline
remove_circle_outline
remove_circle_outline
remove_circle_outline

Journals

remove_circle_outline
remove_circle_outline
remove_circle_outline
remove_circle_outline
remove_circle_outline
remove_circle_outline
remove_circle_outline
remove_circle_outline
remove_circle_outline
remove_circle_outline
remove_circle_outline
remove_circle_outline
remove_circle_outline
remove_circle_outline
remove_circle_outline

Article Types

Countries / Regions

remove_circle_outline
remove_circle_outline
remove_circle_outline
remove_circle_outline

Search Results (1,836)

Search Parameters:
Keywords = SELL

Order results
Result details
Results per page
Select all
Export citation of selected articles as:
29 pages, 1624 KB  
Article
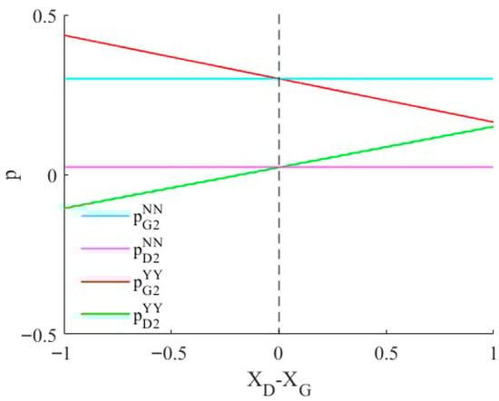
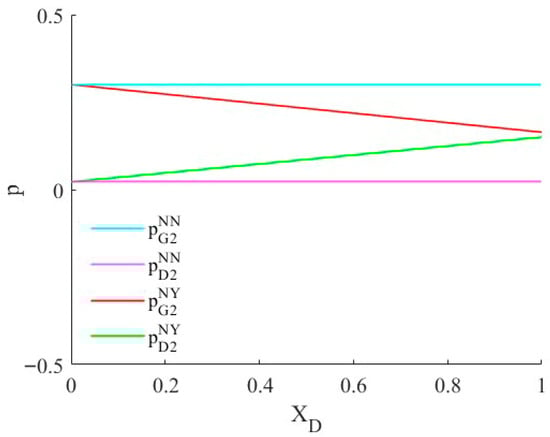
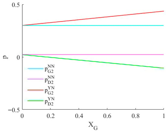
The Considering Sales Manipulation of Fresh Product Enterprises Game
by Ning Sun, Shaojian Qu and Ying Ji
Sustainability 2025, 17(21), 9688; https://doi.org/10.3390/su17219688 - 30 Oct 2025
Viewed by 126
Abstract
Due to the highly perishable nature of fresh products, consumers often worry about product quality, which significantly dampens their purchase intentions. To address this and boost consumers’ willingness to pay, many fresh foods enterprises resort to sales manipulation tactics as a way to [...] Read more.
Due to the highly perishable nature of fresh products, consumers often worry about product quality, which significantly dampens their purchase intentions. To address this and boost consumers’ willingness to pay, many fresh foods enterprises resort to sales manipulation tactics as a way to attract customers and gain a competitive edge. To further explore whether such yields net benefits to competing firms and the fresh product market, this research develops a game model involving two competing members selling fresh products. The model analyzes how sales manipulation affects the product prices, market shares, and profits of both firms across four scenarios. Finally, numerical analysis supports the robustness of findings and provides insights for establishing management guidelines for fresh product enterprises and the market. Full article
Show Figures

