Sign in to use this feature.

Years

Between: -

Subjects

remove_circle_outline
remove_circle_outline
remove_circle_outline
remove_circle_outline
remove_circle_outline
remove_circle_outline
remove_circle_outline

Journals

Article Types

Countries / Regions

Search Results (12)

Search Parameters:
Keywords = PSO-GRNN

Order results
Result details
Results per page
Select all
Export citation of selected articles as:
20 pages, 5605 KB  
Article
Startup Drift Compensation of MEMS INS Based on PSO–GRNN Network
by Songlai Han, Jingyi Xie and Jing Dong
Micromachines 2025, 16(5), 524; https://doi.org/10.3390/mi16050524 - 29 Apr 2025
Viewed by 2670
Abstract
The startup drift phenomenon that exists in MEMS INSs increases the navigation error, prolonging the start-up time. Aiming to resolve this problem, a startup drift compensation method based on a PSO-GRNN model is proposed in this paper. We adopted a correlation analysis to [...] Read more.
The startup drift phenomenon that exists in MEMS INSs increases the navigation error, prolonging the start-up time. Aiming to resolve this problem, a startup drift compensation method based on a PSO-GRNN model is proposed in this paper. We adopted a correlation analysis to determine the input parameters of the PSO-GRNN model that mainly affect startup drift. In the process of training this model, we used the PSO algorithm to optimize the spread parameter of the PSO-GRNN model. The information transmission function between particle swarms was used to find the best spread parameter by iterative optimization, the particle’s position was mapped to the GRNN model, and the GRNN model was constructed with the optimal position of the swarm as the spread parameter. This method can effectively compensate for startup drift and improve navigation accuracy. Startup drift compensation experiments were carried out at different ambient temperatures. Compared with the MEMS INS data without compensation, the standard deviation of the MEMS INS data with the proposed method decreased by more than 80.6%, and the peak-to-peak value of the MEMS INS data decreased by over 72.7%. Compared with the traditional method, the standard deviation of the MEMS INS data compensated via this method decreased by 54.5% on average, and the peak-to-peak value decreased by 42.8% on average. Meanwhile, the performance of this method was verified by navigation experiments. With the proposed method, the speed error improved by over 36.4%, and the position error improved by over 41.1%. The above experiments verified that the method of this paper significantly improved navigation performance. Full article
(This article belongs to the Special Issue MEMS Inertial Device, 2nd Edition)
Show Figures

Figure 1

20 pages, 6292 KB  
Article
Comparative Analysis of Supervised Learning Techniques for Forecasting PV Current in South Africa
by Ely Ondo Ekogha and Pius A. Owolawi
Forecasting 2025, 7(1), 1; https://doi.org/10.3390/forecast7010001 - 26 Dec 2024
Cited by 1 | Viewed by 1701
Abstract
The fluctuations in solar irradiance and temperature throughout the year require an accurate methodology for forecasting the generated current of a PV system based on its specifications. The optimal technique must effectively manage rapid weather fluctuations while maintaining high accuracy in forecasting the [...] Read more.
The fluctuations in solar irradiance and temperature throughout the year require an accurate methodology for forecasting the generated current of a PV system based on its specifications. The optimal technique must effectively manage rapid weather fluctuations while maintaining high accuracy in forecasting the performance of a PV panel. This work presents a comparative examination of supervised learning algorithms optimized with particle swarm optimization for estimating photovoltaic output current. The empirical formula’s measured currents are compared with outputs from various neural networks techniques, including feedforward neural networks (FFNNs), the general regression network known as GRNN, cascade forward neural networks also known as CFNNs, and adaptive fuzzy inference systems known as ANFISs, all optimized for enhanced accuracy using the particle swarm optimization (PSO) method. The ground data utilized for these models comprises hourly irradiations and temperatures from 2023, sourced from several places in South Africa. The accuracy levels indicated by statistical error margins from the root mean square error (RMSE), mean bias error (MBE), and mean absolute percentage error (MAPE) imply a universal enhancement in the algorithms’ precision upon optimization. Full article
(This article belongs to the Section Power and Energy Forecasting)
Show Figures

