Sign in to use this feature.

Years

Between: -

Subjects

remove_circle_outline
remove_circle_outline
remove_circle_outline
remove_circle_outline
remove_circle_outline
remove_circle_outline
remove_circle_outline
remove_circle_outline
remove_circle_outline

Journals

Article Types

Countries / Regions

Search Results (39)

Search Parameters:
Keywords = QMD

Order results
Result details
Results per page
Select all
Export citation of selected articles as:
22 pages, 2428 KB  
Article
Variation and QTL Analysis of Dynamic Tillering in Rice Under Nitrogen and Straw Return Treatments
by Yang Shui, Faping Guo, Youlin Peng, Wei Yin, Pan Qi, Yungao Hu and Shengmin Yan
Agriculture 2025, 15(11), 1115; https://doi.org/10.3390/agriculture15111115 - 22 May 2025
Viewed by 740
Abstract
Rice tillering is an important trait that is genetically and environmentally co-regulated. Nitorgen is one of the key nutrients affecting tillering, and straw return further affects tiller development by altering soil heterogeneity. In order to analyze the genetic regulation mechanism of rice tillering [...] Read more.
Rice tillering is an important trait that is genetically and environmentally co-regulated. Nitorgen is one of the key nutrients affecting tillering, and straw return further affects tiller development by altering soil heterogeneity. In order to analyze the genetic regulation mechanism of rice tillering and its interactions with the environment, 124 recombinant inbred line (RIL) populations derived from two superior Peijiu lines, 9311 and PA64s, were used as materials in this study, and the dynamic tillering phenotypes were measured under three treatments (no nitrogen application, nitrogen application, and nitrogen + straw return) for two consecutive years. Using an existing genetic map, we conducted single-environment, multi-environment, and meta-QTL analyses to systematically identify tiller-related genetic loci and their environmental interactions. The main findings were as follows: (1) A total of 57 QTLs were identified in the single-environment QTL analysis, of which 44 were unreported new QTLs. Four QTLs showed temporal pleiotropy, ten QTLs contributed more than 10% to the phenotypes under the no-N treatment, and five QTLs contributed more than 10% under the straw return treatment. Among them, the phenotypic contribution of mks1-355 (qD1tn1-3) and mks1-352 (qD2TN1-2) both exceeded 40%. (2) Multi-environmental QTL analysis detected 15 QTLs. Of these, qmD1TN1 (mks1-356) showed no environmental interaction effect, while qmD1TN12 (mks12-267), qmD2TN1 (mks1-334), qmD2TN3-1 (mks3-105), and qmD5TN6 (mks6-71) exhibited antagonistic pleiotropy, suggesting that these QTL need to be considered for environmental specificity in breeding. (3) Meta-QTL analysis localized 52 MQTLs, of which MQTL3.1 and MQTL6.8 contained 82 and 59 candidate genes, respectively, and no reported tiller-related genes were found. (4) mks1-355 (qD1tn1-3), mks1-352 (qD2TN1-2), and mks1-356 (qmD1TN1) may be located in the same genetic locus, and their phenotypic contributions were more than 40%. These QTLs were detected stably for two consecutive years, and they may be the main effector QTLs in tillering that are less affected by the environment. Further analysis revealed that these QTLs corresponded to MQTL1.6, which contains 56 candidate genes. Of these, the expression level of OsSPL2 gene in the parental line 9311 was significantly higher than that of PA64s, and there were polymorphic differences in the coding region. It was hypothesized that OsSPL2 was the main effector gene of this QTL. This study provides important genetic resources for mining candidate genes related to tillering and nitrogen efficiency in rice and lays a theoretical foundation for directional breeding and molecular marker development in specific environments. Full article
(This article belongs to the Section Crop Genetics, Genomics and Breeding)
Show Figures