Figure 1

33 pages, 4877 KB  
Article
Economic and Environmental Analysis of EV Public Fast-Charging Stations Using Renewable Energy
by Beatriz Amante, Anna Sánchez, Ana Puig-Pey and Nil Lin Farré
Designs 2025, 9(6), 125; https://doi.org/10.3390/designs9060125 - 30 Oct 2025
Viewed by 122
Abstract
Electric vehicles (EVs) are emerging as cost-effective and eco-friendly alternatives to gasoline cars, but widespread adoption still faces hurdles, notably the scarcity of public fast-charging stations. This paper proposes an optimal method to locate and size a fast-charging station in Barcelona, integrating solar [...] Read more.
Electric vehicles (EVs) are emerging as cost-effective and eco-friendly alternatives to gasoline cars, but widespread adoption still faces hurdles, notably the scarcity of public fast-charging stations. This paper proposes an optimal method to locate and size a fast-charging station in Barcelona, integrating solar photovoltaics (PV) and a battery energy storage system (BESS). The goal is to reduce range anxiety, cut investment costs, and minimize environmental impact. We introduce a modular, scalable station design compatible with second-life batteries and PV panels. Our methodology is twofold: first, determining the optimal charging infrastructure configuration; second, calculating financial viability via net present value (NPV) and internal rate of return (IRR). Results indicate that PV and BESS installation represents the largest cost component, yet energy independence enables rapid capital recovery, with payback in around four years. Selling surplus energy can generate an additional ~4% profit. NPV and IRR values confirm feasibility for scenarios using PV, BESS, or both. Particularly in the highway deployment scenario, combining PV and BESS yields a 72% reduction in greenhouse gas emissions. Overall, our study demonstrates that integrating renewable generation and storage into fast-charging infrastructure in Barcelona is both economically viable and environmentally beneficial. Full article
(This article belongs to the Section Vehicle Engineering Design)
16 pages, 716 KB  
Article
Physicochemical and Sensory Properties of Frozen Dessert Containing Soy Milk
by Igor Dudarev, Vasylyna Shemet, Tamara Sydoruk, Mykola Andrushchenko, Aleksandr Semenov, Andrzej Borusiewicz and Taras Hutsol
Appl. Sci. 2025, 15(21), 11455; https://doi.org/10.3390/app152111455 - 27 Oct 2025
Viewed by 288
Abstract
The growing consumer interest in plant-based alternatives has encouraged the development of non-dairy versions of traditionally dairy-based products such as ice cream and frozen desserts. Soy milk, with its high protein content and favorable nutritional profile, is a promising alternative to cow’s milk [...] Read more.
The growing consumer interest in plant-based alternatives has encouraged the development of non-dairy versions of traditionally dairy-based products such as ice cream and frozen desserts. Soy milk, with its high protein content and favorable nutritional profile, is a promising alternative to cow’s milk in frozen desserts. The aim of this study was to develop frozen dessert recipes containing soy milk and assess their physical, chemical, and sensory properties. Physicochemical analyses of frozen dessert included measurements of pH, specific gravity, total solids, moisture content, ash content, overrun, and melting resistance. Air sell size distribution was examined microscopically. Sensory evaluation was conducted by a trained panel. Nutritional composition was also analyzed. The pH of the frozen dessert increased from 7.2 to 7.5 with higher soy milk content. Specific gravity of the frozen dessert rose from 589.0 to 634.4 kg/m3, while total solids content increased from 20.61 to 28.99%, and ash content rose from 0.33 to 0.98%. Overrun of the frozen dessert dropped from 73.2% to 50.1%, and melting resistance declined from 72.8% to 54.1% with increased soy milk levels. Frozen dessert samples containing soy milk demonstrated high sensory scores due to their smooth texture, pleasant flavor, and uniform consistency. Replacing cow’s milk with soy milk in frozen dessert recipes is a feasible strategy for producing plant-based frozen desserts with acceptable quality and improved nutritional attributes. Future research should explore flavor enhancement and functional enrichment, particularly through the incorporation of freeze-dried fruits and berries, to diversify the product range and meet consumer demands for health-oriented desserts. This research supports sustainable food innovation by reducing dependence on animal-derived ingredients and promoting the use of plant-based proteins. The development of soy milk-based frozen dessert aligns with global efforts to lower the environmental impact of food production and respond to growing consumer demand for eco-conscious dietary choices. Full article
(This article belongs to the Special Issue Advances in Milk and Dairy Technology)
Show Figures

