Sign in to use this feature.

Years

Between: -

Subjects

remove_circle_outline
remove_circle_outline
remove_circle_outline
remove_circle_outline
remove_circle_outline
remove_circle_outline
remove_circle_outline
remove_circle_outline
remove_circle_outline

Journals

remove_circle_outline
remove_circle_outline
remove_circle_outline
remove_circle_outline
remove_circle_outline
remove_circle_outline
remove_circle_outline
remove_circle_outline
remove_circle_outline
remove_circle_outline
remove_circle_outline
remove_circle_outline
remove_circle_outline

Article Types

Countries / Regions

remove_circle_outline
remove_circle_outline
remove_circle_outline
remove_circle_outline
remove_circle_outline
remove_circle_outline

Search Results (1,662)

Search Parameters:
Keywords = Insecticidal activity

Order results
Result details
Results per page
Select all
Export citation of selected articles as:
16 pages, 487 KB  
Review
Antidiabetic Properties of the Tropical Tree Schinus molle L. (pirul): A Comprehensive Review
by Rosa María Fonseca and Maira Huerta-Reyes
Pharmaceuticals 2025, 18(11), 1661; https://doi.org/10.3390/ph18111661 (registering DOI) - 2 Nov 2025
Abstract
The need for new medications to treat diabetes mellitus (DM) is a global health concern due to the cost and impact on patients and their families, health systems, and society. Recent approaches in drug development have focused on multitarget therapy for DM, considering [...] Read more.
The need for new medications to treat diabetes mellitus (DM) is a global health concern due to the cost and impact on patients and their families, health systems, and society. Recent approaches in drug development have focused on multitarget therapy for DM, considering its multifactorial and complex pathophysiology. The present work contributes to the review of the plant species Schinus molle L. (pirul), a tropical tree native to South America but now widespread worldwide, which has demonstrated anticancer, analgesic, antibacterial, and insecticidal properties. According to traditional uses, pirul has been employed as a food condiment, in the preparation of beverages and chewing gums, and in the treatment of DM. The antidiabetic effects of pirul appear to act through several mechanisms involved in DM. The methanolic extract of S. molle fruits collected in Tunisia exhibited a dose-dependent inhibition on both α-amylase and α-glucosidase enzymes (77.49% and 86.45%, respectively). A dose-dependent anti-inflammatory effect was also observed at 1, 2, 3, 4, and 5 h, in the carrageenan-induced rats’ paw edema model. Furthermore, in both the H2O2 and the superoxide radical assays, the pirul extract demonstrated moderate antioxidant activity (IC50 = 0.22 mg/mL). Isomasticadienonic acid and Masazino-flavanone, the major components of active fractions and extracts of S. molle represent promising antidiabetic agents. Although pirul appears to be safe in in vivo acute and subchronic administrations, toxicological studies and clinical trials in individuals with DM are still pending. Full article
Show Figures

Figure 1

22 pages, 2090 KB  
Review
Bioactive Potential of Terpenes from Mediterranean Scrub Plants: A Review
by Ismael Montero-Fernández, Natividad Chaves Lobón, Laura Nogales Gómez, José Blanco-Salas and Juan Carlos Alías Gallego
Molecules 2025, 30(21), 4268; https://doi.org/10.3390/molecules30214268 (registering DOI) - 1 Nov 2025
Abstract
The Mediterranean ecosystem is characterized by marked seasonality; it is composed of species such as shrublands that are subjected to high levels of water and thermal stress, making these species an important source of secondary metabolites of significant chemical and ecological interest. In [...] Read more.
The Mediterranean ecosystem is characterized by marked seasonality; it is composed of species such as shrublands that are subjected to high levels of water and thermal stress, making these species an important source of secondary metabolites of significant chemical and ecological interest. In this work, 21 plants were selected from the Mediterranean scrub. These abundant and characteristic representations of the ecosystem produce a total of 197 terpenes. The majority of these are monoterpenes (46.70%), followed by sesquiterpenes (38.07%), with a minority of diterpenes (5.53%) and triterpenes (10.15%). Tetraterpenes accounted for only 0.5% of the total compounds in the species studied, corresponding to only 1%. The major terpenes include 1,8-cineole, terpinen-4-ol, α-terpineol, borneol, camphor, γ-terpinene, limonene, linalool, o-cymene, α-tujene, α-pinene, β-pinene, sabinene, myrcene, β-phellandrene, and β-caryopylene. Species such as Pistacea terebinthus, Rosmarinus officinalis, Cistus ladanifer, Myrtus communis, Lavandula stoecha, and Thymus mastichina contain the most terpenic compounds in their chemical composition. Furthermore, these metabolites are involved in various biological functions, including antimicrobial, antioxidant, neuroprotective, antibacterial, cardiovascular, analgesic, antitumor, and insecticidal activities, among others. Various terpenes present in Mediterranean scrub species, such as 1,8-cineole, α-pinene, limonene, borneol, and terpinen-4-ol, have demonstrated synergistic effects that enhance their antimicrobial, insecticidal, and neuroprotective properties. These interactions between compounds make the natural extracts more effective than they would be individually, increasing their therapeutic and biotechnological value. The synergism among terpenes suggests a promising approach for developing more effective and sustainable phytotherapeutic products. Full article
(This article belongs to the Special Issue Natural Compounds in Modern Therapies, 2nd Edition)
Show Figures

