Sign in to use this feature.

Years

Between: -

Subjects

remove_circle_outline
remove_circle_outline
remove_circle_outline
remove_circle_outline
remove_circle_outline
remove_circle_outline
remove_circle_outline
remove_circle_outline

Journals

Article Types

Countries / Regions

Search Results (18)

Search Parameters:
Keywords = Newtonian paradigm

Order results
Result details
Results per page
Select all
Export citation of selected articles as:
24 pages, 1845 KB  
Review
Conundrum of Hydrologic Research: Insights from the Evolution of Flood Frequency Analysis
by Fahmidah Ummul Ashraf, William H. Pennock and Ashish D. Borgaonkar
CivilEng 2025, 6(4), 66; https://doi.org/10.3390/civileng6040066 - 2 Dec 2025
Viewed by 63
Abstract
Given the apparent gap between scientific research and engineering practice, this paper tracks the dominating perspectives that have shaped the growth of hydrological research. Based on five eras, dominated with specific paradigms and/or ideologies, this paper highlights the punctuated growth of flood frequency [...] Read more.
Given the apparent gap between scientific research and engineering practice, this paper tracks the dominating perspectives that have shaped the growth of hydrological research. Based on five eras, dominated with specific paradigms and/or ideologies, this paper highlights the punctuated growth of flood frequency analysis comparative to the enormous progress made in hydrological modeling can be claimed by the 20th century. The historical narrative underpinning this inquiry indicates that progress in hydrological understanding can be characterized by two contrasting claims: modeling breakthroughs and inconclusive results. Contradicting statistical assumptions, complex modeling structures, the standardization of specific techniques, and the absence of any unified physical meaning of the research results brought an apparent conflict between the scope of hydrologic research and the scope of end users, i.e., civil engineers. Some hydrologists argue that the debates associated with hydrologic progress, i.e., the evolution of statistical methods, dating back to the 1960s remain unaddressed, with each era introducing additional uncertainty, questions, and concerns. Progress, for it to happen, needs synthesis among scientists, engineers, and stakeholders. This paper concludes that, in a similar way to how physicists acknowledge the conflicts between quantum and Newtonian physics, hydrology too can benefit from acknowledging divergent principles emerging from engineering practice. While many advanced analytical tools—though varied in form—are grounded in the assumption that past data can predict future conditions, the contrasting view that past data cannot always do so represents a key philosophical foundation for resilience-based civil engineering design. Acknowledging contrasting philosophies describing the nature of reality can help illuminate the conundrum in the scope of hydrological research and can enable synthesis activities aimed at ‘putting the puzzle together’. Full article
(This article belongs to the Section Water Resources and Coastal Engineering)
Show Figures