Figure 1

20 pages, 589 KB  
Article
Model for Definition of Multi-Criteria Compensation by the ICCI (Inter-Criteria Compensation Index) in the Ranking of Electric Vehicles
by Maiquiel Schmidt de Oliveira, Flavio Trojan and Vilmar Steffen
Energies 2025, 18(21), 5553; https://doi.org/10.3390/en18215553 - 22 Oct 2025
Viewed by 204
Abstract
Defining compensatory interactions among criteria is a critical yet often subjective step in multi-criteria decision analysis (MCDA). To address this gap, this study proposes a novel model centered around the Inter-Criteria Compensation Index (ICCI), which is a quantitative measure derived from the standard [...] Read more.
Defining compensatory interactions among criteria is a critical yet often subjective step in multi-criteria decision analysis (MCDA). To address this gap, this study proposes a novel model centered around the Inter-Criteria Compensation Index (ICCI), which is a quantitative measure derived from the standard error between normalized criterion values. The ICCI, complemented by correlation analysis and statistical significance testing, provides a structured framework to objectively identify compensatory, non-compensatory, or partially compensatory criteria pairs. The model also includes a method for adjusting criterion weights based on the ICCI and a sensitivity analysis to detect redundancies. We demonstrate the applicability of this framework through a case study ranking the 17 best-selling small electric vehicles in Brazil based on eight technical and economic criteria. The analysis revealed that six of the eight criteria exhibited strong compensatory relationships, while two were identified as non-compensatory. The subsequent ranking, generated using the TOPSIS method with adjusted weights, identified the optimal vehicle choice, and the sensitivity analysis confirmed that all compensatory criteria were essential, as their removal significantly altered the results. The proposed model reduces subjectivity in method selection, enhances the robustness of MCDA, and provides researchers with a verifiable tool for analyzing complex decision problems. Full article
(This article belongs to the Special Issue New Trends in Electric Vehicles)
Show Figures

Figure 1

24 pages, 990 KB  
Article
The Role of Brand Spillover on Firm’s Sourcing and Contract Decisions
by Fei Jing and Junjie Dong
Games 2025, 16(5), 55; https://doi.org/10.3390/g16050055 - 16 Oct 2025
Viewed by 278
Abstract
When a technology provider (entrant) enters an emerging end market, he may outsource critical components from a competing conventional manufacturer (incumbent) or insource critical components. Under the outsourcing strategy, brand reputation spills over from the incumbent to the entrant—a phenomenon termed brand spillover. [...] Read more.
When a technology provider (entrant) enters an emerging end market, he may outsource critical components from a competing conventional manufacturer (incumbent) or insource critical components. Under the outsourcing strategy, brand reputation spills over from the incumbent to the entrant—a phenomenon termed brand spillover. This paper investigates the sourcing strategy (insourcing or outsourcing) and contract choice (wholesale price contract or revenue share contract) in markets subject to brand spillover. We develop a game theoretic model consisting of one entrant with a new technology and one incumbent who sells the traditional product in the end market and the critical component to the entrant. We find that the entrant adopts the insourcing strategy only if his optimal quantity, including original market power and brand spillover, is intermediate. Otherwise, the outsourcing strategy with wholesale price contract is selected when his optimal quantity is low, while revenue-sharing contracts dominate at high quantity. Interestingly, when brand spillover intensity exceeds a threshold, both parties benefit from a higher level of brand spillover under the wholesale price contract. Full article
Show Figures