Figure 1

16 pages, 1738 KB  
Article
Hematological and Biochemical Alterations Induced by Sub-Acute Administration of Permethrin in Rats
by Liliana Carmona-Aparicio, Elvia Coballase-Urrutia, Marisol Orozco-Ibarra, Norma Serrano-García, Silvia Caballero-Salazar, Maritza Ramírez-Pérez, Liliana Rivera-Espinosa, María E. Hernández, Hortencia Montesinos-Correa, Diana L. Pérez-Lozano and Daniel Diaz
J. Xenobiot. 2025, 15(6), 183; https://doi.org/10.3390/jox15060183 (registering DOI) - 1 Nov 2025
Abstract
Permethrin (PERM) is a synthetic pyrethroid insecticide initially regarded as low risk. However, evidence now indicates that misuse and prolonged exposure can damage multiple physiological systems by disrupting enzymatic functions in subcellular structures. In this study, male Wistar rats were administered PERM (75, [...] Read more.
Permethrin (PERM) is a synthetic pyrethroid insecticide initially regarded as low risk. However, evidence now indicates that misuse and prolonged exposure can damage multiple physiological systems by disrupting enzymatic functions in subcellular structures. In this study, male Wistar rats were administered PERM (75, 150, or 300 mg/kg/day) for 15 days to assess its effect on hematological and biochemical parameters, including oxidative stress markers in the liver, kidney, and heart. Subacute PERM administration induced significant, dose-dependent toxicological alterations in exposed animals. Hematological analysis revealed impaired hematopoiesis, characterized by increased erythrocytes and platelets alongside decreased hemoglobin, hematocrit, mean corpuscular volume, and red cell distribution width. Biochemical analysis revealed elevated liver enzymes and bilirubin, along with reduced albumin levels, indicating hepatic alterations associated with PERM. The assessment of oxidative stress revealed tissue-specific responses following PERM exposure. While GPx, CAT, and SOD levels remained unchanged, GR activity increased in the heart, and GST activity increased in the liver. Additionally, a substantial decrease in MDA was observed in both the liver and heart. These collective alterations found in PERM-subacute exposed rats suggest the potential for cellular damage with the possible development of chronic pathologies, warranting further investigation. Full article
Show Figures

Graphical abstract

12 pages, 4706 KB  
Article
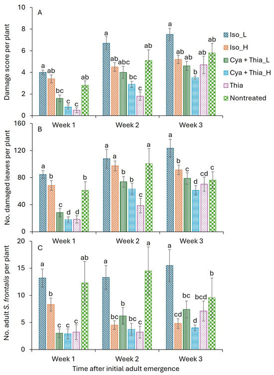
Efficacy of Drench Applications of Insecticides Against Systena frontalis (Coleoptera: Chrysomelidae) in Hydrangea paniculata
by Shimat V. Joseph
Horticulturae 2025, 11(11), 1311; https://doi.org/10.3390/horticulturae11111311 (registering DOI) - 1 Nov 2025
Abstract
Systena frontalis (Fabricius) is a serious pest of panicled hydrangea (Hydrangea paniculata Siebold) and various other ornamental plant species in container ornamental nurseries. Effective season-long management strategies are essential, particularly in nursery settings where drench applications of insecticides offer a potential [...] Read more.
Systena frontalis (Fabricius) is a serious pest of panicled hydrangea (Hydrangea paniculata Siebold) and various other ornamental plant species in container ornamental nurseries. Effective season-long management strategies are essential, particularly in nursery settings where drench applications of insecticides offer a potential method for targeting the larval stages. Several insecticides, such as isocycloseram, cyantraniliprole + thiamethoxam, chlorantraniliprole, flupyradifurone, and tolfenpyrad are currently available or expected to become available for use. However, their efficacy, when applied as growing media drenches, has not been thoroughly evaluated. The objective of this study was to assess the effectiveness of isocycloseram, cyantraniliprole + thiamethoxam, flupyradifurone, and tolfenpyrad against S. frontalis larvae through drench applications to container media. Results from 2024 showed that high rates of isocycloseram significantly reduced larvae, while lower rates were less effective in the 2025 trial. Although the performance of cyantraniliprole + thiamethoxam was mixed between 2024 and 2025, it effectively reduced larvae in both 2025 trials. Chlorantraniliprole formulation with high active ingredient dose reduced larvae relative to nontreated. In contrast, flupyradifurone and tolfenpyrad failed to reduce larvae following drench application. These findings suggest that drench application of high rates of isocycloseram and cyantraniliprole + thiamethoxam will be a valuable addition to the pest management toolbox for controlling S. frontalis in ornamental container nurseries. Full article
Show Figures

