Sign in to use this feature.

Years

Between: -

Subjects

remove_circle_outline
remove_circle_outline
remove_circle_outline
remove_circle_outline
remove_circle_outline
remove_circle_outline
remove_circle_outline
remove_circle_outline
remove_circle_outline

Journals

Article Types

Countries / Regions

Search Results (47)

Search Parameters:
Keywords = PET fibres

Order results
Result details
Results per page
Select all
Export citation of selected articles as:
16 pages, 4244 KB  
Article
Polyethylene Terephthalate-Based Composites with Recycled Flakes and Chemically Resistant Glass Fibres for Construction
by Krzysztof Adam Ostrowski, Paulina Romańska, Radosław Piech, Tomasz M. Majka, Adam Michalik, Dariusz Bednarowski and Zuzanna Zawadzka
Polymers 2025, 17(22), 3087; https://doi.org/10.3390/polym17223087 - 20 Nov 2025
Viewed by 579
Abstract
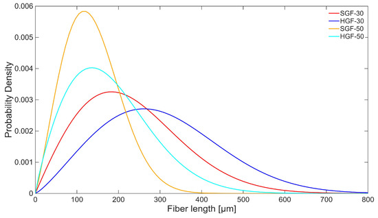
This study aims to evaluate the influence of glass fibre (GF) type and content on the thermal, mechanical, and morphological properties of polyethylene terephthalate (PET)-based composites containing post-consumer PET flakes, intended for mouldings exposed to cementitious environments (e.g., anchors). Two chemically resistant GFs [...] Read more.
This study aims to evaluate the influence of glass fibre (GF) type and content on the thermal, mechanical, and morphological properties of polyethylene terephthalate (PET)-based composites containing post-consumer PET flakes, intended for mouldings exposed to cementitious environments (e.g., anchors). Two chemically resistant GFs were compared: alkali-resistant (AR) fibres with soft sizing (SGFs) and electrical-/chemical-resistant (ECR) fibres with hard sizing (HGFs). Composites with fibre contents of 10–60 wt.% were prepared, with detailed analysis focused on 30 to 50 wt.%—the range typical for practical applications. AR fibres experienced greater shortening during processing, and their actual fibre content was lower than the intended value. Differential scanning calorimetry (DSC) revealed enhanced crystallisation kinetics for SGF composites, with higher crystallinity of the injection-moulded samples and elevated crystallisation temperatures (206–208 °C for SGF vs. 196–197 °C for HGF). Thermogravimetric analysis (TGA) indicated that thermal stability was primarily governed by fibre content; both SGF and HGF composites showed improved resistance compared to neat PET. Mechanical tests demonstrated that both fibre types effectively reinforced the matrix: HGF composites exhibited a higher elastic modulus (20.6 GPa for HGF-50 vs. 18.3 GPa for SGF-50), whereas SGF composites exhibited roughly 10–20% higher tensile, flexural, and impact strength, despite slightly lower fibre content. SEM analysis confirmed more uniform fibre distribution and fewer voids in SGF composites. These results highlight the importance of GF selection for PET composites in alkaline environments, taking into account the properties of the sizing film former and balancing trade-offs between mechanical performance, thermal stability, processability, and economic factors. Full article
Show Figures

Figure 1

23 pages, 2806 KB  
Article
Sustainable Stabilisation of Expansive Clay with Shredded PET Fibers: Multi-Scale Performance and Microstructural Analysis
by Thatikonda Naresh, Sandeep Bandipally, Nannuta Satya Shiva Prasad, Krzysztof Skrzypkowski, Krzysztof Zagórski and Anna Zagórska
Resources 2025, 14(11), 174; https://doi.org/10.3390/resources14110174 - 11 Nov 2025
Viewed by 466
Abstract
Expansive clay soils present major challenges for infrastructure due to their high swelling potential and low bearing capacity. While conventional stabilisers, such as lime and Ordinary Portland Cement (OPC), are effective, they are environmentally unsustainable due to their high carbon footprint. This study [...] Read more.
Expansive clay soils present major challenges for infrastructure due to their high swelling potential and low bearing capacity. While conventional stabilisers, such as lime and Ordinary Portland Cement (OPC), are effective, they are environmentally unsustainable due to their high carbon footprint. This study examines the potential of shredded recycled polyethene terephthalate (PET) fibres as a low-carbon alternative for stabilising high-plasticity clays. PET fibres were incorporated at dosages ranging from 0% to 1.2% by dry weight, and their influence on compaction characteristics, unconfined compressive strength (UCS), California Bearing Ratio (CBR), swelling behaviour, and microstructure was evaluated through laboratory testing and Scanning Electron Microscopy (SEM). Among the tested mixes, the 1.0% PET content exhibited the highest measured performance, resulting in a 37% increase in UCS, a 125% enhancement in unsoaked CBR, more than a two-fold increase in soaked CBR, and a 15% reduction in the Differential Free Swell Index (DFSI). SEM analysis indicated the formation of a three-dimensional fibre matrix, which improved particle interlock and reduced microcrack propagation. However, higher fibre dosages caused agglomeration and macrovoid formation, which adversely affected performance. Overall, the findings suggest that the inclusion of PET fibres can enhance both geotechnical and environmental performance, providing a sustainable stabilisation strategy that utilises plastic waste while reducing reliance on OPC. Full article
Show Figures

