Sign in to use this feature.

Years

Between: -

Subjects

remove_circle_outline
remove_circle_outline
remove_circle_outline
remove_circle_outline
remove_circle_outline

Journals

Article Types

Countries / Regions

Search Results (38)

Search Parameters:
Keywords = Harmonized Landsat Sentinel (HLS)

Order results
Result details
Results per page
Select all
Export citation of selected articles as:
24 pages, 10480 KB  
Article
Detecting Abandoned Cropland in Monsoon-Influenced Regions Using HLS Imagery and Interpretable Machine Learning
by Sinyoung Park, Sanae Kang, Byungmook Hwang and Dongwook W. Ko
Agronomy 2025, 15(12), 2702; https://doi.org/10.3390/agronomy15122702 - 24 Nov 2025
Viewed by 261
Abstract
Abandoned cropland has been expanding due to complex socio-economic factors such as urbanization, demographic shifts, and declining agricultural profitability. As abandoned cropland simultaneously brings ecological, environmental, and social risks and benefits, quantitative monitoring is essential to assess its overall impact. Satellite image-based spatial [...] Read more.
Abandoned cropland has been expanding due to complex socio-economic factors such as urbanization, demographic shifts, and declining agricultural profitability. As abandoned cropland simultaneously brings ecological, environmental, and social risks and benefits, quantitative monitoring is essential to assess its overall impact. Satellite image-based spatial data are suitable for identifying spectral characteristics related to crop phenology, and recent research has advanced in detecting large-scale abandoned cropland through changes in time-series spectral characteristics. However, frequent cloud covers and highly fragmented croplands, which vary across regions and climatic conditions, still pose significant challenges for satellite-based detection. This study combined Harmonized Landsat and Sentinel-2 (HLS) imagery, offering high temporal (2–3 days) and spatial (30 m) resolution, with the eXtreme Gradient Boosting (XGBoost) algorithm to capture seasonal spectral variations among rice paddy, upland fields, and abandoned croplands. An XGBoost model with a Balanced Bagging Classifier (BBC) was used to mitigate class imbalance. The model achieved an accuracy of 0.84, Cohens kappa 0.71, and F2 score 0.84. SHapley Additive exPlanations (SHAP) analysis identified major features such as NIR (May–June), SWIR2 (January), MCARI (September), and BSI (January–April), reflecting phenological differences among cropland types. Overall, this study establishes a robust framework for large-scale cropland monitoring that can be adapted to different regional and climatic settings. Full article
Show Figures

Figure 1

21 pages, 16049 KB  
Article
A Microwave–Optical Multi-Stage Synergistic Daily 30 m Soil Moisture Downscaling Framework
by Hong Xie, Tong Wang, Yujiang Xiong, Xiaodong Zhang, Yu Zhang, Guanzhou Chen, Kaiqi Zhang and Qing Wang
Remote Sens. 2025, 17(22), 3677; https://doi.org/10.3390/rs17223677 - 9 Nov 2025
Viewed by 632
Abstract
Accurate daily surface soil moisture (SSM) mapping at high spatial resolution (e.g., 30 m) remains challenging due to individual satellite sensor limitations. Although passive microwave sensors provide frequent coarse-resolution observations and synthetic aperture radar (SAR) offers high-resolution data intermittently, achieving both simultaneously requires [...] Read more.
Accurate daily surface soil moisture (SSM) mapping at high spatial resolution (e.g., 30 m) remains challenging due to individual satellite sensor limitations. Although passive microwave sensors provide frequent coarse-resolution observations and synthetic aperture radar (SAR) offers high-resolution data intermittently, achieving both simultaneously requires sensor synergy. This paper introduces the microwave–optical multi-stage synergistic downscaling framework (MMSDF) to generate daily 30 m SSM products. The framework integrates SMAP L4 (9 km), MODIS data (500 m–1 km), harmonized Landsat Sentinel-2 (HLS, 30 m), radiometric terrain corrected Sentinel-1 (RTC-S1, 30 m), and auxiliary geographic data. It comprises three stages: (1) downscaling SMAP L4 to 1 km via random forest; (2) calibrating Sentinel-1 water cloud model (WCM) using intermediate 1 km SSM to retrieve 30 m SSM without in situ calibration; and (3) fusing daily 1 km SSM and intermittent 30 m WCM-derived retrievals using the spatial–temporal fusion model (ESTARFM) to generate seamless daily 30 m SSM maps. Validation against in situ measurements from 16 sites in Hunan Province, China (summer 2024) yielded R of 0.54 and RMSE of 0.045 cm3/cm3. Results demonstrate the framework’s capability to synergize multi-source data for high-resolution daily SSM estimates valuable for hydrological and agricultural applications. Full article
Show Figures