Figure 1

18 pages, 784 KB  
Article
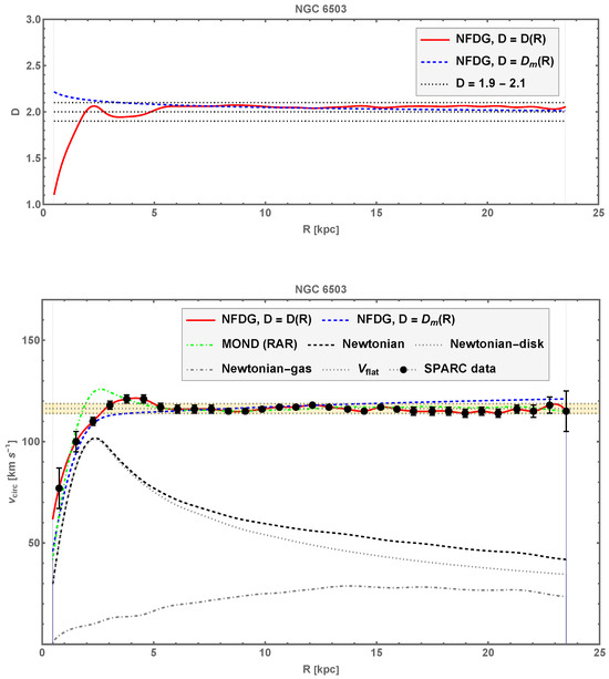
Newtonian Fractional-Dimension Gravity and the Mass-Dimension Field Equation
by Gabriele U. Varieschi
Universe 2025, 11(12), 388; https://doi.org/10.3390/universe11120388 - 24 Nov 2025
Viewed by 288
Abstract
We resume our analysis of Newtonian Fractional-Dimension Gravity (NFDG), an alternative gravitational model that does not require the dark matter (DM) paradigm. We add three more galaxies (NGC 6946, NGC 3198, NGC 2841) to the catalog of those studied with NFDG methods. Once [...] Read more.
We resume our analysis of Newtonian Fractional-Dimension Gravity (NFDG), an alternative gravitational model that does not require the dark matter (DM) paradigm. We add three more galaxies (NGC 6946, NGC 3198, NGC 2841) to the catalog of those studied with NFDG methods. Once again, NFDG can successfully reproduce the observed rotation curves by using a variable fractional dimension DR, as with the nine other galaxies previously studied with these methods. In addition, we introduce a mass-dimension field equation for our model, which is capable of deriving the fractional mass dimension DmR from a single equation, as opposed to the previous DR, which was obtained simply by matching the experimental rotational velocity data for each galaxy. While the NFDG predictions computed with this new DmR dimension are not as accurate as those based on the original DR, they nevertheless confirm the validity of our fractional-dimension approach. Three previously studied galaxies (NGC 7814, NGC 6503, NGC 3741) were analyzed again with these new methods, and their structure was confirmed to be free from any dark matter components. Full article
(This article belongs to the Special Issue Exploring and Constraining Alternative Theories of Gravity)
Show Figures

Figure 1

30 pages, 27154 KB  
Article
The Modeling and Detection of Vascular Stenosis Based on Molecular Communication in the Internet of Things
by Zitong Shao, Pengfei Zhang, Xiaofang Wang and Pengfei Lu
J. Sens. Actuator Netw. 2025, 14(5), 101; https://doi.org/10.3390/jsan14050101 - 10 Oct 2025
Viewed by 737
Abstract
Molecular communication (MC) has emerged as a promising paradigm for nanoscale information exchange in Internet of Bio-Nano Things (IoBNT) environments, offering intrinsic biocompatibility and potential for real-time in vivo monitoring. This study proposes a cascaded MC channel framework for vascular stenosis detection, which [...] Read more.
Molecular communication (MC) has emerged as a promising paradigm for nanoscale information exchange in Internet of Bio-Nano Things (IoBNT) environments, offering intrinsic biocompatibility and potential for real-time in vivo monitoring. This study proposes a cascaded MC channel framework for vascular stenosis detection, which integrates non-Newtonian blood rheology, bell-shaped constriction geometry, and adsorption–desorption dynamics. Path delay and path loss are introduced as quantitative metrics to characterize how structural narrowing and molecular interactions jointly affect signal propagation. On this basis, a peak response time-based delay inversion method is developed to estimate both the location and severity of stenosis. COMSOL 6.2 simulations demonstrate high spatial resolution and resilience to measurement noise across diverse vascular configurations. By linking nanoscale transport dynamics with system-level detection, the approach establishes a tractable pathway for the early identification of vascular anomalies. Beyond theoretical modeling, the framework underscores the translational potential of MC-based diagnostics. It provides a foundation for non-invasive vascular health monitoring in IoT-enabled biomedical systems with direct relevance to continuous screening and preventive cardiovascular care. Future in vitro and in vivo studies will be essential to validate feasibility and support integration with implantable or wearable biosensing devices, enabling real-time, personalized health management. Full article
Show Figures