Figure 1

30 pages, 4326 KB  
Article
Experimental Study on Zeolite–Polyester-Coated Jute–Sisal Fibre Back Sheets for Improved Efficiency of Solar Panels: A Renewable Composite Material Strategy
by Aishwarya Sathyanarayanan, Balasubramanian Murugesan and Narayanamoorthi Rajamanickam
J. Compos. Sci. 2025, 9(11), 599; https://doi.org/10.3390/jcs9110599 - 2 Nov 2025
Viewed by 688
Abstract
This study examines the potential of jute–sisal (JS) fibre, both coated and uncoated, as a sustainable alternative to solar panels with polyethylene terephthalate (PET) back sheets. The coated version was developed using a zeolite–polyester resin composite to enhance thermal performance. The investigation was [...] Read more.
This study examines the potential of jute–sisal (JS) fibre, both coated and uncoated, as a sustainable alternative to solar panels with polyethylene terephthalate (PET) back sheets. The coated version was developed using a zeolite–polyester resin composite to enhance thermal performance. The investigation was carried out in two phases: controlled laboratory testing using a solar-cell tester and a 90-day real-world evaluation under natural environmental conditions. In controlled conditions, solar panels with coated JS (CJS) fibre back sheets exhibited improved electrical performances compared to PET panels, including higher current (1.23 A), voltage (12.79 V), maximum power output (14.79 W), efficiency (13.47%), and fill factor (94.03%). Lower series resistance and higher shunt resistance further indicated superior electrical characteristics. Under real-world conditions, CJS panels consistently outperformed PET-based panels, showing a 6% increase in current and an 8% increase in voltage. The model showed strong agreement with the experimental results. These findings suggest that coated JS fibre is a viable, eco-friendly alternative to PET for back sheets in solar panels. Further research should examine its long-term durability, environmental resistance, and commercial scalability. Full article
(This article belongs to the Section Fiber Composites)
Show Figures

Figure 1

17 pages, 1925 KB  
Article
Performance Evaluation and Fastness Properties of Poly(Lactic Acid) Fibres Dyed with Commercial Disperse Dyes in Comparison to Polyester Fabric
by Smaro S. Lykidou, Lamprilena Pachygiannaki, Efstratios Tzouratzoglou, Evangelia C. Vouvoudi and Nikolaos F. Nikolaidis
Textiles 2025, 5(3), 39; https://doi.org/10.3390/textiles5030039 - 3 Sep 2025
Viewed by 924
Abstract
Poly(lactic acid) (PLA) is an aliphatic polyester considered a “green” material due to its natural-based origin and biodegradable properties. This is why PLA fibres may be compared with poly(ethylene terephthalate) (PET) fibres in an effort to partially replace the latter in industrial production. [...] Read more.
Poly(lactic acid) (PLA) is an aliphatic polyester considered a “green” material due to its natural-based origin and biodegradable properties. This is why PLA fibres may be compared with poly(ethylene terephthalate) (PET) fibres in an effort to partially replace the latter in industrial production. The purpose of this study is to investigate the dyeability of poly(lactic acid) fibres using six (6) commercially available disperse dyes with different energy levels, molecular weights and chemical structures, namely Disperse Red 59 (Serisol Fast Pink RFL), Disperse Red 60 (Serilene Red 2BL), Disperse Red 92 (Serilene Red TBLS), Disperse Orange 31 (Serisol Br Orange RGL), Disperse Yellow 54 (Serilene Yellow 3GL) and Disperse Blue 79 (Serilene Navy Blue GRLS). The dyeing characteristics, such as dye exhaustion, colour strength (K/S value), colorimetric values, wash fastness, light fastness and sublimation fastness of dyed fibres, were examined at dyeing temperatures of 110 and 130 °C, while the presence of carrier agent was also investigated. The dye exhaustion values of PLA fibres were found to be lower than those of PET fabrics; however, K/S values were higher than those of the corresponding PET fabrics in some cases. Dyed PLA fibres illustrated good colour fastness, light fastness and sublimation fastness properties, comparable to similarly dyed PET fibres. Full article
Show Figures

