Sign in to use this feature.

Years

Between: -

Subjects

remove_circle_outline
remove_circle_outline
remove_circle_outline

Journals

Article Types

Countries / Regions

Search Results (8)

Search Parameters:
Keywords = LDPE-ZnO nanocomposite

Order results
Result details
Results per page
Select all
Export citation of selected articles as:
11 pages, 3064 KB  
Article
Effect of Repeated Contact to Food Simulants on the Chemical and Functional Properties of Nano ZnO Composited LDPE Films for Reusable Food Packaging
by Wooseok Lee, Nattinee Bumbudsanpharoke, Gyeong-Hyeon Gawk, Jae-Min Oh and Seonghyuk Ko
Polymers 2023, 15(1), 9; https://doi.org/10.3390/polym15010009 - 20 Dec 2022
Cited by 10 | Viewed by 3464
Abstract
The effect of repeated contact with food simulants on the properties and functionality of zinc oxide (ZnO) in nanocomposite films was investigated to examine possible safety hazards from the point of view of long-term use as food packaging. Low-density polyethylene (LDPE) embedded with [...] Read more.
The effect of repeated contact with food simulants on the properties and functionality of zinc oxide (ZnO) in nanocomposite films was investigated to examine possible safety hazards from the point of view of long-term use as food packaging. Low-density polyethylene (LDPE) embedded with 5 wt% nano-ZnO was immersed in distilled water, 50% ethanol, 4% acetic acid, and n-heptane. The cycle of immersion–rinse–dry was repeated up to 40 times for same sample under constant condition. Fourier transform infrared spectroscopy (FTIR), X-ray diffraction (XRD), X-ray absorption spectroscopy (XAS), field emission-scanning electron microscopy (FE-SEM), and UV–Vis spectroscopy analyses were performed to identify the changes in the chemical and functional properties of the nanocomposite film. Acetic acid had the greatest impact on the LDPE-ZnO nanocomposite films, while other food simulants caused little change. A new carboxylate bond was formed by the reaction of ZnO with acetic acid, as evidenced by the FTIR spectra. In addition, XRD and XAS confirmed the phase changes of nano-ZnO into zinc salts such as zinc hydroxy acetate or zinc acetate dihydrate. Furthermore, the light barrier property of the nanocomposite film drastically decreased, owing to the change in the bandgap of ZnO and film morphology. Full article
(This article belongs to the Special Issue Polymeric Materials for Food Packaging II)
Show Figures

Figure 1

19 pages, 4894 KB  
Article
Tribo-Mechanical Properties of the Antimicrobial Low-Density Polyethylene (LDPE) Nanocomposite with Hybrid ZnO–Vermiculite–Chlorhexidine Nanofillers
by Karla Čech Barabaszová, Sylva Holešová, Marianna Hundáková and Alena Kalendová
Polymers 2020, 12(12), 2811; https://doi.org/10.3390/polym12122811 - 27 Nov 2020
Cited by 15 | Viewed by 3078
Abstract
Materials made from low-density polyethylene (LDPE) in the form of packages or catheters are currently commonly applied medical devices. Antimicrobial LDPE nanocomposite materials with two types of nanofillers, zinc oxide/vermiculite (ZnO/V) and zinc oxide/vermiculite_chlorhexidine (ZnO/V_CH), were prepared by a melt-compounded procedure to enrich [...] Read more.
Materials made from low-density polyethylene (LDPE) in the form of packages or catheters are currently commonly applied medical devices. Antimicrobial LDPE nanocomposite materials with two types of nanofillers, zinc oxide/vermiculite (ZnO/V) and zinc oxide/vermiculite_chlorhexidine (ZnO/V_CH), were prepared by a melt-compounded procedure to enrich their controllable antimicrobial, microstructural, topographical and tribo-mechanical properties. X-ray diffraction (XRD) analysis and Fourier transform infrared spectroscopy (FTIR) revealed that the ZnO/V and ZnO/V_CH nanofillers and LDPE interacted well with each other. The influence of the nanofiller concentrations on the LDPE nanocomposite surface changes was studied through scanning electron microscopy (SEM), and the surface topology and roughness were studied using atomic force microscopy (AFM). The effect of the ZnO/V nanofiller on the increase in indentation hardness (HIT) was evaluated by AFM measurements and the Vickers microhardness (HV), which showed that as the concentration of the ZnO/V nanofiller increased, these values decreased. The ZnO/V and ZnO/V_CH nanofillers, regardless of the concentration in the LDPE matrix, slightly increased the average values of the friction coefficient (COF). The abrasion depths of the wear indicated that the LDPE_ZnO/V nanocomposite plates exhibited better wear resistance than LDPE_ZnO/V_CH. Higher HV and HIT microhardness values were measured for both nanofillers than the natural LDPE nanocomposite plate. Very positive antimicrobial activity against S. aureus and P. aeruginosa after 72 h was found for both nanofiller types. Full article
(This article belongs to the Special Issue Metal- and Metal Hybrid-Filled Polymer Nanocomposites)
Show Figures

