Sign in to use this feature.

Years

Between: -

Subjects

remove_circle_outline
remove_circle_outline
remove_circle_outline
remove_circle_outline
remove_circle_outline
remove_circle_outline
remove_circle_outline
remove_circle_outline

Journals

Article Types

Countries / Regions

Search Results (35)

Search Parameters:
Keywords = McGill test

Order results
Result details
Results per page
Select all
Export citation of selected articles as:
15 pages, 422 KB  
Article
Evaluating the Role of Liquid Biopsy to Detect Pathogenic Homologous Recombination Repair (HRR) Gene Alterations in Metastatic Prostate Cancer
by Soumaya Labidi, Belinda Jiao, Shirley Tam, Parvaneh Fallah, Aida Salehi, Raghu Rajan, Mona Alameldin, Fadi Brimo, William D. Foulkes, Andreas I. Papadakis, Nabodita Kaul, Alan Spatz, Cristiano Ferrario, Ramy R. Saleh and April A. N. Rose
Cancers 2025, 17(21), 3427; https://doi.org/10.3390/cancers17213427 - 25 Oct 2025
Viewed by 536
Abstract
Background: Metastatic prostate cancers frequently harbour pathogenic aberrations in Homologous Recombination Repair (HRR) genes that confer sensitivity to PARP inhibitors (PARPi). Therefore, accurate identification of all eligible patients is needed. The development of a circulating tumour DNA (ctDNA) testing alternative is promising as [...] Read more.
Background: Metastatic prostate cancers frequently harbour pathogenic aberrations in Homologous Recombination Repair (HRR) genes that confer sensitivity to PARP inhibitors (PARPi). Therefore, accurate identification of all eligible patients is needed. The development of a circulating tumour DNA (ctDNA) testing alternative is promising as genomic testing of archived tissue leads to a failure rate of up to 30–40% in prostate cancer. Methods: This was a bi-institutional retrospective cohort study of patients with metastatic prostate cancer treated at the Jewish General Hospital or the McGill University Health Center, Montreal, Canada, between 2021 and 2023. Molecular data and treatment information were abstracted from a chart review. Chi-square, Fisher’s exact test, and Mann–Whitney tests were used to assess differences between groups. Results: We identified 484 metastatic prostate cancer patients. Somatic and germline testing for HRR was performed in 55.4% (n = 268) and 20% (n = 97) patients, respectively. Somatic testing was performed on tissue (n = 192, 71.6%) or ctDNA from liquid biopsies (n = 18, 6.7%) or both (n = 58, 21.7%). Pathogenic somatic HRR alterations were detected in 48 patients (17.9%). BRCA2 was the most frequent (n = 17), followed by ATM (n = 11), then CHEK2 (n = 5). Amongst patients with germline testing, 13/97 (13.4%) had pathogenic alterations predicted to lead to deficient HRR, mostly BRCA2 (n = 9), and three had detectable BRCA2 in tissue. Dual testing modality (tissue+ctDNA) significantly enhanced the detection rate of HRR alterations 19/58 (32.7%) vs. 29/210 (13.8%) for single testing modality (tissue or ctDNA), p = 0.008. The rate of inconclusive results was significantly lower in dual testing modality 0/58 (0%) vs. 25/210 in single testing modality (11.9%), p = 0.003. Amongst the 14 patients who had discordant results between liquid and tissue tests, HRR abnormalities were more frequently identified in ctDNA (n = 11) vs. tissue (n = 3). Patients who had HRR deficiency detected only in ctDNA had older tissue samples (median 5.6 years) compared to those who had deficient HRR detected only in tissue (median 0.2 years; p = 0.14). Conclusions: These data highlight a potential role in implementing liquid biopsy—especially in patients who only have older archival tissue available or failed tissue testing—to improve the detection rate of deficient HRR. Our ongoing prospective study will further validate whether the addition of liquid biopsy can identify more patients who are eligible to receive precision therapies by increasing the rate of detection of HRR deficiency compared to routine tissue testing alone. Full article
(This article belongs to the Section Cancer Metastasis)
Show Figures