Figure 1

29 pages, 343 KB  
Review
Robert Rosen’s Relational Biology Theory and His Emphasis on Non-Algorithmic Approaches to Living Systems
by Patricia A. Lane
Mathematics 2024, 12(22), 3529; https://doi.org/10.3390/math12223529 - 12 Nov 2024
Cited by 2 | Viewed by 4536
Abstract
This paper examines the use of algorithms and non-algorithmic models in mathematics and science, especially in biology, during the past century by summarizing the gradual development of a conceptual rationale for non-algorithmic models in biology. First, beginning a century ago, mathematicians found it [...] Read more.
This paper examines the use of algorithms and non-algorithmic models in mathematics and science, especially in biology, during the past century by summarizing the gradual development of a conceptual rationale for non-algorithmic models in biology. First, beginning a century ago, mathematicians found it impossible to constrain mathematics in an algorithmic straitjacket via öö’s Incompleteness Theorems, so how would it be possible in biology? By the 1930s, biology was resolutely imitating classical physics, with biologists enforcing a reductionist agenda to expunge function, purpose, teleology, and vitalism from biology. Interestingly, physicists and mathematicians often understood better than biologists that mathematical representations of living systems required different approaches than those of dead matter. Nicolas Rashevsky, the Father of Mathematical Biology, and Robert Rosen, his student, pointed out that the complex systems of life cannot be reduced to machines or mechanisms as per the Newtonian paradigm. Robert Rosen concluded that living systems are not amenable to algorithmic models that are primarily syntactical. Life requires semantics for its description. Rashevsky and Rosen pioneered Relational Biology, initially using Graph Theory to model living systems. Later, Rosen created a metabolic–repair model (M, R)-system using Category Theory to encode the basic entailments of life itself. Although reductionism still dominates in current biology, several subsequent authors have built upon the Rashevsky–Rosen intellectual foundation and have explained, extended, and explored its ramifications. Algorithmic formulations have become increasingly inadequate for investigating and modeling living systems. Biology is shifting from a science of simple systems to complex ones. This transition will only be successful once mathematics fully depicts what it means to be alive. This paper is a call to mathematicians from biologists asking for help in doing this. Full article
(This article belongs to the Special Issue Non-algorithmic Mathematical Models of Biological Organization)
25 pages, 811 KB  
Article
Validating the Causal Relationship between Quantum Leadership and Employee Innovation Performance from the Perspective of Organizational Sustainability
by Han Cai, Lingfeng Zhu and Xiu Jin
Sustainability 2024, 16(18), 7884; https://doi.org/10.3390/su16187884 - 10 Sep 2024
Cited by 7 | Viewed by 4375
Abstract
In the quantum era, the rapid development of enterprises cannot be separated from the efforts of employees, and the improvement of employee performance is also closely related to the behavior and attitude of organizational leaders. Quantum leadership, as a new leadership paradigm, differs [...] Read more.
In the quantum era, the rapid development of enterprises cannot be separated from the efforts of employees, and the improvement of employee performance is also closely related to the behavior and attitude of organizational leaders. Quantum leadership, as a new leadership paradigm, differs from traditional Newtonian classical mechanics in that it emphasizes wholeness and interconnectedness, considers new ideas as the key to success, and values complex changes in the organizational environment, thus helping the organization provide sustainable development in the future. In addition, quantum leadership is able to manage in chaotic and potentially uncertain environments, encouraging employees to explore new ideas for solving problems, stimulating enthusiasm and motivation for innovation, and thus improving the level of employee performance. In particular, as the importance of innovation performance has been emphasized, it has been considered as a key variable in driving and promoting sustainable organizational development. Moreover, this study is different from previous studies that validate traditional leadership. We focus on an emerging type of leadership that distinguishes itself from traditional leadership—quantum leadership—which is a leadership model that is currently receiving a lot of attention. In the uncertain future environment, quantum leadership is gradually becoming a key factor for business growth and plays an important role in the survival and development of organizations in the future environment. Based on this research background, this study argues that quantum leadership is closely related to employee innovation performance. This study examines whether quantum leadership improves employee innovation performance and the sequential multiple mediating effects of organizational intelligence and knowledge sharing. Most of the previous studies focused only on the mediating or moderating role of the model. This study expands this area of research by incorporating the moderating role of innovative culture and validating its effects. This finding explores the development of quantum leadership and provides a theoretical foundation for related research. In addition, this study collected data from 345 employees of Chinese SMEs in the context of the fourth industrial revolution. These results suggest that quantum leadership positively affects innovation performance. Organizational intelligence and knowledge sharing have multiple serial mediating effects on quantum leadership and innovation performance. Moreover, the interaction between innovative culture and knowledge sharing improves employees’ innovation performance. Therefore, this study clarifies the causal relationship between quantum leadership and innovation performance through theoretical and validated research models. It lays the foundation for the sustainable development of organizations in the future. Full article
(This article belongs to the Special Issue Sustainability and Innovation in SMEs)
Show Figures

