Sign in to use this feature.

Years

Between: -

Subjects

remove_circle_outline
remove_circle_outline
remove_circle_outline
remove_circle_outline
remove_circle_outline
remove_circle_outline
remove_circle_outline
remove_circle_outline
remove_circle_outline

Journals

Article Types

Countries / Regions

remove_circle_outline
remove_circle_outline
remove_circle_outline

Search Results (118)

Search Parameters:
Keywords = N supply ability

Order results
Result details
Results per page
Select all
Export citation of selected articles as:
15 pages, 1003 KB  
Article
Impact of the Nitrogen on Nutrient Dynamics in Soybean–Grass Intercropping in a Degraded Pasture Area
by Karina Batista, Mayne Barboza Sarti, Laíze Aparecida Ferreira Vilela, Ricardo Alexander Peña Venegas and Gerardo Ojeda
Plants 2025, 14(21), 3372; https://doi.org/10.3390/plants14213372 - 4 Nov 2025
Viewed by 260
Abstract
The development of an efficient agricultural system depends on the correct choice of crops and the management of nutrient supply and distribution within the system. This study aimed to determine how nitrogen (N) rates applied to rows of maize and tropical grass during [...] Read more.
The development of an efficient agricultural system depends on the correct choice of crops and the management of nutrient supply and distribution within the system. This study aimed to determine how nitrogen (N) rates applied to rows of maize and tropical grass during the autumn–winter season (previous crop) influence subsequent intercropped plants. Treatments were arranged in a randomized complete block design with a split-plot scheme and four replications. The main plots comprised three cropping systems: soybean monoculture, soybean intercropped with Aruana Guinea grass (Megathyrsus maximus cv. Aruana), and soybean intercropped with Congo grass (Urochloa ruziziensis cv. Comum). The subplots consisted of four N rates (0, 50, 100, and 150 kg ha−1) applied to the rows of maize and tropical grass during the previous crop. Macronutrient accumulation and efficiency indices were determined for intercropped plants. Aruana Guinea grass increased the accumulation of N, phosphorus (P), potassium (K), and sulphur (S) in the soybean crop. N applied to the previous crop negatively affected the accumulation of P, K, and S in soybean monoculture. The maximum physiological efficiency of soybean was related to N supply. The efficiency indices for Aruana Guinea grass highlighted its ability to recover residual N applied to the previous crop. Full article
Show Figures

Figure 1

28 pages, 7431 KB  
Article
Coupled Burst and Fracture Failure Characteristics of Unbonded Flexible Riser Under Internal Pressure and Axial Tension
by Yi Liu, Qitao Wu, Jiawei He, Qingsheng Liu, Ming Li and Gang Wang
J. Mar. Sci. Eng. 2025, 13(10), 1866; https://doi.org/10.3390/jmse13101866 - 26 Sep 2025
Viewed by 314
Abstract
Unbonded flexible risers, which can experience large bending deformation, are key equipment in advancing deep-sea exploration for marine resources. However, the riser experiences coupled loading effects from ocean environment. This results in complex response characteristics, leading to potential damage or even destruction. By [...] Read more.
Unbonded flexible risers, which can experience large bending deformation, are key equipment in advancing deep-sea exploration for marine resources. However, the riser experiences coupled loading effects from ocean environment. This results in complex response characteristics, leading to potential damage or even destruction. By presenting an analytical–numerical framework, this study uncovers the mechanism underlying the coupled failure of the pressure- and tensile-armor layers, furnishes a new tension–pressure coupled failure boundary for the ultimate-limit-state design of deep-water risers, and supplies the corresponding theoretical verification. Firstly, based on the axisymmetric load assumption, a theoretical model is proposed based on principle of functionality; afterwards, the failure model is defined by considering the material elastoplasticity. Secondly, a full-layered numerical model with detailed geometric properties is established; meanwhile, a simplified 7-layer model without a carcass layer is constructed for comparison. Finally, after verified through experimental data and interactive verification of theoretical and numerical methods, the simplified numerical model is proved to have calculation accuracy and validity. The characteristics are studied by the proposed methods. The comparison results show that the pre-applied internal pressure has limited influence on the axial stiffness of unbonded flexible rise. The initial axial tension would enhance the anti-burst failure ability of unbonded flexible riser, the failure pressure increases by 35% when the tensile force is 500 kN. Full article
(This article belongs to the Special Issue Advanced Research in Flexible Riser and Pipelines)
Show Figures