Figure 1

14 pages, 5278 KB  
Article
Analysis of the Applicability of the Yukawa Model and Chapman–Enskog Approach for Heated Beryllium at Metallic Density Using Quantum Molecular Dynamics
by Moldir Issanova, Nasriddin Djienbekov, Tlekkabul Ramazanov, Gaukhar Omiraliyeva, Sandugash Kodanova and Akmaral Kenzhebekova
Appl. Sci. 2025, 15(9), 4945; https://doi.org/10.3390/app15094945 - 29 Apr 2025
Viewed by 679
Abstract
We conducted a comprehensive analysis of quantum molecular dynamics (QMD) simulation results for beryllium (Be) at metallic density and temperatures up to 32,000 K. Using the QMD results for the radial distribution function (RDF), velocity autocorrelation function (VACF), mean-squared displacement (MSD), and the [...] Read more.
We conducted a comprehensive analysis of quantum molecular dynamics (QMD) simulation results for beryllium (Be) at metallic density and temperatures up to 32,000 K. Using the QMD results for the radial distribution function (RDF), velocity autocorrelation function (VACF), mean-squared displacement (MSD), and the diffusion coefficient of ions, we confidently assess the effectiveness of the Yukawa one-component plasma model in describing ion structure and transport properties. Additionally, we analyzed the applicability and accuracy of the Chapman–Enskog method for calculating the diffusion coefficient. We found that Yukawa model-based molecular dynamics (MD) simulations accurately capture ion dynamics, as evidenced by the VACF and MSD, when the Yukawa potential parameters are correctly chosen. Through our comparative analysis of the QMD, Yukawa–MD, and Chapman–Enskog methods, we clearly identified the effective coupling parameter values at which the Chapman–Enskog method maintains its accuracy. Importantly, while a model that reproduces the RDF of ions may not guarantee precise transport properties, our findings underscore the necessity of benchmarking plasma models against QMD results from real materials to validate their applicability and efficacy. Full article
(This article belongs to the Section Applied Physics General)
Show Figures

Figure 1

18 pages, 5181 KB  
Article
Analytic Model for U-Nb Liquidus and U-6Nb Melting Curve
by Leonid Burakovsky, Dean L. Preston and Andrew A. Green
Appl. Sci. 2025, 15(7), 3763; https://doi.org/10.3390/app15073763 - 29 Mar 2025
Cited by 1 | Viewed by 701
Abstract
Uranium–niobium (U-Nb) alloys, used in a variety of industrial and energy applications that require high density, ductility, and good corrosion resistance, comprise a highly complex, multiphasic system with a phase diagram well established through decades of extensive experimental and theoretical research. They are [...] Read more.
Uranium–niobium (U-Nb) alloys, used in a variety of industrial and energy applications that require high density, ductility, and good corrosion resistance, comprise a highly complex, multiphasic system with a phase diagram well established through decades of extensive experimental and theoretical research. They are also one of the best candidates for a metallic fuel alloy with high-temperature strength sufficient to support the core, acceptable nuclear properties, good fabricability, and compatibility with usable coolant media. The key factor determining the performance and safety of a metallic fuel such as U-Nb is its operational limits in the application environment, which are closely related to material’s structure and thermodynamic stability. They are in turn closely related to the ambient (zero-pressure) melting point (Tm); thus, Tm is an important engineering parameter. However, the current knowledge of Tm of the U-Nb system is limited, as the only experimental study of its Nb-rich portion dates back to 1958. In addition, it has not yet been adequately modeled based on general thermodynamics principles or using an equation-of-state approach. In this study, we present a theoretical model for the melting curve (liquidus) of a mixture, and apply it to U-Nb, which is considered as a mixture of pure U and pure Nb. The model uses the known melting curves of pure constituents as an input and predicts the melting curve of their mixture. It has only one free parameter, which must be determined independently. The ambient liquidus of U-Nb predicted by the model appears to be in good agreement with the available experimental data. We calculate the melting curve (the pressure dependence of Tm) of pure U using ab initio quantum molecular dynamics (QMD), the knowledge of which is required for obtaining the model parameters for U. We also generalize the new model to nonzero pressure and consider the melting curve of U-6 wt.% Nb (U-6Nb) alloy as an example. The melting curve of U-6Nb alloy predicted by the model appears to be in good agreement with the ab initio melting curve obtained from our QMD simulations. We suggest that the U-18Nb alloy can be considered as a proxy for protactinium (Pa) and demonstrate that the melting curves of U-18Nb and Pa are in good agreement with each other. Full article
Show Figures