Figure 1

26 pages, 17785 KB  
Article
The κ-Model under the Test of the SPARC Database
by Gianni Pascoli
Universe 2024, 10(3), 151; https://doi.org/10.3390/universe10030151 - 21 Mar 2024
Cited by 4 | Viewed by 2504
Abstract
Our main goal here is to conduct a comparative analysis between the well-known MOND theory and a more recent model called the κ-model. An additional connection, between the κ-model and two other novel MOND-type theories, Newtonian Fractional-Dimension Gravity (NFDG) and Refracted [...] Read more.
Our main goal here is to conduct a comparative analysis between the well-known MOND theory and a more recent model called the κ-model. An additional connection, between the κ-model and two other novel MOND-type theories, Newtonian Fractional-Dimension Gravity (NFDG) and Refracted Gravity (RG), is likewise presented. All these models are built to overtake the DM paradigm, or at least to strongly reduce the dark matter content. Whereas they rely on different formalisms, however, all four seem to suggest that the universal parameter, a0, appearing in MOND theory could intrinsically be correlated to either the sole baryonic mean mass density (RG and κ-model) and/or to the dimension of the object under consideration (NFDG and κ-model). We then confer to parameter a0 a more flexible status of multiscale parameter, as required to explain the dynamics together in galaxies and in galaxy clusters. Eventually, the conformal gravity theory (CFT) also seems to have some remote link with the κ-model, even though the first one is an extension of general relativity, and the second one is Newtonian in essence. The κ-model has been tested on a small sample of spiral galaxies and in galaxy clusters. Now, we test this model on a large sample of galaxies issued from the SPARC database. Full article
(This article belongs to the Special Issue Universe: Feature Papers 2024—"Galaxies and Clusters")
Show Figures

Figure 1

19 pages, 1623 KB  
Article
Dark Matter in Fractional Gravity III: Dwarf Galaxies Kinematics
by Francesco Benetti, Andrea Lapi, Giovanni Gandolfi, Minahil Adil Butt, Yacer Boumechta, Balakrishna S. Haridasu and Carlo Baccigalupi
Universe 2023, 9(11), 478; https://doi.org/10.3390/universe9110478 - 8 Nov 2023
Cited by 4 | Viewed by 2219
Abstract
Recently, we put forward a framework where the dark matter (DM) component within virialized halos is subject to a non-local interaction originated by fractional gravity (FG) effects. In previous works, we demonstrated that such a framework can substantially alleviate the small-scale issues of [...] Read more.
Recently, we put forward a framework where the dark matter (DM) component within virialized halos is subject to a non-local interaction originated by fractional gravity (FG) effects. In previous works, we demonstrated that such a framework can substantially alleviate the small-scale issues of the standard ΛCDM paradigm, without altering the DM mass profile predicted by N-body simulations, and retaining its successes on large cosmological scales. In this paper, we investigate further, to probe FG via the high-quality data of individual dwarf galaxies, by exploiting the rotation velocity profiles inferred from stellar and gas kinematic measurements in eight dwarf irregulars, and the projected velocity dispersion profiles inferred from the observed dynamics of stellar tracers in seven dwarf spheroidals and in the ultra-diffuse galaxy DragonFly 44. We find that FG can reproduce extremely well the rotation and dispersion curves of the analyzed galaxies, performing in most instances significantly better than the standard Newtonian setup. Full article
(This article belongs to the Special Issue Universe: Feature Papers 2024—"Galaxies and Clusters")
Show Figures