Figure 1

19 pages, 3672 KB  
Article
Assessing Microplastic Contamination and Depuration Effectiveness in Farmed Pacific Oysters (Crassostrea gigas)
by Cláudia Moura, Diogo M. Silva, Francisca Espincho, Sabrina M. Rodrigues, Rúben Pereira, C. Marisa R. Almeida, Sandra Ramos and Vânia Freitas
Environments 2025, 12(8), 254; https://doi.org/10.3390/environments12080254 - 25 Jul 2025
Viewed by 2588
Abstract
This study assessed the presence, abundance, and characteristics of microplastics (MPs) in farmed Pacific oysters (Crassostrea gigas) and evaluated the efficacy of depuration in reducing MPs under laboratory-controlled and commercial conditions. Oysters cultivated in the Lima estuary (NW Portugal) were sampled [...] Read more.
This study assessed the presence, abundance, and characteristics of microplastics (MPs) in farmed Pacific oysters (Crassostrea gigas) and evaluated the efficacy of depuration in reducing MPs under laboratory-controlled and commercial conditions. Oysters cultivated in the Lima estuary (NW Portugal) were sampled in autumn and winter, along with adjacent surface water and sediment, to investigate potential contamination sources. MP concentrations in oysters varied temporally, with higher levels in October 2023 (0.48 ± 0.34 MPs g−1 ww) than in February 2024 (0.09 ± 0.07 MPs g−1 ww), while the environmental levels remained stable across dates. All MPs were fibres, predominantly transparent, followed by blue and black. Fourier-Transform Infrared Spectroscopy (FTIR) confirmed cellulose and polyethylene terephthalate (PET) as dominant polymers in oysters and environmental samples. No clear correlation was found between MPs in oysters and surrounding compartments. Laboratory depuration reduced MPs by 78% within 48 h, highlighting its potential as a mitigation strategy. However, depuration was less effective under commercial conditions, possibly due to lower initial contamination levels. These findings suggest that oysters may act as a vector for human exposure to MPs via seafood consumption. While depuration shows promise in reducing contamination, further research is needed to optimise commercial protocols and enhance the safety of aquaculture products. Full article
(This article belongs to the Special Issue Editorial Board Members’ Collection Series: Plastic Contamination)
Show Figures

Figure 1

18 pages, 1096 KB  
Review
Marine Plastic Waste in Construction: A Systematic Review of Applications in the Built Environment
by Lucas Lopes, Harish Dauari, Paulo Mendonça and Manuela Almeida
Polymers 2025, 17(13), 1729; https://doi.org/10.3390/polym17131729 - 21 Jun 2025
Cited by 4 | Viewed by 2308
Abstract
Marine plastic pollution represents a critical environmental challenge, with millions of tons of plastic waste entering the oceans annually and threatening ecosystems, biodiversity, and human health. This systematic review evaluates the current state of the art in recycling and reusing marine plastic waste [...] Read more.
Marine plastic pollution represents a critical environmental challenge, with millions of tons of plastic waste entering the oceans annually and threatening ecosystems, biodiversity, and human health. This systematic review evaluates the current state of the art in recycling and reusing marine plastic waste within the architecture, engineering, and construction (AEC) sectors, following the PRISMA methodology. Sixty-six peer-reviewed articles published between 2015 and 2025 were analysed, focusing on the integration of plastic waste. The review identifies mechanical recycling as the predominant method, involving washing and shredding plastics into fibres or flakes for use in cementitious composites, asphalt modifiers, bricks, panels, and insulation. Results indicate that recycled plastics, such as PET, HDPE, and PP, can enhance thermal insulation, water resistance, and flexural strength in non-structural applications. However, challenges persist regarding compressive strength, fibre dispersion, and chemical compatibility with cementitious matrices. Although the reuse of marine plastics supports circular economy goals by diverting waste from oceans and landfills, significant gaps remain in long-term durability, microplastic release, end-of-life recyclability, and comprehensive environmental assessments. The findings underscore the need for further research on the broader adoption of life cycle analysis, as well as long-term durability and environmental contamination analyses. Full article
(This article belongs to the Special Issue Environmentally Responsive Polymer Materials)
Show Figures