Figure 1

11 pages, 646 KB  
Article
Molecular Testing and Surgical Outcomes in Bethesda III and IV Thyroid Nodules: A Retrospective Cohort Study
by Alexandra E. Payne, Layla Gobeil, Marc P. Pusztaszeri, Isabelle Bannister, Saruchi Bandargal, Sabrina Daniela da Silva and Veronique-Isabelle Forest
Cancers 2025, 17(20), 3376; https://doi.org/10.3390/cancers17203376 - 20 Oct 2025
Viewed by 821
Abstract
Background: Bethesda III and IV thyroid nodules, which fall under the category of indeterminate cytology, pose challenges in clinical decision-making due to their ambiguous risk of malignancy. Molecular testing has been increasingly employed to aid risk stratification and optimize the extent of [...] Read more.
Background: Bethesda III and IV thyroid nodules, which fall under the category of indeterminate cytology, pose challenges in clinical decision-making due to their ambiguous risk of malignancy. Molecular testing has been increasingly employed to aid risk stratification and optimize the extent of surgical intervention. Methods: A retrospective review of 410 patients with Bethesda III and IV thyroid nodules who underwent thyroid surgery at McGill University teaching hospitals between January 2016 and April 2022. Patients were grouped based on whether or not they underwent preoperative molecular testing. Data were collected on demographic variables, histopathologic diagnosis, mutation profiles, and surgical outcomes. The primary outcome was to assess for concordance between surgical intervention and final pathology in both groups, with a focus on identifying optimal versus suboptimal management. Optimal management is defined as surgery appropriate to the aggressiveness of disease, meaning a hemi-thyroidectomy for a non-aggressive malignancy, total thyroidectomy for an aggressive malignancy, and no surgery for a benign nodule. Furthermore, suboptimal management includes unnecessary surgery or incorrect surgery for the level of aggressivity of the nodule. Results: Among the 410 patients, 203 underwent molecular testing, while 207 did not. Of those who underwent molecular testing, 117 had Bethesda III nodules and 86 had Bethesda IV nodules. In the non-tested group, 129 and 78 patients had Bethesda III and IV nodules, respectively. Optimal surgical intervention was achieved in 67.5% of patients who underwent molecular testing, compared with 25.1% in those who did not (p < 0.001). Subgroup analysis revealed that 61.5% of Bethesda III nodules with molecular testing received optimal care versus 21.0% of those without testing. In the Bethesda IV cohort, optimal surgery was achieved in 75.6% with testing versus 32.1% without. Among the suboptimally managed patients, 70.1% (155/221) were from the group that did not undergo molecular testing. In addition, molecular testing identified aggressive mutations such as BRAF V600E and TERT promoter mutations more frequently in Bethesda III nodules, while RAS-like mutations, associated with indolent behavior, predominated in Bethesda IV nodules. Conclusions: In this study, molecular testing significantly improved risk stratification and the likelihood of optimal surgical management in patients with Bethesda III and IV thyroid nodules. Incorporating molecular diagnostics into the standard preoperative workflow may enhance patient care, reduce unnecessary surgeries, and optimize the extent of surgery. Future studies should evaluate the cost-effectiveness and broader implementation of molecular testing in diverse healthcare settings. Full article
Show Figures

Figure 1

15 pages, 742 KB  
Article
Assessment of the Impact of Chronic Pain on the Prevalence of Depressive Disorders in Patients with Endometriosis
by Edyta Rysiak, Anna Grajewska, Anna Łońska, Jakub Tomaszewski, Karolina Kymona and Joanna Rostkowska
Diseases 2025, 13(9), 291; https://doi.org/10.3390/diseases13090291 - 2 Sep 2025
Viewed by 751
Abstract
Background: Endometriosis is a chronic, estrogen-dependent inflammatory and immunological disease, with chronic pain being its predominant clinical manifestation. This condition significantly impairs quality of life and is frequently associated with depressive and anxiety symptoms, further exacerbating social and occupational dysfunction in affected women. [...] Read more.
Background: Endometriosis is a chronic, estrogen-dependent inflammatory and immunological disease, with chronic pain being its predominant clinical manifestation. This condition significantly impairs quality of life and is frequently associated with depressive and anxiety symptoms, further exacerbating social and occupational dysfunction in affected women. The aim of this study was to assess the relationship between chronic pain in patients with endometriosis and the severity of depressive symptoms. Methods: A retrospective analysis was conducted on the medical records of 60 women of reproductive age treated at the Tomaszewski Medical Center in Białystok between 2023 and 2024. Pain intensity was evaluated using the Visual Analogue Scale (VAS) and the McGill Pain Questionnaire, while depressive symptoms were assessed with the Beck Depression Inventory (BDI). Results: Statistical analyses included the Student t-test, Wilcoxon signed-rank test, chi-square test, and Shapiro–Wilk test, with significance set at p < 0.05. Pain intensity was significantly higher during menstruation (M = 7.23) compared to non-menstrual phases of the cycle (M = 4.55; p < 0.001). Accompanying symptoms included sleep disturbances, reduced activity, and gastrointestinal complaints. Depressive symptoms were also more severe during menstruation (M = 30.12) than during the rest of the cycle (M = 22.15; p < 0.001). A significant association between pain severity and depressive symptoms was observed during menstruation (χ2(4) = 12.89; p = 0.012), but not outside this phase. Conclusions: (1) Pain in endometriosis is chronic and cyclic in nature. (2) Depressive symptoms are common but may be masked by nonspecific somatic complaints. (3) Pain intensity strongly correlates with the severity of depressive disorders, particularly during menstruation. (4) The coexistence of depression significantly impairs patient functioning. (5) Effective management of endometriosis should integrate gynecological treatment with psychological support and psychiatric care when necessary. Full article
Show Figures