Figure 1

15 pages, 11880 KB  
Article
An Objective Evaluation Method for Image Sharpness Under Different Illumination Imaging Conditions
by Huan He, Benchi Jiang, Chenyang Shi, Yuelin Lu and Yandan Lin
Photonics 2024, 11(11), 1032; https://doi.org/10.3390/photonics11111032 - 1 Nov 2024
Viewed by 1400
Abstract
Blurriness is troublesome in digital images when captured under different illumination imaging conditions. To obtain an accurate blurred image quality assessment (IQA), a machine learning-based objective evaluation method for image sharpness under different illumination imaging conditions is proposed. In this method, the visual [...] Read more.
Blurriness is troublesome in digital images when captured under different illumination imaging conditions. To obtain an accurate blurred image quality assessment (IQA), a machine learning-based objective evaluation method for image sharpness under different illumination imaging conditions is proposed. In this method, the visual saliency, color difference, and gradient information are selected as the image features, and the relevant feature information of these three aspects is extracted from the image as the feature value for the blurred image evaluation under different illumination imaging conditions. Then, a particle swarm optimization-based general regression neural network (PSO-GRNN) is established to train the above extracted feature values, and the final blurred image evaluation result is determined. The proposed method was validated based on three databases, i.e., BID, CID2013, and CLIVE, which contain real blurred images under different illumination imaging conditions. The experimental results showed that the proposed method has good performance in evaluating the quality of images under different imaging conditions. Full article
(This article belongs to the Special Issue New Perspectives in Optical Design)
Show Figures

Figure 1

16 pages, 6944 KB  
Article
State-of-Charge Prediction Model for Ni-Cd Batteries Considering Temperature and Noise
by Haiming Xu, Tianjian Yu, Chunyang Chen and Xun Wu
Appl. Sci. 2023, 13(11), 6494; https://doi.org/10.3390/app13116494 - 26 May 2023
Cited by 5 | Viewed by 2781
Abstract
The accurate prediction of the state of charge (SOC) of Ni-Cd batteries is critical for developing battery management systems for high-speed trains. To address the challenges of the large floating charge voltage of Ni-Cd batteries and the vulnerability of a battery’s SOC to [...] Read more.
The accurate prediction of the state of charge (SOC) of Ni-Cd batteries is critical for developing battery management systems for high-speed trains. To address the challenges of the large floating charge voltage of Ni-Cd batteries and the vulnerability of a battery’s SOC to environmental factors such as temperature, this paper proposes an adaptive adjustment mechanism-based particle swarm optimization (APSO) generalized regression neural network (GRNN) model. The proposed model introduces the concept of the particle aggregation degree to quantify the convergence of the particle swarm optimization (PSO) algorithm. Furthermore, the speed weight of the particle swarm is adaptively adjusted using a comprehensive loss function to optimize the parameters of the GRNN model. To validate the proposed method, simulation experiments are conducted under test conditions using Ni-Cd batteries, and the prediction accuracies of various algorithms are compared. The experimental results demonstrate that the APSO-GRNN model significantly reduces the model’s prediction error. In addition, under the influence of different temperatures and noises, this method demonstrates strong robustness and high practical application value by accurately predicting the SOC, even with limited data samples. Full article
(This article belongs to the Special Issue New Insights into Vehicle Structural Strength and Dynamics)
Show Figures