Figure 1

16 pages, 531 KB  
Article
Medium Matters? Comprehension and Lexical Processing in Digital and Printed Narrative Texts in Good and Poor Comprehenders
by Elisabetta Lombardo, Ambra Fastelli, Sara Gaudio and Paola Bonifacci
Educ. Sci. 2025, 15(8), 989; https://doi.org/10.3390/educsci15080989 - 3 Aug 2025
Viewed by 1718
Abstract
The present study examined differences in reading comprehension performance between good and poor comprehenders, across paper-based and computer-based formats. The sample consisted of 197 students (Mage = 10.9, SDage = 1.22), categorized into three groups based on their reading comprehension proficiency: [...] Read more.
The present study examined differences in reading comprehension performance between good and poor comprehenders, across paper-based and computer-based formats. The sample consisted of 197 students (Mage = 10.9, SDage = 1.22), categorized into three groups based on their reading comprehension proficiency: good (n = 73), average (n = 90), and poor (n = 33). Using a pseudo-randomized within-subjects design, participants read two texts and completed both a cloze task and a proofreading task in paper and digital formats. Results showed that poor comprehenders consistently performed worse on both tasks; however, group performances were not influenced by the modality. Both tasks required more time in the digital modality and were associated with greater calibration bias. In the proof-reading task, nouns and adjectives were more difficult to retrieve than verbs and function words, whereas in the cloze task, function words were the easiest to supply. The discussion emphasizes the need to account the for task type and linguistic complexity when evaluating comprehension. Importantly, the lack of interaction between reading proficiency and modality suggests that digital assessments are comparably effective and reliable across different levels of reading ability. Full article
(This article belongs to the Special Issue Digital Literacy Environments and Reading Comprehension)
Show Figures

Figure 1

19 pages, 2795 KB  
Article
PCA- and PLSR-Based Machine Learning Model for Prediction of Urea-N Content in Heterogeneous Soils Using Near-Infrared Spectroscopy
by Damiano Crescini, Gabriele Mascialino, Nicola Moggia, Giordano Piubeni, Mauro Serpelloni and Emilio Sardini
Sensors 2025, 25(13), 4176; https://doi.org/10.3390/s25134176 - 4 Jul 2025
Viewed by 703
Abstract
Determining the soil’s nitrogen supply accurately and quickly is essential for effective agricultural management. This study explores the use of near-infrared (NIR) spectroscopy combined with spectral pre-processing techniques (such as Savitzky–Golay filtering) and partial least squares regression (PLSR) to assess soil nitrogen levels. [...] Read more.
Determining the soil’s nitrogen supply accurately and quickly is essential for effective agricultural management. This study explores the use of near-infrared (NIR) spectroscopy combined with spectral pre-processing techniques (such as Savitzky–Golay filtering) and partial least squares regression (PLSR) to assess soil nitrogen levels. Six soil types of varying compositions, treated with different levels of Urea-N fertilizer, were examined. Nitrogen-specific NIR peaks were identified, and regression models were consequently developed. Through a comparison of the performance of the models, the most effective model for nitrogen detection was selected. In calibration, the models performed well, with high R2 (over 0.9) and low root mean square error (RMSE) values. The second derivative-based (SD) model slightly outperformed the first derivative-based (FD) model in terms of accuracy. Both models showed minimal bias, indicating reliable performance. During validation, the FD model outperformed the SD model in terms of R2, root mean square error of prediction (RMSEP), and residual prediction deviation (RPD). Thus, the FD model demonstrated good predictive ability (R2 = 0.77, RPD = 2.06), while the SD model was less effective (R2 = 0.65, RPD = 1.77). Compared to previous studies, this study uniquely combines real-time online detection capability with low computational cost, unlike most prior offline approaches, and includes model validation across various soil types. Overall, NIR spectroscopy coupled with multivariate models proves to be a promising tool for the detection of nitrogen levels in various soils. Full article
(This article belongs to the Section Physical Sensors)
Show Figures