Figure 1

23 pages, 4351 KB  
Article
Upscaling of Soil Moisture over Highly Heterogeneous Surfaces and Validation of SMAP Product
by Jiakai Qin, Zhongli Zhu, Qingxia Wu, Julong Ma, Shaomin Liu, Linna Chai and Ziwei Xu
Land 2025, 14(10), 2098; https://doi.org/10.3390/land14102098 - 21 Oct 2025
Viewed by 494
Abstract
Soil moisture (SM) is a critical component of the global water cycle, profoundly influencing carbon fluxes and energy exchanges between the land surface and the atmosphere. NASA’s Soil Moisture Active/Passive (SMAP) mission provides soil moisture products at the global scale; however, validation of [...] Read more.
Soil moisture (SM) is a critical component of the global water cycle, profoundly influencing carbon fluxes and energy exchanges between the land surface and the atmosphere. NASA’s Soil Moisture Active/Passive (SMAP) mission provides soil moisture products at the global scale; however, validation of SMAP faces significant challenges due to scale mismatches between in situ measurements and satellite pixels, particularly in highly heterogeneous regions such as the Qinghai–Tibet Plateau. This study leverages high-spatiotemporal-resolution Harmonized Landsat–Sentinel-2 (HLS v2.0) data and the QLB-NET observation network, employing multiple machine learning models to generate pixel-scale ground-truth soil moisture from in situ measurements. The results indicate that XGBoost performs best (R = 0.941, RMSE = 0.047 m3/m3), and SHAP analysis identifies elevation and DOY as the primary drivers of the spatial patterns and dynamics of soil moisture. The XGBoost-upscaled soil moisture was employed as a validation benchmark to assess the accuracy of the SMAP 9 km and 36 km products, with the following key findings: (1) the proposed upscaling method effectively bridges the scale gap, yielding a correlation of 0.858 between the 36 km SMAP product and the pixel-scale soil moisture reference derived from XGBoost, surpassing the 0.818 correlation obtained using the traditional in situ averaging approach; (2) descending-orbit data generally outperform ascending-orbit data. In the 9 km SMAP product, 15 descending-orbit grids meet the scientific standard, compared to 10 ascending-orbit grids. For the 36 km product, only descending orbits satisfy the scientific standard. Full article
Show Figures

Figure 1

19 pages, 6433 KB  
Article
Quantifying Mining-Induced Phenological Disturbance and Soil Moisture Regulation in Semi-Arid Grasslands Using HLS Time Series
by Yanling Zhao, Shenshen Ren and Yanjie Tang
Land 2025, 14(10), 2011; https://doi.org/10.3390/land14102011 - 7 Oct 2025
Viewed by 481
Abstract
Coal mining disturbances in semi-arid grasslands affect land surface phenology (LSP), impacting ecosystem functions, restoration target setting, and carbon sequestration; however, the magnitude and spatial extent of these disturbances and their detectability across vegetation indices (VIs), remain insufficiently constrained. We developed and applied [...] Read more.
Coal mining disturbances in semi-arid grasslands affect land surface phenology (LSP), impacting ecosystem functions, restoration target setting, and carbon sequestration; however, the magnitude and spatial extent of these disturbances and their detectability across vegetation indices (VIs), remain insufficiently constrained. We developed and applied a streamlined quantitative framework to delineate the extent and intensity of mining-induced phenological disturbance and to compare the sensitivity and stability of commonly used VIs. Using Harmonized Landsat Sentinel (HLS) surface reflectance data over the Yimin mine, we reconstructed multitemporal VI trajectories and derived phenological metrics; directional phenology gradients were used to delineate disturbance, and VI responsiveness was evaluated via mean difference (MD) and standard deviation (SD) between affected and control areas. Research findings indicate that the impact of mining extends to an area approximately four times the size of the mining site, with the start of season (SOS) in affected areas occurring about 10 days later than in unaffected areas. Responses varied markedly among VIs, with the Modified Soil-Adjusted Vegetation Index (MSAVI) exhibiting the highest spectral stability under disturbance. This framework yields an information-rich quantification of phenological impacts attributable to mining and provides operational guidance for index selection and the prioritization of restoration and environmental management in semi-arid mining landscapes. Full article
(This article belongs to the Section Land, Soil and Water)
Show Figures