Figure 1

23 pages, 9648 KB  
Article
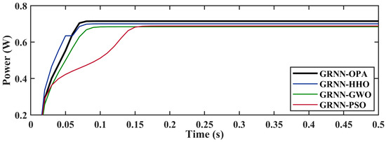
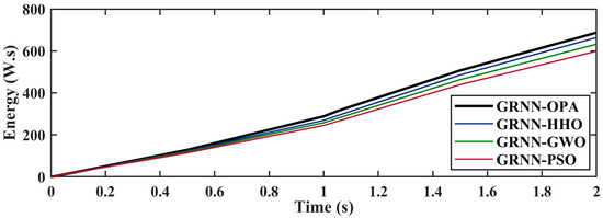
Hybrid General Regression NN Model for Efficient Operation of Centralized TEG System under Non-Uniform Thermal Gradients
by Noman Mujeeb Khan, Abbas Ahmed, Syed Kamran Haider, Muhammad Hamza Zafar, Majad Mansoor and Naureen Akhtar
Electronics 2023, 12(7), 1688; https://doi.org/10.3390/electronics12071688 - 3 Apr 2023
Cited by 9 | Viewed by 2055
Abstract
The global energy demand, along with the proportionate share of renewable energy, is increasing rapidly. Renewables such as thermoelectric generators (TEG) systems have lower power ratings but a highly durable and cost-effective renewable energy technology that can deal with waste heat energy. The [...] Read more.
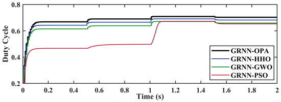
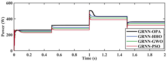
The global energy demand, along with the proportionate share of renewable energy, is increasing rapidly. Renewables such as thermoelectric generators (TEG) systems have lower power ratings but a highly durable and cost-effective renewable energy technology that can deal with waste heat energy. The main issues associated with TEG systems are related to their vigorous operating conditions. The dynamic temperature gradient across TEG surfaces induces non-uniform temperature distribution (NUTD) that significantly impacts the available output electrical energy. The mismatching current impact may lower the energy yield by up to 70% of extractable thermal energy. As a solution, a hybrid general regression neural network (GRNN) orca predation algorithm (OPA) is proposed; backpropagation limitations are minimized by utilizing the stochastic optimization algorithm named OPA. The conclusions are evaluated and contrasted with highly improved versions of the conventional particle swarm optimization (PSO), grey wolf optimizer (GWO), and Harris hawk optimization (HHO). A detailed analytical and statistical analysis is carried out through five distinct case studies, including field stochastic data study, NUTD, varying temperature, and load studies. Along with statistical matrix errors such as MAE, RMSE, and RE, the results are assessed in terms of efficiency, tracking, and settling time. The results show that superior performance is achieved by the proposed GRNN-OPA based MPPT by 35% faster tracking, and up to 90–110% quicker settling time which, in turn, enables the 4–8% higher energy accumulation over a longer period of operation. A low-cost experimental setup is devised to further validate the practicality of the proposed techniques. From such comprehensive analysis, it can be safely concluded that the proposed GRNN-OPA successfully undertakes the drawbacks of existing classical MPPT methods with higher efficiency. Full article
Show Figures

Figure 1

16 pages, 4988 KB  
Article
Prediction of the Sound Absorption Coefficient of Three-Layer Aluminum Foam by Hybrid Neural Network Optimization Algorithm
by Han Mi, Wenlong Guo, Lisi Liang, Hongyue Ma, Ziheng Zhang, Yanli Gao and Linbo Li
Materials 2022, 15(23), 8608; https://doi.org/10.3390/ma15238608 - 2 Dec 2022
Cited by 6 | Viewed by 2009
Abstract
The combination of multilayer aluminum foam can have high sound absorption coefficients (SAC) at low and medium frequencies, and predicting its absorption coefficient can help the optimal structural design. In this study, a hybrid EO-GRNN model was proposed for predicting the sound absorption [...] Read more.
The combination of multilayer aluminum foam can have high sound absorption coefficients (SAC) at low and medium frequencies, and predicting its absorption coefficient can help the optimal structural design. In this study, a hybrid EO-GRNN model was proposed for predicting the sound absorption coefficient of the three-layer composite structure of the aluminum foam. The generalized regression neural network (GRNN) model was used to predict the sound absorption coefficient of three-layer composite structural aluminum foam due to its outstanding nonlinear problem-handling capability. An equilibrium optimization (EO) algorithm was used to determine the parameters in the neuronal network. The prediction results show that this method has good accuracy and high precision. The calculation result shows that this proposed hybrid model outperforms the single GRNN model, the GRNN model optimized by PSO (PSO-GRNN), and the GRNN model optimized by FOA(FOA-GRNN). The prediction results are expressed in terms of root mean square error (RMSE), absolute error, and relative error, and this method performs well with an average RMSE of only 0.011. Full article
(This article belongs to the Special Issue Advanced Metal Matrix Functional Composites and Applications)
Show Figures