Graphical abstract

14 pages, 3045 KB  
Article
Effects of Inorganic ZnO Particle Doping on Crystalline Polymer Morphology and Space Charge Behavior
by Guang Yu and Yujia Cheng
Coatings 2020, 10(10), 932; https://doi.org/10.3390/coatings10100932 - 29 Sep 2020
Cited by 5 | Viewed by 2324
Abstract
This study further investigated the synergistic effect of micro- and nanofiller doping on matrix material space charges and breakdown characteristics. Accordingly, low-density polyethylene (LDPE) was used as the matrix material, and spherical ZnO particles with sizes of 30 nm and 1 µm were [...] Read more.
This study further investigated the synergistic effect of micro- and nanofiller doping on matrix material space charges and breakdown characteristics. Accordingly, low-density polyethylene (LDPE) was used as the matrix material, and spherical ZnO particles with sizes of 30 nm and 1 µm were used as additives. Micro-ZnO/LDPE, nano-ZnO/LDPE, and micro-nano-ZnO/LDPE composites were prepared through melt blending. The crystalline morphologies of the composites were observed via polarized light microscopy. The composite crystallinity and melting peak temperature were measured via differential scanning calorimetry, and the micro- and nanoparticle dispersions in the matrix were observed via scanning electron microscopy. The test results showed that the particles were uniformly dispersed in the polyethylene matrix. The filler acted as a heterogeneous nucleation agent in the matrix. The crystal size decreased, thereby increasing the crystal quantity. The doping of inorganic ZnO particles improved the composite crystallinity. The ZnO/LDPE composites were subjected to DC breakdown, space charge, and dielectric spectrum tests. When the crystal arrangement of the sample was loose and its size was large, the breakdown process developed along a shorter path, and the field strength of the composite breakdown decreased. The order of AC and DC breakdown field strengths of the samples was as follows: micro-ZnO/LDPE < pure LDPE < micro-nano-ZnO/LDPE < nano-ZnO/LDPE. The DC and AC breakdown field strengths of the micro- and nano-ZnO/LDPE were 4.7% and 3.2% higher than those of the pure LDPE, respectively. Moreover, the DC and AC breakdown field strengths of the nano-ZnO/LDPE were 11.02% and 15.8% higher than those of the pure LDPE, respectively. The doping of inorganic ZnO particles restrained the space charge accumulation, and the residual charges decreased after short-circuit treatment. The dielectric constant of all nanocomposites was lower than that of LDPE, and the dielectric loss of all composites was higher than that of LDPE. Full article
Show Figures

