Sign in to use this feature.

Years

Between: -

Subjects

remove_circle_outline
remove_circle_outline
remove_circle_outline
remove_circle_outline
remove_circle_outline
remove_circle_outline
remove_circle_outline
remove_circle_outline
remove_circle_outline

Journals

remove_circle_outline
remove_circle_outline
remove_circle_outline
remove_circle_outline

Article Types

Countries / Regions

remove_circle_outline
remove_circle_outline
remove_circle_outline

Search Results (335)

Search Parameters:
Keywords = RMS variation

Order results
Result details
Results per page
Select all
Export citation of selected articles as:
18 pages, 1616 KB  
Article
Machine Learning-Driven Muscle Fatigue Estimation in Resistance Training with Assistive Robotics
by Jun-Young Baek, Jun-Hyeong Kwon, Hamza Khan and Min-Cheol Lee
Sensors 2025, 25(21), 6588; https://doi.org/10.3390/s25216588 - 26 Oct 2025
Viewed by 388
Abstract
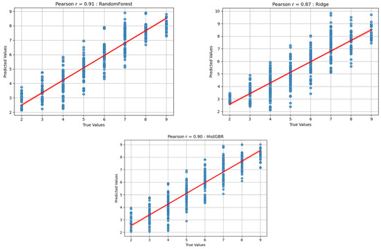
Monitoring muscle fatigue is essential for ensuring safety and maximizing the effectiveness of resistance training. Conventional methods such as electromyography (EMG), inertial measurement units (IMU), and ratings of perceived exertion (RPE) involve complex procedures and have limited applicability, particularly in unsupervised or robotic [...] Read more.
Monitoring muscle fatigue is essential for ensuring safety and maximizing the effectiveness of resistance training. Conventional methods such as electromyography (EMG), inertial measurement units (IMU), and ratings of perceived exertion (RPE) involve complex procedures and have limited applicability, particularly in unsupervised or robotic exercise environments. This study proposes a machine learning-based approach to directly predict RPE from force–time data collected during repeated isokinetic bench press sets. Thirty-two male participants (64 limb datasets) performed seven sets at a standardized 7RM load, with load cell data and RPE scores recorded. Biomechanical features representing magnitude, variability, energy, and temporal dynamics were extracted, along with engineered features reflecting relative changes and inter-set variations. The findings indicate that RPE is more closely related to relative fatigue progression than to absolute biomechanical output. Incorporating engineered features substantially improved predictive performance, with the Random Forest model achieving the highest accuracy and more than 93% of predictions falling within ±1 RPE unit of the reported values. The proposed approach can be seamlessly integrated into intelligent resistance machines, enabling automated load adjustment and providing substantial potential for applications in both athletic training and rehabilitation contexts. Full article
(This article belongs to the Section Biomedical Sensors)
Show Figures

Figure 1

10 pages, 378 KB  
Article
An Exploratory Study of Biceps Brachii Electromyographic Activity During Traditional Dumbbell Versus Bayesian Cable Curls
by Koulla Parpa, Antreas Vasiliou, Marcos Michaelides, Karuppasamy Govindasamy, Anton Chernov and Konstantina Intziegianni
Muscles 2025, 4(4), 45; https://doi.org/10.3390/muscles4040045 - 13 Oct 2025
Viewed by 1053
Abstract
Although previous studies have examined various factors that influence biceps brachii activation, such as grip position, load, and exercise variation, to our knowledge, no prior studies have compared muscle activation during a traditional biceps curl and a Bayesian cable curl. Therefore, this study [...] Read more.
Although previous studies have examined various factors that influence biceps brachii activation, such as grip position, load, and exercise variation, to our knowledge, no prior studies have compared muscle activation during a traditional biceps curl and a Bayesian cable curl. Therefore, this study aimed to examine the differences in biceps brachii muscle activation between these two training modalities. Data from eleven volunteers (age: 25 ± 6 y; weight: 86 ± 13 kg; height: 177 ± 8 cm) were included in the analysis. Muscle activity was assessed using the normalized root mean square (RMS) values obtained from surface electromyography (sEMG). A within-subjects, counterbalanced design was utilized where all participants completed both testing conditions in a randomized order to control for potential order effects. Participants visited the laboratory and fitness center on two occasions. On the first day, anthropometric measurements were obtained, along with one repetition maximum (1-RM) for both the dumbbell biceps curl and the Bayesian curl. On the second day, participants performed an isometric maximal voluntary contraction (MVC), followed by electromyographic assessment of muscle activity during the dumbbell biceps curl and the Bayesian curl, each performed at 80% of their respective 1-RM. When the normal distribution was confirmed via the Shapiro–Wilk test (p > 0.05), a paired t-test was used for statistical analysis. On the other hand, when normality was not confirmed, the Wilcoxon test was utilized. Statistically significant differences (p = 0.003) were observed in the EMG amplitude (%) between the biceps curl (111.46 ± 26.80) and the Bayesian curl (93.39 ± 15.65) with a large effect size (d = 0.82). Based on the EMG analysis, the dumbbell biceps curl elicited significantly greater muscle activation compared to the Bayesian curl, suggesting that the conventional movement places a higher mechanical and neuromuscular demand on the biceps brachii. Full article
Show Figures

