Sign in to use this feature.

Years

Between: -

Subjects

remove_circle_outline
remove_circle_outline
remove_circle_outline
remove_circle_outline
remove_circle_outline
remove_circle_outline
remove_circle_outline
remove_circle_outline
remove_circle_outline

Journals

remove_circle_outline
remove_circle_outline
remove_circle_outline
remove_circle_outline
remove_circle_outline
remove_circle_outline
remove_circle_outline
remove_circle_outline
remove_circle_outline
remove_circle_outline
remove_circle_outline
remove_circle_outline
remove_circle_outline
remove_circle_outline
remove_circle_outline
remove_circle_outline
remove_circle_outline
remove_circle_outline
remove_circle_outline
remove_circle_outline
remove_circle_outline
remove_circle_outline
remove_circle_outline
remove_circle_outline
remove_circle_outline
remove_circle_outline
remove_circle_outline
remove_circle_outline

Article Types

Countries / Regions

remove_circle_outline
remove_circle_outline
remove_circle_outline
remove_circle_outline
remove_circle_outline
remove_circle_outline
remove_circle_outline
remove_circle_outline
remove_circle_outline
remove_circle_outline

Search Results (8,667)

Search Parameters:
Keywords = Purification

Order results
Result details
Results per page
Select all
Export citation of selected articles as:
17 pages, 1060 KB  
Article
Impact of Purification Methods on the Antioxidant Properties of Tannin-Rich Extracts Obtained from Berry Fruit By-Products
by Agnieszka Hejduk, Michał Sójka and Robert Klewicki
Appl. Sci. 2025, 15(21), 11701; https://doi.org/10.3390/app152111701 (registering DOI) - 1 Nov 2025
Abstract
This study evaluates how different purification methods influence the antioxidant properties of polyphenol-rich berry pomace extracts, taking into account both the source of the pomace and the purification strategy used. The extracts were obtained from raspberry, blackberry, strawberry, and wild strawberry pomaces derived [...] Read more.
This study evaluates how different purification methods influence the antioxidant properties of polyphenol-rich berry pomace extracts, taking into account both the source of the pomace and the purification strategy used. The extracts were obtained from raspberry, blackberry, strawberry, and wild strawberry pomaces derived from the production of unclarified juices and purées. The extracts were analyzed in three states: crude (CEX), purified using Amberlite XAD 1600N adsorbent resin (XAD), and purified via size-exclusion chromatography (SEC) on a gel filtration resin. Ellagitannins, flavanols, and anthocyanins were determined using HPLC-DAD-FD methods. Antioxidant properties were determined based on: total antioxidant compounds, DPPH radical scavenging activity, and Fe3+ ion reduction power. Purification significantly enhanced the concentration of antioxidant compounds, which increased 2-fold with the XAD method and more than 3-fold using SEC. The extracts exhibited strong DPPH radical scavenging activity, ranging from 65% to 90% for raspberry and blackberry extracts and from 34% to 95% for strawberry and wild strawberry extracts, depending on the degree of purification. Similarly, Fe3+-reducing power increased 2- to 6-fold in extracts purified using XAD and SEC compared to crude extracts. Purification via size-exclusion chromatography enabled the separation of tannin-rich and anthocyanin-rich extract fractions. Ellagitannins were the main class of polyphenols contributing to the enhanced antioxidant potential. Anthocyanins contributed significantly to antioxidant activity only in the case of blackberry extracts. Full article
Show Figures