Figure 1

14 pages, 2166 KB  
Article
Short-Term Nitrogen Enrichment Reshapes Carbon Allocation and Enhances Synergistic Ecosystem Services in Semi-Arid Sandy Grasslands in China
by Litao Lin, Huiyi Yu, Xuekai Sun, Guiyan Ai and Jie Bai
Plants 2025, 14(13), 1915; https://doi.org/10.3390/plants14131915 - 22 Jun 2025
Cited by 1 | Viewed by 603
Abstract
The capacity to develop resilience to global change, such as nitrogen deposition, is an important topic for the management of key ecological functional zones. In this study, nitrogen enrichment (10 g N m−2 yr−1, NE) and control plots (0 g [...] Read more.
The capacity to develop resilience to global change, such as nitrogen deposition, is an important topic for the management of key ecological functional zones. In this study, nitrogen enrichment (10 g N m−2 yr−1, NE) and control plots (0 g N m−2 yr−1, CL), each with eight replications, were randomly established in the Horqin Sandy Land to investigate how grassland carbon sequestration functions and herdsmen’s livelihoods respond to nitrogen deposition. In addition, three grazing scenarios (non-grazing, light grazing, and moderate grazing) were simulated to determine whether human activities affect the relationships (trade-off vs. synergistic) among forage supply, carbon sequestration, and windbreak and sand-fixing services under nitrogen deposition. The results showed that NE exhibited a significant increase in aboveground carbon storage (99.40 g C m−2, 117.34%) and the shoot carbon/root carbon ratio (1.90) when compared to the CL (0.95) (p < 0.05). NE significantly decreased soil carbon storage ability, particularly in the 10–30 cm soil layer (p < 0.05). The reduction in soil carbon storage was offset by increases in plant carbon storage, resulting in a neutral effect of the NE treatment on the total grassland carbon storage (p > 0.05). The synergistic effects of NE on grassland forage supply and windbreak and sand-fixing functions were observed under a light grazing scenario, which balanced ecological safety and livelihood more effectively than the non-grazing and moderate grazing scenarios. These findings indicate that the structure of grassland carbon storage is influenced by nitrogen deposition and that light grazing would enhance ecosystem services and promote sustainable grassland development. Full article
Show Figures

Figure 1

18 pages, 6047 KB  
Article
Response of Photosynthesis and Chlorophyll Fluorescence to Nitrogen Changes in Rice with Different Nitrogen Use Efficiencies
by Zexin Qi, Chen Xu, Rui Tang, Qiang Zhang, Wenzheng Sun, Chenglong Guan, Ye Wang, Mengru Zhang, Jiale Ding, Yuankai Zhang, Hong Yang, Ying Yang, Xiaolong Liu, Zhian Zhang and Fenglou Ling
Plants 2025, 14(10), 1465; https://doi.org/10.3390/plants14101465 - 14 May 2025
Viewed by 1453
Abstract
Nitrogen is a key element in promoting crop growth and development and improving photosynthesis. This study aimed to study the response of two rice genotypes to the restoration of N supply after varying periods of N deficiency. We used the low-nitrogen-tolerant rice Jijing [...] Read more.
Nitrogen is a key element in promoting crop growth and development and improving photosynthesis. This study aimed to study the response of two rice genotypes to the restoration of N supply after varying periods of N deficiency. We used the low-nitrogen-tolerant rice Jijing 88 (JJ 88) and the nitrogen-sensitive rice variety Xinong 999 (XN 999) as test materials. The results of this study indicated that, compared to XN 999, JJ 88 has a higher content of the photosynthetic pigments. Photosynthesis in JJ 88 has strong adaptability under low-nitrogen conditions. Upon an increase in the nitrogen supply level, the maximum regeneration rate of ribulose biphosphate (RuBP, Jmax) and the maximum carboxylation rate of RuBP (Vcmax) in JJ 88 showed a relatively large increase. The chlorophyll fluorescence parameters, including the effective quantum yield of photosystem II (ΦPSII), the efficiency of excitation capture by open PSII centers (Fv′/Fm′), photochemical fluorescence quenching (qP), and the electron transfer rate (ETR) decreased slightly, while the non-photochemical fluorescence quenching (NPQ) increased slightly. Under low-nitrogen conditions, low-nitrogen-tolerant rice varieties maintain reasonable growth during the seedling stage. With an increase in the nitrogen supply level, the dry matter accumulation, photosynthetic pigment content, photosynthesis, and electron transfer ability of plants improve, but not to normal nitrogen supply levels. However, compared with XN 999, JJ 88 has a more proactive recovery ability. The research results provide valuable guidance for the breeding of nitrogen-efficient rice varieties and nitrogen fertilizer management. Full article
(This article belongs to the Special Issue Advances in Nitrogen Nutrition in Plants)
Show Figures