Figure 1

21 pages, 2749 KB  
Article
Performance Analysis of an Optical System for FSO Communications Utilizing Combined Stochastic Gradient Descent Optimization Algorithm
by Ilya Galaktionov and Vladimir Toporovsky
Appl. Syst. Innov. 2025, 8(5), 143; https://doi.org/10.3390/asi8050143 - 30 Sep 2025
Viewed by 495
Abstract
Wavefront aberrations caused by thermal flows or arising from the quality of optical components can significantly impair wireless communication links. Such aberrations may result in an increased error rate in the received signal, leading to data loss in laser communication applications. In this [...] Read more.
Wavefront aberrations caused by thermal flows or arising from the quality of optical components can significantly impair wireless communication links. Such aberrations may result in an increased error rate in the received signal, leading to data loss in laser communication applications. In this study, we explored a newly developed combined stochastic gradient descent optimization algorithm aimed at compensating for optical distortions. The algorithm we developed exhibits linear time and space complexity and demonstrates low sensitivity to variations in input parameters. Furthermore, its implementation is relatively straightforward and does not necessitate an in-depth understanding of the underlying system, in contrast to the Stochastic Parallel Gradient Descent (SPGD) method. In addition, a developed switch-mode approach allows us to use a stochastic component of the algorithm as a rapid, rough-tuning mechanism, while the gradient descent component is used as a slower, more precise fine-tuning method. This dual-mode operation proves particularly advantageous in scenarios where there are no rapid dynamic wavefront distortions. The results demonstrated that the proposed algorithm significantly enhanced the total collected power of the beam passing through the 10 μm diaphragm that simulated a 10 μm fiber core, increasing it from 0.33 mW to 2.3 mW. Furthermore, the residual root mean square (RMS) aberration was reduced from 0.63 μm to 0.12 μm, which suggests a potential improvement in coupling efficiency from 0.1 to 0.6. Full article
(This article belongs to the Section Information Systems)
Show Figures

Figure 1

25 pages, 29311 KB  
Article
Abnormal Vibration Signal Detection of EMU Motor Bearings Based on VMD and Deep Learning
by Yanjie Cui, Weijiao Zhang and Zhongkai Wang
Sensors 2025, 25(18), 5733; https://doi.org/10.3390/s25185733 - 14 Sep 2025
Viewed by 671
Abstract
To address the challenge of anomaly detection in vibration signals from high-speed electric multiple unit (EMU) motor bearings, characterized by strong non-stationarity and multi-component coupling, this study proposes a synergistic approach integrating variational mode decomposition (VMD) and deep learning. Unlike datasets focused on [...] Read more.
To address the challenge of anomaly detection in vibration signals from high-speed electric multiple unit (EMU) motor bearings, characterized by strong non-stationarity and multi-component coupling, this study proposes a synergistic approach integrating variational mode decomposition (VMD) and deep learning. Unlike datasets focused on fault diagnosis (identifying known fault types), anomaly detection identifies deviations into unknown states. The method utilizes real-world, non-real-time vibration data from ground monitoring systems to detect anomalies from early signs to significant deviations. Firstly, adaptive VMD parameter selection, guided by power spectral density (PSD), optimizes the number of modes and penalty factors to overcome mode mixing and bandwidth constraints. Secondly, a hybrid deep learning model integrates convolutional neural networks (CNNs), bidirectional long- and short-term memory (BiLSTM), and residual network (ResNet), enabling precise modal component prediction and signal reconstruction through multi-scale feature extraction and temporal modeling. Finally, the root mean square (RMS) features of prediction errors from normal operational data train a one-class support vector machine (OC-SVM), establishing a normal-state decision boundary for anomaly identification. Validation using CR400AF EMU motor bearing data demonstrates exceptional performance: under normal conditions, root mean square error (RMSE=0.005), Mean Absolute Error (MAE=0.002), and Coefficient of Determination (R2=0.999); for anomaly detection, accuracy = 95.2% and F1-score = 0.909, significantly outperforming traditional methods like Isolation Forest (F1-score = 0.389). This provides a reliable technical solution for intelligent operation and maintenance of EMU motor bearings in complex conditions. Full article
(This article belongs to the Section Fault Diagnosis & Sensors)
Show Figures