Figure 1

33 pages, 6539 KB  
Article
NMR Fingerprints as a Predictive Model to Monitor Punaglandins in the Soft Coral Carijoa (Telesto) riisei (Duchassaing & Michelotti, 1860)
by Pauline E. Lindholm, Darren C. Holland, Joshua B. Hayton, Tim Stevens and Anthony R. Carroll
J. Mar. Sci. Eng. 2025, 13(11), 2082; https://doi.org/10.3390/jmse13112082 (registering DOI) - 1 Nov 2025
Abstract
Analysis of NMR data reported for constituents found in the invasive soft coral Carijoa (Telesto) riisei has been used to develop a model that can identify punaglandins in C. riisei extracts. Principal component analysis of 1H and 13C NMR [...] Read more.
Analysis of NMR data reported for constituents found in the invasive soft coral Carijoa (Telesto) riisei has been used to develop a model that can identify punaglandins in C. riisei extracts. Principal component analysis of 1H and 13C NMR data showed that the model can be used to identify the presence of various subclasses of punaglandins that possess different oxidations states of the cyclopentane ring. The application of this model through analysis of covariant HMBC data obtained from dichloromethane extracts showed that C. riisei has significant variability in punaglandin concentration, with many colonies being completely devoid of punaglandins. To verify the identity of compounds predicted by the model, purification of an extract obtained from C. riisei collected from an artificial reef in southeast Queensland led to the isolation of one new compound, 7Z-punaglandin 4-epoxide (1), a series of known punaglandins (26), and the known pregnanes 79. The absolute configurations of 7Z-punaglandin 4 epoxide (1), punaglandin 6 (4), and carijenone (6) were determined for the first time by comparison of experimental and TDDFT calculated ECD data. All the isolated punaglandins reported herein were predicted to be present using the NMR fingerprint model. Full article
(This article belongs to the Special Issue Advances in Marine Natural Products)
Show Figures

Figure 1

23 pages, 2471 KB  
Article
Simulation of Absorption and Flash Evaporation for Natural Gas Desulfurization
by Chaoyue Yang, Jingwen Xue, Yong Jia, Ke Liu, Chunyang Zhang and Zongshe Liu
Processes 2025, 13(11), 3504; https://doi.org/10.3390/pr13113504 (registering DOI) - 31 Oct 2025
Abstract
A rigorous rate-based absorption model integrated with an improved thermodynamic framework was developed to simulate natural gas desulfurization using TMS–MDEA (Tetramethylene Sulfone–Methyldiethanolamine) aqueous solutions. The model was validated against 50 sets of industrial and experimental data, achieving R2 values above 0.98 and [...] Read more.
A rigorous rate-based absorption model integrated with an improved thermodynamic framework was developed to simulate natural gas desulfurization using TMS–MDEA (Tetramethylene Sulfone–Methyldiethanolamine) aqueous solutions. The model was validated against 50 sets of industrial and experimental data, achieving R2 values above 0.98 and average deviations within 5%. The model was formulated for steady-state operation of a trayed absorber integrated with flash and packed-bed regeneration and applicable over industrially relevant ranges (absorber pressure 3–6.4 MPa; gas–liquid ratio 350–720; flash pressure 0.3–0.6 MPa; packing height ≥ 3 m). The results indicate that H2S can be removed almost completely (>99.9%); CO2 and COS achieve 70–85% and 75–83% removal, respectively; and CH3SH removal exceeds 90% under typical conditions. Parametric analysis revealed that higher tray numbers, weir heights, and pressures enhance absorption efficiency, whereas hydrocarbon solubility increases with carbon number and is strongly affected by pressure and the gas–liquid ratio. In the desorption section, flash regeneration efficiently strips light hydrocarbons, with decreasing desorption efficiency from CH4 to C6H14. This study provides quantitative insights into the coupled absorption–desorption process and offers practical guidance for process design, solvent selection, and energy-efficient operation in natural gas purification. Full article
(This article belongs to the Section Separation Processes)
14 pages, 1202 KB  
Article
Physical and Numerical Researches of Particle Agglomeration Induced by a Symmetrically Activated Acoustic Field
by Audrius Čereška, Regimantas Bareikis, Algimantas Rotmanas and Raimondas Jasevičius
Atmosphere 2025, 16(11), 1256; https://doi.org/10.3390/atmos16111256 (registering DOI) - 31 Oct 2025
Abstract
This article presents numerical and physical studies of a symmetrical piezoelectric ultrasonic vibration system (UVS), which consists of a double bidirectional axial piezoelectric transducer with two disks arranged perpendicular to its axis of symmetry. The UVS was designed, modeled, and constructed so that [...] Read more.
This article presents numerical and physical studies of a symmetrical piezoelectric ultrasonic vibration system (UVS), which consists of a double bidirectional axial piezoelectric transducer with two disks arranged perpendicular to its axis of symmetry. The UVS was designed, modeled, and constructed so that the symmetrical bidirectional axial piezoelectric transducer located in the center would work as a longitudinal vibration resonant system, which causes the disks attached at the ends to vibrate at a resonant frequency. Such a UVS design was conceived with the aim of applying it in air purification systems—an acoustic field is formed between the disks of the system, which forms lower- and higher-pressure zones in the air contaminated with particles. Particle agglomeration occurs in these zones. The stuck and thickened particles are subsequently cleaned by conventional methods. A special stand was used for the physical study, in which the UVS was installed. During the numerical research, calculations of the possibilities of particle agglomeration were performed. Tests were conducted in several different operating modes of the stand, and the results showed that such UVS can help agglomerate particulate matter in the air stream and thus improve air quality. Full article
(This article belongs to the Special Issue Electrostatics of Atmospheric Aerosols (2nd Edition))
19 pages, 4589 KB  
Article
Digital Microfluidics-Driven Cell-Free Protein Synthesis Platform Reveals Expression and Stability Determinants for Phytoglobins and Cysteine-to-Alanine Substituted Variants
by Leonard Groth and Leif Bülow
Antioxidants 2025, 14(11), 1317; https://doi.org/10.3390/antiox14111317 (registering DOI) - 31 Oct 2025
Abstract
Heme proteins are central to metabolism and stress responses but remain challenging to express recombinantly due to cytotoxicity and folding constraints. Phytoglobins (Pgbs) exemplify these difficulties, as expression protocols often fail to translate across protein species. Here, we used a cell-free protein synthesis [...] Read more.
Heme proteins are central to metabolism and stress responses but remain challenging to express recombinantly due to cytotoxicity and folding constraints. Phytoglobins (Pgbs) exemplify these difficulties, as expression protocols often fail to translate across protein species. Here, we used a cell-free protein synthesis (CFPS) platform powered by digital microfluidics to screen expression determinants for sugar beet Pgb 1.2 (BvPgb 1.2), its C86A variant, and three of eight newly identified oat Pgbs (AsPgbs), including their cysteine-to-alanine substituted variants. Benchmarking with multiple solubility tags and cell-free blends revealed protein- and variant-specific preferences, with alanine substitutions frequently improving expression and purification yields. Oxidative additives such as glutathione disulfide, alone or combined with protein disulfide isomerase, consistently enhanced production, underscoring the importance of redox environments for Pgb stability. Two selected variants were scaled up and yielded putative soluble apo-form proteins. The results highlight how CFPS enables rapid, parallelized identification of expression requirements while uncovering the role of conserved cysteines and redox conditions in Pgb biogenesis. Full article
(This article belongs to the Section Health Outcomes of Antioxidants and Oxidative Stress)
Show Figures