Figure 1

24 pages, 1187 KB  
Article
Insecticidal Potential of Aniba canelilla (H.B.K.) Mez Essential Oil Against Aedes aegypti: Larvicidal and Adulticidal Activities, Mechanism of Action, and Formulation Development
by Jefferson D. da Cruz, Maíra M. H. Almeida, Maria Athana M. Silva, Jefferson R. A. Silva, Fernando A. Genta and Ana Claudia F. Amaral
Plants 2025, 14(21), 3348; https://doi.org/10.3390/plants14213348 (registering DOI) - 31 Oct 2025
Abstract
Control of Aedes aegypti, the primary vector of arboviruses such as dengue, Zika, and chikungunya, is increasingly difficult due to resistance to synthetic insecticides and environmental concerns. Plant essential oils offer sustainable alternatives with multi-target modes of action and rapid biodegradation. This [...] Read more.
Control of Aedes aegypti, the primary vector of arboviruses such as dengue, Zika, and chikungunya, is increasingly difficult due to resistance to synthetic insecticides and environmental concerns. Plant essential oils offer sustainable alternatives with multi-target modes of action and rapid biodegradation. This study evaluated the insecticidal potential of the essential oil of Aniba canelilla (EOANIB), its major constituent 1-Nitro-2-phenylethane (NFTANE), and the derivative 1-Nitro-2-phenylethene (NFTENE) against larvae and adults of A. aegypti. Acetylcholinesterase (AChE) inhibition was quantified using enzymes from Electrophorus electricus, Aedes aegypti and Drosophila melanogaster. Pluronic® F127 (5% w/v) nanoformulations loaded with EOANIB, NFTANE, or NFTENE at 1.5% or 0.34% (w/v) improved efficacy and stability. Formulations remained stable for 120 to 190 days at 25 to 60 °C. Larvicidal assay at 24 h yielded LC50 values of 86.9 (CI 78.2–94.7) ppm for EOANIB, 84.8 ppm (CI 75.6–92.4) for NFTANE and 10.9 (CI 8.0–14.0) ppm for NFTENE. Against adults, EOANIB achieved an LC50 of 33.9 ppm at 1.5 h. Nanoformulation reduced the EOANIB LC50 by 22.2% after 24 h and 40.1% after 48 h. Toxicity assays evaluated selectivity with Artemia salina (EOANIB LC50: 77.2 ppm) and no mortality in D. melanogaster at 100 ppm. The convergence of efficacy, formulation-enhanced performance, and demonstrated storage stability positions Aniba canelilla as a promising source of bioinsecticide candidates for Aedes aegypti control and supports further development of micellar delivery systems for integrated vector management. Full article
(This article belongs to the Special Issue Recent Advances in Essential Oils and Plant Extracts)
Show Figures

Figure 1

14 pages, 2111 KB  
Article
Enhancing the Virulence of a Fungal Entomopathogen Against the Brown Planthopper by Expressing dsRNA to Suppress Host Immune Defenses
by Chenping Lan, Zhiguo Hu, Xiaoping Yu and Zhengliang Wang
Microorganisms 2025, 13(11), 2484; https://doi.org/10.3390/microorganisms13112484 - 30 Oct 2025
Viewed by 110
Abstract
The use of fungal entomopathogens, such as Metarhizium anisopliae, is a promising alternative for pest biocontrol but suffers the disadvantage of a relatively slower killing speed when compared with chemical pesticides. Nilaparvata lugens (brown planthopper, BPH) is a destructive sap-sucking pest that [...] Read more.
The use of fungal entomopathogens, such as Metarhizium anisopliae, is a promising alternative for pest biocontrol but suffers the disadvantage of a relatively slower killing speed when compared with chemical pesticides. Nilaparvata lugens (brown planthopper, BPH) is a destructive sap-sucking pest that seriously threatens rice production worldwide. In the present study, we characterized a key immune-regulating protein, Spätzle (SPZ), encoding gene NlSPZ5 in BPH, and constructed a transgenic strain of M. anisopliae that expressed a specific dsRNA targeting the NlSPZ5 gene for enhancing the fungal virulence. Expression pattern analysis revealed that NlSPZ5 was expressed with the highest levels in the second-instar nymphs and hemolymph and could be largely activated by M. anisopliae infection. Microinjection of dsNlSPZ5 resulted in a markedly decreased survival rate and increased susceptibility to fungal infection in BPH. Notably, a transgenic strain of M. anisopliae expressing dsNlSPZ5 could effectively suppress the target gene expression and promote fungal proliferation in BPH upon fungal challenge. Compared to the wild-type strain, the transgenic fungal strain exhibited significantly enhanced insecticidal efficacy against BPH without compromising mycelial growth and sporulation. Our results demonstrate that fungal entomopathogens used as a delivery vector to express dsRNAs targeting insect immune defense-associated genes can effectively augment their virulence to the host insect, providing clues to develop novel pest management strategies through the combination of RNAi-based biotechnology and entomopathogen-based biocontrol. Full article
(This article belongs to the Section Molecular Microbiology and Immunology)
Show Figures

