Sign in to use this feature.

Years

Between: -

Subjects

remove_circle_outline
remove_circle_outline
remove_circle_outline
remove_circle_outline
remove_circle_outline
remove_circle_outline
remove_circle_outline
remove_circle_outline
remove_circle_outline

Journals

Article Types

Countries / Regions

Search Results (690)

Search Parameters:
Keywords = Gaofen-2

Order results
Result details
Results per page
Select all
Export citation of selected articles as:
20 pages, 4705 KB  
Article
Forest Aboveground Biomass Estimation Using High-Resolution Imagery and Integrated Machine Learning
by Jiaqi Liu, Maohua Liu, Tao Shen, Fei Yan and Zeyuan Zhou
Forests 2025, 16(12), 1777; https://doi.org/10.3390/f16121777 - 26 Nov 2025
Viewed by 230
Abstract
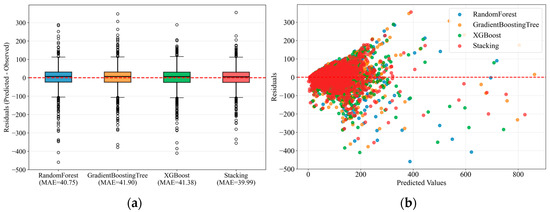
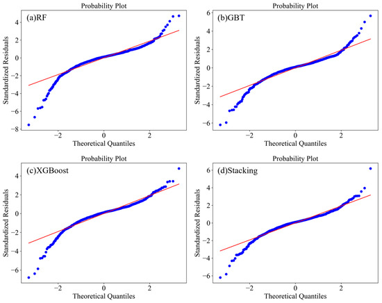
This study quantifies forest aboveground biomass (AGB) using integrated remote sensing features from high-resolution GaoFen-7 (GF-7) satellite imagery. We combined texture features, vegetation indices, and RGB spectral bands to improve estimation accuracy. Three machine learning algorithms—Random Forest (RF), Gradient Boosting Tree (GBT), and [...] Read more.
This study quantifies forest aboveground biomass (AGB) using integrated remote sensing features from high-resolution GaoFen-7 (GF-7) satellite imagery. We combined texture features, vegetation indices, and RGB spectral bands to improve estimation accuracy. Three machine learning algorithms—Random Forest (RF), Gradient Boosting Tree (GBT), and XGBoost—were compared with a stacking ensemble model using five-fold cross-validation on forest plots in Beijing’s Daxing District. Feature importance was evaluated through SHAP to identify key predictive variables. Results show that texture features exhibit scale-dependent predictive power, while visible-band vegetation indices strongly correlate with AGB. The Stacking ensemble achieved optimal performance (R2 = 0.62, RMSE = 57.34 Mg/ha, MAE = 39.99 Mg/ha), outperforming XGBoost (R2 = 0.59), RF (R2 = 0.58), and GBT (R2 = 0.57). Compared to the best individual model, Stacking improved R2 by 5.1% and effectively mitigated over- and underestimation biases. These findings demonstrate the effectiveness of ensemble learning for forest AGB estimation and suggest potential for regional-scale carbon monitoring applications. Full article
(This article belongs to the Section Forest Inventory, Modeling and Remote Sensing)
Show Figures