Figure 1

18 pages, 4949 KB  
Article
Effects of Atmospheric Tide Loading on GPS Coordinate Time Series
by Yanlin Li, Na Wei, Kaiwen Xiao and Qiyuan Zhang
Remote Sens. 2025, 17(18), 3147; https://doi.org/10.3390/rs17183147 - 10 Sep 2025
Viewed by 562
Abstract
Loading of the Earth’s crust due to variations in global atmospheric pressure can displace the position of geodetic stations. However, the station displacements induced by the diurnal and semidiurnal atmospheric tides (S1-S2) are often neglected during Global Positioning System [...] Read more.
Loading of the Earth’s crust due to variations in global atmospheric pressure can displace the position of geodetic stations. However, the station displacements induced by the diurnal and semidiurnal atmospheric tides (S1-S2) are often neglected during Global Positioning System (GPS) processing. We first studied the magnitudes of S1-S2 deformation in the Earth’s center of mass (CM) frame and compared the global S1-S2 grid models provided by the Global Geophysical Fluid Center (GGFC) and the Vienna Mapping Function (VMF) data server. The magnitude of S1-S2 tidal displacement can reach 1.5 mm in the Up component at low latitudes, approximately three times that of the horizontal components. The most significant difference between the GGFC and VMF grid models lies in the phase of S2 in the horizontal components, with phase discrepancies of up to 180° observed at some stations. To investigate the effects of S1-S2 corrections on GPS coordinates, we then processed GPS data from 108 International GNSS Service (IGS) stations using the precise point positioning (PPP) method in two processing strategies, with and without the S1-S2 correction. We observed that the effects of S1-S2 on daily GPS coordinates are generally at the sub-millimeter level, with maximum root mean square (RMS) coordinate differences of 0.18, 0.08, and 0.51 mm in the East, North, and Up components, respectively. We confirmed that part of the GPS draconitic periodic signals was induced by unmodeled S1-S2 loading deformation, with the amplitudes of the first two draconitic harmonics induced by atmospheric tide loading reaching 0.2 mm in the Up component. Moreover, we recommend using the GGFC grid model for S1-S2 corrections in GPS data processing, as it reduced the weighted RMS of coordinate residuals for 45.37%, 46.30%, and 53.70% of stations in the East, North, and Up components, respectively, compared with 39.81%, 44.44%, and 50.00% for the VMF grid model. The effects of S1-S2 on linear velocities are very limited and remain within the Global Geodetic Observing System (GGOS) requirements for the future terrestrial reference frame at millimeter level. Full article
Show Figures

Figure 1

18 pages, 9177 KB  
Article
Understanding Physiological Responses for Intelligent Posture and Autonomic Response Detection Using Wearable Technology
by Chaitanya Vardhini Anumula, Tanvi Banerjee and William Lee Romine
Algorithms 2025, 18(9), 570; https://doi.org/10.3390/a18090570 - 10 Sep 2025
Viewed by 509
Abstract
This study investigates how Iyengar yoga postures influence autonomic nervous system (ANS) activity by analyzing multimodal physiological signals collected via wearable sensors. The goal was to explore whether subtle postural variations elicit measurable autonomic responses and to identify which sensor features most effectively [...] Read more.
This study investigates how Iyengar yoga postures influence autonomic nervous system (ANS) activity by analyzing multimodal physiological signals collected via wearable sensors. The goal was to explore whether subtle postural variations elicit measurable autonomic responses and to identify which sensor features most effectively capture these changes. Participants performed a sequence of yoga poses while wearing synchronized sensors measuring electrodermal activity (EDA), heart rate variability, skin temperature, and motion. Interpretable machine learning models, including linear classifiers, were trained to distinguish physiological states and rank feature relevance. The results revealed that even minor postural adjustments led to significant shifts in ANS markers, with phasic EDA and RR interval features showing heightened sensitivity. Surprisingly, micro-movements captured via accelerometry and transient electrodermal reactivity, specifically EDA peak-to-RMS ratios, emerged as dominant contributors to classification performance. These findings suggest that small-scale kinematic and autonomic shifts, which are often overlooked, play a central role in the physiological effects of yoga. The study demonstrates that wearable sensor analytics can decode a more nuanced and granular physiological profile of mind–body practices than traditionally appreciated, offering a foundation for precision-tailored biofeedback systems and advancing objective approaches to yoga-based interventions. Full article
Show Figures