Figure 1

30 pages, 3392 KB  
Review
Dark Coincidences: Small-Scale Solutions with Refracted Gravity and MOND
by Valentina Cesare
Universe 2023, 9(1), 56; https://doi.org/10.3390/universe9010056 - 16 Jan 2023
Cited by 3 | Viewed by 2625
Abstract
General relativity and its Newtonian weak field limit are not sufficient to explain the observed phenomenology in the Universe, from the formation of large-scale structures to the dynamics of galaxies, with the only presence of baryonic matter. The most investigated cosmological model, the [...] Read more.
General relativity and its Newtonian weak field limit are not sufficient to explain the observed phenomenology in the Universe, from the formation of large-scale structures to the dynamics of galaxies, with the only presence of baryonic matter. The most investigated cosmological model, the ΛCDM, accounts for the majority of observations by introducing two dark components, dark energy and dark matter, which represent ∼95% of the mass-energy budget of the Universe. Nevertheless, the ΛCDM model faces important challenges on the scale of galaxies. For example, some very tight relations between the properties of dark and baryonic matters in disk galaxies, such as the baryonic Tully–Fisher relation (BTFR), the mass discrepancy–acceleration relation (MDAR), and the radial acceleration relation (RAR), which see the emergence of the acceleration scale a01.2×1010 m s2, cannot be intuitively explained by the CDM paradigm, where cosmic structures form through a stochastic merging process. An even more outstanding coincidence is due to the fact that the acceleration scale a0, emerging from galaxy dynamics, also seems to be related to the cosmological constant Λ. Another challenge is provided by dwarf galaxies, which are darker than what is expected in their innermost regions. These pieces of evidence can be more naturally explained, or sometimes even predicted, by modified theories of gravity, that do not introduce any dark fluid. I illustrate possible solutions to these problems with the modified theory of gravity MOND, which departs from Newtonian gravity for accelerations smaller than a0, and with Refracted Gravity, a novel classical theory of gravity introduced in 2016, where the modification of the law of gravity is instead regulated by a density scale. Full article
(This article belongs to the Special Issue Modified Gravity and Dark Matter at the Scale of Galaxies)
Show Figures

Graphical abstract

19 pages, 1265 KB  
Article
On Low Hubble Expansion Rate from Planck Data Anomalies
by Abraão J. S. Capistrano, Luís A. Cabral, Carlos H. Coimbra-Araújo and José A. P. F. Marão
Galaxies 2022, 10(6), 118; https://doi.org/10.3390/galaxies10060118 - 19 Dec 2022
Viewed by 2735
Abstract
From the linear perturbations of Nash–Greene fluctuations of a background metric, we obtain profiles of Hubble function evolution H(z) and fσ8(z) measurements as compared with the ΛCDM results at intermediate redshifts [...] Read more.
From the linear perturbations of Nash–Greene fluctuations of a background metric, we obtain profiles of Hubble function evolution H(z) and fσ8(z) measurements as compared with the ΛCDM results at intermediate redshifts 0.1<z<1. For parameter estimation, we use joint data from Planck Cosmic Microwave Background (CMB) likelihoods of CMB temperature and polarization angular power spectra, Barionic Acoustic Oscillations (BAO) and local measurements of Hubble constant H0 from the Hubble Space Telescope (HST). We analyze the stability of the effective Newtonian constant Geff and its agreement with Big Bang Nucleosynthesis (BBN) constraints. We show that our results are highly compatible with the ΛCDM paradigm, rather extending the perspective for further studies on redshift-space galaxy clustering data. Moreover, we obtain the CMB TT angular spectra with the Integrated Sachs–Wolfe (ISW) effect, which is weakened on low-l scales. The resulting linear matter power spectrum P(k) profile is also compatible with ΛCDM results but somewhat degenerate with an early dark energy (DE) contribution. Finally, posing a dilemma to the solution of Hubble tension, our results indicate a low Hubble expansion rate suggesting possible anomalies in Planck data in consonance with the recent South Pole Telescope (SPT-3G) data. Full article
Show Figures