Figure 1

12 pages, 416 KB  
Article
High RAS Allele Frequency Signals Increased Risk of TERT Promoter Mutations in Thyroid Tumors
by Coralie Lefebvre, Hannah Greenspoon, Kayla E. Payne, Emily Steinberg, Felicia Tewfik, Gianluca Savoia, Sabrina Daniela da Silva, Marc Pusztaszeri, Véronique-Isabelle Forest and Richard J. Payne
Cancers 2025, 17(17), 2851; https://doi.org/10.3390/cancers17172851 - 30 Aug 2025
Viewed by 1259
Abstract
Background/Objectives: RAS mutations are among the most common genetic alterations in thyroid cancer and are generally associated with less aggressive behavior. However, when co-occurring with TERT (telomerase reverse transcriptase) promoter mutations, known markers of poor prognosis, tumors exhibit markedly more aggressive features. The [...] Read more.
Background/Objectives: RAS mutations are among the most common genetic alterations in thyroid cancer and are generally associated with less aggressive behavior. However, when co-occurring with TERT (telomerase reverse transcriptase) promoter mutations, known markers of poor prognosis, tumors exhibit markedly more aggressive features. The allele frequency (AF) of RAS may serve as a potential indicator of clonal dominance and the likelihood of additional high-risk mutations, such as TERT mutation. This study aims to assess whether a high RAS AF correlates with the presence of coexisting TERT promoter mutations and other molecular alterations. Methods: A retrospective chart review was performed on 111 patients with thyroid nodules harboring RAS mutations, either alone or in combination with TERT promoter mutations. All patients underwent molecular testing with ThyroSeq v3 and subsequent thyroidectomy at McGill University teaching hospitals. RAS AF was analyzed in relation to TERT mutation status, nodule size, and other molecular alterations including copy number alterations (CNA) and gene expression profiles (GEP). Results: The mean RAS AF was significantly higher in nodules with both RAS and TERT mutations (38.1%) compared to those with RAS mutations alone (22.1%) (p = 0.002). Nodules with coexisting TERT mutations were also significantly larger (mean size: 3.7 cm vs. 2.4 cm; p = 0.005). Malignant nodules, regardless of TERT status, showed a trend toward higher RAS AF than benign nodules (23.0% vs. 16.3%; p = 0.052). Higher RAS AF was also associated with the presence of CNA and/or GEP positivity. Notably, GEP was positive in 100% of nodules with both RAS and TERT mutations, compared to 37.5% in RAS-only nodules (p = 0.002). Conclusions: A high RAS AF increases the likelihood of a TERT promoter mutation and other genetic alterations, highlighting the importance of RAS AF in optimizing patient care and management. Full article
(This article belongs to the Section Molecular Cancer Biology)
Show Figures

Figure 1

12 pages, 4002 KB  
Article
Competency in Orthopaedic Surgery: Student Perceptions and Objective Knowledge Assessment
by Maxime Baril, Lilly Groszman, Khalifa Alhojailan and Anthony Albers
Int. Med. Educ. 2025, 4(3), 31; https://doi.org/10.3390/ime4030031 - 27 Aug 2025
Viewed by 748
Abstract
Identifying knowledge gaps and predictors of performance are proven ways to implement changes to a curriculum. This cross-sectional study investigates the subjective and objective competency of 52 medical students at McGill University in musculoskeletal (MSK) medicine, with a focus on orthopaedic surgery. We [...] Read more.
Identifying knowledge gaps and predictors of performance are proven ways to implement changes to a curriculum. This cross-sectional study investigates the subjective and objective competency of 52 medical students at McGill University in musculoskeletal (MSK) medicine, with a focus on orthopaedic surgery. We surveyed medical students to assess their confidence levels in orthopaedic surgery and their perceptions of its teaching. The students then completed a 25-question orthopaedics-focused exam as an objective assessment of their knowledge. Descriptive statistics were calculated, exam performance was compared across academic years, predictors of exam scores were analyzed, and student self-assessment accuracy was evaluated. Students reported lower confidence in orthopaedic surgery than in many other specialties, exam scores varied significantly across academic years (p = 0.007), and predicted exam performance was the only significant predictor of test score in multiple linear regression (R2 = 0.313, p = 0.025). Calibration analysis revealed a substantial miscalibration, where students with higher predicted scores tended to overestimate their performance, while those with lower predictions tended to underestimate themselves (intercept = 27.2, slope = 0.54). A Bland–Altman plot demonstrated wide limits of agreement between predicted and actual scores (mean bias −1.2%, 95% LoA −35.0% to +32.6%). These findings highlight meaningful orthopaedic knowledge gaps and miscalibrated self-assessment, emphasizing the need for targeted, structured educational interventions in the MSK curriculum. Full article
Show Figures