Figure 1

10 pages, 7283 KB  
Article
Predicting Timber Board Foot Volume Using Forest Landscape Model and Allometric Equations Integrating Forest Inventory Data
by Justin Dijak, Hong He and Jacob Fraser
Forests 2025, 16(3), 543; https://doi.org/10.3390/f16030543 - 19 Mar 2025
Viewed by 509
Abstract
In this study, we present a methodology for predicting timber board foot volume using a forest landscape model, incorporating allometric equations and forest inventory data. The research focuses on the Ozark Plateau, a 48,000-square-mile region characterized by productive soils and varied precipitation. To [...] Read more.
In this study, we present a methodology for predicting timber board foot volume using a forest landscape model, incorporating allometric equations and forest inventory data. The research focuses on the Ozark Plateau, a 48,000-square-mile region characterized by productive soils and varied precipitation. To simulate timber volume, we used the LANDIS PRO forest landscape model, initialized with forest composition data derived from the USDA Forest Service’s Forest Inventory and Analysis (FIA) plots. The model accounted for species-specific growth rates and was run from the year 2000 to 2100 at five-year intervals. Timber volume estimates were calculated using both quadratic mean diameter (QMD) and tree diameter in the Hahn and Hansen board foot volume equation. These estimates were compared across different forest types—deciduous, coniferous, and mixed stands—and verified against FIA plot data using a paired permutation test. Results showed high correlations between QMD and tree diameter methods, with a slightly lower volume estimate from the QMD approach. Projections indicate significant increases in board foot volume for key species groups such as red oak and white oak while showing declines toward the end of the model period in groups like shortleaf pine due to age-related mortality and regeneration challenges. The model’s estimates closely align with state-level FIA data, underscoring the effectiveness of the integrated approach. The study highlights the utility of integrating landscape models and forest inventory data to predict timber volume over time, offering valuable insights for forest management and policy planning. Full article
Show Figures

Figure 1

15 pages, 3387 KB  
Article
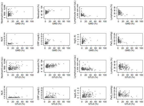
Quantitative Computed Tomography Lung COVID Scores with Laboratory Markers: Utilization to Predict Rapid Progression and Monitor Longitudinal Changes in Patients with Coronavirus 2019 (COVID-19) Pneumonia
by Da Hyun Kang, Grace Hyun J. Kim, Sa-Beom Park, Song-I Lee, Jeong Suk Koh, Matthew S. Brown, Fereidoun Abtin, Michael F. McNitt-Gray, Jonathan G. Goldin and Jeong Seok Lee
Biomedicines 2024, 12(1), 120; https://doi.org/10.3390/biomedicines12010120 - 6 Jan 2024
Cited by 19 | Viewed by 2152
Abstract
Coronavirus disease 2019 (COVID-19), is an ongoing issue in certain populations, presenting rapidly worsening pneumonia and persistent symptoms. This study aimed to test the predictability of rapid progression using radiographic scores and laboratory markers and present longitudinal changes. This retrospective study included 218 [...] Read more.
Coronavirus disease 2019 (COVID-19), is an ongoing issue in certain populations, presenting rapidly worsening pneumonia and persistent symptoms. This study aimed to test the predictability of rapid progression using radiographic scores and laboratory markers and present longitudinal changes. This retrospective study included 218 COVID-19 pneumonia patients admitted at the Chungnam National University Hospital. Rapid progression was defined as respiratory failure requiring mechanical ventilation within one week of hospitalization. Quantitative COVID (QCOVID) scores were derived from high-resolution computed tomography (CT) analyses: (1) ground glass opacity (QGGO), (2) mixed diseases (QMD), and (3) consolidation (QCON), and the sum, quantitative total lung diseases (QTLD). Laboratory data, including inflammatory markers, were obtained from electronic medical records. Rapid progression was observed in 9.6% of patients. All QCOVID scores predicted rapid progression, with QMD showing the best predictability (AUC = 0.813). In multivariate analyses, the QMD score and interleukin(IL)-6 level were important predictors for rapid progression (AUC = 0.864). With >2 months follow-up CT, remained lung lesions were observed in 21 subjects, even after several weeks of negative reverse transcription polymerase chain reaction test. AI-driven quantitative CT scores in conjugation with laboratory markers can be useful in predicting the rapid progression and monitoring of COVID-19. Full article
(This article belongs to the Section Microbiology in Human Health and Disease)
Show Figures