Figure 1

12 pages, 309 KB  
Article
Is There a Fourth Law for Non-Ergodic Systems That Do Work to Construct Their Expanding Phase Space?
by Stuart Kauffman
Entropy 2022, 24(10), 1383; https://doi.org/10.3390/e24101383 - 28 Sep 2022
Cited by 22 | Viewed by 4251
Abstract
Substantial grounds exist to doubt the universal validity of the Newtonian Paradigm that requires a pre-stated, fixed phase space. Therefore, the Second Law of Thermodynamics, stated only for fixed phase spaces, is also in doubt. The validity of the Newtonian Paradigm may stop [...] Read more.
Substantial grounds exist to doubt the universal validity of the Newtonian Paradigm that requires a pre-stated, fixed phase space. Therefore, the Second Law of Thermodynamics, stated only for fixed phase spaces, is also in doubt. The validity of the Newtonian Paradigm may stop at the onset of evolving life. Living cells and organisms are Kantian Wholes that achieve constraint closure, so do thermodynamic work to construct themselves. Evolution constructs an ever-expanding phase space. Thus, we can ask the free energy cost per added degree of freedom. That cost is roughly linear or sublinear in the mass constructed. However, the resulting expansion of the phase space is exponential or even hyperbolic. Thus, the evolving biosphere does thermodynamic work to construct itself into an ever-smaller sub-domain of its ever-expanding phase space at ever less free energy cost per added degree of freedom. The universe is not correspondingly disordered. Entropy, remarkably, really does decrease. A testable implication of this, termed here the Fourth Law of Thermodynamics, is that at constant energy input, the biosphere will construct itself into an ever more localized subregion of its ever-expanding phase space. This is confirmed. The energy input from the sun has been roughly constant for the 4 billion years since life started to evolve. The localization of our current biosphere in its protein phase space is at least 10–2540. The localization of our biosphere with respect to all possible molecules of CHNOPS comprised of up to 350,000 atoms is also extremely high. The universe has not been correspondingly disordered. Entropy has decreased. The universality of the Second Law fails. Full article
(This article belongs to the Section Thermodynamics)
22 pages, 11707 KB  
Article
Numerical Simulation and Experimental Study the Effects of Process Parameters on Filament Morphology and Mechanical Properties of FDM 3D Printed PLA/GNPs Nanocomposite
by Mingju Lei, Qinghua Wei, Mingyang Li, Juan Zhang, Rongbin Yang and Yanen Wang
Polymers 2022, 14(15), 3081; https://doi.org/10.3390/polym14153081 - 29 Jul 2022
Cited by 34 | Viewed by 4941
Abstract
The selection of optimal process parameters has a decisive effect on the quality of 3D printing. In this work, the numerical and experimental methods were employed to investigate the FDM printing deposition process of PLA/GNPs nanocomposite. The effect of process parameters on cross-sectional [...] Read more.
The selection of optimal process parameters has a decisive effect on the quality of 3D printing. In this work, the numerical and experimental methods were employed to investigate the FDM printing deposition process of PLA/GNPs nanocomposite. The effect of process parameters on cross-sectional morphology and dimension of the deposited filament, as well as the mechanical property of the FDM printed specimens were studied. The extrusion and the deposition process of the molten PLA/GNPs nanocomposite was simulated as a fluid flow by the paradigm of CFD, the effects of printing temperature and shear rate on thermal-physical properties, such as viscosity and surface tension, were considered in models. Under the assumptions of non-Newtonian fluid and creep laminar flow, the deposition flow was controlled by two key parameters: the nozzle temperature and the nozzle velocity. The numerical model was verified by experiments from four aspects of thickness, width, area, and compactness of the deposited PLA/GNPs nanocomposite filament cross-section. Both the numerical simulation and experiment results show that with the increase of nozzle temperature and nozzle velocity, the thickness, area, and compactness of the deposited filament decreases. While the width of deposited filament increased with the increase of nozzle temperature and decrease of nozzle velocity. The decrease in thickness and the increase in width caused by the change of process parameters reached 10.5% and 24.7%, respectively. The tensile strength of the printed PLA/GNPs specimen was about 61.8 MPa under the higher nozzle temperatures and velocity condition, an improvement of 18.6% compared to specimen with the tensile strength of 52.1 MPa under the lower nozzle temperatures and velocity condition. In addition, the experimental results indicated that under the low nozzle velocity and nozzle temperature condition, dimensional standard deviation of the printed specimens decreased by 52.2%, 62.7%, and 68.3% in X, Y, and Z direction, respectively. Full article
(This article belongs to the Special Issue Advances in 3D Printing of Polymer Composites)
Show Figures