Figure 1

18 pages, 2895 KB  
Article
Design and Simulation of NEPTUNE-R: A Solar-Powered Autonomous Hydro-Robot for Aquatic Purification and Oxygenation
by Mihaela Constantin, Mihnea Gîrbăcică, Andrei Mitran and Cătălina Dobre
Sustainability 2025, 17(21), 9711; https://doi.org/10.3390/su17219711 (registering DOI) - 31 Oct 2025
Abstract
This study presents the design, modeling, and multi-platform simulation of NEPTUNE-R, a solar-powered autonomous hydro-robot developed for sustainable water purification and oxygenation. Mechanical design was performed in Fusion 360, trajectory optimization in MATLAB R2024a, and dynamic motion analysis in Roblox Studio, creating a [...] Read more.
This study presents the design, modeling, and multi-platform simulation of NEPTUNE-R, a solar-powered autonomous hydro-robot developed for sustainable water purification and oxygenation. Mechanical design was performed in Fusion 360, trajectory optimization in MATLAB R2024a, and dynamic motion analysis in Roblox Studio, creating a reproducible digital twin environment. The proposed path-planning strategies—Boustrophedon and Archimedean spiral—achieved full surface coverage across various lake geometries, with an average efficiency of 97.4% ± 1.2% and a 12% reduction in energy consumption compared to conventional linear patterns. The integrated Euler-based force model ensured stability and maneuverability under ideal hydrodynamic conditions. The modular architecture of NEPTUNE-R enables scalable implementation of photovoltaic panels and microbubble-based oxygenation systems. The results confirm the feasibility of an accessible, zero-emission platform for aquatic ecosystem restoration and contribute directly to Sustainable Development Goals (SDGs) 6, 7, and 14 by promoting clean water, renewable energy, and life below water. Future work will involve prototype testing and experimental calibration to validate the numerical findings under real environmental conditions. Full article
Show Figures