Figure 1

11 pages, 6706 KB  
Article
Substrate-Induced Changes on the Optical Properties of Single-Layer WS2
by F. D. V. Araujo, F. W. N. Silva, T. Zhang, C. Zhou, Zhong Lin, Nestor Perea-Lopez, Samuel F. Rodrigues, Mauricio Terrones, Antônio Gomes Souza Filho, R. S. Alencar and Bartolomeu C. Viana
Materials 2023, 16(7), 2591; https://doi.org/10.3390/ma16072591 - 24 Mar 2023
Cited by 2 | Viewed by 2713
Abstract
Among the most studied semiconducting transition metal dichalcogenides (TMDCs), WS2 showed several advantages in comparison to their counterparts, such as a higher quantum yield, which is an important feature for quantum emission and lasing purposes. We studied transferred monolayers of WS2 [...] Read more.
Among the most studied semiconducting transition metal dichalcogenides (TMDCs), WS2 showed several advantages in comparison to their counterparts, such as a higher quantum yield, which is an important feature for quantum emission and lasing purposes. We studied transferred monolayers of WS2 on a drilled Si3N4 substrate in order to have insights about on how such heterostructure behaves from the Raman and photoluminescence (PL) measurements point of view. Our experimental findings showed that the Si3N4 substrate influences the optical properties of single-layer WS2. Beyond that, seeking to shed light on the causes of the PL quenching observed experimentally, we developed density functional theory (DFT) based calculations to study the thermodynamic stability of the heterojunction through quantum molecular dynamics (QMD) simulations as well as the electronic alignment of the energy levels in both materials. Our analysis showed that along with strain, a charge transfer mechanism plays an important role for the PL decrease. Full article
Show Figures

Figure 1

11 pages, 4636 KB  
Project Report
Light-Nuclei Production in Heavy-Ion Collisions at sNN = 6.4 – 19.6 GeV in THESEUS Generator Based on Three-Fluid Dynamics
by Marina Kozhevnikova and Yuri B. Ivanov
Particles 2023, 6(1), 440-450; https://doi.org/10.3390/particles6010024 - 16 Mar 2023
Cited by 3 | Viewed by 2664
Abstract
Light-nuclei production in relativistic heavy-ion collisions is simulated within an updated Three-fluid Hydrodynamics-based Event Simulator Extended by UrQMD (Ultra-relativistic Quantum Molecular Dynamics) final State interactions (THESEUS). The simulations are performed in the collision energy range of sNN= 6.4–19.6 GeV. The [...] Read more.
Light-nuclei production in relativistic heavy-ion collisions is simulated within an updated Three-fluid Hydrodynamics-based Event Simulator Extended by UrQMD (Ultra-relativistic Quantum Molecular Dynamics) final State interactions (THESEUS). The simulations are performed in the collision energy range of sNN= 6.4–19.6 GeV. The light-nuclei are produced within the thermodynamical approach on an equal basis with hadrons. Since the light nuclei do not participate in the UrQMD evolution, the only additional parameter related to the light nuclei, i.e., the energy density of late freeze-out, is used for the imitation of the afterburner stage of the collision. The updated THESEUS provides a reasonable reproduction of data on bulk observables of the light nuclei, especially their functional dependence on the collision energy and light-nucleus mass. Various ratios, d/p, t/p, t/d, and N(t)×N(p)/N2(d), are also considered. Imperfect reproduction of the light-nuclei data leaves room for medium effects in produced light nuclei. Full article
(This article belongs to the Special Issue Selected Papers from "Physics Performance Studies at FAIR and NICA")
Show Figures