Figure 1

29 pages, 8161 KB  
Article
Dense Time Series of Harmonized Landsat Sentinel-2 and Ensemble Machine Learning to Map Coffee Production Stages
by Taya Cristo Parreiras, Claudinei de Oliveira Santos, Édson Luis Bolfe, Edson Eyji Sano, Victória Beatriz Soares Leandro, Gustavo Bayma, Lucas Augusto Pereira da Silva, Danielle Elis Garcia Furuya, Luciana Alvim Santos Romani and Douglas Morton
Remote Sens. 2025, 17(18), 3168; https://doi.org/10.3390/rs17183168 - 12 Sep 2025
Cited by 2 | Viewed by 2139
Abstract
Coffee demand continues to rise, while producing countries face increasing challenges and yield losses due to climate change. In response, farmers are adopting agricultural practices capable of boosting productivity. However, these practices increase intercrop variability, making coffee mapping more challenging. In this study, [...] Read more.
Coffee demand continues to rise, while producing countries face increasing challenges and yield losses due to climate change. In response, farmers are adopting agricultural practices capable of boosting productivity. However, these practices increase intercrop variability, making coffee mapping more challenging. In this study, a novel approach is proposed to identify coffee cultivation considering four phenological stages: planting (PL), producing (PR), skeleton pruning (SK), and renovation with stumping (ST). A hierarchical classification framework was designed to isolate coffee pixels and identify their respective stages in one of Brazil’s most important coffee-producing regions. A dense time series of multispectral bands, spectral indices, and texture metrics derived from Harmonized Landsat Sentinel-2 (HLS) imagery, with an average revisit time of ~3 days, was employed. This data was combined with an ensemble learning approach based on decision-tree algorithms, specifically Random Forest (RF) and Extreme Gradient Boosting (XGBoost). The results achieved unprecedented sensitivity and specificity for coffee plantation detection with RF, consistently exceeding 95%. The classification of coffee phenological stages showed balanced accuracies of 77% (ST) and from 93% to 95% for the other classes. These findings are promising and provide a scalable framework to monitor climate-resilient coffee management practices. Full article
(This article belongs to the Section Remote Sensing in Agriculture and Vegetation)
Show Figures

Graphical abstract

30 pages, 13230 KB  
Article
Harmonization of Gaofen-1/WFV Imagery with the HLS Dataset Using Conditional Generative Adversarial Networks
by Haseeb Ur Rehman, Guanhua Zhou, Franz Pablo Antezana Lopez and Hongzhi Jiang
Remote Sens. 2025, 17(17), 2995; https://doi.org/10.3390/rs17172995 - 28 Aug 2025
Viewed by 772
Abstract
The harmonized multi-sensor satellite data assists users by providing seamless analysis-ready data with enhanced temporal resolution. The Harmonized Landsat Sentinel (HLS) product has gained popularity due to the seamless integration of Landsat OLI and Sentinel-2 MSI, achieving a temporal resolution of 2.8 to [...] Read more.
The harmonized multi-sensor satellite data assists users by providing seamless analysis-ready data with enhanced temporal resolution. The Harmonized Landsat Sentinel (HLS) product has gained popularity due to the seamless integration of Landsat OLI and Sentinel-2 MSI, achieving a temporal resolution of 2.8 to 3.5 days. However, applications that require monitoring intervals of less than three days or cloudy data can limit the usage of HLS data. Gaofen-1 (GF-1) Wide Field of View (WFV) data provides the capacity further to enhance the data availability by harmonization with HLS. In this study, GF-1/WFV data is harmonized with HLS by employing deep learning-based conditional Generative Adversarial Networks (cGANs). The harmonized WFV data with HLS provides an average temporal resolution of 1.5 days (ranging from 1.2 to 1.7 days), whereas the temporal resolution of HLS varies from 2.8 to 3.5 days. This enhanced temporal resolution will benefit applications that require frequent monitoring. Various processes are employed in HLS to achieve seamless products from the Operational Land Imager (OLI) and Multispectral Imager (MSI). This study applies 6S atmospheric correction to obtain GF-1/WFV surface reflectance data, employs MFC cloud masking, resamples the data to 30 m, and performs geographical correction using AROP relative to HLS data, to align preprocessing with HLS workflows. Harmonization is achieved without using BRDF normalization and bandpass adjustment like in the HLS workflows; instead, cGAN learns cross-sensor reflectance mapping by utilizing a U-Net generator and a patchGAN discriminator. The harmonized GF-1/WFV data were compared to the reference HLS data using various quality indices, including SSIM, MBE, and RMSD, across 126 cloud-free validation tiles covering various land covers and seasons. Band-wise scatter plots, histograms, and visual image color quality were compared. All these indices, including the Sobel filter, histograms, and visual comparisons, indicated that the proposed method has effectively reduced the spectral discrepancies between the GF-1/WFV and HLS data. Full article
Show Figures