Figure 1

24 pages, 1685 KB  
Review
Characteristics, Distribution, and Sources of Atmospheric Microplastics in Southeast Asia: A Scoping Review
by Nur Nabila Abd Rahim, Patrick Wee Yao Peng, Nurul Farehah Shahrir, Wan Rozita Wan Mahiyuddin, Sharifah Mazrah Sayed Mohamed Zain and Rohaida Ismail
Atmosphere 2025, 16(5), 515; https://doi.org/10.3390/atmos16050515 - 28 Apr 2025
Cited by 1 | Viewed by 3153
Abstract
This scoping review examines the distribution, sources, and characterization of atmospheric microplastics (AMPs) in Southeast Asia (SEA), following the Preferred Reporting Items for Systematic Reviews and Meta-Analyses extension for Scoping Reviews (PRISMA-ScR) guidelines. A comprehensive search of Scopus and PubMed identified 58 relevant [...] Read more.
This scoping review examines the distribution, sources, and characterization of atmospheric microplastics (AMPs) in Southeast Asia (SEA), following the Preferred Reporting Items for Systematic Reviews and Meta-Analyses extension for Scoping Reviews (PRISMA-ScR) guidelines. A comprehensive search of Scopus and PubMed identified 58 relevant articles, with 16 meeting the inclusion criteria. Findings indicate high microplastic (MP) concentrations in urban centres, notably in Malaysia, Indonesia, and Thailand, a pattern driven by rapid urbanisation, industrial emissions, textile production, and insufficient waste management. Predominant polymer types include polyethylene (PE), polypropylene (PP), and polyester (PET), with fibres and black particles being the most common forms. Black particles, often linked to tire wear and vehicular emissions, underscore traffic pollution’s role in AMP distribution, while PET fibres reflect the influence of SEA’s textile industry. Geographic gaps were observed, with limited studies in countries such as Cambodia and Laos. The review highlights the need for standardised sampling and quantification methods to ensure data comparability and calls for expanded research into rural and coastal regions. Future studies should prioritise longitudinal investigations into the effects of chronic exposure on health; this is particularly relevant for nanoplastics (NPs) because of their greater potential for biological penetration. These insights form a crucial foundation for mitigating AMP pollution in SEA. Full article
(This article belongs to the Special Issue Toxicity of Persistent Organic Pollutants and Microplastics in Air)
Show Figures

Figure 1

19 pages, 3652 KB  
Article
Antibiotic Adsorption by Microplastics: Effect of Weathering, Polymer Type, Size, and Shape
by Thomas Easton, Vaibhav Budhiraja, Yuanzhe He, Qi Zhang, Ayushi Arora, Vasileios Koutsos and Efthalia Chatzisymeon
Environments 2025, 12(4), 120; https://doi.org/10.3390/environments12040120 - 12 Apr 2025
Cited by 3 | Viewed by 2062
Abstract
The interaction of microplastics (MPs) with organic micropollutants, such as antibiotics, facilitates their transport in aquatic environments, increasing mobility and toxicological risk. The diverse polymer types, sizes, and shapes in wastewater present a challenge in understanding the fate of persistent organic micropollutants. This [...] Read more.
The interaction of microplastics (MPs) with organic micropollutants, such as antibiotics, facilitates their transport in aquatic environments, increasing mobility and toxicological risk. The diverse polymer types, sizes, and shapes in wastewater present a challenge in understanding the fate of persistent organic micropollutants. This study examines ceftazidime adsorption on five polymer types—polyethylene terephthalate (PET), polyethylene (PE), hard and soft polystyrene (PS), hard and soft polyurethane (PU), and tyre wear particles (TWPs, including three passenger tyres and one truck tyre) in various forms (fibres, beads, foam, and fragments) and sizes (10–1000 µm). MPs underwent weathering (alkaline hydrolysis, UVC-activated H2O2, and Xenon lamp irradiation) to simulate environmental conditions. Their physical and chemical changes were analysed through mass loss, carbonyl index, scanning electron microscopy, and atomic force microscopy. The adsorption values (mg g−1) for pristine and weathered MPs, respectively, were as follows: PET (0.664 and 1.432), PE (0.210 and 0.234), hard PS (0.17 and 0.24), soft PS (0.53 and 0.48), hard PU (0.19), soft PU (0.17), and passenger TWPs—Bridgestone (0.212), Michelin (0.273), Goodyear (0.288), and Kumho truck TWPs (0.495). The highest and lowest adsorption were observed in weathered PET (1.432 mg g−1) and pristine hard PS/soft PU (0.17 mg g−1), respectively. Sorption kinetics and isothermal models showed that aged MPs exhibited higher sorption due to surface cracks, fragmentation, and increased adsorption sites. These findings enhance scientific knowledge of MP–antibiotic interactions in wastewater and can underpin studies to mitigate MP pollution and their adverse effects on the environment and humans. Full article
(This article belongs to the Special Issue Advanced Research on Micropollutants in Water, 2nd Edition)
Show Figures