Figure 1

15 pages, 768 KB  
Article
Cross-Cultural Differences and Clinical Presentations in Burning Mouth Syndrome: A Cross-Sectional Comparative Study of Italian and Romanian Outpatient Settings
by Claudiu Gabriel Ionescu, Gennaro Musella, Federica Canfora, Cristina D’Antonio, Lucia Memé, Stefania Leuci, Luca D’Aniello, Ioanina Parlatescu, Lorenzo Lo Muzio, Michele Davide Mignogna, Serban Tovaru and Daniela Adamo
J. Clin. Med. 2025, 14(16), 5805; https://doi.org/10.3390/jcm14165805 - 16 Aug 2025
Viewed by 1026
Abstract
Background/Objectives: Burning Mouth Syndrome (BMS) is a chronic orofacial pain disorder characterized by persistent intraoral burning sensations without visible mucosal lesions. Although its biopsychosocial complexity is increasingly recognized, cross-cultural comparison data remain limited. Methods: This cross-sectional study assessed 60 patients with [...] Read more.
Background/Objectives: Burning Mouth Syndrome (BMS) is a chronic orofacial pain disorder characterized by persistent intraoral burning sensations without visible mucosal lesions. Although its biopsychosocial complexity is increasingly recognized, cross-cultural comparison data remain limited. Methods: This cross-sectional study assessed 60 patients with BMS (30 Italian, 30 Romanian) who underwent standardized clinical, psychological, and sleep evaluations. Data collected included sociodemographics, clinical characteristics, diagnostic history, comorbidities, and symptomatology. The assessment tools used included the Numeric Rating Scale (NRS), Short Form of the McGill Pain Questionnaire (SF-MPQ), Hamilton Anxiety Rating Scale (HAM-A), Hamilton Depression Rating Scale (HAM-D), Pittsburgh Sleep Quality Index (PSQI), and Epworth Sleepiness Scale (ESS). Statistical comparisons were conducted using Mann–Whitney U and Fisher’s exact tests with Bonferroni correction. Results: No significant differences were observed in age, sex, or body mass index. Italian patients had fewer years of education (p = 0.001), higher pain intensity (NRS, p < 0.001), poorer sleep quality (PSQI, ESS, p = 0.001), and more frequent pre-existing sleep disorders (p < 0.001). Romanian patients showed higher levels of anxiety (HAM-A, p < 0.001), longer diagnostic delays (p = 0.002), and more dysesthetic or perceptual symptoms, including tingling and oral dysmorphism (p < 0.05). Stressful events before onset were more common among Romanians (p < 0.001), while Italians more often received a correct diagnosis at first consultation (p = 0.005). Conclusions: This first cross-national comparison of BMS in Western and Eastern Europe shows that cultural, healthcare, and clinician education differences can shape symptom profiles, comorbidities, and diagnostic delays, underscoring the need for personalized, country-specific management strategies. Full article
(This article belongs to the Special Issue New Perspective of Oral and Maxillo-Facial Surgery)
Show Figures

Figure 1

19 pages, 15448 KB  
Article
Adverse Effects of Glyphosate and Microcystin-LR on Fish Health: Evidence from Structural and Functional Impairments in Zebrafish Gills
by Yidan Zhang, Han Hu, Linmei Song, Zhihui Liu, Junguo Ma and Xiaoyu Li
Animals 2025, 15(16), 2355; https://doi.org/10.3390/ani15162355 - 11 Aug 2025
Viewed by 945
Abstract
Glyphosate (GLY) and microcystin-LR (MC-LR) frequently co-occur in natural water bodies. In this study, a subacute exposure test was conducted on zebrafish treated with 3.5 mg/L GLY and 35 μg/L MC-LR, individually and in combination, for 21 d to determine their effects on [...] Read more.
Glyphosate (GLY) and microcystin-LR (MC-LR) frequently co-occur in natural water bodies. In this study, a subacute exposure test was conducted on zebrafish treated with 3.5 mg/L GLY and 35 μg/L MC-LR, individually and in combination, for 21 d to determine their effects on the gills of zebrafish and their potential mechanisms. The hematoxylin and eosin staining and scanning electron microscopy examination results showed that GLY and MC-LR exposure caused structural damage to gills. Biochemical analysis revealed Na+-K+-ATPase activity decreased, and the levels of reactive oxygen species, 8-hydroxy-2′-deoxyguanosine, and malondialdehyde increased, inducing oxidative damage to DNA and lipids of gills. Meanwhile, the inflammatory and immune function of the gill was significantly influenced, as evidenced by the alteration of the expression of tumor necrosis factor-α, interleukin-1β, complement 3, and immunoglobulin M. RNA-seq results revealed that GLY and/or MC-LR treatment induced transcriptional changes in the fish gills, which may affect various biological functions, and the lipid metabolism disruption potentially involved in the aforementioned process. Integrating histopathological, biochemical, and transcriptomic analyses, this study revealed that both individual and combined exposures to GLY and MC-LR had adverse effects on zebrafish gills, with combined exposure appears to result in more pronounced adverse effects, potentially compromising fish health. Full article
(This article belongs to the Section Aquatic Animals)
Show Figures