Figure 1

15 pages, 4198 KB  
Article
Optimization and Benchmarking of RT-LAMP-CRISPR-Cas12a for the Detection of SARS-CoV-2 in Saliva
by Courtney R. H. Lynch, Revel S. M. Drummond, Lauren Jelley, Lauren Baker, Erasmus Smit, Rachel Fleming and Craig Billington
Int. J. Mol. Sci. 2025, 26(5), 1806; https://doi.org/10.3390/ijms26051806 - 20 Feb 2025
Cited by 2 | Viewed by 2272
Abstract
Resource-limited settings and supply chain difficulties faced throughout the COVID-19 pandemic prompted the development of rapid and alternative methods of detecting SARS-CoV-2. These methods include reverse-transcription loop-mediated isothermal amplification (RT-LAMP), reverse-transcription recombinase polymerase amplification (RT-RPA), and CRISPR-Cas12a fluorescence detection. We describe RT-LAMP, RT-RPA, [...] Read more.
Resource-limited settings and supply chain difficulties faced throughout the COVID-19 pandemic prompted the development of rapid and alternative methods of detecting SARS-CoV-2. These methods include reverse-transcription loop-mediated isothermal amplification (RT-LAMP), reverse-transcription recombinase polymerase amplification (RT-RPA), and CRISPR-Cas12a fluorescence detection. We describe RT-LAMP, RT-RPA, and CRISPR-Cas12a assays for the detection of the N and E-gene amplicons of SARS-CoV-2 and the optimization of various assay components, including incubation temperatures, Cas12a enzymes, reporter molecules, and the use of a lyophilized RT-LAMP master mix. We also describe the testing of a one-tube RT-LAMP-CRISPR-Cas12a assay. The one-tube assay showed promise in reducing hands-on time and improving time-to-result. We found no improvements in assay sensitivity with RT-RPA, but did achieve detection at a lower copy number with the lyophilized RT-LAMP master mix compared to liquid reagent (50 vs. 100 copies at 20 min). When used to detect the presence of SARS-CoV-2 RNA in clinical saliva samples from 75 infected patients, the discriminatory ability of the optimized RT-LAMP-CRISPR Cas12a assay was found to be comparable with RT-qPCR, with a minor reduction in sensitivity. Full article
(This article belongs to the Section Molecular Pathology, Diagnostics, and Therapeutics)
Show Figures

Figure 1

23 pages, 4088 KB  
Article
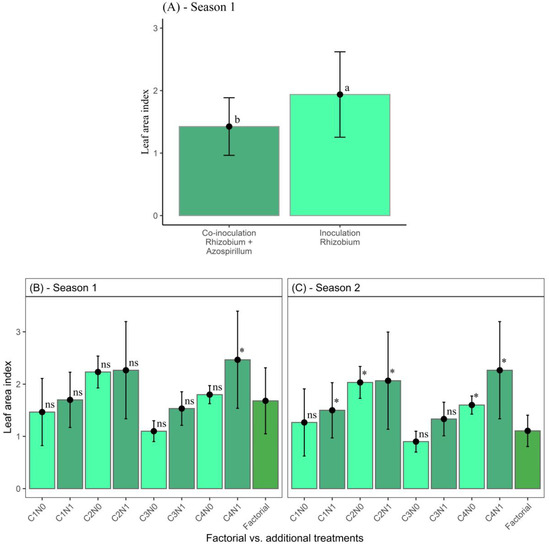
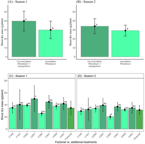
Impact of the Application of Rhizobacteria in Bean Cultivars: Potential for Sustainable Management
by Guilherme Romão Silva, Itamar Rosa Teixeira, Alexandre Braz Ferreira, Gisele Carneiro da Silva, Ednaldo Cândido Rocha, Fenelon Lourenço Sousa Santos, Maurilio Rosa Benício Neto, Nathan Mickael de Bessa Cunha and Derblai Casaroli
Agronomy 2025, 15(2), 377; https://doi.org/10.3390/agronomy15020377 - 31 Jan 2025
Cited by 1 | Viewed by 1213
Abstract
The use of bacterial inoculants has great potential to improve yield and sustainability; however, application forms still face bottlenecks, such as the standardization of methods and compatibility with different varieties of bean. The objective of this study was to evaluate the growth and [...] Read more.
The use of bacterial inoculants has great potential to improve yield and sustainability; however, application forms still face bottlenecks, such as the standardization of methods and compatibility with different varieties of bean. The objective of this study was to evaluate the growth and yield of bean cultivars subjected to inoculation and co-inoculation with rhizobacteria. The experiments were carried out using a randomized block design, with three replicates. Treatments consisted of four bean cvs. (BRS FC 402, BRS Estilo, BRS Pitanga, and BRS Esteio), subjected to inoculation with Rhizobium and co-inoculation with Azospirillum, applied to seed or soil, plus eight additional treatments with a mineral N source and its absence (control) for each cvs. The use of co-inoculation of R. tropici with A. brasilense promoted an improvement in the morphophysiological and agronomic characteristics, attributed to the ability of rhizobial bacteria to supply nitrogen to plants and to Azospirillum through hormonal action. The cvs. BRS Estilo and BRS Esteio had the best grain yields when co-inoculated via soil, 2049 and 1831 kg ha−1, respectively. Co-inoculation with R. tropici + A. brasilense applied to the soil can be used as an exclusive source of N supply in the bean, contributing to lower costs and more sustainable production. Full article
(This article belongs to the Section Soil and Plant Nutrition)
Show Figures