Figure 1

15 pages, 5870 KB  
Article
Modelling the Constitutive Behaviour of Recycled PET for the Manufacture of Woven Fabrics
by Huidong Wei, Shan Lou, Martin Leeming and Ying Zhang
Sustainability 2025, 17(5), 2254; https://doi.org/10.3390/su17052254 - 5 Mar 2025
Cited by 1 | Viewed by 1405
Abstract
Recycling polyethylene terephthalate (rPET) from packaging materials consumes a vast amount of energy and incurs significant economic and environmental costs. This study proposes directly recycling rPET into woven fabrics to eliminate reprocessing while still preserving the mechanical performance of the material. The mechanical [...] Read more.
Recycling polyethylene terephthalate (rPET) from packaging materials consumes a vast amount of energy and incurs significant economic and environmental costs. This study proposes directly recycling rPET into woven fabrics to eliminate reprocessing while still preserving the mechanical performance of the material. The mechanical properties of rPET were tested along two orthogonal directions, and the resulting test data were used to calibrate an elasto-plastic model in order to capture the constitutive behaviour of the material. Additionally, the virtual weaving of rPET fibres into fabrics was modelled using finite element analysis (FEA) to replicate the actual manufacturing process. The results show that rPET that is directly recycled into woven fabrics exhibits superior performance to the same material derived from reprocessing. A strong anisotropy of rPET materials was observed, with distinct elastic and ductile behaviours. The FEA simulation also revealed the critical role of the ductility of rPET fibres when used as warp yarns. The process parameters to achieve a successful weaving operation for different yarn configurations, taking into account the motion and tension of the fibres during manufacture, were also identified. A further sensitivity study highlights the influence of friction between the fibres on the tension force of warp yarns. The virtual manufacture-by-weaving model suggests that utilising rPET with a simplified recycling approach can lead to the sustainable manufacture of fabrics with broad industrial applications. Full article
(This article belongs to the Special Issue Plastic Recycling and Biopolymer Synthesis for Industrial Application)
Show Figures

Figure 1

22 pages, 5283 KB  
Article
Free-Forming of Customised NFRP Profiles for Architecture Using Simplified Adaptive and Stay-In-Place Moulds
by Piotr Baszyński and Hanaa Dahy
Designs 2024, 8(6), 129; https://doi.org/10.3390/designs8060129 - 3 Dec 2024
Viewed by 1619
Abstract
Design and production technology of natural fibre reinforced polymers not only aims to offer products with a lower environmental impact than conventional glass fibre composites but also caters for designers’ needs for the fabrication of lightweight free-formed architectural components. To combine both characteristics, [...] Read more.
Design and production technology of natural fibre reinforced polymers not only aims to offer products with a lower environmental impact than conventional glass fibre composites but also caters for designers’ needs for the fabrication of lightweight free-formed architectural components. To combine both characteristics, the forming process itself, once scaled up, needs to be based on efficient material moulding strategies. Based on case studies of adaptive forming techniques derived from the composite industry and concrete casting, two approaches for the mass production of customised NFRP profiles are proposed. Both processes are based on foam from recycled PET, which is used as either a removable mould or a stay-in-place (SIP) core. Once the textile reinforcement is placed on a mould, either by helical winding of natural fibre prepregs or in the form of mass-produced textile preforms, its elastic properties allow for the free-forming of the composite profile before the resin is fully cured. This paper investigates the range of deformations that it is possible to achieve by each method and describes the realisation of a small structural demonstrator, in the form of a stool, through the helical winding of a flax prepreg on a SIP core. Full article
Show Figures