Figure 1

21 pages, 4454 KB  
Article
The Chemical Composition and Nematicidal Activity of Wasabi (Eutrema japonicum) Rhizome Extract Against Meloidogyne enterolobii
by Jiali Wang, Zhiwen Li, Ying Wei, Jiguang Luo, Xiaoli Dou, Meiying Fu, Xiangping Zeng, Bao Wang, Zhixiang Zhao, Huifang Wang and Baibi Zhu
Plants 2025, 14(21), 3310; https://doi.org/10.3390/plants14213310 - 30 Oct 2025
Viewed by 224
Abstract
Eutrema japonicum is a perennial herb belonging to the Eutrema genus in the crucifer family. In recent years, numerous substances with notable pharmacological activities have been successfully isolated from E. japonicum. Despite significant advancements in related research, the efficacy of the rhizome [...] Read more.
Eutrema japonicum is a perennial herb belonging to the Eutrema genus in the crucifer family. In recent years, numerous substances with notable pharmacological activities have been successfully isolated from E. japonicum. Despite significant advancements in related research, the efficacy of the rhizome extract of E. japonicum against root-knot nematodes remains unknown. In this study, the rhizome extract of E. japonicum was used as raw material to demonstrate the inhibitory and nematicidal effects of the extract on Meloidogyne enterolobii. The results showed that the LC50 of the E. japonicum rhizome extract on second-stage juveniles (J2s) was 69.590 mg/mL and 22.336 mg/mL at 24 h and 48 h after treatment, respectively. The mortality rate of J2s reached 88.93% at 48 h post-treatment when the concentration was 200 mg/mL, and the inhibition rate of single-egg hatching reached 88.14%. This study analyzed the chemical composition of the ethanol extract of E. japonicum, and 10 organosulfur compounds and lipid compounds with insecticidal and antibacterial effects were preliminarily screened out. Among them, sec-butyl isothiocyanate and geraniol were further investigated for their nematicidal activity, demonstrating high efficacy against M. enterolobii. Moreover, we conducted network pharmacology analysis and RT-qPCR analysis to predict the potential inhibitory mechanisms of sec-butyl isothiocyanate and geraniol on M. enterolobii. These findings offer a scientific foundation and theoretical framework for utilizing E.japonicum as a potential raw material for developing novel natural plant nematicides. Full article
Show Figures

Figure 1

25 pages, 3614 KB  
Review
Biomass-Based Composites for Agricultural Applications
by Yufeng Xie, Sen Ye, Yue Peng, Jiazhen Gao, Xiaoyun Li and Xingxiang Ji
Polymers 2025, 17(21), 2851; https://doi.org/10.3390/polym17212851 - 26 Oct 2025
Viewed by 332
Abstract
As chemical pollution and food safety risks in agriculture have increased due to global population growth and a food demand surge, the development of new environmentally friendly pesticide carriers is urgently needed to build a sustainable agricultural system. Owing to the excellent biocompatibility [...] Read more.
As chemical pollution and food safety risks in agriculture have increased due to global population growth and a food demand surge, the development of new environmentally friendly pesticide carriers is urgently needed to build a sustainable agricultural system. Owing to the excellent biocompatibility and controlled degradation of biomass materials and their specific interactions with active ingredients, biomass-based composites have unique advantages in the field of pesticide delivery. By regulating the carrier structure, the targeted controlled release of the pesticides can be achieved, leading to improvements in the chemical stability of the active substance and target absorption efficiency, and a significant reduction in environmental impact. This paper summarizes the innovative applications of biomass-based composites in agricultural scenarios, focusing on the breakthroughs in the three core areas of intelligent protection of seed coating, soil microcosm regulation, and foliar environment-responsive delivery. Through an in-depth analysis of the efficiency mechanism of composites on insecticides, antimicrobials, and herbicides, this review elucidates the scientific pathway of pesticide delivery through interfacial modification, slow-release kinetic modulation, and multilevel structural design, which will provide theoretical support and a practical paradigm for the development green agricultural technology. Full article
Show Figures