Figure 1

21 pages, 23129 KB  
Article
Validation of Global Moderate-Resolution FAPAR Products over Boreal Forests in North America Using Harmonized Landsat and Sentinel-2 Data
by Yinghui Zhang, Hongliang Fang, Zhongwen Hu, Yao Wang, Sijia Li and Guofeng Wu
Remote Sens. 2025, 17(15), 2658; https://doi.org/10.3390/rs17152658 - 1 Aug 2025
Cited by 1 | Viewed by 648
Abstract
The fraction of absorbed photosynthetically active radiation (FAPAR) stands as a pivotal parameter within the Earth system, quantifying the energy exchange between vegetation and solar radiation. Accordingly, there is an urgent need for comprehensive validation studies to accurately quantify uncertainties and improve the [...] Read more.
The fraction of absorbed photosynthetically active radiation (FAPAR) stands as a pivotal parameter within the Earth system, quantifying the energy exchange between vegetation and solar radiation. Accordingly, there is an urgent need for comprehensive validation studies to accurately quantify uncertainties and improve the reliability of FAPAR-based applications. This study validated five global FAPAR products, MOD15A2H, MYD15A2H, VNP15A2H, GEOV2, and GEOV3, over four boreal forest sites in North America. Qualitative quality flags (QQFs) and quantitative quality indicators (QQIs) of each product were analyzed. Time series high-resolution reference FAPAR maps were developed using the Harmonized Landsat and Sentinel-2 dataset. The reference FAPAR maps revealed a strong agreement with the in situ FAPAR from AmeriFlux (correlation coefficient (R) = 0.91; root mean square error (RMSE) = 0.06). The results revealed that global FAPAR products show similar uncertainties (RMSE: 0.16 ± 0.04) and moderate agreement with the reference FAPAR (R = 0.75 ± 0.10). On average, 34.47 ± 6.91% of the FAPAR data met the goal requirements of the Global Climate Observing System (GCOS), while 54.41 ± 6.89% met the threshold requirements of the GCOS. Deciduous forests perform better than evergreen forests, and the products tend to underestimate the reference data, especially for the beginning and end of growing seasons in evergreen forests. There are no obvious quality differences at different QQFs, and the relative QQI can be used to filter high-quality values. To enhance the regional applicability of global FAPAR products, further algorithm improvements and expanded validation efforts are essential. Full article
Show Figures

Figure 1

24 pages, 4652 KB  
Article
A Machine Learning-Based Assessment of Proxies and Drivers of Harmful Algal Blooms in the Western Lake Erie Basin Using Satellite Remote Sensing
by Neha Joshi, Armeen Ghoorkhanian, Jongmin Park, Kaiguang Zhao and Sami Khanal
Remote Sens. 2025, 17(13), 2164; https://doi.org/10.3390/rs17132164 - 24 Jun 2025
Cited by 1 | Viewed by 1319
Abstract
The western region of Lake Erie has been experiencing severe water-quality issues, mainly through the infestation of algal blooms, highlighting the urgent need for action. Understanding the drivers and the intricacies associated with algal bloom phenomena is important to develop effective water-quality remediation [...] Read more.
The western region of Lake Erie has been experiencing severe water-quality issues, mainly through the infestation of algal blooms, highlighting the urgent need for action. Understanding the drivers and the intricacies associated with algal bloom phenomena is important to develop effective water-quality remediation strategies. In this study, the influences of multiple bloom drivers were explored, together with Harmonized Landsat Sentinel-2 (HLS) images, using the datasets collected in Western Lake Erie from 2013 to 2022. Bloom drivers included a group of physicochemical and meteorological variables, and Chlorophyll-a (Chl-a) served as a proxy for algal blooms. Various combinations of these datasets were used as predictor variables for three machine learning models, including Support Vector Regression (SVR), Extreme Gradient Boosting (XGB), and Random Forest (RF). Each model is complemented with the SHapley Additive exPlanations (SHAP) model to understand the role of predictor variables in Chl-a estimation. A combination of physicochemical variables and optical spectral bands yielded the highest model performance (R2 up to 0.76, RMSE as low as 8.04 µg/L). The models using only meteorological data and spectral bands performed poorly (R2 < 0.40), indicating the limited standalone predictive power of meteorological variables. While satellite-only models achieved moderate performance (R2 up to 0.48), they could still be useful for preliminary monitoring where field data are unavailable. Furthermore, all 20 variables did not substantially improve model performance over models with only spectral and physicochemical inputs. While SVR achieved the highest R2 in individual runs, XGB provided the most stable and consistently strong performance across input configurations, which could be an important consideration for operational use. These findings are highly relevant for harmful algal bloom (HAB) monitoring, where Chl-a serves as a critical proxy. By clarifying the contribution of diverse variables to Chl-a prediction and identifying robust modeling approaches, this study provides actionable insights to support data-driven management decisions aimed at mitigating HAB impacts in freshwater systems. Full article
Show Figures