Figure 1

15 pages, 1511 KB  
Article
NIR and MIR Spectroscopy for the Detection of Adulteration of Smoking Products
by Zeb Akhtar, Ihtesham ur Rehman, Cédric Delporte, Erwin Adams and Eric Deconinck
Chemosensors 2025, 13(10), 370; https://doi.org/10.3390/chemosensors13100370 - 16 Oct 2025
Viewed by 435
Abstract
This study explores the application of Mid-Infrared (MIR) and Near-Infrared (NIR) spectroscopy combined with various multivariate calibration techniques to detect the presence of cannabis in tobacco samples and tobacco in herbal smoking products. Both MIR and NIR spectra were recorded for self-prepared samples, [...] Read more.
This study explores the application of Mid-Infrared (MIR) and Near-Infrared (NIR) spectroscopy combined with various multivariate calibration techniques to detect the presence of cannabis in tobacco samples and tobacco in herbal smoking products. Both MIR and NIR spectra were recorded for self-prepared samples, followed by data exploration using Principal Component Analysis (PCA) and Hierarchical Clustering Analysis (HCA), and the calculation of binary classification models with Soft Independent Modelling of Class Analogy (SIMCA) and Partial Least Squares-Discriminant Analysis (PLS-DA). PCA demonstrated a clear differentiation between tobacco samples containing and not containing cannabis. On the other hand, based on PCA, only NIR was able to distinguish herbal smoking products adulterated and not adulterated with tobacco. HCA further clarified these results by revealing distinct clusters within the data. Modelling results indicated that MIR and NIR spectroscopy, particularly when paired with preprocessing techniques like Standard Normal Variate (SNV) and autoscaling, demonstrated high classification accuracy in SIMCA and PLS-DA, achieving correct classification rates of 90% to 100% for external test sets. Comparison of MIR and NIR revealed that NIR spectroscopy resulted in slightly more accurate models for the screening of tobacco samples for cannabis and herbal smoking products for tobacco. The developed approach could be useful for the initial screening of tobacco samples for cannabis, e.g., in a night life setting by law enforcement, but also for inspectors visiting shops selling tobacco and/or herbal smoking products. Full article
(This article belongs to the Section Optical Chemical Sensors)
Show Figures

Figure 1

17 pages, 428 KB  
Article
The Association of Financial Knowledge, Attitude, and Behavior with Investment Loss Tolerance: Evidence from Japan
by Manaka Yamaguchi, Kota Ogura, Yuzuha Himeno, Asahi Shiiku, Hibiki Nagahama, Honoka Nabeshima, Yu Kuramoto, Mostafa Saidur Rahim Khan and Yoshihiko Kadoya
Risks 2025, 13(10), 204; https://doi.org/10.3390/risks13100204 - 15 Oct 2025
Viewed by 536
Abstract
Investment loss tolerance refers to an investor’s willingness to hold financial instruments after experiencing value declines and is considered essential to long-term investment success. Financial literacy, comprising financial knowledge, attitude, and behavior, has been widely identified as a key factor in promoting rational [...] Read more.
Investment loss tolerance refers to an investor’s willingness to hold financial instruments after experiencing value declines and is considered essential to long-term investment success. Financial literacy, comprising financial knowledge, attitude, and behavior, has been widely identified as a key factor in promoting rational financial decisions. A recent study by Homma et al. suggests that the three components can help prevent panic selling during market crises, such as the COVID-19 pandemic. However, that study relies on binary behavioral indicators within crisis-specific contexts, limiting the generalizability of their findings. To address these gaps, the present study quantitatively measures investment loss tolerance using a generalized hypothetical loss scenario and investigates the associations of financial literacy components. Using a large-scale dataset of 161,223 active investors from one of Japan’s largest online securities firms, we conducted ordered probit and probit regression analyses while controlling for demographic, socioeconomic, and psychological factors. The results reveal that financial knowledge, attitude, and behavior all have statistically significant positive effects on investment loss tolerance. These findings indicate that financial literacy enhances investors’ capacity to withstand losses and discourages premature asset liquidation, even outside crisis-specific contexts. The evidence supports policies aimed at improving financial literacy to foster more resilient investor behavior and promote long-term financial well-being. Full article
22 pages, 1910 KB  
Article
Knowledge, Attitudes, and Practices of Smallholder Dairy Cattle Farmers in Tanzania: A Cross-Sectional Survey on Cattle Infertility
by Athanas Ngou, Richard Laven, Timothy Parkinson, Isaac Kashoma and Daniel Donaghy
Vet. Sci. 2025, 12(10), 993; https://doi.org/10.3390/vetsci12100993 - 15 Oct 2025
Viewed by 364
Abstract
Infertility is one of the major farming constraints facing smallholder dairy cattle farming in Tanzania. Despite its impact, there is limited information on how farmers understand and manage it. The present study aimed to assess farmers’ knowledge, attitudes and practices related to dairy [...] Read more.
Infertility is one of the major farming constraints facing smallholder dairy cattle farming in Tanzania. Despite its impact, there is limited information on how farmers understand and manage it. The present study aimed to assess farmers’ knowledge, attitudes and practices related to dairy cattle infertility. A cross-sectional survey was conducted using a structured questionnaire involving 301 farmers across six major dairy-farming regions: Tanga, Arusha, Kilimanjaro, Mbeya, Morogoro and Njombe. Overall, 95% of respondents reported encountering infertility on their farms. Farmers were asked to identify signs of infertility from the list of 10 (8 correct and 2 distractors); the median score for correct identification was 7 (range 2–10). The most recognised sign was return to oestrus after insemination (94%). Most farmers correctly identified low milk yield and mastitis as not being signs of infertility. The main reported causes included poor nutrition/housing (93%), livestock diseases (89%), poor record keeping (85%), and poor oestrus detection (83%). Nearly all (98%) viewed infertility as a serious issue, predominantly naming repeat breeding (95%) and failure to produce a calf/year (90%). Management strategies included seeking veterinary services (94%), slaughter (69%), sell to other farmers (23%) and self-treatment (16%). Our findings highlight widespread awareness of infertility while pointing out gaps in management, which reinforces the need for improved farmer education and support services. Full article
Show Figures