Figure 1

20 pages, 6273 KB  
Article
A Study on the Endangerment of Luminitzera littorea (Jack) Voigt in China Based on Its Global Potential Suitable Areas
by Lin Sun, Zerui Li and Liejian Huang
Plants 2025, 14(17), 2792; https://doi.org/10.3390/plants14172792 - 5 Sep 2025
Viewed by 642
Abstract
The survival status of Lumnitzera littorea is near threatened globally and critically endangered in China. Clarifying its global distribution pattern and its changing trends under different future climate models is of great significance for the protection and restoration of its endangered status. To [...] Read more.
The survival status of Lumnitzera littorea is near threatened globally and critically endangered in China. Clarifying its global distribution pattern and its changing trends under different future climate models is of great significance for the protection and restoration of its endangered status. To build a model for this purpose, this study selected 73 actual distribution points of Lumnitzera littorea worldwide, combined with 12 environmental factors, and simulated its potential suitable habitats in six periods: the Last Interglacial (130,000–115,000 years ago), the Last Glacial Maximum (27,000–19,000 years ago), the Mid-Holocene (6000 years ago), the present (1970–2000), and the future 2050s (2041–2060) and 2070s (2061–2080). The results show that the optimal model parameter combination is the regularization multiplier RM = 4.0 and the feature combination FC (Feature class) = L (Linear) + Q (Quadratic) + P (Product). The MaxEnt model has a low omission rate and a more concise model structure. The AUC values in each period are between 0.981 and 0.985, indicating relatively high prediction accuracy. Min temperature of the coldest month, mean diurnal range, clay content, precipitation of the warmest quarter, and elevation are the dominant environmental factors affecting its distribution. The environmental conditions for min temperature of the coldest month at ≥19.6 °C, mean diurnal range at <7.66 °C, clay content at 34.14%, precipitation of the warmest quarter at ≥570.04 mm, and elevation at >1.39 m are conducive to Lumnitzera littorea’s survival and distribution. The global potential distribution areas are located along coasts. Starting from the paleoclimate, the plant’s distribution has gradually expanded, and its adaptability has gradually improved. In China, the range of potential highly suitable habitats is relatively narrow. Hainan Island is the core potential habitat, but there are fragmented areas in regions such as Guangdong, Guangxi, and Taiwan. The modern centroid of Lumnitzera littorea is located at (109.81° E, 2.56° N), and it will shift to (108.44° E, 3.22° N) in the later stage of the high-emission scenario (2070s (SSP585)). Under global warming trends, it has a tendency to migrate to higher latitudes. The development of the aquaculture industry and human deforestation has damaged the habitats of Lumnitzera littorea, and its population size has been sharply and continuously decreasing. The breeding and renewal system has collapsed, seed abortion and seedling establishment failure are common, and genetic variation is too scarce. This may indicate why Lumnitzera littorea is near threatened globally and critically endangered in China. Therefore, the protection and restoration strategies we propose are as follows: strengthen the legislative guarantee and law enforcement supervision of the native distribution areas of Lumnitzera littorea, expanding its population size outside the native environment, and explore measures to improve its seed germination rate, systematically collecting and introducing foreign germplasm resources to increase its genetic diversity. Full article
(This article belongs to the Section Plant Ecology)
Show Figures