Figure 1

15 pages, 7110 KB  
Case Report
Absorbable Haemostatic Artefacts as a Diagnostic Challenge in Postoperative Follow-Up After Oncological Resection in Head and Neck Tumours: Systematic Review of Current Literature and Two Case Reports
by Giorgio Barbera, Guido Lobbia, Federica Ghiozzi, Alessandra Rovescala, Carlotta Franzina, Sokol Sina and Riccardo Nocini
Diagnostics 2024, 14(23), 2667; https://doi.org/10.3390/diagnostics14232667 - 27 Nov 2024
Cited by 7 | Viewed by 1681
Abstract
Objectives: This article aims to define the clinical, radiological, and pathological characteristics of non-resorbed oxidised cellulose-induced pseudotumours to raise awareness among surgeons and radiologists, to prevent misdiagnosis, and avoid unnecessary invasive procedures and delays in adjuvant oncological treatments. Methods: A systematic [...] Read more.
Objectives: This article aims to define the clinical, radiological, and pathological characteristics of non-resorbed oxidised cellulose-induced pseudotumours to raise awareness among surgeons and radiologists, to prevent misdiagnosis, and avoid unnecessary invasive procedures and delays in adjuvant oncological treatments. Methods: A systematic review of oxidised resorbable cellulose (ORC)-induced pseudotumours of the head and neck was conducted following PRISMA 2020 guidelines. Articles were retrieved from PubMed, Scopus, Cochrane, and Web of Science. Two ORC-induced pseudotumour cases from the Maxillofacial Surgery Department of Verona are also presented. Results: In most cases, pseudotumours were monitored using ultrasound. Further investigations included CT, MRI, PET-CT, and scintigraphy. Ultrasound images showed stable, elongated, and non-homogeneous masses. In CT scans, pseudotumours showed a liquefied core, and none or only peripheral enhancement. In MRI, pseudotumours presented none or only peripheral enhancement, and a heterogeneous pattern in T2-weighted images. 18-FDG PET scans demonstrated an FDG-avid mass (SUV 7.5). Scintigraphy was inconclusive. Cytology indicated a granulomatous reaction without neoplastic cells. Where surgical excision was performed, a granulomatous reaction with the presence of oxidised cellulose fibres was confirmed. Conclusions: Surgeons should consider artifacts from retained oxidised absorbable haemostatic material when suspecting tumour recurrence or metastasis on postoperative imaging, especially if certain features are present. Fine-needle aspiration cytology (FNAC) is a useful diagnostic tool, but surgical excision may be needed if FNAC is inconclusive or impractical. Collaboration between surgeons and radiologists is essential to avoid misdiagnosis and delays in treatment. Documenting the use and location of haemostatic material in operative reports would aid future understanding of these phenomena. Full article
(This article belongs to the Special Issue Advances in Diagnosis and Treatment in Otolaryngology)
Show Figures