Figure 1

19 pages, 493 KB  
Article
Hyperbolic Discounting and Its Influence on Loss Tolerance: Evidence from Japanese Investors
by Yu Kuramoto, Aliyu Ali Bawalle, Mostafa Saidur Rahim Khan and Yoshihiko Kadoya
Risks 2025, 13(10), 202; https://doi.org/10.3390/risks13100202 - 14 Oct 2025
Viewed by 405
Abstract
Hyperbolic discounting, a key determinant of intertemporal behavior, captures individuals’ preferences for smaller immediate rewards over larger delayed ones. This study examined how hyperbolic discounting influences investment loss tolerance using a large-scale dataset of Japanese investors. Loss tolerance is defined as the extent [...] Read more.
Hyperbolic discounting, a key determinant of intertemporal behavior, captures individuals’ preferences for smaller immediate rewards over larger delayed ones. This study examined how hyperbolic discounting influences investment loss tolerance using a large-scale dataset of Japanese investors. Loss tolerance is defined as the extent of financial loss that an investor is willing to endure before changing their investment strategy. Although hyperbolic discounting shapes intertemporal investment decisions, its role in explaining loss tolerance remains largely unknown. Using a large dataset from the “Survey on Life and Money” comprising 107,294 observations and employing ordered probit regression, we found a significant negative relationship between hyperbolic discounting and investment loss tolerance: investors exhibiting stronger hyperbolic discounting are more likely to exit positions prematurely during market downturns, despite potential long-term recovery. The estimated marginal effect (−0.070 ***) underscores the economic significance of the association between hyperbolic discounting and loss tolerance. These results provide evidence that time-inconsistent preferences not only shape intertemporal choices but also reduce resilience to financial losses. The findings carry important implications for investors, highlighting the value of commitment mechanisms and education programs to counteract short-termism, and for policymakers seeking to design behavioral interventions that promote stable, long-term participation in financial markets. Full article
Show Figures

