Sign in to use this feature.

Years

Between: -

Subjects

remove_circle_outline
remove_circle_outline
remove_circle_outline

Journals

Article Types

Countries / Regions

Search Results (1)

Search Parameters:
Keywords = Norrish model

Order results
Result details
Results per page
Select all
Export citation of selected articles as:
12 pages, 2298 KB  
Article
Water Activity Prediction in Sugar and Polyol Systems Using Theoretical Molecular Descriptors
by Antonio Zuorro
Int. J. Mol. Sci. 2021, 22(20), 11044; https://doi.org/10.3390/ijms222011044 - 13 Oct 2021
Cited by 15 | Viewed by 4887
Abstract
Water activity is a key factor in the development of pharmaceutical, cosmetic, and food products. In aqueous solutions of nonelectrolytes, the Norrish model provides a simple and effective way to evaluate this quantity. However, it contains a parameter, known as the Norrish constant, [...] Read more.
Water activity is a key factor in the development of pharmaceutical, cosmetic, and food products. In aqueous solutions of nonelectrolytes, the Norrish model provides a simple and effective way to evaluate this quantity. However, it contains a parameter, known as the Norrish constant, that must be estimated from experimental data. In this study, a new strategy is proposed for the prediction of water activity in the absence of experimental information, based on the use of theoretical molecular descriptors for characterizing the effects of a solute. This approach was applied to the evaluation of water activity in the presence of sugars (glucose, fructose, xylose, sucrose) and polyols (sorbitol, xylitol, glycerol, erythritol). The use of two descriptors related to the constitutional and connectivity properties of the solutes was first investigated. Subsequently, a new theoretical descriptor, named the global information index (G), was developed. By using this index, the water activity curves in the binary systems were reconstructed. The positive results obtained support the proposed strategy, as well as the possibility of including, in a single information index, the main molecular features of a solute that determine its effects on water activity. Full article
(This article belongs to the Section Macromolecules)
Show Figures

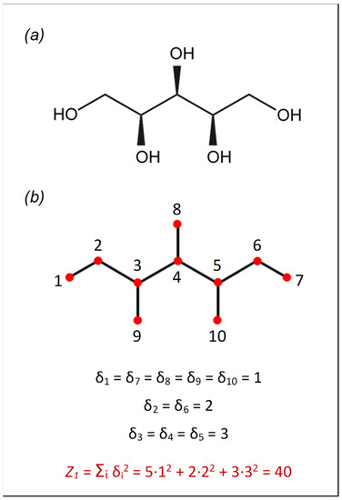
Figure 1

Back to TopTop