Graphical abstract

28 pages, 6791 KB  
Article
Effects of Precipitation and Fire on Land Surface Phenology in the Brazilian Savannas (Cerrado)
by Monique Calderaro da Rocha Santos, Lênio Soares Galvão, Thales Sehn Korting and Grazieli Rodigheri
Remote Sens. 2025, 17(12), 2077; https://doi.org/10.3390/rs17122077 - 17 Jun 2025
Cited by 1 | Viewed by 1211
Abstract
In protected areas of the Brazilian savannas (Cerrado), Land Surface Phenology (LSP) is influenced by both precipitation and fire, but the nature of these relationships remains unexplored. Here, we assessed the impacts of precipitation and fire on LSP metrics derived from the Normalized [...] Read more.
In protected areas of the Brazilian savannas (Cerrado), Land Surface Phenology (LSP) is influenced by both precipitation and fire, but the nature of these relationships remains unexplored. Here, we assessed the impacts of precipitation and fire on LSP metrics derived from the Normalized Difference Vegetation Index (NDVI) at Emas National Park (ENP). Using TIMESAT, along with the 250-m Moderate Resolution Imaging Spectroradiometer (MODIS) MOD13Q1 and 30-m Harmonized Landsat Sentinel (HLS) products, we investigated these effects in both grassland and woodland areas. To evaluate the effects of precipitation, we identified the driest and wettest seasonal cycles between 2002 and 2023 and analyzed the relationships between accumulated rainfall during the rainy season and each of the 13 TIMESAT metrics. To assess the effects of fire, three major events were examined: 1 September 2005 (affecting 45% of the park’s area), 12 August 2010 (90%), and 10 July 2021 (21%). The burned grassland area and the subsequent vegetation recovery following the 2021 event were analyzed in detail using a non-burned control site and LSP metrics extracted from the HLS product, covering both pre- and post-disturbance cycles. The results indicated that the metrics most positively correlated to precipitation were Amplitude (AMP), End of Season (EOS), Large and Small Seasonal Integrals (LSI and SSI), and Rate of Increase at the Beginning of the Season (RIBS). The highest correlation coefficients were found in woodland areas, which were less affected by fire disturbance than grassland areas. Similar trends were observed in the behavior of AMP, EOS, and SSI in response to both precipitation and fire, with fire exerting a stronger influence. By decoupling the fire effects from rainfall influence using the control site, we identified Base Level (BL), SSI, EOS, AMP, and Values at the End and Start of the Season (VES and VSS), as the metrics most sensitive to fire and subsequent vegetation recovery in burned areas. The effects of fire were evident for most metrics, both during the disturbance cycle and in the post-fire cycle. Our study underscores the importance of combining MODIS and HLS time series to understand vegetation phenology in the Cerrado. Full article
(This article belongs to the Section Environmental Remote Sensing)
Show Figures

Graphical abstract

32 pages, 6342 KB  
Article
Statewide Forest Canopy Cover Mapping of Florida Using Synergistic Integration of Spaceborne LiDAR, SAR, and Optical Imagery
by Monique Bohora Schlickmann, Inacio Thomaz Bueno, Denis Valle, William M. Hammond, Susan J. Prichard, Andrew T. Hudak, Carine Klauberg, Mauro Alessandro Karasinski, Kody Melissa Brock, Kleydson Diego Rocha, Jinyi Xia, Rodrigo Vieira Leite, Pedro Higuchi, Ana Carolina da Silva, Gabriel Maximo da Silva, Gina R. Cova and Carlos Alberto Silva
Remote Sens. 2025, 17(2), 320; https://doi.org/10.3390/rs17020320 - 17 Jan 2025
Cited by 2 | Viewed by 3611
Abstract
Southern U.S. forests are essential for carbon storage and timber production but are increasingly impacted by natural disturbances, highlighting the need to understand their dynamics and recovery. Canopy cover is a key indicator of forest health and resilience. Advances in remote sensing, such [...] Read more.
Southern U.S. forests are essential for carbon storage and timber production but are increasingly impacted by natural disturbances, highlighting the need to understand their dynamics and recovery. Canopy cover is a key indicator of forest health and resilience. Advances in remote sensing, such as NASA’s GEDI spaceborne LiDAR, enable more precise mapping of canopy cover. Although GEDI provides accurate data, its limited spatial coverage restricts large-scale assessments. To address this, we combined GEDI with Synthetic Aperture Radar (SAR), and optical imagery (Sentinel-1 GRD and Landsat–Sentinel Harmonized (HLS)) data to create a comprehensive canopy cover map for Florida. Using a random forest algorithm, our model achieved an R2 of 0.69, RMSD of 0.17, and MD of 0.001, based on out-of-bag samples for internal validation. Geographic coordinates and the red spectral channel emerged as the most influential predictors. External validation with airborne laser scanning (ALS) data across three sites yielded an R2 of 0.70, RMSD of 0.29, and MD of −0.22, confirming the model’s accuracy and robustness in unseen areas. Statewide analysis showed lower canopy cover in southern versus northern Florida, with wetland forests exhibiting higher cover than upland sites. This study demonstrates the potential of integrating multiple remote sensing datasets to produce accurate vegetation maps, supporting forest management and sustainability efforts in Florida. Full article
(This article belongs to the Section Environmental Remote Sensing)
Show Figures