Figure 1

20 pages, 8837 KB  
Article
Self-Reinforced Composite Materials: Frictional Analysis and Its Implications for Prosthetic Socket Design
by Yogeshvaran R. Nagarajan, Yasasween Hewavidana, Emrah Demirci, Yong Sun, Farukh Farukh and Karthikeyan Kandan
Materials 2024, 17(22), 5629; https://doi.org/10.3390/ma17225629 - 18 Nov 2024
Cited by 3 | Viewed by 1696
Abstract
Friction and wear characteristics play a critical role in the functionality and durability of prosthetic sockets, which are essential components in lower-limb prostheses. Traditionally, these sockets are manufactured from bulk polymers or composite materials reinforced with advanced carbon, glass, and Kevlar fibres. However, [...] Read more.
Friction and wear characteristics play a critical role in the functionality and durability of prosthetic sockets, which are essential components in lower-limb prostheses. Traditionally, these sockets are manufactured from bulk polymers or composite materials reinforced with advanced carbon, glass, and Kevlar fibres. However, issues of accessibility, affordability, and sustainability remain, particularly in less-resourced regions. This study investigates the potential of self-reinforced polymer composites (SRPCs), including poly-lactic acid (PLA), polyethylene terephthalate (PET), glass fibre (GF), and carbon fibre (CF), as sustainable alternatives for socket manufacturing. The tribological behaviour of these self-reinforced polymers (SrPs) was evaluated through experimental friction tests, comparing their performance to commonly used materials like high-density polyethylene (HDPE) and polypropylene (PP). Under varying loads and rotational speeds, HDPE and PP exhibited lower coefficients of friction (COF) compared to SrPLA, SrPET, SrGF, and SrCF. SrPLA recorded the highest average COF of 0.45 at 5 N and 240 rpm, while SrPET demonstrated the lowest COF of 0.15 under the same conditions. Microscopic analysis revealed significant variations in wear depth, with SrPLA showing the most profound wear, followed by SrCF, SrGF, and SrPET. In all cases, debris from the reinforcement adhered to the steel ball surface, influencing the COF. While these findings are based on friction tests against steel, they provide valuable insights into the durability and wear resistance of SRPCs, a crucial consideration for socket applications. This study highlights the importance of tribological analysis for optimising prosthetic socket design, contributing to enhanced functionality and comfort for amputees. Further research, including friction testing with skin-contact scenarios, is necessary to fully understand the implications of these materials in real-world prosthetic applications. Full article
(This article belongs to the Special Issue Advances in Functional Polymers and Nanocomposites)
Show Figures

Figure 1

20 pages, 22707 KB  
Article
Utilization of Alternative Fibres Manufactured from Recycled PET Bottles in Concrete Technology for the Improvement of Fire Resistance
by Martin Sedlmajer, Jiří Zach, Jan Bubeník, Jiří Bydžovský and Vítězslav Novák
Polymers 2024, 16(22), 3145; https://doi.org/10.3390/polym16223145 - 12 Nov 2024
Cited by 1 | Viewed by 1626
Abstract
This article addresses the potential use of secondary polymer fibres in the field of structural concrete as a replacement for primary polymer fibres (mainly polypropylene/PP/), which are used in concrete to enhance its resistance when exposed to high temperatures (especially in the case [...] Read more.
This article addresses the potential use of secondary polymer fibres in the field of structural concrete as a replacement for primary polymer fibres (mainly polypropylene/PP/), which are used in concrete to enhance its resistance when exposed to high temperatures (especially in the case of fire). Research has shown that, in addition to PP fibres, polyethylene terephthalate/PET/fibres, produced by recycling packaging materials (mainly PET bottles), can also be used as an alternative. These fibres are industrially produced in similar dimensions as PP fibres and exhibit similar behaviour when added to fresh and hardened concrete. In terms of their effect on increasing resistance to extreme heat loads, it has been found that despite a higher melting point (Tm), concrete with these fibres demonstrates comparable fire resistance. Therefore, it can be concluded that secondary PET fibres represent an interesting alternative to primary PP fibres from the perspective of a circular economy, and their use in construction represents a potentially valuable application for PET obtained through the collection and recycling of PET packaging materials. Full article
(This article belongs to the Section Polymer Fibers)
Show Figures