Figure 1

16 pages, 4146 KB  
Article
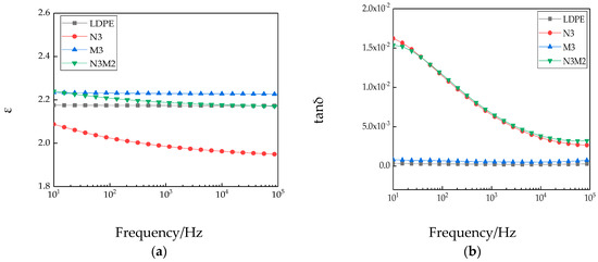
The Research of Conductivity and Dielectric Properties of ZnO/LDPE Composites with Different Particles Size
by Yujia Cheng, Guang Yu, Boyang Yu and Xiaohong Zhang
Materials 2020, 13(18), 4136; https://doi.org/10.3390/ma13184136 - 17 Sep 2020
Cited by 9 | Viewed by 2580
Abstract
Nanocomposites exhibit a high dielectric strength, whereas microcomposites exhibit a high thermal conductivity. In this study, good insulating materials were developed on the basis of the synergetic effect of micro- and nanoparticles, which were used as inorganic fillers. With a double-melting blend, nano-ZnO/low [...] Read more.
Nanocomposites exhibit a high dielectric strength, whereas microcomposites exhibit a high thermal conductivity. In this study, good insulating materials were developed on the basis of the synergetic effect of micro- and nanoparticles, which were used as inorganic fillers. With a double-melting blend, nano-ZnO/low density polyethylene (LDPE), micro-ZnO/LDPE, and micro-nano-ZnO/LDPE composites were prepared, according to the scanning electron microscope test, polarization microscope test, conductivity test, breakdown test, and dielectric spectrum test, the dielectric property of micro-nano-ZnO/LDPE was explored. The SEM test results showed that by adding a suitable proportion of ZnO particles, the inorganic particles could disperse uniformly without reuniting. The PLM test results showed that the micro- and nano-ZnO particles adding decreased the crystal size. The arrangement was regular and tight. The macroscopic results showed that the mass fraction of nanoparticles and microparticles were 3% and 2%, the samples conductivity was the lowest. The breakdown field strength of the nanocomposites increased. The breakdown field strength of nanocomposites with 1%, 3%, and 5% nanoparticle contents were 5%, 15%, and 10% higher than that of pure LDPE. The addition of inorganic particles resulted in new polarization modes: Ionic displacement polarization and interfacial polarization. The ZnO/LDPE composites exhibited a higher dielectric constant and dielectric loss factor than pure LDPE. However, with the increasing frequency, it took considerable time to attain interfacial polarization in the nanocomposite and micro-nanocomposite, thus decreasing the dielectric constant. Full article
Show Figures

Figure 1

13 pages, 3330 KB  
Article
Enhanced Visible Light Photodegradation of Microplastic Fragments with Plasmonic Platinum/Zinc Oxide Nanorod Photocatalysts
by Tajkia Syeed Tofa, Fei Ye, Karthik Laxman Kunjali and Joydeep Dutta
Catalysts 2019, 9(10), 819; https://doi.org/10.3390/catal9100819 - 28 Sep 2019
Cited by 203 | Viewed by 13881
Abstract
Microplastics are persistent anthropogenic pollutants which have become a global concern owing to their widespread existence and unfamiliar threats to the environment and living organisms. This study demonstrates the degradation of fragmented microplastics particularly low-density polyethylene (LDPE) film in water, through visible light-induced [...] Read more.
Microplastics are persistent anthropogenic pollutants which have become a global concern owing to their widespread existence and unfamiliar threats to the environment and living organisms. This study demonstrates the degradation of fragmented microplastics particularly low-density polyethylene (LDPE) film in water, through visible light-induced plasmonic photocatalysts comprising of platinum nanoparticles deposited on zinc oxide (ZnO) nanorods (ZnO-Pt). The ZnO-Pt nanocomposite photocatalysts were observed to have better degradation kinetics for a model organic dye (methylene blue) compared to bare ZnO nanorods, attributed to the plasmonic effects leading to better interfacial exciton separation and improved hydroxyl radical activity along with a 78% increase in visible light absorption. These demonstrations of the plasmonically enhanced photocatalyst enabled it to effectively degrade microplastic fragments as confirmed following the changes in carbonyl and vinyl indices in infrared absorption. In addition, visual proof of physical surface damage of the LDPE film establishes the efficacy of using plasmonically enhanced nanocomposite photocatalytic materials to tackle the microplastic menace using just sunlight for a clean and green approach towards mitigation of microplastics in the ecosystem. Full article
(This article belongs to the Special Issue Photocatalysis: Activity of Nanomaterials)
Show Figures