Figure 1

23 pages, 9861 KB  
Article
A Synergistic Framework for Coupling Crop Growth, Radiative Transfer, and Machine Learning to Estimate Wheat Crop Traits in Pakistan
by Rana Ahmad Faraz Ishaq, Guanhua Zhou, Aamir Ali, Syed Roshaan Ali Shah, Cheng Jiang, Zhongqi Ma, Kang Sun and Hongzhi Jiang
Remote Sens. 2024, 16(23), 4386; https://doi.org/10.3390/rs16234386 - 24 Nov 2024
Cited by 2 | Viewed by 2275
Abstract
The integration of the Crop Growth Model (CGM), Radiative Transfer Model (RTM), and Machine Learning Algorithm (MLA) for estimating crop traits represents a cutting-edge area of research. This integration requires in-depth study to address RTM limitations, particularly of similar spectral responses from multiple [...] Read more.
The integration of the Crop Growth Model (CGM), Radiative Transfer Model (RTM), and Machine Learning Algorithm (MLA) for estimating crop traits represents a cutting-edge area of research. This integration requires in-depth study to address RTM limitations, particularly of similar spectral responses from multiple input combinations. This study proposes the integration of CGM and RTM for crop trait retrieval and evaluates the performance of CGM output-based RTM spectra generation for multiple crop traits estimation without biased sampling using machine learning models. Moreover, PROSAIL spectra as training against Harmonized Landsat Sentinel-2 (HLS) as testing was also compared with HLS data only as an alternative. It was found that satellite data (HLS, 80:20) not only consistently performed better, but PROSAIL (train) and HLS (test) also had satisfactory results for multiple crop traits from uniform training samples in spite of differences in simulated and real data. PROSAIL-HLS has an RMSE of 0.67 for leaf area index (LAI), 5.66 µg/cm2 for chlorophyll ab (Cab), 0.0003 g/cm2 for dry matter content (Cm), and 0.002 g/cm2 for leaf water content (Cw) against the HLS only, with an RMSE of 0.40 for LAI, 3.28 µg/cm2 for Cab, 0.0002 g/cm2 for Cm, and 0.001 g/cm2 for Cw. Optimized machine learning models, namely Extreme Gradient Boost (XGBoost) for LAI, Support Vector Machine (SVM) for Cab, and Random Forest (RF) for Cm and Cw, were deployed for temporal mapping of traits to be used for wheat productivity enhancement. Full article
(This article belongs to the Section Remote Sensing in Agriculture and Vegetation)
Show Figures