Figure 1

17 pages, 2498 KB  
Article
Optimization of Sour Water Stripping Unit Using Artificial Neural Network–Particle Swarm Optimization Algorithm
by Ye Zhang, Zheng Fan, Genhui Jing and Mohammed Maged Ahemd Saif
Processes 2022, 10(8), 1431; https://doi.org/10.3390/pr10081431 - 22 Jul 2022
Cited by 2 | Viewed by 3829
Abstract
Sour water stripping can treat the sour water produced by crude oil processing, which has the effect of environmental protection, energy saving and emission reduction. This paper aims to reduce energy consumption of the unit by strengthening process parameter optimization. Firstly, the basic [...] Read more.
Sour water stripping can treat the sour water produced by crude oil processing, which has the effect of environmental protection, energy saving and emission reduction. This paper aims to reduce energy consumption of the unit by strengthening process parameter optimization. Firstly, the basic model is established by utilizing Aspen Plus, and the optimal model is determined by comparative analysis of back propagation neural network (BPNN), radial basis function neural network (RBFNN) and generalized regression neural network (GRNN) models. Then, the sensitivity analysis of Sobol is used to select the operating variables that have a significant influence on the energy consumption of the sour water stripping system. Finally, the particle swarm optimization (PSO) algorithm is used to optimize the operating conditions of the sour water stripping unit. The results show that the RBFNN model is more accurate than other models. Its network structure is 5-66-1, and the expected value has an approximately linear relationship with the output value. Through sensitivity analysis, it is found that each operating parameter has an impact on the sour water stripping process, which needs to be optimized by the PSO algorithm. After 210 iterations of the PSO algorithm, the optimal system energy consumption is obtained. In addition, the cold/hot feed ratio, sideline production position, tower bottom pressure, hot feed temperature, and cold feed temperature are 0.117, 18, 436 kPa, 146 °C, and 35 °C, respectively; the system energy consumption is 5.918 MW. Compared with value of 7.128 MW before optimization, the energy consumption of the system is greatly reduced by 16.97%, which shows that the energy-saving effect is very significant. Full article
(This article belongs to the Special Issue Chemical Engineering and Technology)
Show Figures

Figure 1

19 pages, 5180 KB  
Article
Modification and Noise Reduction Design of Gear Transmission System of EMU Based on Generalized Regression Neural Network
by Zhaoping Tang, Manyu Wang, Min Zhao and Jianping Sun
Machines 2022, 10(2), 157; https://doi.org/10.3390/machines10020157 - 18 Feb 2022
Cited by 10 | Viewed by 3904
Abstract
In view of traction gear vibration and noise affecting the performance of the transmission system and the comfort of passengers when the electric multiple units (EMU) is running at high speed, taking the traction gear transmission system of an EMU as the research [...] Read more.
In view of traction gear vibration and noise affecting the performance of the transmission system and the comfort of passengers when the electric multiple units (EMU) is running at high speed, taking the traction gear transmission system of an EMU as the research object by using Romax software to construct the parametric modification model of the gear transmission system based on gear modification theory. Combined with multibody dynamics, the vibration response characteristics of the transmission system are simulated and analyzed. A radiated noise prediction model is established using the acoustic boundary element method, based on the generalized regression neural network (GRNN). To further explore the influence of gear modification methods and parameters on vibration and noise characteristics and minimize gear transmission’s radiation noise. A particle swarm optimization (PSO) algorithm is designed to solve the optimal modification parameters. The simulation results reveal that after the optimization and modification, the gear transmission error is significantly reduced, the contact status is considerably improved, and the root mean square value of the acoustic power level is reduced by 13.10 dB, which is a reduction of 14%. It shows that the design can effectively reduce the radiation noise of EMU gear trans-mission system. Full article
Show Figures