Figure 1

21 pages, 1937 KB  
Article
UK Patient Access to Low-Protein Prescription Foods in Phenylketonuria (PKU): An Uneasy Path
by Sharon Evans, Cameron Arbuckle, Catherine Ashmore, Sarah Bailey, Giana Blaauw, Wahid Chaudhry, Clare Dale, Anne Daly, Breanna Downey, Jane Dundas, Charlotte Ellerton, Suzanne Ford, Lisa Gaff, Joanna Gribben, Anne Grimsley, Melanie Hill, Laura Murphy, Camille Newby, Natalia Oxley, Rachel Pereira, Alex Pinto, Rachel Skeath, Alexa Sparks, Simon Tapley, Allyson Terry, Georgina Wood, Alison Woodall, Katie Yeung and Anita MacDonaldadd Show full author list remove Hide full author list
Nutrients 2025, 17(3), 392; https://doi.org/10.3390/nu17030392 - 22 Jan 2025
Viewed by 2573
Abstract
Background: Special low-protein foods are essential in the dietary treatment of phenylketonuria (PKU). In the UK, these are available on prescription through the General Practitioners (GPs) and distributed via nutritional home delivery companies or pharmacies. Methods: A 58-item online non-validated semi-structured questionnaire was [...] Read more.
Background: Special low-protein foods are essential in the dietary treatment of phenylketonuria (PKU). In the UK, these are available on prescription through the General Practitioners (GPs) and distributed via nutritional home delivery companies or pharmacies. Methods: A 58-item online non-validated semi-structured questionnaire was emailed to British Inherited Metabolic Disease Group (BIMDG) dietitians and dietetic support workers (DSW)/administrators working in PKU to ascertain the main system issues and errors with the supply of low-protein prescription foods (LPPF). Results: 73% (n = 53/73) of dietitians and 72% (n = 18/25) of DSW/administrators responded. A total of 80 questionnaires (representing 44 paediatric and 36 adult PKU centres) were completed. A total of 50% (n = 40/80) of respondents reported patient/caregiver problems accessing LPPF at least weekly. The most common problems were unavailable products (82%), missing LPPF in deliveries (79%), and delayed deliveries (66%). For 64% of respondents, >25% of their patients had recurring problems accessing LPPF, and 69% of respondents spent ≥1 h/week and 11% >5 h/week correcting LPPF patient supply issues. The most common foods patients experienced supply issues with were bread (96%), pasta/rice (41%) and milk replacements (35%). This was associated with GP prescription errors (65%), LPPF prescriptions sent to incorrect dispensers/suppliers (60%), and manufacturer supply issues (54%). Problems with patients/caregivers included not ordering LPPF in a timely way (81%), not responding to messages from home delivery companies (73%) and poor understanding of the ordering process (70%). The majority (93%) of respondents reported that prescription issues impacted their patients’ blood Phe control. Suggestions for improving access to LPPF included centralisation of the system to one supplier (76%) and apps for ordering LPPF (69%). Conclusions: The supply of LPPF for PKU in the UK is problematic; it may adversely affect the ability of patients to adhere to dietary management, and a review investigating patient access to LPPF is urgently required. Full article
(This article belongs to the Special Issue Diet and Nutrition: Metabolic Diseases (2nd Edition))
Show Figures