Figure 1

8 pages, 189 KB  
Article
Simulation of Propofol Target-Controlled Infusion up to Time of Delivery in Cesarean Section: A Bench Study
by Ilja Osthoff, Monica Soare, Giulio Barana, Wieland Sell, JoEllen Welter and Alexander Dullenkopf
J. Clin. Med. 2025, 14(20), 7234; https://doi.org/10.3390/jcm14207234 - 14 Oct 2025
Viewed by 288
Abstract
Background/Objectives: General anesthesia is occasionally required for cesarean delivery (CD). Propofol target-controlled infusion (TCI) enables dosing based on pharmacokinetic modeling. During the transition from induction to maintenance, infusion pauses. This simulation study assessed propofol from induction to delivery and the proportion of [...] Read more.
Background/Objectives: General anesthesia is occasionally required for cesarean delivery (CD). Propofol target-controlled infusion (TCI) enables dosing based on pharmacokinetic modeling. During the transition from induction to maintenance, infusion pauses. This simulation study assessed propofol from induction to delivery and the proportion of deliveries estimated during this pause. Methods: Surgical data from women undergoing CD were compiled, and the demographics were entered into a TCI pump using the Schnider model. Effect-site targets (6 and 8 mcg/mL) were simulated for induction, followed by 2.5 mcg/mL for maintenance. Outcomes were estimated propofol dose from induction to delivery and timing of delivery relative to infusion pause. Results: Among 50 women, the estimated mean propofol dose from induction to delivery was 19 ± 22 mg (0.2 ± 0.3 mg/kg) at 6 mcg/mL and 13 ± 17 mg (0.2 ± 0.2 mg/kg) at 8 mcg/mL. Delivery occurred during the infusion pause in 40% and 50% of cases, and it was more often in emergency than elective procedures. Emergency status, but not age or body mass index, predicted delivery during the pause. Conclusions: Standardized TCI with reduced effect-site targets for maintenance resulted in modest propofol administration between induction and delivery. These findings require confirmation in clinical studies, where dosing should be guided by depth-of-anesthesia monitoring. Full article
(This article belongs to the Section Anesthesiology)
39 pages, 8071 KB  
Article
Re-Evaluating the Treatment Plan for Diabetic Macular Edema Based on Early Identification of Response and Possible Biochemical Predictors of Non-Response After the First Intravitreal Ranibizumab Injection
by Sameh Mohamed Elgouhary, Noha Rabie Bayomy, Mohamed Khaled Elfarash, Sara Zakaria Aboali, Sara Abdelmageed Barakat, Mona Abdelhamid Elnaggar and Noha Khirat Gaber
Biomedicines 2025, 13(10), 2438; https://doi.org/10.3390/biomedicines13102438 - 7 Oct 2025
Viewed by 546
Abstract
Background: This study aimed to change the current concept of diabetic macular edema (DME) management through (1) early categorization of our DME patients into either responders or non-responders after the first intravitreal Ranibizumab (IVR) injection, and (2) finding a suitable clinical–biochemical diagnostic [...] Read more.
Background: This study aimed to change the current concept of diabetic macular edema (DME) management through (1) early categorization of our DME patients into either responders or non-responders after the first intravitreal Ranibizumab (IVR) injection, and (2) finding a suitable clinical–biochemical diagnostic panel to identify the possible cause(s) of non-response in each non-responder and changing the treatment plan in each particular patient accordingly. Patients and methods: Our study included 64 eyes of 40 patients with DME (Group A, DME patients) and 40 eyes of 40 healthy individuals matched for age and sex (Group B, controls). Blood and aqueous samples were collected from the study participants before and one month after IVR injection. The DME patients were further subdivided into responders and non-responders according to their response to the first IVR injection. Lymphocyte activation markers, NETosis markers, angiogenic factors, astrocytes, innate immunity, and inflammasome markers were assessed in both groups. Results: Multivariate regression analysis revealed that macular ischemia, aqueous levels of hexokinase 1, SELL CD62L, ELANE, MPO, VEGFA, and SEMA4D were the most significant factors affecting the response to IVR (p < 0.05). Conclusions: defining our DME patients as responders and non-responders after the first IVR injection, combined with potential utilization of a clinical–biochemical panel (macular ischemia- PCR array of combined Hexokinase 1, MPO, and SEMA4D) in each non-responder, may represent a good starting point for changing the current DME management strategy. Full article
(This article belongs to the Section Molecular and Translational Medicine)
Show Figures