Figure 1

18 pages, 2266 KB  
Article
Anti-Hyperpigmentation-Related Potential Activities in B16BL6 Cells and Chemical Composition of Essential Oil from Chamaecyparis pisifera Leaves
by Do Yoon Kim, Kyung Jong Won, Yoon Yi Kim, Da Yeon Yoo and Hwan Myung Lee
Pharmaceutics 2025, 17(11), 1386; https://doi.org/10.3390/pharmaceutics17111386 - 25 Oct 2025
Viewed by 542
Abstract
Background/Objectives: Chamaecyparis pisifera (C. pisifera; family Cupressaceae) is known to have insecticidal and antibacterial activities, but its effects on skin depigmentation-related activities have not been elucidated. Thus, in the present study, we aimed to investigate the anti-hyperpigmentation potential of C. [...] Read more.
Background/Objectives: Chamaecyparis pisifera (C. pisifera; family Cupressaceae) is known to have insecticidal and antibacterial activities, but its effects on skin depigmentation-related activities have not been elucidated. Thus, in the present study, we aimed to investigate the anti-hyperpigmentation potential of C. pisifera var. filifera leaf essential oil (CPEO), specially focusing on responses related to melanogenesis and melanin transport, using B16BL6 cells. Methods: CPEO was extracted by steam distillation, and its composition was determined by GC/MS spectrometry. The biological activities of CPEO on B16BL6 melanoma cells were analyzed using the water soluble tetrazolium salt, BrdU incorporation, ELISA, and immunoblotting assays. Results: Twenty-eight components were identified in CPEO. CPEO was noncytotoxic to B16BL6 cells at 1–100 μg/mL and reduced serum-induced proliferation in B16BL6 cells. CPEO significantly inhibited α-MSH-stimulated increases in melanin synthesis and tyrosinase activity in the cells (e.g., at 100 μg/mL CPEO, melanin synthesis: 117.89 ± 0.00% vs. 571.94 ± 0.81% with α-MSH; tyrosinase activity: 73.62 ± 0.00% vs. 322.60 ± 3.10% with α-MSH). CPEO also downregulated the expression levels of melanogenesis-related proteins (MITF, tyrosinase, TRP-1 and -2) and melanosome transport-related proteins (Rab27a, melanophilin, myosin Va) in cells exposed to α-MSH. Moreover, the essential oil increased the phosphorylations of MAPKs (p38, ERK1/2, and JNK) in α-MSH-treated B16BL6 cells. In addition, CPEO reduced the ultraviolet A (UVA) induced increases in α-MSH levels in HaCaT cells. In addition, conditioned medium from HaCaT cells irradiated with UVA (CM-UVA) in the presence of CPEO reduced melanin synthesis and tyrosinase activity in B16BL6 cells (e.g., at CM-UVA with 100 μg/mL CPEO, melanin synthesis: 100.92 ± 0.99% vs. 134.44 ± 0.97% with CM-UVA; tyrosinase activity: 101.02 ± 1.81% vs. 133.77 ± 1.88% with CM-UVA). Conclusions: These findings suggest that CPEO inhibits melanin production (probably through the regulation of MAPKs) and transport-related activities in B16BL6 cells, and that CPEO may serve as a potential natural anti-hyperpigmentation or skin whitening. Full article
(This article belongs to the Section Drug Targeting and Design)
Show Figures