Figure 1

11 pages, 2265 KB  
Article
Graphene-Based, Flexible, Wearable Piezoresistive Sensors with High Sensitivity for Tiny Pressure Detection
by Rui Li, Jiahao Hu, Yalong Li, Yi Huang, Lin Wang, Mohan Huang, Zhikun Wang, Junlang Chen, Yan Fan and Liang Chen
Sensors 2025, 25(2), 423; https://doi.org/10.3390/s25020423 - 13 Jan 2025
Cited by 3 | Viewed by 3963
Abstract
Flexible, wearable, piezoresistive sensors have significant potential for applications in wearable electronics and electronic skin fields due to their simple structure and durability. Highly sensitive, flexible, piezoresistive sensors with the ability to monitor laryngeal articulatory vibration supply a new, more comfortable and versatile [...] Read more.
Flexible, wearable, piezoresistive sensors have significant potential for applications in wearable electronics and electronic skin fields due to their simple structure and durability. Highly sensitive, flexible, piezoresistive sensors with the ability to monitor laryngeal articulatory vibration supply a new, more comfortable and versatile way to aid communication for people with speech disorders. Here, we present a piezoresistive sensor with a novel microstructure that combines insulating and conductive properties. The microstructure has insulating polystyrene (PS) microspheres sandwiched between a graphene oxide (GO) film and a metallic nanocopper-graphene oxide (n-Cu/GO) film. The piezoresistive performance of the sensor can be modulated by controlling the size of the PS microspheres and doping degree of the copper nanoparticles. The sensor demonstrates a high sensitivity of 232.5 kPa−1 in a low-pressure range of 0 to 0.2 kPa, with a fast response of 45 ms and a recovery time of 36 ms, while also exhibiting excellent stability. The piezoresistive performance converts subtle laryngeal articulatory vibration into a stable, regular electrical signal; in addition, there is excellent real-time monitoring capability of human joint movements. This work provides a new idea for the development of wearable electronic devices, healthcare, and other fields. Full article
(This article belongs to the Section Nanosensors)
Show Figures

Figure 1

18 pages, 1469 KB  
Article
Exploring the Potential of Candida sp. SW4-6 as a Probiotic for Enhancing Water Quality in Aquaculture
by Jie-Ying Li and Chun-Hung Liu
Microorganisms 2025, 13(1), 42; https://doi.org/10.3390/microorganisms13010042 - 29 Dec 2024
Cited by 3 | Viewed by 1377
Abstract
Aquaculture, a vital industry supplying a significant portion of the world’s seafood, faces challenges such as the deterioration of the aquaculture environment. The objective of this study was to isolate and identify microorganisms with the capacity to eliminate nitrite in water from shrimp [...] Read more.
Aquaculture, a vital industry supplying a significant portion of the world’s seafood, faces challenges such as the deterioration of the aquaculture environment. The objective of this study was to isolate and identify microorganisms with the capacity to eliminate nitrite in water from shrimp ponds and evaluate their potential as probiotics to improve water quality. Additionally, the study also determines the ideal conditions for the probiotic to effectively reduce nitrite-N and ammonia-N. Water samples were collected from four shrimp ponds (SW1, SW2, SW3, SW4) and isolates were obtained. Among all the samples, SW4 was the most effective in reducing the concentration of nitrite-N. Upon further isolation of SW4, the strain SW4-W6 showed significant nitrite-N reduction capabilities compared to the 19 other isolates tested. Through morphological, genetic (ITS sequence), and phylogenetic analyses, strain SW4-6 was identified as Candida sp. The isolation of Candida sp. SW4-6 showed superior nitrite-N and ammonia-N reduction capabilities, with sucrose as the carbon source and complete reduction observed at a C/N ratio of 15–20. Gene expression analysis revealed the up-regulation of nitrite reductase in SW4-6 after inoculation, with significantly higher expression observed with sucrose as the carbon source. Salinity and temperature significantly influenced nitrite-N and ammonia-N reduction by SW4-6, with higher temperatures (30 °C) and 0% NaCl favoring faster reduction rates. Candida sp. SW4-6 emerges as a promising probiotic candidate for aquaculture water quality management due to its efficient nitrite-N and ammonia-N reduction capabilities under optimal conditions. Its virulence profile and ability to thrive across various salinity and temperature conditions further support its potential applicability in aquaculture. Full article
(This article belongs to the Special Issue Probiotic Applications in Aquaculture)
Show Figures