Figure 1

29 pages, 163937 KB  
Article
Deep Learning-Based Classification of Aquatic Vegetation Using GF-1/6 WFV and HJ-2 CCD Satellite Data
by Yifan Shao, Qian Shen, Yue Yao, Xuelei Wang, Huan Zhao, Hangyu Gao, Yuting Zhou, Haobin Zhang and Zhaoning Gong
Remote Sens. 2025, 17(23), 3817; https://doi.org/10.3390/rs17233817 - 25 Nov 2025
Viewed by 182
Abstract
The Yangtze River Basin, one of China’s most vital watersheds, sustains both ecological balance and human livelihoods through its extensive lake systems. However, since the 1980s, these lakes have experienced significant ecological degradation, particularly in terms of aquatic vegetation decline. To acquire reliable [...] Read more.
The Yangtze River Basin, one of China’s most vital watersheds, sustains both ecological balance and human livelihoods through its extensive lake systems. However, since the 1980s, these lakes have experienced significant ecological degradation, particularly in terms of aquatic vegetation decline. To acquire reliable aquatic vegetation data during the peak growing season (July–September), when clear-sky conditions are scarce, we employed Chinese domestic satellite imagery—Gaofen-1/6 (GF-1/6) Wide Field of View (WFV) and Huanjing-2A/B (HJ-2A/B) Charge-Coupled Device (CCD)—with approximately one-day revisit frequency after constellation networking, 16 m spatial resolution, and excellent spectral consistency, in combination with deep learning algorithms, to monitor aquatic vegetation across the basin. Comparative experiments identified the near-infrared, red, and green bands as the most informative input features, with an optimal input size of 256 × 256. Through visual interpretation and dataset augmentation, we generated a total of 5016 labeled image pairs of this size. The U-Net++ model, equipped with an EfficientNet-B5 backbone, achieved robust performance with an mIoU of 90.16% and an mPA of 95.27% on the validation dataset. On independent test data, the model reached an mIoU of 79.10% and an mPA of 86.42%. Field-based assessment yielded an overall accuracy (OA) of 75.25%, confirming the reliability of the model. As a case study, the proposed model was applied to satellite imagery of Lake Taihu captured during the peak growing season of aquatic vegetation (July–September) from 2020 to 2025. Overall, this study introduces an automated classification approach for aquatic vegetation using 16 m resolution Chinese domestic satellite imagery and deep learning, providing a reliable framework for large-scale monitoring of aquatic vegetation across lakes in the Yangtze River Basin during their peak growth period. Full article
Show Figures

Figure 1

19 pages, 11886 KB  
Article
Extraction of Rubber Plantations on Hainan Island, China, Using Multi-Source Remote Sensing Images During 2021–2025
by Xiangyu Liu, Jingjuan Liao, Ruofan Jing, Huichun Ye and Lingling Teng
Forests 2025, 16(12), 1773; https://doi.org/10.3390/f16121773 - 25 Nov 2025
Viewed by 218
Abstract
Precise monitoring of rubber plantations is critical for effective management and ecological assessments, enabling optimal resource allocation, disease detection, and mitigation of environmental impacts. This study integrated multi-source remote sensing data—including Landsat 8, Sentinel-1/2, GaoFen-1 (GF-1) optical and SAR imagery, and DEM data [...] Read more.
Precise monitoring of rubber plantations is critical for effective management and ecological assessments, enabling optimal resource allocation, disease detection, and mitigation of environmental impacts. This study integrated multi-source remote sensing data—including Landsat 8, Sentinel-1/2, GaoFen-1 (GF-1) optical and SAR imagery, and DEM data of Hainan Island. The rubber plantation areas from 2021 to 2025 were extracted from the Google Earth Engine (GEE) platform by employing a multi-step threshold segmentation method, which utilized the Otsu algorithm to automatically determine optimal thresholds for distinguishing rubber plantations from other land covers. The overall accuracy of the extracted rubber plantations in this study was above 90%; the Kappa coefficient was greater than 0.85; and the F1-score surpassed 0.93. The resulting distribution maps reveal that rubber plantations on Hainan Island are predominantly concentrated in the northwestern and northern regions. The rubber plantation area of Hainan Island remained relatively stable from 2021 to 2023. During 2023–2024, the rubber plantation area experienced a decline. This reduction was particularly pronounced in 2024, when the area decreased by nearly 150 km2 compared to the previous year. However, in 2025, this downward trend reversed sharply with an increase of approximately 300 km2. These findings provide a critical scientific basis for sustainable rubber production, supporting informed decision-making in irrigation, pest control, and yield optimization. Furthermore, they offer valuable insights for strategic planning to balance economic returns with ecological conservation, thereby ensuring the long-term viability of the industry. Full article
(This article belongs to the Section Forest Inventory, Modeling and Remote Sensing)
Show Figures