Graphical abstract

17 pages, 1347 KB  
Article
Repellent, Lethal Activity, and Synergism of Cannabis sativa Extracts with Terpenes Against a Laboratory Colony of Triatoma infestans
by Martín M. Dadé, Martín R. Daniele, Sergio Rodriguez, Pilar Díaz, Maria Pía Silvestrini, Guillermo R. Schinella, Gustavo H. Marin, Daniel Barrio and Jose M. Prieto Garcia
Plants 2025, 14(21), 3258; https://doi.org/10.3390/plants14213258 - 24 Oct 2025
Viewed by 253
Abstract
Triatoma infestans is one of the primary vectors of Chagas disease. This vector has developed increasing resistance to pyrethroids, the main insecticides used for its control. Recent studies have highlighted the repellent and lethal effects of Cannabis sativa on insects, suggesting its potential [...] Read more.
Triatoma infestans is one of the primary vectors of Chagas disease. This vector has developed increasing resistance to pyrethroids, the main insecticides used for its control. Recent studies have highlighted the repellent and lethal effects of Cannabis sativa on insects, suggesting its potential use in pest management. Based on this, we hypothesize that C. sativa could be a viable bioactive for controlling T. infestans. To test this hypothesis, acetone and ethanol extracts were obtained from the inflorescences of C. sativa L. (Deep Mandarine variety) using sonication. These extracts were analyzed through gas chromatography and high-performance liquid chromatography. The repellent and lethal effects of the extracts were evaluated on fifth-instar nymphs of T. infestans from a laboratory colony, as well as on the beneficial non-target species, Apis mellifera. The most abundant terpenes identified were β-caryophyllene and β-pinene, with concentrations exceeding 100 ppm in both extracts. Cannabidiol and Δ9-tetrahydrocannabinol were the predominant cannabinoids. Both extracts exhibited maximum lethal activity 48 h after insect contact, with the acetone extract demonstrating a potency five times greater than the ethanolic extract. Binary combinations of C. sativa extracts with major terpenes showed dose-dependent interactions against T. infestans, ranging from strong synergy (e.g., AE + β-caryophyllene, CI = 0.06–0.17) to marked antagonism (e.g., AE + E-ocimene, CI = 1.60–4.80). Furthermore, the acetone extract showed a more effective repellent action compared to the ethanol extract, even outperforming N,N-Diethyl-meta-toluamide (DEET, positive control). At a concentration of 25 µg/cm2 for 60 min, the acetone extract achieved a 100% repellent effect, whereas DEET required a concentration of 50 µg/cm2 to achieve the same effect. Unlike imidacloprid (positive control), neither extract showed toxicity to adult A. mellifera at the evaluated doses. Full article
(This article belongs to the Special Issue Recent Advances in Essential Oils and Plant Extracts)
Show Figures

Figure 1

18 pages, 2202 KB  
Article
The Use of Selected Essential Oils as an Alternative Method of Controlling Pathogenic Fungi, Weeds and Insects on Oilseed Rape (Brassica napus L.)
by Jakub Danielewicz, Joanna Horoszkiewicz, Ewa Jajor, Marek Korbas, Joanna Zamojska, Daria Dworzańska, Paweł Węgorek, Monika Grzanka, Łukasz Sobiech, Robert Idziak, Jan Bocianowski, Kinga Stuper-Szablewska and Maciej Buśko
Agriculture 2025, 15(21), 2214; https://doi.org/10.3390/agriculture15212214 - 24 Oct 2025
Viewed by 220
Abstract
The increasing demand for sustainable agricultural practices has led researchers to explore alternative methods for controlling plant diseases and pests. Among these alternatives, essential oils (EOs) derived from various plant species have gained significant attention due to their broad-spectrum antimicrobial properties, which can [...] Read more.
The increasing demand for sustainable agricultural practices has led researchers to explore alternative methods for controlling plant diseases and pests. Among these alternatives, essential oils (EOs) derived from various plant species have gained significant attention due to their broad-spectrum antimicrobial properties, which can be utilized in plant protection. Essential oils are volatile compounds that possess strong aromatic characteristics and are found in many medicinal and aromatic plants. They are known for their antifungal, antibacterial, and insecticidal activities, making them viable candidates for eco-friendly pest and disease management strategies. In this research, six essential oils—pine, patchouli, geranium, spruce, coriander, and eucalyptus oil—have been tested in vitro for controlling mycelium growth of Sclerotinia sclerotiorum, Botrytis cinerea, Alternaria brassicicola, and Cylindrosporium concentricum. The study also covers experiments in controlling pollen beetle and cabbage seed weevil (laboratory trials). In greenhouse conditions, the phytotoxicity of EOs to oilseed rape (Brassica napus L.) and the effect of these substances on the control of cornflower (Centaurea cyanus) were also tested. The results obtained indicate a large diversity of different essential oils in terms of their action on pathogens, pests, weeds, and winter rapeseed. Differences in their effectiveness were also found, depending on the applied dose. Full article
Show Figures