Figure 1

51 pages, 466 KB  
Article
The Impact of Organizational Capital on Cost Stickiness: Evidence from Japanese Firms
by Shoichiro Hosomi and Gongye Ge
J. Risk Financial Manag. 2025, 18(10), 559; https://doi.org/10.3390/jrfm18100559 - 2 Oct 2025
Viewed by 528
Abstract
This study examined the impact of organizational capital (OC) on the cost stickiness of Japanese firms and analyzed whether this effect varies with the magnitude of sales changes. Using 12,727 firm-year observations from Tokyo Stock Exchange-listed firms between 2007 and 2024, we estimated [...] Read more.
This study examined the impact of organizational capital (OC) on the cost stickiness of Japanese firms and analyzed whether this effect varies with the magnitude of sales changes. Using 12,727 firm-year observations from Tokyo Stock Exchange-listed firms between 2007 and 2024, we estimated the economic value of OC by capitalizing and amortizing selling, general, and administrative (SG&A) expenses, then classified firms into high- and low-OC groups based on the median. Cost stickiness was then compared across groups using the basic, ABJ, and extended models, with robustness checks based on adjusted OC and two-way fixed effects models. The results indicate that high-OC firms exhibit stronger cost stickiness, while low-OC firms display weaker or insignificant stickiness. The effect depends on the magnitude of sales fluctuations: stickiness is pronounced under small changes but diminishes or disappears under larger shocks. Overall, this study contributes by highlighting the role of organizational resources in shaping asymmetric cost behavior, extending explanations beyond adjustment costs or managerial incentives, and providing novel evidence from Japan, where firms generally exhibit cost stickiness regardless of OC level, reflecting institutional and cultural contexts. Full article
(This article belongs to the Special Issue Innovations and Challenges in Management Accounting)
37 pages, 1228 KB  
Article
Strategic Interactions in Omni-Channel Retailing: Analyzing Manufacturer’s Green Contract Design and Mode Selection
by Zhibing Liu and Chi Zhou
J. Theor. Appl. Electron. Commer. Res. 2025, 20(4), 265; https://doi.org/10.3390/jtaer20040265 - 2 Oct 2025
Viewed by 358
Abstract
Omni-channel retailers arise to address the deficiencies in consumers’ online shopping experiences; the resulting competition between such retailers and traditional online platforms presents substantial challenges for green product manufacturers. A three-level game model is established to examine a manufacturer’s green contract design (product [...] Read more.
Omni-channel retailers arise to address the deficiencies in consumers’ online shopping experiences; the resulting competition between such retailers and traditional online platforms presents substantial challenges for green product manufacturers. A three-level game model is established to examine a manufacturer’s green contract design (product pricing and greenness determination) and mode selection under the competition between an online platform and a new retailer providing omni-channel services to end customers. The manufacturer can select between two modes: supplying a green product to the online platform and new retailer (mode RR) or selling it directly through the online platform and reselling it to the new retailer (mode PR). Our findings indicate that, first, even if the relationship between the manufacturer and new retailer has changed from cooperation under mode RR to competition and cooperation under mode PR, the manufacturer still favors two-channel sales over single-channel sales and affects consumer channel choices to adjust market shares through mode selection. Second, regarding the impacts of the key parameters on the manufacturer, downstream e-commerce platform retailers and environment are intricate and nuanced. While raising the omni-channel service level enhances profitability in the new retailer across both modes, its environmental impacts differ significantly between them. Additionally, it can harm the online platform in some cases. Nevertheless, when the parameters fall within suitable ranges, the manufacturer and both downstream retailers have a consistent preference for improved omni-channel services under both modes. Finally, there is a significant divergence in mode preferences among the manufacturer and both downstream platform retailers. Due to the first-mover advantage, the manufacturer opts for mode RR over mode PR in most cases. Notably, within a specific range of parameters, they consistently prefer mode RR, which also proves beneficial for the environment, resulting in a Pareto optimal outcome. This proposes a concrete cooperation mechanism among the manufacturer, retailers, and consumers from quantitative insights, which can promote green products to achieve the objective of low-carbon environmental protection. Full article
Show Figures