Figure 1

13 pages, 921 KB  
Article
U.S. Precipitation Variability: Regional Disparities and Multiscale Features Since the 17th Century
by Qian Wang, Wupeng Du, Yang Xu, Maowei Wu and Mengxin Bai
Water 2025, 17(17), 2529; https://doi.org/10.3390/w17172529 - 25 Aug 2025
Viewed by 811
Abstract
Proxy data-based reconstructions provide an essential basis for understanding comprehensive precipitation variability at multiple time scales. This study compared the variation characteristics of reconstructed precipitation data across different regions in the U.S. and the differences at decadal/multidecadal scales. The reconstruction showed that multiple [...] Read more.
Proxy data-based reconstructions provide an essential basis for understanding comprehensive precipitation variability at multiple time scales. This study compared the variation characteristics of reconstructed precipitation data across different regions in the U.S. and the differences at decadal/multidecadal scales. The reconstruction showed that multiple scales of precipitation variability existed in each region and both multidecadal and decadal variability varied over time and across region. There was weaker multidecadal variability in the latter half of the 18th century and during the mid-19th century to mid-20th century east of the Rocky Mountains (RM); however, multidecadal variability appears to have increased since the 20th century in most regions. Decadal variability was weaker west of the RM except in the Southwest U.S. in the latter half of the 18th century. While decadal variability became stronger in the early 20th century, it shifted from a stronger phase to a weaker phase east of the RM. Then, we compared the spatiotemporal differences between the reconstructed Palmer Drought Severity Index (PDSI) and reconstructed precipitation in this study. The reconstructed annual precipitation mostly remains consistent with the existing PDSI dataset, but there are inconsistencies in the severe dry/wet intensities in some regions. Multiscale analysis of regional precipitation data holds great importance for understanding the relationship between precipitation in different regions and the climate system, while also providing a scientific theoretical basis for precipitation prediction. Full article
(This article belongs to the Special Issue Advance in Hydrology and Hydraulics of the River System Research 2025)
Show Figures

Figure 1

16 pages, 4026 KB  
Article
Design and Optimization Analysis of a Multipoint Flexible Adhesive Support Structure for a Spaceborne Rectangular Curved Prism
by Xinyin Jia, Bingliang Hu, Xianqiang He, Siyuan Li and Jia Liu
Appl. Sci. 2025, 15(16), 9050; https://doi.org/10.3390/app15169050 - 16 Aug 2025
Viewed by 478
Abstract
Curved prisms can serve as core components of dispersive spectroscopy and converge light paths, making them widely used in spectral imaging technology. Their positional stability, surface shape errors, and temperature stability in optical systems directly affect the performance of spectral imaging systems. On [...] Read more.
Curved prisms can serve as core components of dispersive spectroscopy and converge light paths, making them widely used in spectral imaging technology. Their positional stability, surface shape errors, and temperature stability in optical systems directly affect the performance of spectral imaging systems. On the basis of the analysis of design indicators and optimization of the support structure for curved prisms, a multipoint flexible adhesive support structure (MPPASS) of large rectangular curved prisms for space-based application is proposed. The novelty of the MPPASS lies in its ability to achieve micro-stress and high stability support for large-aperture rectangular optical elements through the bonding of peripheral small points and the introduction of flexible bonding rings. The design principles of the adhesive support structure were deeply studied, and on this basis, the engineering design, finite element analysis, adhesive testing, and mechanical testing of large curved prisms were completed. The designed curved prism assembly has a maximum deformation displacement of 0.0085 mm and a maximum tilt angle of 0.65” under gravity loading, a first-order frequency of 1003.5 Hz, and a maximum acceleration amplification factor of 3.12 in the X, Y, and Z directions. The root mean square (RMS) variation value of the mirror shape errors for the curved prism assembly was 5.26 nm under a uniform temperature load of 20 ± 1 °C, and the RMS value of the mirror shape errors was 0.019 λ after mechanical testing. The installation surface flatness of 0.02 mm did not significantly affect its mirror shape errors. The experimental results verified the rationality of the design, temperature stability, and mechanical stability of the MPPASS. Full article
Show Figures