Graphical abstract

12 pages, 463 KB  
Article
Association Between BRAF V600E Allele Frequency and Aggressive Behavior in Papillary Thyroid Microcarcinoma
by Luiza Tatar, Saruchi Bandargal, Marc P. Pusztaszeri, Véronique-Isabelle Forest, Michael P. Hier, Jasmine Kouz, Raisa Chowdhury and Richard J. Payne
Cancers 2025, 17(15), 2553; https://doi.org/10.3390/cancers17152553 - 1 Aug 2025
Cited by 2 | Viewed by 1143
Abstract
Background/Objectives: Papillary thyroid microcarcinoma (MPTC), a subset of papillary thyroid carcinoma (PTC), is increasingly detected with advanced imaging. While most MPTCs are indolent, some exhibit aggressive behavior, complicating clinical management. The BRAF V600E mutation, common in PTC, is linked to aggressive features, [...] Read more.
Background/Objectives: Papillary thyroid microcarcinoma (MPTC), a subset of papillary thyroid carcinoma (PTC), is increasingly detected with advanced imaging. While most MPTCs are indolent, some exhibit aggressive behavior, complicating clinical management. The BRAF V600E mutation, common in PTC, is linked to aggressive features, and its allele frequency (AF) may serve as a biomarker for tumor aggressiveness. This study explored the association between BRAF V600E AF and aggressive histopathological features in MPTC. Methods: Data from 1 January 2016 to 23 December 2023 were retrieved from two McGill University teaching hospitals. Inclusion criteria comprised patients aged ≥ 18 years with thyroid nodules ≤ 1 cm, documented BRAF V600E mutation and AF results, and available surgical pathology reports. Tumor aggressiveness was defined as the presence of lymph node metastasis, aggressive histological subtype (tall cell, hobnail, columnar, solid/trabecular or diffuse sclerosing), extra thyroidal extension, or extensive lymphovascular extension. Associations were explored using t-tests. Results: Among 1564 records, 34 met the inclusion criteria and were included in analyses. The mean BRAF V600E AF was significantly higher in aggressive tumors (23.58) compared to non-aggressive tumors (13.73) (95% CI: −18.53 to −1.16, p = 0.03). Although not statistically significant, trends were observed for higher BRAF V600E AF in tumors with lymph node metastasis (mean AF: 25.4) compared to those without (mean AF: 16.67, p = 0.08). No significant difference was noted in BRAF V600E AF by histological subtype (mean AF for aggressive: 19.57; non-aggressive: 19.15, p = 0.94). Conclusions: Elevated BRAF V600E AF is associated with aggressive behavior in MPTC, highlighting its potential as a biomarker to inform treatment strategies. Larger studies are warranted to validate these findings and enhance clinical management of MPTC patients. Full article
(This article belongs to the Special Issue Thyroid Cancer: Diagnosis, Prognosis and Treatment (2nd Edition))
Show Figures

Figure 1

14 pages, 684 KB  
Article
Correlation Between Core Stability and Plantar Pressure Distribution During Double-Leg Stance, Single-Leg Stance, and Squat Positions in Healthy Male Athletes
by Reem Abdullah Babkair, Shibili Nuhmani, Turki Abualait and Qassim Muaidi
Medicina 2025, 61(7), 1188; https://doi.org/10.3390/medicina61071188 - 30 Jun 2025
Cited by 1 | Viewed by 1114
Abstract
Background: Core stability is a cornerstone of optimum athletic performance, and its reduction is a risk factor for athletic injuries. Evidence has shown that core impairments can alter lower-limb mechanics through the kinetic chains. Additionally, plantar pressure can be influenced by proximal [...] Read more.
Background: Core stability is a cornerstone of optimum athletic performance, and its reduction is a risk factor for athletic injuries. Evidence has shown that core impairments can alter lower-limb mechanics through the kinetic chains. Additionally, plantar pressure can be influenced by proximal conditions, such as core muscle fatigue. Therefore, this study aimed to investigate the correlation between core endurance and plantar pressure distribution (PPD) during double-leg stance, single-leg stance, and single-leg squat positions in healthy male athletes. Methods: A total of 21 healthy male recreational athletes between 19 and 26 years of age volunteered to participate in this correlational study. The McGill core endurance test was used to measure the endurance of their core flexors, extensors, and lateral flexors. The participants’ PPD was evaluated using the Tekscan Mobile Mat pressure measurement system in three positions (double-leg stance, single-leg stance, and single-leg squat) for both the dominant and non-dominant feet. Results: There was a poor and insignificant correlation (p > 0.05) between the core flexors’, extensors’, and side flexors’ endurance and the peak and total PPD in all the tested positions for both the dominant and non-dominant feet. Conclusions: Core muscle endurance is neither a component that affects nor is affected by the PPD in this study population. Thus, the endurance of core flexors, extensors, and side flexors may not be considered in screening, examination, or intervention for the total and peak pressure during double-leg stance, single-leg stance, and single-leg squat positions for both the dominant and non-dominant feet in the study population. Further similar studies are warranted in various sports and during dynamic tasks to better understand the different dimensions of the studied relationship in athletes. Full article
(This article belongs to the Special Issue Clinical Recent Research in Rehabilitation and Preventive Medicine)
Show Figures