Figure 1

43 pages, 32364 KB  
Article
Towards Explainable Machine Learning from Remote Sensing to Medical Images—Merging Medical and Environmental Data into Public Health Knowledge Maps
by Liviu Bilteanu, Corneliu Octavian Dumitru, Andreea Dumachi, Florin Alexandrescu, Radu Popa, Octavian Buiu and Andreea Iren Serban
Mach. Learn. Knowl. Extr. 2025, 7(4), 140; https://doi.org/10.3390/make7040140 - 6 Nov 2025
Viewed by 372
Abstract
Both remote sensing and medical fields benefited a lot from the machine learning methods, originally developed for computer vision and multimedia. We investigate the applicability of the same data mining-based machine learning (ML) techniques for exploring the structure of both Earth observation (EO) [...] Read more.
Both remote sensing and medical fields benefited a lot from the machine learning methods, originally developed for computer vision and multimedia. We investigate the applicability of the same data mining-based machine learning (ML) techniques for exploring the structure of both Earth observation (EO) and medical image data. Support Vector Machine (SVM) is an explainable active learning tool to discover the semantic relations between the EO image content classes, extending this technique further to medical images of various types. The EO image dataset was acquired by multispectral and radar sensors (WorldView-2, Sentinel-2, TerraSAR-X, Sentinel-1, RADARSAT-2, and Gaofen-3) from four different urban areas. In addition, medical images were acquired by camera, microscope, and computed tomography (CT). The methodology has been tested by several experts, and the semantic classification results were checked by either comparing them with reference data or through the feedback given by these experts in the field. The accuracy of the results amounts to 95% for the satellite images and 85% for the medical images. This study opens the pathway to correlate the information extracted from the EO images (e.g., quality-of-life-related environmental data) with that extracted from medical images (e.g., medical imaging disease phenotypes) to obtain geographically refined results in epidemiology. Full article
Show Figures

Graphical abstract

33 pages, 1942 KB  
Review
Satellite-Derived Approaches for Coal Mine Methane Estimation: A Review
by Akshansha Chauhan and Simit Raval
Remote Sens. 2025, 17(21), 3652; https://doi.org/10.3390/rs17213652 - 6 Nov 2025
Viewed by 1062
Abstract
Methane emissions from coal mines, especially surface operations, are spatially diffuse, presenting significant challenges for accurate quantification. Satellites such as TROPOMI, GHGSat, PRISMA, GaoFen-5, and GOSAT have been extensively used for detecting methane emissions at various scales, from individual point sources to regional [...] Read more.
Methane emissions from coal mines, especially surface operations, are spatially diffuse, presenting significant challenges for accurate quantification. Satellites such as TROPOMI, GHGSat, PRISMA, GaoFen-5, and GOSAT have been extensively used for detecting methane emissions at various scales, from individual point sources to regional and global assessments. Despite various advancements, methane quantification via satellite observations remains subject to several challenges. Various quantification methods for the same observation can produce variable results. Also, meteorological conditions, terrain complexity, and surface heterogeneity introduce uncertainties in emission estimates. The selection of wind speed and direction, along with retrieval-algorithm limitations, can lead to significant discrepancies in reported emissions. Additionally, satellite-based observations capture emissions only at specific overpass times, which may introduce temporal uncertainties compared to inventories derived from continuous emission estimations. This study provides a comprehensive review of satellite-based coal mine methane (CMM) monitoring, evaluating current methodologies, their limitations, and recent technological advancements. We discussed the potential of emerging machine-learning techniques, improved atmospheric modelling, and integrated observational approaches to enhance methane emission quantification. By refining satellite-based monitoring techniques and addressing existing challenges, this research will support the development of more accurate emission inventories and effective mitigation strategies for the coal mining sector. Full article
(This article belongs to the Special Issue Using Remote Sensing Technology to Quantify Greenhouse Gas Emissions)
Show Figures