Figure 1

21 pages, 9120 KB  
Article
Differentiating Cheatgrass and Medusahead Phenological Characteristics in Western United States Rangelands
by Trenton D. Benedict, Stephen P. Boyte and Devendra Dahal
Remote Sens. 2024, 16(22), 4258; https://doi.org/10.3390/rs16224258 - 15 Nov 2024
Viewed by 2033
Abstract
Expansions in the extent and infestation levels of exotic annual grass (EAG) within the rangelands of the western United States are well documented. Land managers are tasked with developing plans to limit EAG spread and prevent irreversible ecosystem deterioration. The most common EAG [...] Read more.
Expansions in the extent and infestation levels of exotic annual grass (EAG) within the rangelands of the western United States are well documented. Land managers are tasked with developing plans to limit EAG spread and prevent irreversible ecosystem deterioration. The most common EAG species and the subject of extensive study is Bromus tectorum (cheatgrass). Cheatgrass has spread rapidly in western rangelands since its initial invasion more than 100 years ago. Another concerning aggressive EAG, Taeniatherum caput-medusae (medusahead), is also commonly found in some of these areas. To control the spread of EAGs, researchers have investigated applying several control methods during different developmental stages of cheatgrass and medusahead. These control strategies require accurate maps of the timing and spatial patterns of the developmental stages to apply mitigation strategies in the correct areas at the right time. In this study, we developed annual phenological datasets for cheatgrass and medusahead with two objectives. The first objective was to determine if cheatgrass and medusahead can be differentiated at 30 m resolution using their phenological differences. The second objective was to establish an annual phenology metric regression tree model used to map the growing seasons of cheatgrass and medusahead. Harmonized Landsat and Sentinel-2 (HLS)-derived predicted weekly cloud-free 30 m normalized difference vegetation index (NDVI) images were used to develop these metric maps. The result of this effort was maps that identify the start and end of sustained growing season time for cheatgrass and medusahead at 30 m for the Snake River Plain and Northern Basin and Range ecoregions. These phenological datasets also identify the start and end-of-season NDVI values, along with maximum NDVI throughout the study period. These metrics may be utilized to characterize annual growth patterns for cheatgrass and medusahead. This approach can be utilized to plan time-sensitive control measures such as herbicide applications or cattle grazing. Full article
Show Figures

Figure 1

21 pages, 5846 KB  
Article
Impacts of Spatial and Temporal Resolution on Remotely Sensed Corn and Soybean Emergence Detection
by Feng Gao, Martha Anderson and Rasmus Houborg
Remote Sens. 2024, 16(22), 4145; https://doi.org/10.3390/rs16224145 - 7 Nov 2024
Cited by 5 | Viewed by 2532
Abstract
Crop emergence is critical for crop growth modeling, crop condition monitoring, and crop yield estimation. Ground collections of crop emergence dates are time-consuming and can only include limited fields. Remote sensing time series have been used to detect crop emergence. However, the impacts [...] Read more.
Crop emergence is critical for crop growth modeling, crop condition monitoring, and crop yield estimation. Ground collections of crop emergence dates are time-consuming and can only include limited fields. Remote sensing time series have been used to detect crop emergence. However, the impacts of the temporal and spatial resolutions of these time series on crop emergence detection have not been thoroughly evaluated. This paper assesses corn and soybean emergence detection using various remote sensing datasets (i.e., VENµS, Planet Fusion, Sentinel-2, Landsat, and Harmonized Landsat and Sentinel-2 (HLS)) with diverse spatial and temporal resolutions. The green-up dates from the remote sensing time series are detected using the within-season emergence (WISE) algorithm and assessed using ground emergence observations and planting records of corn, soybeans, and alfalfa from the Beltsville Agricultural Research Center (BARC) fields in Maryland, USA, from 2019 to 2023. Our results showed that most emergence events (~95%) could be detected when the frequency of usable observations reached ten days or less. Planet Fusion captured all crop emergences and outperformed other datasets, with a mean difference (MD) of <1 day, a mean absolute difference (MAD) of <5 days, and a root mean square error (RMSE) of <6 days compared to the ground-observed emergence dates. The HLS and Sentinel-2 time series captured most emergences of corn and soybeans with MD < 3 days, MAD < 7 days, and RMSE < 9 days. Landsat detected less than half of the crop emergences in recent years when both Landsat-8 and -9 were available. In our study area, temporal revisit plays a more crucial role in emergence detection than spatial resolution. Spatial resolutions from 5 to 30 m are suitable for field-level summaries in the study area. However, the 30 m HLS lacked sub-field details in fields with mixed cropping systems. The findings from this study could benefit remotely sensed crop emergence detection from local to regional scales. Full article
(This article belongs to the Special Issue Remote Sensing for Precision Farming and Crop Phenology)
Show Figures

