Sign in to use this feature.

Years

Between: -

Subjects

remove_circle_outline
remove_circle_outline
remove_circle_outline
remove_circle_outline
remove_circle_outline
remove_circle_outline

Journals

Article Types

Countries / Regions

Search Results (4)

Search Parameters:
Keywords = Microthrix parvicella

Order results
Result details
Results per page
Select all
Export citation of selected articles as:
18 pages, 5619 KB  
Article
Composition and Abundance Distribution of Filamentous Bacteria During the Variable- and Low-Temperature Operation Periods of Wastewater Treatment Plants
by Xiaoling Wang, Lu Niu, Wenbo Pan, Xu Zhang and Hai Lu
Water 2025, 17(18), 2770; https://doi.org/10.3390/w17182770 - 18 Sep 2025
Viewed by 796
Abstract
Activated sludge microorganisms in sewage treatment plants are crucial for controlling water pollution and protecting public health and the ecological environment. Activated sludge must have biodegradation, easy sedimentation, and separation functions. Filamentous bacteria play an essential role in floc formation and structure. However, [...] Read more.
Activated sludge microorganisms in sewage treatment plants are crucial for controlling water pollution and protecting public health and the ecological environment. Activated sludge must have biodegradation, easy sedimentation, and separation functions. Filamentous bacteria play an essential role in floc formation and structure. However, low temperature, low load and low dissolved oxygen (DO) will destroy the balance between beneficial structural action and harmful overgrowth. In this study, the high-throughput sequencing (HTS) dataset of 16s rRNA gene sequence V3–V4 amplicons from 30 activated sludge samples from the Chuanhu Sewage Treatment Plant in Changchun was analyzed to investigate the abundance distribution of filamentous bacteria and further determine the main operating parameters and environmental factors. The experimental results showed that the filamentous bacterial community accounted for a large part of the entire microbial community, with the total filamentous bacterial percentage in each sample ranging from 7.32% to 56.81%, with large fluctuations in abundance and consistent with the SVI value. Although most of them were in flocs, they occasionally caused sedimentation problems when the water temperature was low. With 14 species of filamentous bacteria detected, the population structure of filamentous bacteria in the thermophilic, variable-temperature and low-temperature periods was universal and specific. The groups with a detection frequency of 100%, high abundance, and significant fluctuations in distribution were Microthrix parvicella and Nostocoida limicola I. The Pearson correlation analysis showed that the total abundance of filamentous bacteria and the fluctuation distribution of dominant filamentous bacteria abundance were significantly correlated with water temperature, sludge load, sludge age, and mixed liquid suspended solids (MLSS). Full article
(This article belongs to the Section Wastewater Treatment and Reuse)
Show Figures

Graphical abstract

13 pages, 2146 KB  
Review
Population Composition, Physiology and Ecology of Filamentous Bacteria in Activated Sludge
by Shang Gao, Wenbo Pan, Lu Niu, Hai Lu and Xiaoling Wang
Processes 2024, 12(10), 2156; https://doi.org/10.3390/pr12102156 - 3 Oct 2024
Cited by 4 | Viewed by 3261
Abstract
Filamentous bacteria are one of the main components of activated sludge microorganisms, which not only support flocculent bacteria in forming sludge flocs but also easily lead to sludge bulking. This article summarizes the high-throughput sequencing technology and database construction that integrates the FISH [...] Read more.
Filamentous bacteria are one of the main components of activated sludge microorganisms, which not only support flocculent bacteria in forming sludge flocs but also easily lead to sludge bulking. This article summarizes the high-throughput sequencing technology and database construction that integrates the FISH probe and 16s rRNA gene of filamentous bacteria. The detection frequency and abundance were statistically analyzed to determine the core filamentous bacteria. The filamentous bacteria searchable in the NCBI database belong to six phyla and 42 genera, with a total of 94 species. The core filamentous bacteria in the expanded activated sludge include Microthrix parvicella (M. parvicella), type 0092, Mycobacterium fortuitum, etc. The physiological ecology of the core filamentous bacteria is discussed in detail, aiming to establish targeted sludge expansion control strategies, reduce the incidence and harm of sludge expansion, and propose that future research needs to promote further development in the field of environmental microbiology. Full article
(This article belongs to the Special Issue Waste-Activated Sludge Treatment)
Show Figures