Figure 1

17 pages, 4809 KB  
Article
Analysis of the Vibration Characteristics of a Moving Tracked Vehicle Considering the Powertrain Magnetorheological Damping System
by Yu Tao, Xue Rui, Feifei Liu, Jinyu Shan and Jianshu Zhang
Appl. Sci. 2025, 15(16), 8997; https://doi.org/10.3390/app15168997 - 14 Aug 2025
Viewed by 530
Abstract
With the increasing requirements for speed and travel distance in tracked vehicles on various terrains and the increasing mass ratio of powertrains, the vibration problem of high-power powertrains becomes a critical challenge. In this paper, in order to reflect on the vibration transmission [...] Read more.
With the increasing requirements for speed and travel distance in tracked vehicles on various terrains and the increasing mass ratio of powertrains, the vibration problem of high-power powertrains becomes a critical challenge. In this paper, in order to reflect on the vibration transmission relationship between the powertrain and the complex carrier, the magnetorheological damping system of a powertrain is studied in a whole vehicle model. The transfer matrix and equations of each component, including the magnetorheological mount, are derived by the Rui Method. Then, the electromechanical coupling multibody dynamic model of the vehicle–powertrain magnetorheological damping system is established. Consequently, the fast solution of vehicle–powertrain vibration characteristics under various road excitations is realized. The dynamic and static coupling characteristics of the powertrain system and the factors affecting its performance are analyzed in a moving vehicle. The simulation results indicate that the vibration reduction performance is the worst in the X-direction, whereas the vibration reduction performance is the best in the Y-direction. Under the E-class road condition at 10 m/s, the RMS acceleration reduction in the powertrain is 41.63% in the Y-direction relative to the chassis. Both the resonant frequency of the powertrain and chassis are 86.93 Hz in the Y-direction. Finally, the accuracy of the results is verified by simulation and driving experiments. The research results can provide theoretical guidance for the design and optimization of the powertrain mount of a tracked vehicle. Moreover, it provides a new technical means of studying the vibration characteristics of a complex multibody system. The simulation results demonstrate notable directional variations in the vibration attenuation performance of the powertrain damping system. Specifically, the X-direction shows the poorest vibration attenuation, whereas the Y-direction exhibits the best damping characteristics. Full article
(This article belongs to the Section Acoustics and Vibrations)
Show Figures

Figure 1

19 pages, 1692 KB  
Article
Overview of Mathematical Relations Between Poincaré Plot Measures and Time and Frequency Domain Measures of Heart Rate Variability
by Arie M. van Roon, Mark M. Span, Joop D. Lefrandt and Harriëtte Riese
Entropy 2025, 27(8), 861; https://doi.org/10.3390/e27080861 - 14 Aug 2025
Viewed by 1047
Abstract
The Poincaré plot was introduced as a tool to analyze heart rate variations caused by arrhythmias. Later, it was applied to time series with normal beats. The plot shows the relationship between the inter-beat interval (IBI) of one beat to the next. Several [...] Read more.
The Poincaré plot was introduced as a tool to analyze heart rate variations caused by arrhythmias. Later, it was applied to time series with normal beats. The plot shows the relationship between the inter-beat interval (IBI) of one beat to the next. Several parameters were developed to characterize this relationship. The short and long axis of the fitting ellipse, SD1 and SD2, respectively, their ratio, and their product are used. The difference between the IBI of a beat and m beats later are also studied, SD1(m) and SD2(m). We studied the mathematical relations between heart rate variability measures and the Poincaré measures in the time (standard deviation of IBI, SDNN, root mean square of successive differences, RMSSD) and frequency domain (power in low and high frequency band, and their ratio). We concluded that SD1 and SD2 do not provide new information compared to SDNN and RMSSD. Only the correlation coefficient r(m) provides new information for m > 1. Novel findings are that ln(SD2(m)/SD1(m)) = tanh−1(r(m)), which is an approximately normal distributed transformation of r(m), and that SD1(m) and SD2(m) can be calculated by multiplying the power spectrum by a weighing function that depends on m, revealing the relationship with spectral measures, but also the relationship between SD1(m) and SD2(m). Both lagged parameters are extremely difficult to interpret compared to low and high frequency power, which are more closely related to the functioning of the autonomic nervous system. Full article
(This article belongs to the Section Information Theory, Probability and Statistics)
Show Figures

Figure 1

19 pages, 11346 KB  
Article
Seasonal and Interannual Variations in Hydrological Dynamics of the Amazon Basin: Insights from Geodetic Observations
by Meilin He, Tao Chen, Yuanjin Pan, Lv Zhou, Yifei Lv and Lewen Zhao
Remote Sens. 2025, 17(15), 2739; https://doi.org/10.3390/rs17152739 - 7 Aug 2025
Viewed by 743
Abstract
The Amazon Basin plays a crucial role in the global hydrological cycle, where seasonal and interannual variations in terrestrial water storage (TWS) are essential for understanding climate–hydrology coupling mechanisms. This study utilizes data from the Gravity Recovery and Climate Experiment (GRACE) satellite mission [...] Read more.
The Amazon Basin plays a crucial role in the global hydrological cycle, where seasonal and interannual variations in terrestrial water storage (TWS) are essential for understanding climate–hydrology coupling mechanisms. This study utilizes data from the Gravity Recovery and Climate Experiment (GRACE) satellite mission and its follow-on mission (GRACE-FO, collectively referred to as GRACE) to investigate the spatiotemporal dynamics of hydrological mass changes in the Amazon Basin from 2002 to 2021. Results reveal pronounced spatial heterogeneity in the annual amplitude of TWS, exceeding 65 cm near the Amazon River and decreasing to less than 25 cm in peripheral mountainous regions. This distribution likely reflects the interplay between precipitation and topography. Vertical displacement measurements from the Global Navigation Satellite System (GNSS) show strong correlations with GRACE-derived hydrological load deformation (mean Pearson correlation coefficient = 0.72) and reduce its root mean square (RMS) by 35%. Furthermore, the study demonstrates that existing hydrological models, which neglect groundwater dynamics, underestimate hydrological load deformation. Principal component analysis (PCA) of the Amazon GNSS network demonstrates that the first principal component (PC) of GNSS vertical displacement aligns with abrupt interannual TWS fluctuations identified by GRACE during 2010–2011, 2011–2012, 2013–2014, 2015–2016, and 2020–2021. These fluctuations coincide with extreme precipitation events associated with the El Niño–Southern Oscillation (ENSO), confirming that ENSO modulates basin-scale interannual hydrological variability primarily through precipitation anomalies. This study provides new insights for predicting extreme hydrological events under climate warming and offers a methodological framework applicable to other critical global hydrological regions. Full article
Show Figures