Figure 1

17 pages, 2845 KB  
Article
Seasonal Disparity in the Effect of Meteorological Conditions on Air Quality in China Based on Artificial Intelligence
by Yongli Zhang
Atmosphere 2021, 12(12), 1670; https://doi.org/10.3390/atmos12121670 - 13 Dec 2021
Cited by 7 | Viewed by 3080
Abstract
Air contamination is identified with individuals’ wellbeing and furthermore affects the sustainable development of economy and society. This paper gathered the time series data of seven meteorological conditions variables of Beijing city from 1 November 2013 to 31 October 2017 and utilized the [...] Read more.
Air contamination is identified with individuals’ wellbeing and furthermore affects the sustainable development of economy and society. This paper gathered the time series data of seven meteorological conditions variables of Beijing city from 1 November 2013 to 31 October 2017 and utilized the generalized regression neural network optimized by the particle swarm optimization algorithm (PSO-GRNN) to explore seasonal disparity in the impacts of mean atmospheric humidity, maximum wind velocity, insolation duration, mean wind velocity and rain precipitation on air quality index (AQI). The results showed that in general, the most significant impacting factor on air quality in Beijing is insolation duration, mean atmospheric humidity, and maximum wind velocity. In spring and autumn, the meteorological diffusion conditions represented by insolation duration and mean atmospheric humidity had a significant effect on air quality. In summer, temperature and wind are the most significant variables influencing air quality in Beijing; the most important reason for air contamination in Beijing in winter is the increase in air humidity and the deterioration of air diffusion condition. This study investigates the seasonal effects of meteorological conditions on air contamination and suggests a new research method for air quality research. In future studies, the impacts of different variables other than meteorological conditions on air quality should be assessed. Full article
(This article belongs to the Special Issue Advances in Air Pollution Meteorology)
Show Figures

Figure 1

27 pages, 10295 KB  
Article
A Dragonfly Optimization Algorithm for Extracting Maximum Power of Grid-Interfaced PV Systems
by Ehtisham Lodhi, Fei-Yue Wang, Gang Xiong, Ghulam Ali Mallah, Muhammad Yaqoob Javed, Tariku Sinshaw Tamir and David Wenzhong Gao
Sustainability 2021, 13(19), 10778; https://doi.org/10.3390/su131910778 - 28 Sep 2021
Cited by 42 | Viewed by 4261
Abstract
Currently, grid-connected Photovoltaic (PV) systems are widely encouraged to meet increasing energy demands. However, there are many urgent issues to tackle that are associated with PV systems. Among them, partial shading is the most severe issue as it reduces efficiency. To achieve maximum [...] Read more.
Currently, grid-connected Photovoltaic (PV) systems are widely encouraged to meet increasing energy demands. However, there are many urgent issues to tackle that are associated with PV systems. Among them, partial shading is the most severe issue as it reduces efficiency. To achieve maximum power, PV system utilizes the maximum power point-tracking (MPPT) algorithms. This paper proposed a two-level converter system for optimizing the PV power and injecting that power into the grid network. The boost converter is used to regulate the MPPT algorithm. To make the grid-tied PV system operate under non-uniform weather conditions, dragonfly optimization algorithm (DOA)-based MPPT was put forward and applied due to its ability to trace the global peak and its higher efficiency and shorter response time. Furthermore, in order to validate the overall performance of the proposed technique, comparative analysis of DOA with adaptive cuckoo search optimization (ACSO) algorithm, fruit fly optimization algorithm combined with general regression neural network (FFO-GRNN), improved particle swarm optimization (IPSO), and PSO and Perturb and Observe (P&O) algorithm were presented by using Matlab/Simulink. Subsequently, a voltage source inverter (VSI) was utilized to regulate the active and reactive power injected into the grid with high efficiency and minimum total harmonic distortion (THD). The instantaneous reactive power was adjusted to zero for maintaining the unity power factor. The results obtained through Matlab/Simulink demonstrated that power injected into the grid is approximately constant when using the DOA MPPT algorithm. Hence, the grid-tied PV system’s overall performance under partial shading was found to be highly satisfactory and acceptable. Full article
(This article belongs to the Special Issue Smart Grid Analytics for Sustainability and Urbanization in Big Data)
Show Figures