Figure 1

16 pages, 2514 KB  
Article
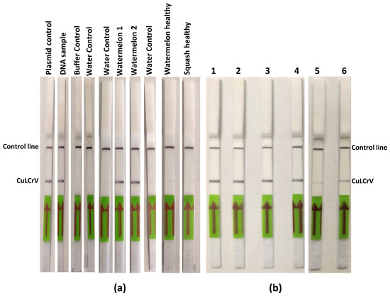
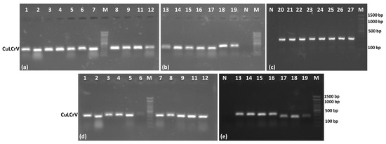
First Report of On-Site Detection of Cucurbit Leaf Crumple Virus by an Optimized RPA-Lateral Flow Assay with an Alternative Endonuclease
by A. Abdul Kader Jailani and Mathews L. Paret
Int. J. Mol. Sci. 2025, 26(21), 10611; https://doi.org/10.3390/ijms262110611 (registering DOI) - 31 Oct 2025
Viewed by 22
Abstract
Rapid, simple, and robust diagnostics are essential for effectively controlling the spread of plant viruses and mitigating their impact. Although recombinase polymerase amplification-lateral flow test (RPA-LFT) diagnostics currently offer high sensitivity and specificity, they rely on the Nfo endonuclease enzyme and require an [...] Read more.
Rapid, simple, and robust diagnostics are essential for effectively controlling the spread of plant viruses and mitigating their impact. Although recombinase polymerase amplification-lateral flow test (RPA-LFT) diagnostics currently offer high sensitivity and specificity, they rely on the Nfo endonuclease enzyme and require an expensive heat block. In this study, we present the development of a molecular diagnostic test for cucurbit leaf crumple virus (CuLCrV) using an RPA-LFT assay that employs an alternative endonuclease enzyme instead of Nfo. This alternative endonuclease demonstrates comparable functionality to Nfo and achieves a detection limit of 10 viral copies in plant samples and whiteflies. The assay can be performed using a battery-powered mini heat block, ensuring scalability and cost-effectiveness. Notably, the unavailability of commercially accessible Nfo endonuclease enzymes underscores the necessity for an alternative enzyme for RPA-LFT assay development. The RPA-LFT assay eliminates the need for nucleic acid purification and provides results within approximately 30 min from sample collection. The integration of this new endonuclease into the RPA-LFT assay represents an advancement towards on-site detection of plant viruses, enabling early-stage management of viral infections. Full article
Show Figures

Figure 1

25 pages, 10151 KB  
Article
Extraction, Purification and Identification of Bovine Lung Peptides and Its Antioxidant Effects on H2O2-Induced HepG2 Cells and Mice with Alcoholic Liver Injury
by Xingyu Xiao, Xunming Zhang, Yi Li, Tong Su, Shuo Zheng, Jiayuan Fang, Qinchuan Lv, Dacheng Wang and Linlin Hao
Antioxidants 2025, 14(11), 1314; https://doi.org/10.3390/antiox14111314 (registering DOI) - 31 Oct 2025
Viewed by 47
Abstract
In this study, we constructed an extraction process for bovine lung peptide-1 (BLP-1) derived from bovine lung tissue utilizing single-factor optimization combined with response surface methodology. We systematically analyzed its antioxidant activity, biological safety, and therapeutic mechanisms against alcoholic liver disease (ALD). In [...] Read more.
In this study, we constructed an extraction process for bovine lung peptide-1 (BLP-1) derived from bovine lung tissue utilizing single-factor optimization combined with response surface methodology. We systematically analyzed its antioxidant activity, biological safety, and therapeutic mechanisms against alcoholic liver disease (ALD). In vitro experiments demonstrated that BLP-1 exhibits excellent scavenging activity against various free radicals, while exhibiting no significant cytotoxicity or hemolytic activity. In a model of H2O2-induced oxidative damage in HepG2 cells, BLP-1 significantly alleviated oxidative stress injury by upregulating the activities of intracellular antioxidant enzymes. Animal experiments further confirmed that BLP-1 significantly reduced serum levels of transaminase, inhibited the release of inflammatory factors, enhanced antioxidant enzyme activity, and ameliorated lipid peroxidation and pathological injury in ALD mice. By combining liquid chromatography-tandem mass spectrometry (LC-MS/MS) with bioinformatics, we screened 12 novel antioxidant peptides. Among these, the binding energies of GP9, FG6, and WG6 to Keap1 were −10.2, −9.7, and −8.7 kcal/mol, respectively, indicating their potential to modulate the antioxidant defense system through competitive inhibition of Keap1-Nrf2 interactions. This study provides a novel approach for the high-value utilization of bovine lung and the treatment of ALD, as well as a new source for the extraction of natural antioxidant peptides. Full article
(This article belongs to the Section Extraction and Industrial Applications of Antioxidants)
Show Figures