Graphical abstract

16 pages, 1251 KB  
Article
Demographic Parameters and Life History Traits of Neoseiulus cucumeris (Oudemans) (Acari: Phytoseiidae) Influenced by Different Temperatures and Two Types of Food
by Mohammed M. E. Elmoghazy, Eslam Kamal Fahmy, Tagwa Salah Ahmed Mohammed Ali, Mohamed El-Sherbiny, Rasha Hamed Al-Serwi, Moaz Abulfaraj and Dalia M. A. Elsherbini
Insects 2025, 16(8), 777; https://doi.org/10.3390/insects16080777 - 29 Jul 2025
Viewed by 654
Abstract
Studying the nutritional ecology of Neoseiulus cucumeris (Oudemans) at different temperatures is a fundamental tool for improving mass production for use in biological control of pest mites. The current research studied the impact of both food types and temperatures on the life history [...] Read more.
Studying the nutritional ecology of Neoseiulus cucumeris (Oudemans) at different temperatures is a fundamental tool for improving mass production for use in biological control of pest mites. The current research studied the impact of both food types and temperatures on the life history and demographic parameters of the predator mite N. cucumeris. Mite cultures in the laboratory were developed using Tetranychus urticae Koch, and N. cucumeris was collected from field plants. The developmental stages of N. cucumeris fed on date palm pollen and the immature stages of T. urticae were investigated in a laboratory setting at different temperatures. Our research revealed that N. cucumeris readily accepted both food types at all the tested temperatures. The developmental stages and adult longevity of N. cucumeris, both female and male, decreased dramatically when the temperature increased from 18 °C to 34 °C. The net reproductive rate (R0) reached its greatest values of 22.52 and 9.72 offspring/individual at 26 °C, and the intrinsic rate of increase (rm) reached its maximum values of 0.17 and 0.13 day−1 at 34 °C and minimum of 0.12 and 0.10 day−1 at 18 °C, when fed on date palm pollen and immature stages of T. urticae, respectively. Conversely, the average generation time (T) showed a notable reduction from 22.48 to 16.48 and 20.88 to 16.76 days, accompanied by an upsurge in temperature from 18 °C to 34 °C, when fed on date palm pollen and immature stages of T. urticae, respectively. The finite rate of growth (λ) exhibited distinct variations, reaching its highest value at 34 °C, 26 °C, and 18 °C when fed on date palm pollen and immature stages of T. urticae, respectively. From these results, we can conclude that N. cucumeris was successfully fed date palm pollen as an alternate source of nourishment. In addition, the immature stages of T. urticae are suitable as food sources for N. cucumeris because they shorten the mean generation time. Therefore, the success of mass-rearing the predator mite N. cucumeris on a different, less expensive diet, such as date palm pollen, and determining the most suitable temperature for it has increased its spread as a biocontrol agent. Full article
(This article belongs to the Section Insect Pest and Vector Management)
Show Figures