Figure 1

21 pages, 405 KB  
Article
Modified Newtonian Gravity, Wide Binaries and the Tully-Fisher Relation
by Luis Acedo
Universe 2020, 6(11), 209; https://doi.org/10.3390/universe6110209 - 14 Nov 2020
Cited by 6 | Viewed by 3987
Abstract
A recent study of a sample of wide binary star systems from the Hipparcos and Gaia catalogues has found clear evidence of a gravitational anomaly of the same kind as that appearing in galaxies and galactic clusters. Instead of a relative orbital velocity [...] Read more.
A recent study of a sample of wide binary star systems from the Hipparcos and Gaia catalogues has found clear evidence of a gravitational anomaly of the same kind as that appearing in galaxies and galactic clusters. Instead of a relative orbital velocity decaying as the square root of the separation, ΔVr1/2, it was shown that an asymptotic constant velocity is reached for distances of order 0.1 pc. If confirmed, it would be difficult to accommodate this breakdown of Kepler’s laws within the current dark matter (DM) paradigm because DM does not aggregate in small scales, so there would be very little DM in a 0.1 pc sphere. In this paper, we propose a simple non-Newtonian model of gravity that could explain both the wide binaries anomaly and the anomalous rotation curves of galaxies as codified by the Tully-Fisher relation. The required extra potential can be understood as a Klein-Gordon field with a position-dependent mass parameter. The extra forces behave as 1/r on parsec scales and r on Solar system scales. We show that retrograde anomalous perihelion precessions are predicted for the planets. This could be tested by precision ephemerides in the near future. Full article
(This article belongs to the Special Issue Universe: 5th Anniversary)
Show Figures

Graphical abstract

17 pages, 7913 KB  
Article
Toward Interactions through Information in a Multifractal Paradigm
by Maricel Agop, Alina Gavriluț, Claudia Grigoraș-Ichim, Ștefan Toma, Tudor-Cristian Petrescu and Ștefan Andrei Irimiciuc
Entropy 2020, 22(9), 987; https://doi.org/10.3390/e22090987 - 4 Sep 2020
Cited by 3 | Viewed by 2758
Abstract
In a multifractal paradigm of motion, Shannon’s information functionality of a minimization principle induces multifractal–type Newtonian behaviors. The analysis of these behaviors through motion geodesics shows the fact that the center of the Newtonian-type multifractal force is different from the center of the [...] Read more.
In a multifractal paradigm of motion, Shannon’s information functionality of a minimization principle induces multifractal–type Newtonian behaviors. The analysis of these behaviors through motion geodesics shows the fact that the center of the Newtonian-type multifractal force is different from the center of the multifractal trajectory. The measure of this difference is given by the eccentricity, which depends on the initial conditions. In such a context, the eccentricities’ geometry becomes, through the Cayley–Klein metric principle, the Lobachevsky plane geometry. Then, harmonic mappings between the usual space and the Lobachevsky plane in a Poincaré metric can become operational, a situation in which the Ernst potential of general relativity acquires a classical nature. Moreover, the Newtonian-type multifractal dynamics, perceived and described in a multifractal paradigm of motion, becomes a local manifestation of the gravitational field of general relativity. Full article
(This article belongs to the Special Issue Ring, Phases, Self-Similarity, Disorder, Entropy, Information)
Show Figures