Graphical abstract

13 pages, 3401 KB  
Article
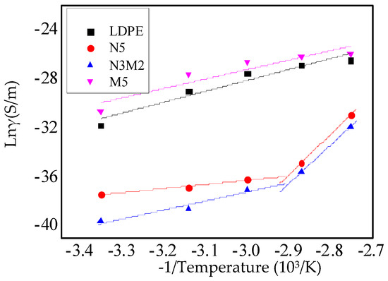
Space Charge Characteristics and Electrical Properties of Micro-Nano ZnO/LDPE Composites
by Jun-Guo Gao, Xia Li, Wen-Hua Yang and Xiao-Hong Zhang
Crystals 2019, 9(9), 481; https://doi.org/10.3390/cryst9090481 - 14 Sep 2019
Cited by 10 | Viewed by 2937
Abstract
The synergistic effects of zinc oxide (ZnO) Micro/Nano particles simultaneously filled in low-density polyethylene (LDPE) on the space charge characteristics and electrical properties has been investigated by melt blending micro-scale and nanoscale ZnO additive particles into LDPE matrix to prepare Micro-ZnO, Nano-ZnO, and [...] Read more.
The synergistic effects of zinc oxide (ZnO) Micro/Nano particles simultaneously filled in low-density polyethylene (LDPE) on the space charge characteristics and electrical properties has been investigated by melt blending micro-scale and nanoscale ZnO additive particles into LDPE matrix to prepare Micro-ZnO, Nano-ZnO, and Micro-Nano ZnO/LDPE composites. The morphological structures of composite samples are characterized by Polarizing Light Microscopy (PLM), and the space charge accumulations and insulation performances are correlated in the analyses with Pulse Electronic Acoustic (PEA), DC breakdown field strength, and conductance tests. It is indicated that both the micro and nano ZnO fillers can introduce plenty of heterogeneous nuclei into the LDPE matrix so as to impede the LDPE spherocrystal growth and regularize the crystalline grains in neatly-arranged morphology. By filling microparticles together with nanoparticles of ZnO additives, the space charge accumulations are significantly inhibited under an applied DC voltage and the minimum initial residual charges with the slowest charge decaying rate have been achieved after an electrode short connection. While the micro-nano ZnO/LDPE composites acquire the lowest conductivity, the breakdown strengths of the ZnO/LDPE nanocomposite and micro-nano composite are, respectively, 13.7% and 3.4% higher than that of the neat LDPE material. Full article
(This article belongs to the Section Inorganic Crystalline Materials)
Show Figures