Figure 1

17 pages, 5066 KB  
Review
Improved Quantum Molecular Dynamics Model and Its Application to Ternary Breakup Reactions
by Junlong Tian, Xian Li and Cheng Li
Universe 2022, 8(11), 555; https://doi.org/10.3390/universe8110555 - 25 Oct 2022
Cited by 1 | Viewed by 1709
Abstract
Collisions of very heavy nuclei 197Au+197Au at the energy range of 5–30 A MeV have been studied within the improved quantum molecular dynamics (ImQMD) model. A class of ternary events satisfying a nearly complete balance of mass numbers is selected [...] Read more.
Collisions of very heavy nuclei 197Au+197Au at the energy range of 5–30 A MeV have been studied within the improved quantum molecular dynamics (ImQMD) model. A class of ternary events satisfying a nearly complete balance of mass numbers is selected and we find that the probability of ternary breakup depends on the incident energy and the impact parameter. It is also found that the largest probability of ternary breakup is located at the energy around 24 A MeV for the system 197Au+197Au. The experimental mass distributions and angular distributions for the system 197Au+197Au ternary breakup fragments can be reproduced well by the calculation with the ImQMD model at the energy of 15 A MeV. The modes and mechanisms of ternary and quaternary breakup are studied by time-dependent snapshots of ternary events. The direct prolate, direct oblate, and cascade ternary breakup modes, are manifested and their production probabilities are obtained. The characteristic features in ternary breakup events, three mass-comparable fragments, and the very fast, nearly collinear breakup, account for the two-preformed-neck shape of the composite system. The mean free path of nucleons in the reaction system is studied and the shorter mean free path is responsible for the ternary breakup with three mass comparable fragments, in which the two-body dissipation mechanism plays a dominant role. Full article
Show Figures

Figure 1

9 pages, 569 KB  
Article
Effects of Initial Density Fluctuations on Cumulants in Au + Au Collisions at sNN = 7.7 GeV
by Xiaoqing Yue, Yongjia Wang, Qingfeng Li and Fuhu Liu
Universe 2022, 8(9), 491; https://doi.org/10.3390/universe8090491 - 18 Sep 2022
Cited by 2 | Viewed by 1894
Abstract
Within the ultrarelativistic quantum molecular dynamics (UrQMD) model, the effect of initial density fluctuations on cumulants of the net-proton multiplicity distribution in Au + Au Collisions at sNN = 7.7 GeV was investigated by varying the minimum distance dmin between [...] Read more.
Within the ultrarelativistic quantum molecular dynamics (UrQMD) model, the effect of initial density fluctuations on cumulants of the net-proton multiplicity distribution in Au + Au Collisions at sNN = 7.7 GeV was investigated by varying the minimum distance dmin between two nucleons in the initialization. It was found that the initial density fluctuations increased with the decrease of dmin from 1.6 fm to 1.0 fm, and the influence of dmin on the magnitude of the net-proton number fluctuation in a narrow pseudorapidity window (Δη 4) was negligible even if it indeed affected the density evolution during the collision. At a broad pseudorapidity window (Δη 4), the cumulant ratios were enlarged when the initial density fluctuations were increased with the smaller value of dmin, and this enhancement was comparable to that observed in the presence of the nuclear mean-field potential. Moreover, the enhanced cumulants were more evident in collisions with a larger impact parameter. The present work demonstrates that the fingerprint of the initial density fluctuations on the cumulants in a broad pseudorapidity window is clearly visible, while it is not obvious as the pseudorapidity window becomes narrow. Full article
Show Figures