Figure 1

17 pages, 4248 KB  
Article
Non-Linear Behaviors of Transient Periodic Plasma Dynamics in a Multifractal Paradigm
by Stefan-Andrei Irimiciuc, Alexandra Saviuc, Florin Tudose-Sandu-Ville, Stefan Toma, Florin Nedeff, Cristina Marcela Rusu and Maricel Agop
Symmetry 2020, 12(8), 1356; https://doi.org/10.3390/sym12081356 - 13 Aug 2020
Cited by 8 | Viewed by 2710
Abstract
In a multifractal paradigm of motion, nonlinear behavior of transient periodic plasmas, such as Schrodinger and hydrodynamic-type regimes, at various scale resolutions are represented. In a stationary case of Schrodinger-type regimes, the functionality of “hidden symmetry” of the group SL (2R) is implied [...] Read more.
In a multifractal paradigm of motion, nonlinear behavior of transient periodic plasmas, such as Schrodinger and hydrodynamic-type regimes, at various scale resolutions are represented. In a stationary case of Schrodinger-type regimes, the functionality of “hidden symmetry” of the group SL (2R) is implied though Riccati–Gauge different “synchronization modes” among period plasmas’ structural units. These modes, expressed in the form of period doubling, damped oscillations, quasi-periodicity, intermittences, etc., mimic the various non-linear behaviors of the transient plasma dynamics similar to chaos transitions scenarios. In the hydrodynamic regime, the non-Newtonian behavior of the transient plasma dynamics can be corelated with the viscous tension tensor of the multifractal type. The predictions given by our theoretical model are confronted with experimental data depicting electronic and ionic oscillatory dynamics seen by implementing the Langmuir probe technique on transient plasmas generated by ns-laser ablation of nickel and manganese targets. Full article
(This article belongs to the Special Issue Scale Relativity and Fractal Space-Time Theory)
Show Figures

Figure 1

10 pages, 222 KB  
Article
Answering Schrödinger’s “What Is Life?”
by Stuart Kauffman
Entropy 2020, 22(8), 815; https://doi.org/10.3390/e22080815 - 25 Jul 2020
Cited by 29 | Viewed by 9422
Abstract
In his “What Is Life?” Schrödinger poses three questions: (1) What is the source of order in organisms? (2) How do organisms remain ordered in the face of the Second Law of Thermodynamics? (3) Are new laws of physics required? He answers his [...] Read more.
In his “What Is Life?” Schrödinger poses three questions: (1) What is the source of order in organisms? (2) How do organisms remain ordered in the face of the Second Law of Thermodynamics? (3) Are new laws of physics required? He answers his first question with his famous “aperiodic solid”. He leaves his second and third questions unanswered. I try to show that his first answer is also the answer to his second question. Aperiodic solids such as protein enzymes are “boundary conditions” that constrain the release of energy into a few degrees of freedom in non-equilibrium processes such that thermodynamic work is done. This work propagates and builds structures and controls processes. These constitute his causally efficacious “code script” controlling development. The constrained release of energy also delays the production of entropy that can be exported from cells as it forms. Therefore, cells remain ordered. This answers his second question. However, “What is life?” must also ask about the diachronic evolution of life. Here, the surprising answer to this extended version of Schrödinger’s third question is that there are no new entailing laws of physics. No laws at all entail the evolution of ours or any biosphere. Full article
(This article belongs to the Special Issue Thermodynamics and Information Theory of Living Systems)
Back to TopTop