Figure 1

10 pages, 1011 KB  
Article
Molecular Mutations and Clinical Behavior in Bethesda III and IV Thyroid Nodules: A Comparative Study
by Alexandra E. Payne, Coralie Lefebvre, Michael Minello, Mohannad Rajab, Sabrina Daniela da Silva, Marc Pusztaszeri, Michael P. Hier and Veronique-Isabelle Forest
Cancers 2024, 16(24), 4249; https://doi.org/10.3390/cancers16244249 - 20 Dec 2024
Cited by 2 | Viewed by 2375
Abstract
Background: Thyroid cancer is the most common endocrine malignancy, and accurate diagnosis is crucial for effective management. Fine needle aspiration cytology, guided by the Bethesda System for Reporting Thyroid Cytopathology, categorizes thyroid nodules into six categories, with Bethesda III and IV representing indeterminate [...] Read more.
Background: Thyroid cancer is the most common endocrine malignancy, and accurate diagnosis is crucial for effective management. Fine needle aspiration cytology, guided by the Bethesda System for Reporting Thyroid Cytopathology, categorizes thyroid nodules into six categories, with Bethesda III and IV representing indeterminate diagnoses that pose significant challenges for clinical decision-making. Understanding the molecular profiles of these categories may enhance diagnostic accuracy and guide treatment strategies. Methods: This study retrospectively analyzed data from 217 patients with Bethesda III and IV thyroid nodules who underwent ThyroSeq v3 molecular testing followed by thyroid surgery at McGill University teaching hospitals. The analysis focused on the presence of specific molecular mutations, copy number alterations (CNAs), and gene expression profiles (GEPs) within these nodules. The relationship between these molecular findings and the clinico-pathological features of the patients was also examined. Results: This study identified notable differences in the molecular landscape of Bethesda III and IV thyroid nodules. Bethesda IV nodules exhibited a higher prevalence of CNAs and distinct GEPs compared to Bethesda III nodules. Interestingly, the BRAFV600E mutation was found exclusively in Bethesda III nodules, which correlated with more aggressive malignant behavior. These findings underscore the potential of molecular profiling to differentiate between the clinical behaviors of these indeterminate nodule categories. Conclusions: Molecular profiling, including the assessment of CNAs, GEPs, and specific mutations like BRAFV600E, provides valuable insights into the nature of Bethesda III and IV thyroid nodules. The distinct molecular characteristics observed between these categories suggest that such profiling could be instrumental in improving diagnostic accuracy and tailoring treatment approaches, ultimately enhancing patient outcomes in thyroid cancer management. Full article
Show Figures