Figure 1

8 pages, 372 KB  
Article
The Use of Disabled Insecticidal Proteins (DIPs) to Investigate the Interaction Between Aedes aegypti-Active Toxins from Bacillus thuringiensis
by Nelly Igwe and Neil Crickmore
Insects 2025, 16(11), 1085; https://doi.org/10.3390/insects16111085 - 23 Oct 2025
Viewed by 860
Abstract
A variety of pesticidal proteins derived from the bacterium Bacillus thuringiensis exhibit activity against the yellow fever mosquito Aedes aegypti and are used to control this insect vector. Several of these proteins, including Cry1Ca and Cry2Aa, additionally have activity against lepidopteran insects. Furthermore, [...] Read more.
A variety of pesticidal proteins derived from the bacterium Bacillus thuringiensis exhibit activity against the yellow fever mosquito Aedes aegypti and are used to control this insect vector. Several of these proteins, including Cry1Ca and Cry2Aa, additionally have activity against lepidopteran insects. Furthermore, the specificity of Cry2Aa has recently been shown to depend on domain I of the Cry protein, whereas it is generally recognized that domain II is the primary specificity-determining domain. This work has made use of disabled forms of three Cry proteins (Cry2Aa, Cry1Ca and Cry11Aa) and one naturally non-active protein (Cry2Ab) in an in vivo competition assay to investigate whether Cry2Aa and the dual-active Cry1Ca share a common receptor with the other pesticidal proteins. It was found that despite their differing specificities and potential modes of action, all of the Aedes-active proteins tested made use of a common receptor, although evidence is presented that Cry2Aa can use multiple receptors. When additional toxins (Cry41Aa, Cry1Aa, Cry1Ac) with no activity against this mosquito were tested, they too were found to share the same receptor, suggesting that Cry toxins may have evolved to utilize a common set of receptors in insects but that additional factors determine species specificity. Full article
Show Figures

Figure 1

17 pages, 4227 KB  
Article
Optimizing Foliar Spray Intervals and Rates of Isocycloseram and Cyantraniliprole Plus Thiamethoxam Application on Hydrangea paniculata to Combat Adult Systena frontalis (F) (Coleoptera: Chrysomelidae)
by Shimat V. Joseph
Insects 2025, 16(11), 1082; https://doi.org/10.3390/insects16111082 - 23 Oct 2025
Viewed by 295
Abstract
Systena frontalis (Fabricius) (Coleoptera: Chrysomelidae) is a challenging pest to manage in ornamental container nurseries, affecting over 50 plant species, particularly panicled hydrangea (Hydrangea paniculata Siebold). Because S. frontalis produces multiple generations and there is a risk of developing resistance to the [...] Read more.
Systena frontalis (Fabricius) (Coleoptera: Chrysomelidae) is a challenging pest to manage in ornamental container nurseries, affecting over 50 plant species, particularly panicled hydrangea (Hydrangea paniculata Siebold). Because S. frontalis produces multiple generations and there is a risk of developing resistance to the insecticides currently used, growers urgently seek new tools, especially new active ingredients with different modes of action or new insecticide products. Isocycloseram (Plinazolin® Technology) and cyantraniliprole + thiamethoxam (Mainspring® Xtra) are new potential insecticides for managing adult S. frontalis. However, the effective rates and application frequencies and intervals of isocycloseram and cyantraniliprole + thiamethoxam are not well understood. Therefore, the objectives of this study were to determine how rates and application intervals of these insecticides affect feeding damage when applied as foliar sprays. In laboratory assays, applying isocycloseram 1.67 SC at 59.1, 118.3, 177.4, 236.6, and 295.7 mL in 378.5 L of water, as well as cyantraniliprole + thiamethoxam at 70.9, 141.7, 212.6, and 303.3 g, reduced feeding damage compared to nontreated controls. In field trials conducted in 2024 and 2025, leaves treated with isocycloseram at 118.3 and 147.9 mL in 378.5 L of water showed significantly less damage than nontreated controls. Cyantraniliprole + thiamethoxam at 226.8 and 283.5 g in 378.5 L of water also significantly reduced the number of damaged leaves compared to nontreated controls. Two to three repeated applications of isocycloseram 1.67 SC and cyantraniliprole + thiamethoxam, administered at 7 d intervals, significantly reduced leaf damage compared to two applications at 14 d intervals. Full article
Show Figures

Figure 1

16 pages, 703 KB  
Article
Toxicity of Hypaconitine from Aconitum coreanum (H. Lév.) Rapaics Against the Oriental Armyworm, Mythimna separata (Walker)
by Xiuwei Li, Jiaqi Xing, Meng Yang, Naiwei Chen and Yaping Liang
Insects 2025, 16(11), 1080; https://doi.org/10.3390/insects16111080 - 22 Oct 2025
Viewed by 494
Abstract
Mythimna separata (Walker) (Lepidoptera: Noctuidae) is a major migratory pest causing severe damage to cereal crops such as maize, wheat, and rice across Asia, and is also found in many parts of Oceania. With increasing insecticide resistance, botanical alternatives are urgently needed. This [...] Read more.
Mythimna separata (Walker) (Lepidoptera: Noctuidae) is a major migratory pest causing severe damage to cereal crops such as maize, wheat, and rice across Asia, and is also found in many parts of Oceania. With increasing insecticide resistance, botanical alternatives are urgently needed. This study evaluated the insecticidal potential of hypaconitine, a C19-diterpenoid alkaloid from Aconitum coreanum, against M. separata larvae. Hypaconitine exhibited significant stomach toxicity and strong antifeedant activity. It also caused pronounced growth inhibition, prolonged larval and pupal development, reduced pupation and adult emergence, induced morphological deformities, and significantly shortened adult longevity. Crucially, biochemical assays revealed sustained, time- and concentration-dependent upregulation of key detoxification enzymes—carboxylesterase (CarE), glutathione S-transferase (GST), and cytochrome P450 (CYP450)—over 72 h, indicating that hypaconitine imposes severe metabolic fitness costs rather than being readily detoxified. These effects collectively demonstrate that hypaconitine’s insecticidal efficacy arises not only from direct toxicity but also from exploiting the physiological trade-offs inherent in xenobiotic defense. Its multi-modal action—combining larvicidal, antifeedant, growth-regulatory, and metabolism-disrupting effects—presents a novel strategy for bioinsecticide development with a lower risk of resistance evolution. These findings highlight hypaconitine as a promising candidate for sustainable, integrated management of M. separata and other resistant lepidopteran pests. Full article
(This article belongs to the Section Insect Pest and Vector Management)
Show Figures