Figure 1

21 pages, 8338 KB  
Article
Taxonomic Structure Evolution, Chemical Composition and Anaerobic Digestibility of Microalgae-Bacterial Granular Sludge (M-BGS) Grown during Treatment of Digestate
by Joanna Kazimierowicz, Marcin Dębowski and Marcin Zieliński
Appl. Sci. 2023, 13(2), 1098; https://doi.org/10.3390/app13021098 - 13 Jan 2023
Cited by 7 | Viewed by 3038
Abstract
The liquid fraction from the dewatering of digested sewage sludge (LF-DSS) represents a major processing complication for wastewater treatment facilities, thus necessitating new and effective methods of LF-DSS neutralization. This pilot-scale study examined the evolution of a Chlorella sp. monoculture into microalgal-bacterial granular [...] Read more.
The liquid fraction from the dewatering of digested sewage sludge (LF-DSS) represents a major processing complication for wastewater treatment facilities, thus necessitating new and effective methods of LF-DSS neutralization. This pilot-scale study examined the evolution of a Chlorella sp. monoculture into microalgal-bacterial granular sludge (M-BGS) during treatment of LF-DSS in a hybrid photo-bioreactor (H-PBR). The M-BGS reached a stable taxonomic and morphological structure after 60 days of H-PBR operation. The biomass was primarily composed of Chlorella sp., Microthrix parvicella, and type 1851 and 1701 filamentous bacteria. A greater abundance of bacteria led to a faster-growing M-BGS biomass (to a level of 4800 ± 503 mgTS/dm3), as well as improved TOC and COD removal from the LF-DSS (88.2 ± 7.2% and 84.1 ± 5.1%). The efficiency of N/P removal was comparable, since regardless of the composition and concentration of biomass, it ranged from 68.9 ± 3.1% to 71.3 ± 3.1% for N and from 54.2 ± 4.1% to 56, 2 ± 4.6% for P. As the M-BGS taxonomic structure evolved and the C/N ratio improved, so did the anaerobic digestion (AD) performance. Biogas yield from the M-BGS peaked at 531 ± 38 cm3/gVS (methane fraction = 66.2 ± 2.7%). It was found that final effects of AD were also strongly correlated with the N and TOC content in the substrate and pH value. A mature M-BGS significantly improved settleability and separability through filtration. Full article
(This article belongs to the Special Issue Advances in Algal Biomass Applications II)
Show Figures

Figure 1

14 pages, 3514 KB  
Article
Design Mechanism and Property of the Novel Fluorescent Probes for the Identification of Microthrix Parvicella In Situ
by Xiumei Jiao, Xuening Fei, Songya Li, Dayong Lin, Huaji Ma and Baolian Zhang
Materials 2017, 10(7), 804; https://doi.org/10.3390/ma10070804 - 15 Jul 2017
Cited by 7 | Viewed by 4455
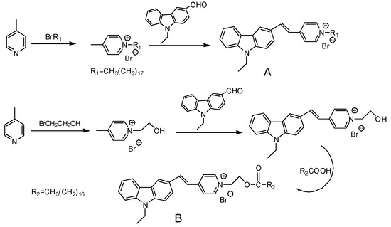
Abstract
In this study, two novel fluorescent probes, probe A and probe B were designed, synthesized and characterized, based on Microthrix parvicella (M. parvicella) preferring to utilize long-chain fatty acid (LCFA), for the labeling of M. parvicella in activated sludge. The molecular [...] Read more.
In this study, two novel fluorescent probes, probe A and probe B were designed, synthesized and characterized, based on Microthrix parvicella (M. parvicella) preferring to utilize long-chain fatty acid (LCFA), for the labeling of M. parvicella in activated sludge. The molecular structure of probe A and probe B include long-chain alkane and LCFA, respectively. The results indicated that probe A and probe B had a large stokes shift of 118 nm and 120 nm and high quantum yield of 0.1043 and 0.1058, respectively, which were significantly helpful for the fluorescent labeling. As probe A was more stable than probe B in activated sludge, and the fluorescence intensity keep stable during 24 h, probe A was more suitable for labeling M. parvicella in situ. In addition, through the Image Pro Plus 6 (IPP 6) analysis, a quantitative relationship was established between sludge volume index (SVI) and integral optical density (IOD) of the labeled M. parvicella in activated sludge samples. The relationship between IOD and SVI conforms to Logistic curve (R2 = 0.94). Full article
Show Figures

Graphical abstract

Back to TopTop