Figure 1

13 pages, 300 KB  
Article
The Effect of Insomnia on the Outcomes of Physical Therapy in Patients with Cervical and Lumbar Pain in Clinical Practice
by Milan Djordjic, Aleksandra Jurisic Skevin, Vesna Grbovic, Ermin Fetahovic, Sofija Colovic, Milan Zaric, Tatjana Boskovic Matic, Olivera Radmanovic and Vladimir Janjic
Medicina 2024, 60(11), 1873; https://doi.org/10.3390/medicina60111873 - 15 Nov 2024
Cited by 1 | Viewed by 1508
Abstract
Background and Objectives: The objective of the study is to determine whether there is a difference in physical therapy outcomes in patients with cervical and/or lumbar pain who have insomnia compared to patients without insomnia during a two-week period of active treatment [...] Read more.
Background and Objectives: The objective of the study is to determine whether there is a difference in physical therapy outcomes in patients with cervical and/or lumbar pain who have insomnia compared to patients without insomnia during a two-week period of active treatment under the conditions of routine clinical practice. Materials and Methods: The study population consisted of two groups of subjects with chronic back pain, a group with insomnia (“case”) with a total of 38 subjects and a control group without insomnia (“control”) with a total of 41 subjects, who filled out a set of measurement questionnaires: the McGill Pain Questionnaire and its short form (SF-MPQ), the Insomnia Severity Index (ISI) and the European Quality of Life Questionnaire of Life (Euro Qol; EQ-5D). Determination of the biomarkers of structural damage to the nervous tissue, neurofilament polypeptide (NEF—neurofilament polypeptide), neuron-specific enolase (NSE—neuron-specific enolase) and protein S100B was performed by measuring their concentrations in the blood using the ELISA method (enzyme immunosorbent assay). Statistical analysis of the collected data included a descriptive analysis, hypothesis testing methods and univariable and multivariable regression models. Results: At the end of the treatment visits, the level of pain remained higher in some subjects of the experimental group, but the statistical significance of the baseline difference disappeared because of the higher relative treatment response in the controls. Measured with a visual analogue scale, the treatment improved the patients’ quality of life much more in experimental than control subjects, as is proven by the statistically significant difference for the percent change from baseline (~31% vs. ~14%). At baseline, all three neurotropic biomarkers had significantly higher serum values in the subjects of the experimental group than in the control patients, which suggested more damage to the neuronal structures. During the treatment course, their serum concentrations decreased, from 36% to 95%, but for S100B, unlike NES and NEF, there was no statistically significant difference between the study groups at the end of the treatment visits. Conclusions: The results of the study have immediate scientific and practical significance because they contribute to new knowledge about the place and role of insomnia in patients with cervical and/or lumbar pain who are treated with physical medicine methods in the conditions of routine clinical practice. The treatment of insomnia should be an indispensable part of therapeutic treatment for patients with back pain. Full article
(This article belongs to the Section Neurology)
14 pages, 1030 KB  
Article
Comparison of Health Parameters in Postpartum Diastasis Recti: A Randomized Control Trial of SEMG Biofeedback-Assisted Core Strengthening Exercises with Kinesiotaping vs. Non-Assisted Exercises
by Ujala Afzal, Quratulain Saeed, Muhammad Nabeel Anwar, Sanna Pervaiz, Manahil Shahid, Rimsha Javed, Muhammad Umair Ali and Seung Won Lee
Healthcare 2024, 12(16), 1567; https://doi.org/10.3390/healthcare12161567 - 7 Aug 2024
Cited by 5 | Viewed by 6878
Abstract
Current medical treatments for diastasis recti often involve exercises to strengthen the core muscles, along with abdominal binders or supports. However, there is limited evidence comparing the effectiveness of surface electromyography (SEMG) biofeedback-assisted core strengthening exercises combined with kinesiotaping to other approaches. This [...] Read more.
Current medical treatments for diastasis recti often involve exercises to strengthen the core muscles, along with abdominal binders or supports. However, there is limited evidence comparing the effectiveness of surface electromyography (SEMG) biofeedback-assisted core strengthening exercises combined with kinesiotaping to other approaches. This study aimed to assess the impact of three interventions on core strength, inter-rectus distance, and quality of life in postpartum women with diastasis recti. The interventions included core strengthening exercises with kinesiotaping and SEMG biofeedback-assisted core strengthening with kinesiotaping. This randomized controlled trial (NCT05897255) included 24 postpartum women divided into three groups. We measured inter-rectus distance, quality of life using the Short Form Health Survey 36, and core strength using the McGill torso battery test. The SEMG biofeedback provided auditory and visual cues. We used one-way analysis of variance to compare outcomes between groups, while a t-test for within-group analysis. Both the SEMG biofeedback-assisted and non-assisted core strengthening exercises with kinesiotaping groups showed significantly greater improvements in energy, bodily pain, general health, physical functioning, and limitations due to physical problems than the core strengthening group. Additionally, the SEMG biofeedback-assisted group demonstrated a greater reduction in inter-rectus distance. There were no statistically significant differences in core strength improvement among the three groups. Core strengthening exercises with SEMG-assisted kinesiotaping were superior to core strengthening alone in reducing inter-rectus distance, enhancing physical function, energy levels, and general health, and decreasing bodily pain and limitations due to physical problems. Core strength improvements were similar across all groups. Full article
(This article belongs to the Special Issue Healthy Lifestyle for Pregnant and Postpartum Women)
Show Figures

Figure 1

12 pages, 678 KB  
Article
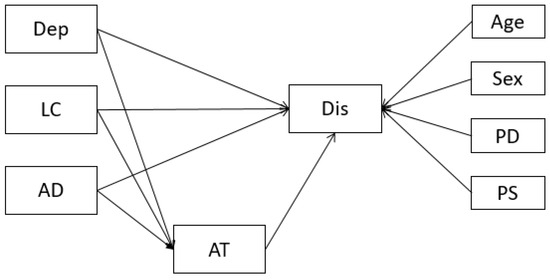
The Roles of Depression, Life Control and Affective Distress on Treatment Attendance and Perceived Disability in Chronic Back Pain Sufferers throughout the Duration of the Condition
by Humberto M. Oraison, Daniel Loton and Gerard A. Kennedy
Int. J. Environ. Res. Public Health 2023, 20(19), 6844; https://doi.org/10.3390/ijerph20196844 - 27 Sep 2023
Cited by 1 | Viewed by 3800
Abstract
The aims of this study were to examine psychological factors that predict treatment seeking and disability over the total duration of experiencing back pain. A sample of 201 adults experiencing chronic back pain was recruited through health professionals and completed the Depression, Anxiety [...] Read more.
The aims of this study were to examine psychological factors that predict treatment seeking and disability over the total duration of experiencing back pain. A sample of 201 adults experiencing chronic back pain was recruited through health professionals and completed the Depression, Anxiety and Stress Scale (DASS), the Oswestry Back Pain Disability Questionnaire (ODQ), the McGill Pain Questionnaire (MPQ) and the life control and affective distress variables of the West Haven–Yale Multidimensional Pain Inventory (WHYMP), and participants disclosed the number of treatment sessions attended over the course of the illness. Depression, life control and affective distress were tested as indirect predictors of disability severity that were mediated by treatment attendance. Each unit increase in life control predicted attending nearly 30 more treatment sessions, each unit increase in affective distress predicted attending 16 fewer treatments and each unit increase in depression predicted 4 fewer treatments, together explaining 44% of variance in treatment seeking. The effects of life control and affective distress on disability were explained by treatment attendance, whereas depression retained a direct effect on disability. Treatment attendance had an effect on disability. The findings show that participants with lower life control and higher affective distress and depression had higher levels of pain and disability, in part due to due to their treatment-seeking behaviour. Full article
(This article belongs to the Section Health-Related Quality of Life and Well-Being)
Show Figures