Figure 1

16 pages, 1913 KB  
Article
Ecophysiological and Molecular Analysis of Contrasting Genotypes for Leaf Senescence in Sunflower (Helianthus annuus L.) Under Differential Doses of N in Soil
by Daniela E. Becheran, Melanie A. Corzo, Edmundo L. Ploschuk, Salvador Nicosia, Sebastian Moschen, Sofia Bengoa Luoni, Julio Di Rienzo, Nicolas Heinz, Daniel Álvarez and Paula Fernandez
Plants 2024, 13(24), 3540; https://doi.org/10.3390/plants13243540 - 18 Dec 2024
Cited by 1 | Viewed by 1370
Abstract
Leaf senescence in plants is the last stage of leaf development and is characterized by a decline in photosynthetic activity, an active degeneration of cellular structures, and the recycling of accumulated nutrients to areas of active growth, such as buds, young leaves, flowers, [...] Read more.
Leaf senescence in plants is the last stage of leaf development and is characterized by a decline in photosynthetic activity, an active degeneration of cellular structures, and the recycling of accumulated nutrients to areas of active growth, such as buds, young leaves, flowers, fruits, and seeds. This process holds economic significance as it can impact yield, influencing the plant’s ability to maintain an active photosynthetic system during prolonged periods, especially during the grain filling stage, which affects plant weight and oil content. It can be associated with different stresses or environmental conditions, manifesting itself widely in the context of climate change and limiting yield, especially in crops of agronomic relevance. In this work, we study the stability of two widely described sunflower (Helianthus annuus L.) genotypes belonging to the INTA Breeding Program against differential N conditions, to verify their yield stability in control conditions and under N supply. Two inbred lines were utilized, namely R453 (early senescence) and B481-6 (late senescence), with contrasting nitrogen availability in the soil but sharing the same ontogeny cycle length. It was observed that, starting from R5.5, the B481-6 genotype not only delayed senescence but also exhibited a positive response to increased nitrogen availability in the soil. This response included an increase in intercepted radiation, resulting in a statistically significant enhancement in grain yield. Conversely, the R453 genotype did not show significant differences under varying nitrogen availability and exhibited a tendency to decrease grain yield when nitrogen availability was increased. The response to nitrogen can vary depending on the specific genotype. Full article
Show Figures

Figure 1

17 pages, 2748 KB  
Article
Availability of Recycled Phosphorus on Biochar Reacted with Wastewater to Support Growth of Lactuca sativa
by Kavya Laxmisagara Sagar, Daniel G. Strawn, Alex R. Crump, Martin Baker and Gregory Möller
Soil Syst. 2024, 8(3), 93; https://doi.org/10.3390/soilsystems8030093 - 28 Aug 2024
Cited by 1 | Viewed by 1532
Abstract
The use of biochar in water resource and recovery facilities (WRRF) shows promise for recovery of phosphorus (P) to use as a biochar-based fertilizer (BBF) that can replace conventional fertilizers, promote carbon sequestration, and improve soil quality. In this study, biochar was recovered [...] Read more.
The use of biochar in water resource and recovery facilities (WRRF) shows promise for recovery of phosphorus (P) to use as a biochar-based fertilizer (BBF) that can replace conventional fertilizers, promote carbon sequestration, and improve soil quality. In this study, biochar was recovered after being dosed into secondary-treated discharge from a municipal WRRF. The value of the recovered biochar as a BBF was tested in a lettuce (Lactuca sativa) growth trial. The BBF was compared to an inorganic fertilizer, raw biochar, and controls that had either only nitrogen (N) fertilizer or no amendment. The ability of the treatments to support plant growth was determined by measuring plant height, biomass, leaf tissue total N and P concentration, and plant quality. Plant quality for the Fe-modified biochar used in the WRRF was 9.05 (±0.44) on a 10-point scale compared to 9.61 (±0.46) for the inorganic fertilizer treatment and 2.22 (±0.82) for the untreated control. Plant tissue P concentrations were 6.28 (±0.83), 9.88 (±0.90), 15.46 (±2.54), and 6.36 (±1.91) g plant−1 for the raw biochar, Fe-modified biochar used in the WRRF, inorganic fertilizer, and no amendment treatments, respectively. Soil P availability and P uptake amount in the leaves indicated that the BBF released P more slowly than the inorganic P fertilizer; however, it was sufficiently available for uptake to support plant growth to maturity. Results from these experiments show that Fe-modified biochar used in WRRF can supply adequate P to plants. The slow release will reduce P leaching into surface waters. Full article
Show Figures