Figure 1

13 pages, 7440 KB  
Article
Ab Initio Phase Diagram of Chromium to 2.5 TPa
by Samuel R. Baty, Leonid Burakovsky, Darby J. Luscher, Sky K. Sjue and Daniel Errandonea
Appl. Sci. 2022, 12(15), 7844; https://doi.org/10.3390/app12157844 - 4 Aug 2022
Cited by 8 | Viewed by 2583
Abstract
Chromium possesses remarkable physical properties such as hardness and corrosion resistance. Chromium is also a very important geophysical material as it is assumed that lighter Cr isotopes were dissolved in the Earth’s molten core during the planet’s formation, which makes Cr one of [...] Read more.
Chromium possesses remarkable physical properties such as hardness and corrosion resistance. Chromium is also a very important geophysical material as it is assumed that lighter Cr isotopes were dissolved in the Earth’s molten core during the planet’s formation, which makes Cr one of the main constituents of the Earth’s core. Unfortunately, Cr has remained one of the least studied 3d transition metals. In a very recent combined experimental and theoretical study (Anzellini et al., Scientific Reports, 2022), the equation of state and melting curve of chromium were studied to 150 GPa, and it was determined that the ambient body-centered cubic (bcc) phase of crystalline Cr remains stable in the whole pressure range considered. However, the importance of the knowledge of the physical properties of Cr, specifically its phase diagram, necessitates further study of Cr to higher pressure. In this work, using a suite of ab initio quantum molecular dynamics (QMD) simulations based on the Z methodology which combines both direct Z method for the simulation of melting curves and inverse Z method for the calculation of solid–solid phase transition boundaries, we obtain the theoretical phase diagram of Cr to 2.5 TPa. We calculate the melting curves of the two solid phases that are present on its phase diagram, namely, the lower-pressure bcc and the higher-pressure hexagonal close-packed (hcp) ones, and obtain the equation for the bcc-hcp solid–solid phase transition boundary. We also obtain the thermal equations of state of both bcc-Cr and hcp-Cr, which are in excellent agreement with both experimental data and QMD simulations. We argue that 2180 K as the value of the ambient melting point of Cr which is offered by several public web resources (“Wikipedia,” “WebElements,” “It’s Elemental,” etc.) is most likely incorrect and should be replaced with 2135 K, found in most experimental studies as well as in the present theoretical work. Full article
(This article belongs to the Special Issue Feature Paper Collection in Section Materials)
Show Figures

Figure 1

20 pages, 1110 KB  
Article
Colliding and Fixed Target Mode in a Single Experiment—A Novel Approach to Study the Matter under New Extreme Conditions
by Oleksandr V. Vitiuk, Valery M. Pugatch, Kyrill A. Bugaev, Nazar S. Yakovenko, Pavlo P. Panasiuk, Elizaveta S. Zherebtsova, Vasyl M. Dobishuk, Sergiy B. Chernyshenko, Borys E. Grinyuk, Violetta Sagun and Oleksii Ivanytskyi
Particles 2022, 5(3), 245-264; https://doi.org/10.3390/particles5030022 - 18 Jul 2022
Viewed by 3385
Abstract
Here, we propose a novel approach to experimentally and theoretically study the properties of QCD matter under new extreme conditions, namely having an initial temperature over 300 MeV and baryonic charge density over three times the values of the normal nuclear density. According [...] Read more.
Here, we propose a novel approach to experimentally and theoretically study the properties of QCD matter under new extreme conditions, namely having an initial temperature over 300 MeV and baryonic charge density over three times the values of the normal nuclear density. According to contemporary theoretical knowledge, such conditions were not accessible during the early Universe evolution and are not accessible now in the known astrophysical phenomena. To achieve these new extreme conditions, we proposed performing high-luminosity experiments at LHC or other colliders by means of scattering the two colliding beams at the nuclei of a solid target that is fixed at their interaction region. Under plausible assumptions, we estimate the reaction rate for the p+C+p and Pb+Pb+Pb reactions and discuss the energy deposition into the target and possible types of fixed targets for such reactions. To simulate the triple nuclear collisions, we employed the well-known UrQMD 3.4 model for the beam center-of-mass collision energies sNN = 2.76 TeV. As a result of our modeling, we found that, in the most central and simultaneous triple nuclear collisions, the initial baryonic charge density is approximately three times higher than the one achieved in the ordinary binary nuclear collisions at this energy. Full article
(This article belongs to the Special Issue 2022 Feature Papers by Particles’ Editorial Board Members)
Show Figures