Figure 1

11 pages, 1307 KB  
Article
Ligand-Assisted Purification of Mixed-Halide Perovskite Nanocrystals with Near-Unity PLQY for High-Color-Purity Display Applications
by Stephy Jose, Joo Yeon Kim, Hyunsu Cho, Chan-Mo Kang and Sukyung Choi
Materials 2025, 18(21), 4975; https://doi.org/10.3390/ma18214975 (registering DOI) - 31 Oct 2025
Viewed by 86
Abstract
Cesium halide perovskite nanocrystals (PNCs) have emerged as promising materials for application in high-color-purity displays due to their exceptional optoelectronic properties, which include narrow emission linewidths, tunable bandgaps, and high photoluminescence quantum yields (PLQYs). However, preserving these characteristics during purification remains a major [...] Read more.
Cesium halide perovskite nanocrystals (PNCs) have emerged as promising materials for application in high-color-purity displays due to their exceptional optoelectronic properties, which include narrow emission linewidths, tunable bandgaps, and high photoluminescence quantum yields (PLQYs). However, preserving these characteristics during purification remains a major challenge as surface ligand detachment during the washing process can lead to increased defect states, reduced quantum efficiency, and spectral broadening. The choice of anti-solvent plays a crucial role in maintaining the structural and optical integrity of PNCs, as it directly influences ligand retention and material stability. In this study, we propose an optimized purification strategy for mixed-halide perovskite nanocrystals that incorporates post-synthetic ligand supplementation, in which controlled amounts of oleic acid (OA) and oleylamine (OAm) are sequentially introduced into the crude solution prior to anti-solvent treatment. This approach reinforces surface passivation, suppresses trap state formation, and minimizes halide loss. Consequently, a near-unity PLQY with narrow full-width-at-half-maximum emissions is achieved for both green- and red-emissive nanocrystals, markedly enhancing color purity and providing a promising route toward next-generation wide-color-gamut display technologies. Full article
Show Figures

Graphical abstract

15 pages, 3791 KB  
Article
Synthesis, Structure, and Properties of Reduced Graphite Oxide Modified with Zirconium Phthalocyanine as a Catalyst for Photooxidation and Dye Photodegradation
by Yuriy Gerasymchuk, Anna Wędzyńska, Damian Szymański, Maciej Ptak, Viktor Chernii, Irena Tretyakova and Anna Lukowiak
Molecules 2025, 30(21), 4242; https://doi.org/10.3390/molecules30214242 - 31 Oct 2025
Viewed by 69
Abstract
In the aspect of water purification, a photoactive hybrid material based on reduced graphite oxide (RGO) with covalently, coordinatively, and through van der Waals interactions bonded zirconium(IV) phthalocyanine (PcZr) is proposed. In the material, the phthalocyanine complex plays the role of photosensitizer, while [...] Read more.
In the aspect of water purification, a photoactive hybrid material based on reduced graphite oxide (RGO) with covalently, coordinatively, and through van der Waals interactions bonded zirconium(IV) phthalocyanine (PcZr) is proposed. In the material, the phthalocyanine complex plays the role of photosensitizer, while RGO is considered a carrier, ensuring high surface area and supporting PcZr activation. The central metal atom of PcZr directly interacts with lateral active oxygen-containing surface groups of graphite oxide, mainly –OH and –COOH. Thus, the proposed method of synthesis under solvothermal conditions allowed obtaining a relatively high concentration of the dye (0.2 wt.%) in the system based on a partially reduced and exfoliated graphite oxide. Optical studies confirmed the presence of PcZr through absorption and luminescence spectra. Additionally, effective generation of reactive oxygen species was demonstrated by testing the transformation of a dye indicator (diphenylisobenzofuran). Photocatalytic activity of the system was confirmed by photooxidizing selected organic dyes (methylene blue, Rhodamine B, Brilliant Green, and Eriochrome Black T) in a water medium, tested in slightly acidic conditions under red light. The greatest overall decrease in absorption during the photodegradation test was observed for Brilliant Green, reaching 88% after 3 h of irradiation. Full article
(This article belongs to the Special Issue Chemiluminescence and Photoluminescence of Advanced Compounds)
Show Figures