Figure 1

18 pages, 998 KB  
Article
Mosquito Feeding Preference, Infectivity Rates, and Knockdown Resistance Within the Wild Population of Anopheles arabiensis in Jabi Tehnan District, Northwest Ethiopia
by Alemnesh Hailemariam Bedasso, Sisay Dugassa, Jimma Dinsa Deressa, Geremew Tasew Guma, Getachew Tolera Eticha, Mesay Hailu Dangisso, Eliningaya J. Kweka and Habte Tekie
Trop. Med. Infect. Dis. 2025, 10(10), 299; https://doi.org/10.3390/tropicalmed10100299 - 21 Oct 2025
Viewed by 862
Abstract
Background: In recent decades, malaria vector species distribution and insecticide resistance have taken new colonization steps across Africa. Understanding the malaria vector insecticide resistance status, blood meal source, and species composition is of paramount importance in designing evidence-based vector control strategies. This study [...] Read more.
Background: In recent decades, malaria vector species distribution and insecticide resistance have taken new colonization steps across Africa. Understanding the malaria vector insecticide resistance status, blood meal source, and species composition is of paramount importance in designing evidence-based vector control strategies. This study assessed the blood meal sources, sporozoite (infectivity) rate, and knockdown resistance allele’s frequency in female Anopheles arabiensis in chosen villages of Jabi Tehnan District, Northwest Ethiopia. Methods: The host-seeking and resting Anopheles gambiae s.l. were collected using human landing catches (HLCs), CDC light traps (CDC-LTs), pyrethrum spray catches (PSCs), and pit shelters (PSs) both indoors and outdoors. The analysis of both blood meal sources and circumsporozoite proteins was performed using enzyme-linked immunosorbent assay (ELISA). The detection of knockdown resistance gene mutations and species identification were conducted using a polymerase chain reaction (PCR). Results: A total of 5098 female Anopheles gambiae s.l. were collected. Of these, 1690 (33.2%) were collected from HLCs, 1423 (27.9%) from CDC light traps, 1635 (32.0%) from PSCs, and only 350 (6.9%) from pit shelters (PSs). Of these, 57.2% (n = 2915) female Anopheles mosquitoes were collected indoors using CDC light traps (CDC-LTs), human landing catches (HLCs), and pyrethrum spray catches (PSCs), while 38.2% (n = 2183) were collected outdoors using human landing collection (HLC), CDC light traps (CDC-LTs), and artificial pit shelters (PSs). Molecular identification to the species level showed that among the 530 An. gambiae s.l. samples analyzed using PCR, 96.03% (509) were An. arabiensis, and 3.97% (21) were unidentified species. The biting peak was found to be from 22:00 to 00:00 h for An. arabiensis. However, their activity decreased sharply after 23:00 to 00:00 h. The distribution of knockdown resistance genes in the tested specimens of An. arabiensis consisted of 1.4% (n = 3) heterozygous resistant (RS), 17.9% (n = 38) homozygous resistant (RR), and 80.7% (n = 171) homozygous susceptible (SS) genotypes. A higher proportion of Anopheles mosquitoes analyzed for blood meal analysis had a human blood meal origin at 13.1% (n = 47), followed by bovine at 8.9% (n = 32) and mixed at 5.8% (n = 21). Conclusions: The dominant malaria vector species was Anopheles arabiensis in the study area with a higher human blood meal origin. The Kdr gene was confirmed in the tested An. arabiensis, indicating that an alternative insecticide class should be used in the study area. Full article
(This article belongs to the Special Issue Insecticide Resistance and Vector Control)
Show Figures

Figure 1

Back to TopTop