Figure 1

18 pages, 1534 KB  
Article
Synergistic Coupling of Waste Heat and Power to Gas via PEM Electrolysis for District Heating Applications
by Axel Riccardo Massulli, Lorenzo Mario Pastore, Gianluigi Lo Basso and Livio de Santoli
Energies 2025, 18(19), 5190; https://doi.org/10.3390/en18195190 - 30 Sep 2025
Viewed by 384
Abstract
This work explores the integration of Proton Exchange Membrane (PEM) electrolysis waste heat with district heating networks (DHN), aiming to enhance the overall energy efficiency and economic viability of hydrogen production systems. PEM electrolysers generate substantial amounts of low-temperature waste heat during operation, [...] Read more.
This work explores the integration of Proton Exchange Membrane (PEM) electrolysis waste heat with district heating networks (DHN), aiming to enhance the overall energy efficiency and economic viability of hydrogen production systems. PEM electrolysers generate substantial amounts of low-temperature waste heat during operation, which is often dissipated and left unutilised. By recovering such thermal energy and selling it to district heating systems, a synergistic energy pathway that supports both green hydrogen production and sustainable urban heating can be achieved. The study investigates how the electrolyser’s operating temperature, ranging between 50 and 80 °C, influences both hydrogen production and thermal energy availability, exploring trade-offs between electrical efficiency and heat recovery potential. Furthermore, the study evaluates the compatibility of the recovered heat with common heat emission systems such as radiators, fan coils, and radiant floors. Results indicate that valorising waste heat can enhance the overall system performance by reducing the electrolyser’s specific energy consumption and its levelized cost of hydrogen (LCOH) while supplying carbon-free thermal energy for the end users. This integrated approach contributes to the broader goal of sector coupling, offering a pathway toward more resilient, flexible, and resource-efficient energy systems. Full article
Show Figures

Figure 1

24 pages, 769 KB  
Article
An Inventory Model with Price-, Time- and Greenness-Sensitive Demand and Trade Credit-Based Economic Communications
by Musaraf Hossain, Mostafijur Rahaman, Shariful Alam, Magfura Pervin, Soheil Salahshour and Sankar Prasad Mondal
Logistics 2025, 9(3), 133; https://doi.org/10.3390/logistics9030133 - 22 Sep 2025
Viewed by 790
Abstract
Background: Price is the most authoritative constituent among the factors shaping consumer demand. Growing consciousness among global communities regarding environmental issues makes greenness one of the key factors controlling demand, along with time, which drives demand in markets. This paper addresses such issues [...] Read more.
Background: Price is the most authoritative constituent among the factors shaping consumer demand. Growing consciousness among global communities regarding environmental issues makes greenness one of the key factors controlling demand, along with time, which drives demand in markets. This paper addresses such issues associated with a retail purchase scenario. Methods: Consumer’s demand for products is hypothesized to be influenced by pricing, time and the green level of the product in the proposed model. Time-dependent inventory carrying cost and green level-induced purchasing cost are considered. The average cost during the decision cycle is the objective function that is analyzed in trade credit phenomena, involving delayed payment by the manufacturer to the supplier. The Convex optimization technique is used to find an optimal solution for the model. Results: Once a local optimal solution is found, sensitivity analysis is conducted to determine the optimal value of the objective function and decision variables for other impacting parameters. Results reveal that demand-boosting parameters, for instance, discounts on price and green activity, result in additional average costs. Conclusions: Discounts on price and green activity advocate a large supply capacity by boosting demand, creating opportunities for the retailer to earn more revenue. Full article
(This article belongs to the Section Sustainable Supply Chains and Logistics)
Show Figures

Figure 1

Back to TopTop