Figure 1

16 pages, 1466 KB  
Article
Assessing the Impact of On-Farm Biosecurity Coaching on Farmer Perception and Farm Biosecurity Status in Belgian Poultry Production
by Arthi Amalraj, Hilde Van Meirhaeghe, Ilias Chantziaras and Jeroen Dewulf
Animals 2024, 14(17), 2498; https://doi.org/10.3390/ani14172498 - 28 Aug 2024
Cited by 7 | Viewed by 2615
Abstract
Veterinary coaching was tested to assess its efficacy in promoting adherence to biosecurity procedures. Poultry farmers (n = 13) in Belgium were profiled using ADKAR®, coached and audited prior to and 6 months after coaching. The ADKAR® (Awareness, Desire, [...] Read more.
Veterinary coaching was tested to assess its efficacy in promoting adherence to biosecurity procedures. Poultry farmers (n = 13) in Belgium were profiled using ADKAR®, coached and audited prior to and 6 months after coaching. The ADKAR® (Awareness, Desire, Knowledge, Ability, and Reinforcement) profiling technique identified 5/13 participating farmers with relatively low scores (≤3) for one or more elements that block change (biosecurity compliance in this case). Education was the only demographic variable that influenced knowledge scores. Through the Biocheck.UgentTM methodology, farm biosecurity was assessed and benchmarked to allow for tailored guidance. The farmer, farm veterinarian, and coach defined a farm-specific action plan that covered infrastructure, site access, staff/visitors, purchase policies, transport and depopulation, feed and water supplies, flock management, cleaning and disinfection between flocks, and measures between houses. From a total of 49 proposed actions, 36 were adopted. Purchasing policy had the highest (100%) and cleaning and disinfection had the lowest compliance (38%). Time, cost, and feasibility (e.g., inadequate farm layout) were the main reasons cited for not implementing action points. Overall, biosecurity improved significantly (p = 0.002) from 67.1 ± 5.7% to 70.3 ± 5.7% (mean ± Std. dev). The study, hence, presents convincing proof of how coaching can lead to new solutions not previously considered. Full article
(This article belongs to the Section Poultry)
Show Figures

Figure 1

21 pages, 1821 KB  
Review
Role of Carbon, Nitrogen, Phosphate and Sulfur Metabolism in Secondary Metabolism Precursor Supply in Streptomyces spp.
by Sergii Krysenko and Wolfgang Wohlleben
Microorganisms 2024, 12(8), 1571; https://doi.org/10.3390/microorganisms12081571 - 31 Jul 2024
Cited by 23 | Viewed by 4414
Abstract
The natural soil environment of Streptomyces is characterized by variations in the availability of nitrogen, carbon, phosphate and sulfur, leading to complex primary and secondary metabolisms. Their remarkable ability to adapt to fluctuating nutrient conditions is possible through the utilization of a large [...] Read more.
The natural soil environment of Streptomyces is characterized by variations in the availability of nitrogen, carbon, phosphate and sulfur, leading to complex primary and secondary metabolisms. Their remarkable ability to adapt to fluctuating nutrient conditions is possible through the utilization of a large amount of substrates by diverse intracellular and extracellular enzymes. Thus, Streptomyces fulfill an important ecological role in soil environments, metabolizing the remains of other organisms. In order to survive under changing conditions in their natural habitats, they have the possibility to fall back on specialized enzymes to utilize diverse nutrients and supply compounds from primary metabolism as precursors for secondary metabolite production. We aimed to summarize the knowledge on the C-, N-, P- and S-metabolisms in the genus Streptomyces as a source of building blocks for the production of antibiotics and other relevant compounds. Full article
(This article belongs to the Special Issue Research on Novel Bio-Active Metabolites Produced by Microorganisms)
Show Figures

Figure 1

Back to TopTop