Figure 1

12 pages, 1362 KB  
Article
Thermostable Collagenase Derived from Streptomyces scabies Demonstrates Selective Antibacterial Activity Against Infections in Diabetic Foot Ulcers
by Manal Al-Kattan, Afra Baghdadi and Afnan Sahloli
Appl. Microbiol. 2025, 5(4), 122; https://doi.org/10.3390/applmicrobiol5040122 - 31 Oct 2025
Viewed by 76
Abstract
Diabetic foot ulcers (DFUs) and other chronic wounds are major global health challenges, often complicated by infections and delayed healing due to excessive collagen accumulation. Microbial collagenases offer an enzymatic alternative to surgical debridement by selectively degrading collagen and potentially limiting microbial colonization. [...] Read more.
Diabetic foot ulcers (DFUs) and other chronic wounds are major global health challenges, often complicated by infections and delayed healing due to excessive collagen accumulation. Microbial collagenases offer an enzymatic alternative to surgical debridement by selectively degrading collagen and potentially limiting microbial colonization. In this study, an isolated and characterized thermostable collagenase from Streptomyces scabies from rhizospheric soil in Al-Lith thermal springs, Saudi Arabia, is investigated. Identification was confirmed via 16S rRNA sequencing, and enzyme production was optimized on gelatin agar. Partial purification was achieved through ammonium sulfate precipitation and dialysis, and molecular weight (~25 kDa) was determined by Sodium dodecyl sulfate–polyacrylamide gel electrophoresis. Activity was assessed under varying temperatures, pH, substrates, and metal ions, while antibacterial potential was tested against Staphylococcus aureus, Klebsiella pneumoniae, and Pseudomonas aeruginosa. The collagenase exhibited optimal activity at 80 °C and pH 9, stability under thermophilic and alkaline conditions, activation by Fe2+, and notable antibacterial effects at higher concentrations. These results demonstrate that S. scabies collagenase exhibits selective antibacterial activity in vitro, suggesting its potential as an enzymatic tool for further evaluation in diabetic foot debridement and infection control. Full article
Show Figures

Graphical abstract

23 pages, 3394 KB  
Article
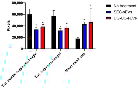
Comprehensive Characterization and In Vitro Functionality Study of Small Extracellular Vesicles Isolated by Different Purification Methods from Mesenchymal Stem Cell Cultures
by Marta Venturella, Ali Navaei and Davide Zocco
Int. J. Mol. Sci. 2025, 26(21), 10602; https://doi.org/10.3390/ijms262110602 (registering DOI) - 30 Oct 2025
Viewed by 184
Abstract
Mesenchymal stem cells (MSCs) exhibit therapeutic properties, which have been attributed to their secretome, the set of secreted factors comprising cytokines, growth factors, and extracellular vesicles (EVs). In particular, small extracellular vesicles (sEVs) or exosomes, ranging between 30 nm and 120 nm in [...] Read more.
Mesenchymal stem cells (MSCs) exhibit therapeutic properties, which have been attributed to their secretome, the set of secreted factors comprising cytokines, growth factors, and extracellular vesicles (EVs). In particular, small extracellular vesicles (sEVs) or exosomes, ranging between 30 nm and 120 nm in diameter, can target specific tissues to deliver molecular payloads, thus lending themselves as promising platform for cell-free therapies. In this study, sEVs were purified from the conditioned medium (CM) harvested from human bone marrow-derived MSC culture and purified using size-exclusion chromatography (SEC) or density gradient ultracentrifugation (DG-UC). Then sEVs were fully characterized for identity and integrity using multiple analytical methods, including single-particle, transcriptomic and proteomic analyses. Different in vitro cell-based assays were established to evaluate the biological effects of the purified sEVs. Specifically, scratch wound healing and tube formation assays using human umbilical vein endothelial cells (HUVECs) were used to evaluate the regenerative properties of MSC-sEVs. Our findings demonstrated that the in vitro functional properties of MSC-sEVs are correlated with sEVs’ purity levels obtained by different purification methods. Full article
(This article belongs to the Special Issue Exosomes—3rd Edition)
Show Figures