Figure 1

15 pages, 7222 KB  
Article
Recycled-Textile-Waste-Based Sustainable Bricks: A Mechanical, Thermal, and Qualitative Life Cycle Overview
by Hafsa Jamshaid, Ambar Shah, Muhammad Shoaib and Rajesh Kumar Mishra
Sustainability 2024, 16(10), 4036; https://doi.org/10.3390/su16104036 - 11 May 2024
Cited by 6 | Viewed by 18687
Abstract
The textile industry, renowned for its comfort-providing role, is undergoing a significant transformation to address its environmental impact. The escalating environmental impact of the textile industry, characterised by substantial contributions to global carbon emissions, wastewater, and the burgeoning issue of textile waste, demands [...] Read more.
The textile industry, renowned for its comfort-providing role, is undergoing a significant transformation to address its environmental impact. The escalating environmental impact of the textile industry, characterised by substantial contributions to global carbon emissions, wastewater, and the burgeoning issue of textile waste, demands urgent attention. This study aims at identifying the feasibility of the future use of textile scraps in the construction and architecture industry by analysing the effect of different binders. In this study, synthetic knitted post-consumer-waste fabrics were taken from a waste market for use as a reinforcement, and different binders were used as the matrix. In the experiment phase, the waste fabrics were mixed with synthetic binders and hydraulic binders to form brick samples. The mechanical and thermal properties of these samples were tested and compared with those of clay bricks. In terms of mechanical properties, unsaturated polyester resin (UPR) samples showed the highest mechanical strength, while acrylic glue (GL) samples had the lowest mechanical strength. White cement (WC) samples showed moderate mechanical properties. Through several tests, it was observed that UPR samples showed the highest values of tensile, bending, and compressive strengths, i.e., 0.111 MPa, 0.134 MPa, and 3.114 MPa, respectively. For WC, the tensile, bending, and compressive strengths were 0.064 MPa, 0.106 MPa, and 2.670 MPa, respectively. For GL, the least favourable mechanical behaviour was observed, i.e., 0.0162 MPa, 0.0492 MPa, and 1.542 MPa, respectively. In terms of thermal conductivity, WC samples showed exceptional resistance to heat transfer. They showed a minimum temperature rise of 54.3 °C after 15 min, as compared to 57.3 °C for GL-based samples and 58.1 °C for UPR. When it comes to polymeric binders, UPR showed better thermal insulation properties, whereas GL allowed for faster heat transfer for up to 10 min of heating. This study explores a circular textile system by assessing the potential of using textile waste as a building material, contributing to greener interior design. This study demonstrated the usefulness of adding short, recycled PET fibres as a reinforcement in UPR composites. The use of the PET fibre avoids the need to use a surface treatment to improve interfacial adhesion to the UPR matrix because of the chemical affinity between the two polyesters, i.e., the PET fibre and the unsaturated polyester resin. This can find application in the construction field, such as in the reinforcement of wooden structural elements, infill walls, and partition walls, or in furniture or for decorative purposes. Full article
Show Figures

Figure 1

21 pages, 5812 KB  
Article
Single Polymer Composites: An Innovative Solution for Lower Limb Prosthetic Sockets
by Yogeshvaran R. Nagarajan, Farukh Farukh, Arjan Buis and Karthikeyan Kandan
Prosthesis 2024, 6(3), 457-477; https://doi.org/10.3390/prosthesis6030033 - 30 Apr 2024
Cited by 6 | Viewed by 7064
Abstract
The demand for affordable prostheses, particularly in low- and middle-income countries (LMICs), is significant. Currently, the majority of prosthetic sockets are manufactured using monolithic thermoplastic polymers such as PP (polypropylene), which lack durability, strength, and exhibit creep. Alternatively, they are reinforced with consumptive [...] Read more.
The demand for affordable prostheses, particularly in low- and middle-income countries (LMICs), is significant. Currently, the majority of prosthetic sockets are manufactured using monolithic thermoplastic polymers such as PP (polypropylene), which lack durability, strength, and exhibit creep. Alternatively, they are reinforced with consumptive thermoset resin and expensive composite fillers such as carbon, glass, or Kevlar fibres. However, there are unmet needs that amputees face in obtaining affordable prosthetic sockets, demanding a solution. This study utilises self-reinforced PET (polyethylene terephthalate), an affordable and sustainable composite material, to produce custom-made sockets. Advancing the development of a unique socket manufacturing technique employing a reusable vacuum bag and a purpose-built curing oven, we tested fabricated sockets for maximum strength. Subsequently, a prosthetic device was created and assessed for its performance during ambulation. The mechanical and structural strength of PET materials for sockets reached a maximum strength of 132 MPa and 5686 N. Findings indicate that the material has the potential to serve as a viable substitute for manufacturing functional sockets. Additionally, TOPSIS analysis was conducted to compare the performance index of sockets, considering decision criteria such as material cost, socket weight, and strength. The results showed that PET sockets outperformed other materials in affordability, durability, and strength. The methodology successfully fabricated complex-shaped patient sockets in under two hours. Additionally, walking tests demonstrated that amputees could perform daily activities without interruptions. This research makes significant progress towards realising affordable prostheses for LMICs, aiming to provide patient-specific affordable prostheses tailored for LMICs. Full article
(This article belongs to the Section Orthopedics and Rehabilitation)
Show Figures

Figure 1

Back to TopTop