Figure 1

15 pages, 2381 KB  
Article
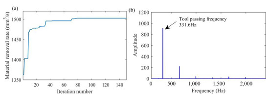
Chatter Stability Prediction and Process Parameters’ Optimization of Milling Considering Uncertain Tool Information
by Lijun Lin, Mingge He, Qingyuan Wang and Congying Deng
Symmetry 2021, 13(6), 1071; https://doi.org/10.3390/sym13061071 - 15 Jun 2021
Cited by 4 | Viewed by 2256
Abstract
Stability is the prerequisite of a milling operation, and it seriously depends on machining parameters and machine tool dynamics. Considering that the tool information, including the tool clamping length, feeding direction, and spatial position, has significant effects on machine tool dynamics, this paper [...] Read more.
Stability is the prerequisite of a milling operation, and it seriously depends on machining parameters and machine tool dynamics. Considering that the tool information, including the tool clamping length, feeding direction, and spatial position, has significant effects on machine tool dynamics, this paper presents an efficient method to predict the tool information dependent-milling stability. A generalized regression neural network (GRNN) is established to predict the limiting axial cutting depth, where the machining parameters and tool information are taken as input variables. Moreover, an optimization model is proposed based on the machining parameters and tool information to maximize the material removal rate (MRR), where the GRNN model is taken as the stability constraint. A particle swarm optimization (PSO) algorithm is introduced to solve the optimization model and provide an optimal configuration of the machining parameters and tool information. A case study has been developed to train a GRNN model and establish an optimization model of a real machine tool. Then, effects of the tool information on milling stability were discussed, and an origin-symmetric phenomenon was observed as the feeding direction varied. The accuracy of the solved optimal process parameters corresponding to the maximum MRR was validated through a milling test. Full article
Show Figures

Figure 1

26 pages, 3209 KB  
Article
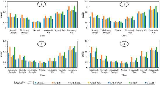
A Theoretical Approach for Forecasting Different Types of Drought Simultaneously, Using Entropy Theory and Machine-Learning Methods
by Pouya Aghelpour, Babak Mohammadi, Seyed Mostafa Biazar, Ozgur Kisi and Zohreh Sourmirinezhad
ISPRS Int. J. Geo-Inf. 2020, 9(12), 701; https://doi.org/10.3390/ijgi9120701 - 25 Nov 2020
Cited by 46 | Viewed by 5268
Abstract
Precipitation deficit can affect different natural resources such as water, soil, rivers and plants, and cause meteorological, hydrological and agricultural droughts. Multivariate drought indexes can theoretically show the severity and weakness of various drought types simultaneously. This study introduces an approach for forecasting [...] Read more.
Precipitation deficit can affect different natural resources such as water, soil, rivers and plants, and cause meteorological, hydrological and agricultural droughts. Multivariate drought indexes can theoretically show the severity and weakness of various drought types simultaneously. This study introduces an approach for forecasting joint deficit index (JDI) and multivariate standardized precipitation index (MSPI) by using machine–learning methods and entropy theory. JDI and MSPI were calculated for the 1–12 months’ time window (JDI1–12 and MSPI1–12), using monthly precipitation data. The methods implemented for forecasting are group method of data handling (GMDH), generalized regression neural network (GRNN), least squared support vector machine (LSSVM), adaptive neuro-fuzzy inference system (ANFIS) and ANFIS optimized with three heuristic optimization algorithms, differential evolution (DE), genetic algorithm (GA) and particle swarm optimization (PSO) as meta-innovative methods (ANFIS-DE, ANFIS-GA and ANFIS-PSO). Monthly precipitation, monthly temperature and previous amounts of the index’s values were used as inputs to the models. Data from 10 synoptic stations situated in the widest climatic zone of Iran (extra arid-cold climate) were employed. Optimal model inputs were selected by gamma test and entropy theory. The evaluation results, which were given using mean absolute error (MAE), root mean squared error (RMSE) and Willmott index (WI), show that the machine learning and meta-innovative models can present acceptable forecasts of general drought’s conditions. The algorithms DE, GA and PSO, could improve the ANFIS’s performance by 39.4%, 38.7% and 22.6%, respectively. Among all the applied models, the GMDH shows the best forecasting accuracy with MAE = 0.280, RMSE = 0.374 and WI = 0.955. In addition, the models could forecast MSPI better than JDI in the majority of cases (stations). Among the two methods used to select the optimal inputs, it is difficult to select one as a better input selector, but according to the results, more attention can be paid to entropy theory in drought studies. Full article
Show Figures

Figure 1

Back to TopTop