Figure 1

27 pages, 6924 KB  
Article
GPP of a Chinese Savanna Ecosystem during Different Phenological Phases Simulated from Harmonized Landsat and Sentinel-2 Data
by Xiang Zhang, Shuai Xie, Yiping Zhang, Qinghai Song, Gianluca Filippa and Dehua Qi
Remote Sens. 2024, 16(18), 3475; https://doi.org/10.3390/rs16183475 - 19 Sep 2024
Cited by 1 | Viewed by 2843
Abstract
Savannas are widespread biomes with highly valued ecosystem services. To successfully manage savannas in the future, it is critical to better understand the long-term dynamics of their productivity and phenology. However, accurate large-scale gross primary productivity (GPP) estimation remains challenging because of the [...] Read more.
Savannas are widespread biomes with highly valued ecosystem services. To successfully manage savannas in the future, it is critical to better understand the long-term dynamics of their productivity and phenology. However, accurate large-scale gross primary productivity (GPP) estimation remains challenging because of the high spatial and seasonal variations in savanna GPP. China’s savanna ecosystems constitute only a small part of the world’s savanna ecosystems and are ecologically fragile. However, studies on GPP and phenological changes, while closely related to climate change, remain scarce. Therefore, we simulated savanna ecosystem GPP via a satellite-based vegetation photosynthesis model (VPM) with fine-resolution harmonized Landsat and Sentinel-2 (HLS) imagery and derived savanna phenophases from phenocam images. From 2015 to 2018, we compared the GPP from HLS VPM (GPPHLS-VPM) simulations and that from Moderate-Resolution Imaging Spectroradiometer (MODIS) VPM simulations (GPPMODIS-VPM) with GPP estimates from an eddy covariance (EC) flux tower (GPPEC) in Yuanjiang, China. Moreover, the consistency of the savanna ecosystem GPP was validated for a conventional MODIS product (MOD17A2). This study clearly revealed the potential of the HLS VPM for estimating savanna GPP. Compared with the MODIS VPM, the HLS VPM yielded more accurate GPP estimates with lower root-mean-square errors (RMSEs) and slopes closer to 1:1. Specifically, the annual RMSE values for the HLS VPM were 1.54 (2015), 2.65 (2016), 2.64 (2017), and 1.80 (2018), whereas those for the MODIS VPM were 3.04, 3.10, 2.62, and 2.49, respectively. The HLS VPM slopes were 1.12, 1.80, 1.65, and 1.27, indicating better agreement with the EC data than the MODIS VPM slopes of 2.04, 2.51, 2.14, and 1.54, respectively. Moreover, HLS VPM suitably indicated GPP dynamics during all phenophases, especially during the autumn green-down period. As the first study that simulates GPP involving HLS VPM and compares satellite-based and EC flux observations of the GPP in Chinese savanna ecosystems, our study enables better exploration of the Chinese savanna ecosystem GPP during different phenophases and more effective savanna management and conservation worldwide. Full article
(This article belongs to the Special Issue Remote Sensing of Savannas and Woodlands II)
Show Figures

Graphical abstract

20 pages, 38319 KB  
Article
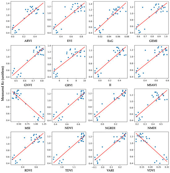
Calculating Vegetation Index-Based Crop Coefficients for Alfalfa in the Mesilla Valley, New Mexico Using Harmonized Landsat Sentinel-2 (HLS) Data and Eddy Covariance Flux Tower Data
by Robert Sabie, A. Salim Bawazir, Michaela Buenemann, Caitriana Steele and Alexander Fernald
Remote Sens. 2024, 16(16), 2876; https://doi.org/10.3390/rs16162876 - 6 Aug 2024
Cited by 3 | Viewed by 3923
Abstract
The goal of this study is to investigate the usefulness of the relatively new 30 m spatial and <5.7-day temporal resolution Harmonized Landsat Sentinel-2 (HLS) dataset for calculating vegetation index-based crop coefficients (KcVI) for estimating field scale crop evapotranspiration (ETc [...] Read more.
The goal of this study is to investigate the usefulness of the relatively new 30 m spatial and <5.7-day temporal resolution Harmonized Landsat Sentinel-2 (HLS) dataset for calculating vegetation index-based crop coefficients (KcVI) for estimating field scale crop evapotranspiration (ETc). Increased spatial and temporal resolution ETc estimates are needed for improving irrigation scheduling, monitoring impacts of water conservation programs, and improving crop yield. The crop coefficient (Kc) method is widely used for estimating ETc. Remote sensing vegetation indices (VI) are highly correlated to Kc and allow the creation of a KcVI but the approach is limited by the availability of high temporal and spatial resolutions. We selected and calculated sixteen commonly used VIs using HLS data and regressed them against field-measured ET for alfalfa in the Mesilla Valley, New Mexico to create linear KcVI models. All models showed good agreement with Kc (r2 > 0.67 and RMSE < 0.15). ETc prediction resulted in an MAE ranging between 0.35- and 0.64-mm day−1, an MSE ranging between 0.20- and 0.75-mm day−1 and an MAPD ranging between 10.0 and 16.5%. The largest differences in predicted ETc occurred early in the growing season and during cutting periods when the spectral signal could be influenced by soil background or irrigation events. The results suggest that applying the KcVI approach to the HLS dataset can help fill in the data gap in remote sensing ET tools. Future work should focus on assessing additional crops and integration into other tools such as the emerging OpenET platform. Full article
(This article belongs to the Section Remote Sensing in Agriculture and Vegetation)
Show Figures

Figure 1

Back to TopTop