Figure 1

18 pages, 3401 KB  
Article
Low Density Neutron Star Matter with Quantum Molecular Dynamics: The Role of Isovector Interactions
by Parit Mehta, Rana Nandi, Rosana de Oliveira Gomes, Veronica Dexheimer and Jan Steinheimer
Universe 2022, 8(7), 380; https://doi.org/10.3390/universe8070380 - 13 Jul 2022
Cited by 4 | Viewed by 2079
Abstract
The effect of isospin-dependent nuclear forces on the inner crust of neutron stars is modeled within the framework of Quantum Molecular Dynamics (QMD). To successfully control the density dependence of the symmetry energy of neutron-star matter below nuclear saturation density, a mixed vector-isovector [...] Read more.
The effect of isospin-dependent nuclear forces on the inner crust of neutron stars is modeled within the framework of Quantum Molecular Dynamics (QMD). To successfully control the density dependence of the symmetry energy of neutron-star matter below nuclear saturation density, a mixed vector-isovector potential is introduced. This approach is inspired by the baryon density and isospin density-dependent repulsive Skyrme force of asymmetric nuclear matter. In isospin-asymmetric nuclear matter, the system shows nucleation, as nucleons are arranged into shapes resembling nuclear pasta. The dependence of clusterization in the system on the isospin properties is also explored by calculating two-point correlation functions. We show that, as compared to previous results that did not involve such mixed interaction terms, the energy symmetry slope L is successfully controlled by varying the corresponding coupling strength. Nevertheless, the effect of changing the slope of the nuclear symmetry energy L on the crust-core transition density does not seem significant. To the knowledge of the authors, this is the first implementation of such a coupling in a QMD model for isospin asymmetric matter, which is relevant to the inner crust of neutron and proto-neutron stars. Full article
(This article belongs to the Special Issue Properties and Dynamics of Neutron Stars and Proto-Neutron Stars)
Show Figures

Figure 1

18 pages, 648 KB  
Article
Particle Multiplicity Fluctuations and Spatiotemporal Properties of Particle-Emitting Source of Strongly Interacting Matter for NICA and RHIC Energies
by Mariya Cheremnova, Alexey Chernyshov, Yevheniia Khyzhniak, Olga Kodolova, Valentin Kuzmin, Igor Lokhtin, Ludmila Malinina, Konstantin Mikhaylov and Grigory Nigmatkulov
Symmetry 2022, 14(7), 1316; https://doi.org/10.3390/sym14071316 - 25 Jun 2022
Cited by 3 | Viewed by 2499
Abstract
The results of the model analysis of hadron femtoscopic correlations and factorial moments of particle multiplicity in heavy ion collisions for the energy range of the Beam Energy Scan (BES) program at RHIC and future NICA collider are presented. For this purpose, the [...] Read more.
The results of the model analysis of hadron femtoscopic correlations and factorial moments of particle multiplicity in heavy ion collisions for the energy range of the Beam Energy Scan (BES) program at RHIC and future NICA collider are presented. For this purpose, the simulation of Au+Au collisions at center-of-mass energies 7.7 and 11.5 GeV per nucleon pair using the UrQMD, vHLLE+UrQMD (with the crossover and first-order equation of states), and HYDJET++ event generators was performed. The sensitivity of pion and kaon correlation radii and the dependence of the factorial moments on heavy ion beam energy to quark–hadron phase transition details was studied. In addition, the possible influence of some relevant detector effects on the corresponding experimental observables is discussed. Full article
(This article belongs to the Special Issue Physics and Symmetry Section: Feature Papers 2021)
Show Figures