Graphical abstract

22 pages, 2507 KB  
Article
Analysis of Process Intensification Impact on Circular Economy in Levulinic Acid Purification Schemes
by Tania Itzel Serrano-Arévalo, Heriberto Alcocer-García, César Ramírez-Márquez and José María Ponce-Ortega
Processes 2025, 13(11), 3496; https://doi.org/10.3390/pr13113496 - 30 Oct 2025
Viewed by 196
Abstract
This study presents a comprehensive evaluation of levulinic acid purification schemes from a circular economy perspective, integrating resource-based indicators with economic and environmental metrics. Twelve alternatives, ranging from conventional distillation sequences to intensified hybrid systems, were assessed using indicators such as Relative Material [...] Read more.
This study presents a comprehensive evaluation of levulinic acid purification schemes from a circular economy perspective, integrating resource-based indicators with economic and environmental metrics. Twelve alternatives, ranging from conventional distillation sequences to intensified hybrid systems, were assessed using indicators such as Relative Material Impact, total annual cost, Eco-Indicator 99, fuel demand, and CO2 emissions. The novelty of this work lies in extending the assessment beyond purification infrastructure to include upstream systems that supply energy demand, such as fuel extraction and steam generation. The configurations considered incorporate thermal couplings, dividing wall columns, and decanters, which influence energy efficiency, process complexity, and resource depletion. Among these, the TDWS-D configuration (Thermally Coupled Double Dividing Wall Column System with Decanter) exhibits the highest values in DMR, TAC, and CO2 emissions, driven by its elevated energy demand and complex infrastructure. Conversely, the TCS2 configuration (Thermally Coupled Sequence, featuring selective heat integration between distillation columns) achieves the lowest impact across all metrics, demonstrating that selective and strategic intensification (rather than maximalist design) can yield superior sustainability outcomes. Across all scenarios, the boiler stage was identified as the main contributor to material depletion, followed by fuel extraction and purification equipment. Notably, some conventional designs proved superior to intensified ones in terms of circularity, challenging the assumption that intensification inherently guarantees sustainability. Overall, the integration of circular economy indicators enables a multidimensional evaluation framework that supports more responsible and resource-efficient process design. Full article
(This article belongs to the Special Issue Modeling, Simulation and Control in Energy Systems—2nd Edition)
Show Figures

Figure 1

25 pages, 6319 KB  
Article
Obtainment of Two Monomorphic Nematocysts from Nemopilema nomurai (Cnidaria: Scyphozoa) and Comparative Analysis of the Biological Activities of Their Contents
by Yongfei Lyu, Yichao Huang, Juxingsi Song, Dayuan Zhou, Shuaijun Zou, Jie Li, Fan Wang, Qianqian Wang, Yanan Hu, Shaoqian Zhu, Sai Luo, Xinyue Gan, Liming Zhang and Guoyan Liu
Mar. Drugs 2025, 23(11), 421; https://doi.org/10.3390/md23110421 - 30 Oct 2025
Viewed by 159
Abstract
Nemopilema nomurai is a species of common large toxic jellyfish in China seas, and its tentacle tissues contain various types of nematocysts. However, the correlation between the morphology and function of nematocysts still remains unclear. In this study, we first obtained two monomorphic [...] Read more.
Nemopilema nomurai is a species of common large toxic jellyfish in China seas, and its tentacle tissues contain various types of nematocysts. However, the correlation between the morphology and function of nematocysts still remains unclear. In this study, we first obtained two monomorphic nematocysts with high-purity from N. nomurai, namely Anisorhizas and O-isorhizas, by density gradient centrifugation: the Anisorhizas is small and rod-shaped and the O-isorhizas is larger and spherical. Upon deionized water stimulation, O-isorhizas exhibited a stronger discharge capability than Anisorhizas. The nematocyst contents of Anisorhizas (AnC) and O-isorhizas (OnC) were extracted separately, and their composition and bioactivities were analyzed simultaneously. The protein bands by SDS-PAGE revealed similar distributions in AnC and OnC, except that the protein band distribution in OnC was more extensive. OnC showed stronger cytotoxicity, hemolytic activity, metalloprotease activity, and serine protease activity than AnC. In contrast, AnC exhibited a higher antioxidant activity and significant proinflammatory activity. Both AnC and OnC exhibited antimicrobial activities against certain marine pathogenic Vibrios. These results suggest that O-isorhizas, with the larger capsule capability, stronger discharge ability and toxicity, likely plays a major role in inducing toxic effects and tissue damage, while Anisorhizas, being smaller and less toxic, may undertake preferentially other functions, such as synergistic predation, environmental stress adaptation, and energy balance maintenance. This study provides insights into the morpho-functional relationship between various types of nematocysts, and also lays a foundation for further exploration of the functional diversity of nematocysts and the mechanisms underlying jellyfish envenomation. Full article
(This article belongs to the Special Issue Jellyfish-Derived Compounds)
Show Figures