Figure 1

20 pages, 2984 KB  
Article
Influence of Rice–Crayfish Co-Culture Systems on Soil Properties and Microbial Communities in Paddy Fields
by Dingyu Duan, Dingxuan He, Liangjie Zhao, Chenxi Tan, Donghui Yang, Wende Yan, Guangjun Wang and Xiaoyong Chen
Plants 2025, 14(15), 2320; https://doi.org/10.3390/plants14152320 - 27 Jul 2025
Viewed by 863
Abstract
Integrated rice–crayfish (Oryza sativaProcambarus clarkii) co-culture (RC) systems have gained prominence due to their economic benefits and ecological sustainability; however, the interactions between soil properties and microbial communities in such systems remain poorly understood. This study evaluated the effects [...] Read more.
Integrated rice–crayfish (Oryza sativaProcambarus clarkii) co-culture (RC) systems have gained prominence due to their economic benefits and ecological sustainability; however, the interactions between soil properties and microbial communities in such systems remain poorly understood. This study evaluated the effects of the RC systems on soil physicochemical characteristics and microbial dynamics in paddy fields of southern Henan Province, China, over the 2023 growing season and subsequent fallow period. Using a randomized complete design, rice monoculture (RM, as the control) and RC treatments were compared across replicated plots. Soil and water samples were collected post-harvest and pre-transplanting to assess soil properties, extracellular enzyme activity, and microbial community structure. Results showed that RC significantly enhanced soil moisture by up to 30.2%, increased soil porosity by 9.6%, and nearly tripled soil organic carbon compared to RM. The RC system consistently elevated nitrogen (N), phosphorus (P), and potassium (K) throughout both the rice growth and fallow stages, indicating improved nutrient availability and retention. Elevated extracellular enzyme activities linked to carbon, N, and P cycling were observed under RC, with enzymatic stoichiometry revealing increased microbial nutrient limitation intensity and a shift toward P limitation. Microbial community composition was significantly altered under RC, showing increased biomass, a higher fungi-to-bacteria ratio, and greater relative abundance of Gram-positive bacteria, reflecting enhanced soil biodiversity and ecosystem resilience. Further analyses using the Mantel test and Random Forest identified extracellular enzyme activities, PLFAs, soil moisture, and bulk density as major factors shaping microbial communities. Redundancy analysis (RDA) confirmed that total potassium (TK), vector length (VL), soil pH, and total nitrogen (TN) were the strongest environmental predictors of microbial variation, jointly explaining 74.57% of the total variation. Our findings indicated that RC improves soil physicochemical conditions and microbial function, thereby supporting sustainable nutrient cycling and offering a promising, environmentally sound strategy for enhancing productivity and soil health in rice-based agro-ecosystems. Full article
Show Figures

Figure 1

17 pages, 23834 KB  
Article
Information Merging for Improving Automatic Classification of Electrical Impedance Mammography Images
by Jazmin Alvarado-Godinez, Hayde Peregrina-Barreto, Delia Irazú Hernández-Farías and Blanca Murillo-Ortiz
Appl. Sci. 2025, 15(14), 7735; https://doi.org/10.3390/app15147735 - 10 Jul 2025
Viewed by 570
Abstract
Breast cancer remains one of the leading causes of mortality among women worldwide, highlighting the critical need for early and accurate detection methods. Traditional mammography, although widely used, has limitations, including radiation exposure and challenges in detecting early-stage lesions. Electrical Impedance Mammography (EIM) [...] Read more.
Breast cancer remains one of the leading causes of mortality among women worldwide, highlighting the critical need for early and accurate detection methods. Traditional mammography, although widely used, has limitations, including radiation exposure and challenges in detecting early-stage lesions. Electrical Impedance Mammography (EIM) has emerged as a non-invasive and radiation-free alternative that assesses the density and electrical conductivity of breast tissue. EIM images consist of seven layers, each representing different tissue depths, offering a detailed representation of the breast structure. However, analyzing these layers individually can be redundant and complex, making it difficult to identify relevant features for lesion classification. To address this issue, advanced computational techniques are employed for image integration, such as the Root Mean Square (CRMS) Contrast and Contrast-Limited Adaptive Histogram Equalization (CLAHE), combined with the Coefficient of Variation (CV), CLAHE-based fusion, weighted average fusion, Gaussian pyramid fusion, and Wavelet–PCA fusion. Each method enhances the representation of tissue features, optimizing the image quality and diagnostic utility. This study evaluated the impact of these integration techniques on EIM image analysis, aiming to improve the accuracy and reliability of computational diagnostic models for breast cancer detection. According to the obtained results, the best performance was achieved using Wavelet–PCA fusion in combination with XGBoost as a classifier, yielding an accuracy rate of 89.5% and an F1-score of 81.5%. These results are highly encouraging for the further investigation of this topic. Full article
(This article belongs to the Special Issue Novel Insights into Medical Images Processing)
Show Figures

Figure 1

Back to TopTop