Figure 1

9 pages, 242 KB  
Article
Shoulder Pain and Trunk Muscles Endurance in Young Male and Female Swimmers
by Nikolaos Paramanidis, Athanasios Kabasakalis, Nikolaos Koutlianos, George Tsalis and Evangelia Kouidi
Healthcare 2023, 11(15), 2145; https://doi.org/10.3390/healthcare11152145 - 27 Jul 2023
Cited by 7 | Viewed by 2498
Abstract
Shoulder pain is a common syndrome in swimming and affects a large number of competitive swimmers. The purpose of the study was to investigate the relationship between pain in the shoulder girdle and the endurance of the trunk muscles in young swimmers. A [...] Read more.
Shoulder pain is a common syndrome in swimming and affects a large number of competitive swimmers. The purpose of the study was to investigate the relationship between pain in the shoulder girdle and the endurance of the trunk muscles in young swimmers. A total of 24 boys and 22 girls, aged 13 to 18 years, participated in the study. The measurements included the completion of a questionnaire (Shoulder Pain and Disability Index, SPADI) and a field test (McGill’s Torso Muscular Endurance Test). The total SPADI score correlated weakly and negatively with the endurance time of back muscles in both sexes (r2 = 0.10, p = 0.035), and moderately and negatively in girls (r2 = 0.23, p = 0.023). A weak negative correlation was found between the disability index and the back muscles’ endurance time in both sexes (r2 = 0.15, p = 0.007), which was moderate in girls only (r2 = 0.25, p = 0.019). The disability index displayed moderate negative correlations with the right oblique’s (r2 = 0.18, p = 0.049) and left oblique’s endurance time (r2 = 0.23, p = 0.024) in girls. Weight, body mass index, the total out-of-water training time per week and age significantly affected the endurance times of the trunk muscles in boys and girls (p < 0.05). In conclusion, strengthening the dorsal and the oblique muscles could reduce shoulder pain and disability in young swimmers and especially girls. Full article
(This article belongs to the Special Issue Effects of Regular Swimming Exercise on Health Promotion)
11 pages, 653 KB  
Article
The Difference in Clinical Behavior of Gene Fusions Involving RET/PTC Fusions and THADA/IGF2BP3 Fusions in Thyroid Nodules
by George Tali, Alexandra E. Payne, Thomas J. Hudson, Sabrina Daniela da Silva, Marc Pusztaszeri, Michael Tamilia and Véronique-Isabelle Forest
Cancers 2023, 15(13), 3394; https://doi.org/10.3390/cancers15133394 - 28 Jun 2023
Cited by 6 | Viewed by 2584
Abstract
Background: Molecular testing has been used as an adjunct to morphological evaluation in the workup of thyroid nodules. This study investigated the impact of two gene fusions, RET/PTC and THADA/IGF2BP3, that have been described as oncogenic events in thyroid neoplasms. Methods: We [...] Read more.
Background: Molecular testing has been used as an adjunct to morphological evaluation in the workup of thyroid nodules. This study investigated the impact of two gene fusions, RET/PTC and THADA/IGF2BP3, that have been described as oncogenic events in thyroid neoplasms. Methods: We performed a retrospective, single-centered study at a McGill University teaching hospital in Montreal, Canada, from January 2016 to August 2021. We included patients who underwent surgery for thyroid nodules that pre-operatively underwent molecular testing showing either RET/PTC or THADA/IGF2BP3 gene fusion. Results: This study included 697 consecutive operated thyroid nodules assessed using molecular testing, of which five had the RET/PTC fusion and seven had the THADA/IGF2BP3 fusion. Of the five nodules in the RET/PTC group, 100% were malignant and presented as Bethesda V/VI. Eighty percent (4/5) were found to have lymph node metastasis. Twenty percent (1/5) had extrathyroidal extensions. Sixty percent (3/5) were a diffuse sclerosing variant of papillary thyroid carcinoma, and the rest were the classical variant. Of the seven THADA/IGF2BP3 nodules, all presented as Bethesda III/IV and 71.4% (5/7) were malignant based on the final pathology analysis, and 28.6% (2/7) were NIFTP. All the THADA/IGF2BP3 fusion malignancies were a follicular variant of papillary thyroid carcinoma. None had lymph node metastasis or displayed extrathyroidal extensions. Conclusions: RET/PTC nodules presented as Bethesda V/VI and potentially had more aggressive features, whereas THADA/IGF2BP3 nodules presented as Bethesda III/IV and had more indolent behavior. This understanding may allow clinicians to develop more targeted treatment plans, such as the extent of surgery and adjuvant radioactive iodine treatment. Full article
(This article belongs to the Special Issue Molecular Testing for Thyroid Nodules and Cancer)
Show Figures

Figure 1

Back to TopTop