Graphical abstract

21 pages, 549 KB  
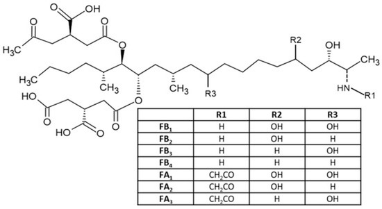
Article
Optimisation of a One-Step Reusable Immuno-Affinity Purification Method for the Analysis and Detection of Fumonisin Mycotoxins in Foods and Feeds
by Christian Kosisochukwu Anumudu
Toxins 2025, 17(11), 538; https://doi.org/10.3390/toxins17110538 - 30 Oct 2025
Viewed by 100
Abstract
Fumonisins are among the most prevalent mycotoxins in maize and maize-based products, posing significant food safety and public health risks due to their hepatotoxic, nephrotoxic, and potential carcinogenic effects. Given the strict regulatory limits set by the European Commission and Codex Alimentarius, the [...] Read more.
Fumonisins are among the most prevalent mycotoxins in maize and maize-based products, posing significant food safety and public health risks due to their hepatotoxic, nephrotoxic, and potential carcinogenic effects. Given the strict regulatory limits set by the European Commission and Codex Alimentarius, the development of reliable, sensitive, and matrix–robust analytical methods remain a priority for routine monitoring in both food and feed systems. In this study, a reusable immuno-affinity purification methodology for the quantitative determination of fumonisin mycotoxins (FB1, FB2 and FB3) in foods and feeds (maize matrix) was developed. A single extraction protocol using 2% formic acid in water was employed, followed by cleanup with an immuno-affinity purification column and toxin elution by methanol/PBS (1:1, v/v). Detection and quantification of the mycotoxins was achieved by a normal phase ultra-high performance liquid chromatography coupled with electrospray ionisation triple quadrupole mass spectrometry (UHPLC/ESI-MS/MS). The chromatographic mobile phase utilised was a linear gradient of methanol/water containing 0.1% formic acid. The developed method has a limit of detection of 2.5 ng/g and a limit of quantification of 5 ng/g, all well below the European commission’s guidance values of 1000 ng/g for corn destined for human consumption and 800 ng/g for maize-based breakfast cereals and snacks. While the recovery rates of the method in this study ranged from 65–70% for the three fumonisin analogues in solutions, when tested in maize matrix, recoveries were markedly lower (~30%) due to pronounced matrix suppression. Good repeatability (standard deviation <10%) was achieved for all the fumonisin analogues. The developed method, although quick and effective in solvent systems, suffered limitations to its practical usage due to matrix suppression of the extracts derived from the immuno-affinity purification column, thus significantly reducing the application of the method in measuring fumonisin mycotoxins in food and feed samples. Overall, the method was effective in quantification of fumonisin mycotoxins in solvent solutions but not in food and feed matrices, thus necessitating further optimisation for practical usage. The performance of the developed method was compared to a commercial lateral flow immunochromatographic assay which proved to be better than the developed method in the quantification of toxins in food matrices, as the commercial lateral flow immunochromatographic assay outperformed the developed method in maize matrices. These findings highlight the need for matrix-based validation and further refinement of antibody stability to ensure robust application in regulatory monitoring of fumonisins using immunoaffinity purification methods. Full article
Show Figures

Figure 1

Back to TopTop