Figure 1

14 pages, 1749 KB  
Article
Total and Partial Shear Viscosity in Heavy-Ion Collisions at Energies of BES, FAIR and NICA
by Maksym Teslyk, Larisa Bravina and Evgeny Zabrodin
Symmetry 2022, 14(4), 634; https://doi.org/10.3390/sym14040634 - 22 Mar 2022
Viewed by 2180
Abstract
We calculated the shear viscosity of hot and dense nuclear matter produced in a symmetric system of central gold–gold collisions at energies of BES RHIC, FAIR and NICA. For calculations of the collisions, the transport model UrQMD was employed. The shear viscosity was [...] Read more.
We calculated the shear viscosity of hot and dense nuclear matter produced in a symmetric system of central gold–gold collisions at energies of BES RHIC, FAIR and NICA. For calculations of the collisions, the transport model UrQMD was employed. The shear viscosity was obtained within the Green–Kubo formalism. The hadron resonance gas model was used to determine temperature and chemical potentials of baryon charge and strangeness out of microscopic model calculations. In contrast to our previous works, we determined the partial viscosity of the main hadron species, such as nucleons, pions, kaons and Lambdas, via the nucleon–nucleon, pion–pion and so forth, correlators. A decrease in the beam energy from Elab=40 to 10 AGeV leads a to rise in baryon shear viscosity accompanied by a drop in the shear viscosity of mesons. The ratio of total shear viscosity to entropy density also decreases. Full article
Show Figures

Figure 1

11 pages, 20013 KB  
Article
Local Coordination Environment of 3d and 4d Transition Metal Ions in LiCl-KCl Eutectic Mixture
by Jon Fuller, William Phillips, Qi An and Ruchi Gakhar
Materials 2022, 15(4), 1478; https://doi.org/10.3390/ma15041478 - 16 Feb 2022
Cited by 2 | Viewed by 2482
Abstract
In this study, the structure and coordination environment of two 3d transition elements (Ni and Cr) is investigated in a molten chloride salt system. Electronic absorption spectroscopy was employed to elucidate their coordination environment in 3LiCl-2KCl eutectic salt, as a function of temperature. [...] Read more.
In this study, the structure and coordination environment of two 3d transition elements (Ni and Cr) is investigated in a molten chloride salt system. Electronic absorption spectroscopy was employed to elucidate their coordination environment in 3LiCl-2KCl eutectic salt, as a function of temperature. Density functional theory (DFT) modeling was used to determine the coordination environment of the transition metal species in the eutectic composition as well as the optical spectra computationally. The Ni2+and Cr3+ exist in a tetrahedral and octahedral coordination environment, respectively, in eutectic salt. The spectra thus obtained were compared with the experimental data; a reasonable qualitative agreement was obtained between experimental and computational Ni2+ and Cr3+spectra, and the coordination of both elements in the eutectic composition were in excellent agreement with the experimentally determined results. Computational results were also obtained for two 4d elements, Mo3+ and Nb3+, with both quantum molecular dynamics (QMD) and hybrid functional optical spectra indicating octahedral coordination. Full article
(This article belongs to the Section Materials Simulation and Design)
Show Figures

Figure 1

Back to TopTop