Figure 1

14 pages, 9391 KB  
Article
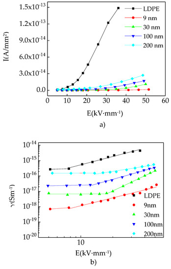
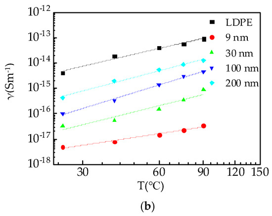
Effect of Particles Size on Dielectric Properties of Nano-ZnO/LDPE Composites
by YuJia Cheng, Liyang Bai, Guang Yu and Xiaohong Zhang
Materials 2019, 12(1), 5; https://doi.org/10.3390/ma12010005 - 20 Dec 2018
Cited by 30 | Viewed by 4200
Abstract
The melt blending was used to prepare 3 wt% ZnO/low density polyethylene (ZnO/LDPE) nanocomposites in this article. The effect of different inorganic ZnO particles doping on the dielectrical property and crystal habit of LDPE matrix was explored. The nanoparticles size was 9 nm, [...] Read more.
The melt blending was used to prepare 3 wt% ZnO/low density polyethylene (ZnO/LDPE) nanocomposites in this article. The effect of different inorganic ZnO particles doping on the dielectrical property and crystal habit of LDPE matrix was explored. The nanoparticles size was 9 nm, 30 nm, 100 nm, and 200 nm respectively. Scanning electron microscope (SEM) was used to characterize ZnO nanoparticles whereas differential scanning calorimetry (DSC) was used to make thermal characterization of the samples. Besides, the AC (alternating current), DC (direct current breakdown characteristics and electrical conductivity of the nanocomposites was studied in this article. The experimental results showed that nano-ZnO/LDPE composites had the advantages such as small crystal size, high crystallization rate and crystallinity owing to nano-ZnO particles doping, when doping nano-ZnO particles size was 30 nm, the ZnO/LDPE nanocomposite crystallinity crest value 39.77% appeared. At the mean time, the DC and AC breakdown field strength values of composites were 138.0 kV/mm and 340.4 kV/mm respectively. They were the maximal values which improved 8.24% and 13.85% than LDPE. The AC breakdown field strength of samples decreased with specimen thickness increase. The DC breakdown field strength of LDPE and ZnO/LDPE composites were greater than AC breakdown field strength. From the conductivity experimental result it could be seen that when the experimental temperature and electric field intensity rose, the current density and conductivity of ZnO/LDPE composites increased with the enlargement of ZnO particles size. But the values were less than which of LDPE. Full article
Show Figures

Figure 1

14 pages, 1389 KB  
Article
Nanocomposite Zinc Oxide-Chitosan Coatings on Polyethylene Films for Extending Storage Life of Okra (Abelmoschus esculentus)
by Laila Al-Naamani, Joydeep Dutta and Sergey Dobretsov
Nanomaterials 2018, 8(7), 479; https://doi.org/10.3390/nano8070479 - 29 Jun 2018
Cited by 100 | Viewed by 8859
Abstract
Efficiency of nanocomposite zinc oxide-chitosan antimicrobial polyethylene packaging films for the preservation of quality of vegetables was studied using okra Abelmoschus esculentus. Low density polyethylene films (LDPE) coated with chitosan-ZnO nanocomposites were used for packaging of okra samples stored at room temperature [...] Read more.
Efficiency of nanocomposite zinc oxide-chitosan antimicrobial polyethylene packaging films for the preservation of quality of vegetables was studied using okra Abelmoschus esculentus. Low density polyethylene films (LDPE) coated with chitosan-ZnO nanocomposites were used for packaging of okra samples stored at room temperature (25 °C). Compared to the control sample (no coating), the total bacterial concentrations in the case of chitosan and nanocomposite coatings were reduced by 53% and 63%, respectively. The nanocomposite coating showed a 2-fold reduction in total fungal concentrations in comparison to the chitosan treated samples. Results demonstrate the effectiveness of the nanocomposite coatings for the reduction of fungal and bacterial growth in the okra samples after 12 storage days. The nanocomposite coatings did not affect the quality attributes of the okra, such as pH, total soluble solids, moisture content, and weight loss. This work demonstrates that the chitosan-ZnO nanocomposite coatings not only maintains the quality of the packed okra but also retards microbial and fungal growth. Thus, chitosan-ZnO nanocomposite coating can be used as a potential coating material for active food packaging applications. Full article
(This article belongs to the Special Issue Food Packaging Based on Nanomaterials)
Show Figures

Graphical abstract

Back to TopTop