Figure 1

18 pages, 1944 KB  
Article
Construction of Remote Sensing Early Warning Knowledge Graph Based on Multi-Source Disaster Data
by Miaoying Chen and Xin Cao
Remote Sens. 2025, 17(21), 3594; https://doi.org/10.3390/rs17213594 - 30 Oct 2025
Viewed by 836
Abstract
Natural disasters occur continuously across the globe, posing severe threats to human life and property. Remote sensing technology has provided powerful technical means for large-scale and rapid disaster monitoring. However, the deep integration of remote sensing observations with sector-specific disaster statistical data to [...] Read more.
Natural disasters occur continuously across the globe, posing severe threats to human life and property. Remote sensing technology has provided powerful technical means for large-scale and rapid disaster monitoring. However, the deep integration of remote sensing observations with sector-specific disaster statistical data to construct a knowledge system that supports early warning decision-making remains a significant challenge. This study aims to address the bottleneck in the “data-information-knowledge-service” transformation process by constructing an integrated natural disaster early warning knowledge graph that incorporates multi-source heterogeneous data. We first designed an ontological schema layer comprising six core elements: disaster type, event, anomaly information, impact information, warning information, and decision information. Subsequently, multi-source data were integrated from various sources, including the Emergency Events Database (EM-DAT), sector-specific websites, encyclopedic pages, and remote sensing imagery such as Gaofen-2 (GF-2) and Sentinel-1. A Bidirectional Encoder Representations from Transformers with a Conditional Random Field layer (BERT-CRF) model was employed for entity and relation extraction, and the knowledge was stored and visualized using the Neo4j graph database. The core innovation of this research lies in proposing a quantitative methodology for assessing disaster intensity, impact, and trends based on remote sensing evaluation, establishing a knowledge conversion mechanism with sector-specific warning levels, and designing explicit warning issuance rules. A case study on a specific wildfire event (2017-0417-PRT, Coimbra, Portugal) demonstrates that the knowledge graph not only achieves organic integration and visual querying of multi-source disaster knowledge but also facilitates warning decision-making driven by remote sensing assessment indicators. For this event, quantitative analysis of Gaofen-2 imagery yielded intensity, impact, and trend levels of 4, 3, and 3, respectively, which, when applied to our warning rule (intensity ≥ 1 or impact ≥ 1 or trend ≥ 3), automatically triggered an early warning, thereby validating the rule’s practicality. A preliminary performance evaluation on 50 historical wildfire events demonstrated promising results, with an F1-score of 74.3% and an average query response time of 128 ms, confirming the system’s practical responsiveness and detection capability. In conclusion, this study offers a novel and operational technical pathway for the deep interdisciplinary integration of remote sensing and disaster science, effectively bridging the gap between data silos and actionable warning knowledge. Full article
Show Figures

Figure 1

21 pages, 2426 KB  
Article
Estimating River Discharge from Remotely Sensed River Widths in Arid Regions of the Northern Slope of Kunlun Mountain
by Zhixiong Wei, Yaning Chen, Gonghuan Fang, Yonghui Wang, Yupeng Li, Chuanxiu Liu and Jiaorong Qian
Water 2025, 17(21), 3105; https://doi.org/10.3390/w17213105 - 30 Oct 2025
Viewed by 728
Abstract
Arid-region water resource management is hindered by severely inadequate river discharge monitoring, with effective observations of hydrological processes particularly lacking in narrow river channels. To overcome this bottleneck, this study proposes an integrated multi-model remote sensing retrieval framework and systematically evaluates the applicability [...] Read more.
Arid-region water resource management is hindered by severely inadequate river discharge monitoring, with effective observations of hydrological processes particularly lacking in narrow river channels. To overcome this bottleneck, this study proposes an integrated multi-model remote sensing retrieval framework and systematically evaluates the applicability of Manning’s equation, the At-Many-Stations Hydraulic Geometry (AHG) model, and the AHG’s relaxed form (AMHG) in typical arid-region rivers on the northern slope of the Kunlun Mountains. Runoff was estimated by integrating multi-source remote sensing imagery (Sentinel-2, Landsat-8, and Gaofen-1) on the Google Earth Engine platform and combining it with genetic algorithms for parameter optimization. The results indicate that Manning’s equation performed the best overall (RMSE = 21.78 m3/s, NSE = 0.94) and was highly robust to river width extraction errors, with Manning’s roughness coefficient having a significantly greater impact than the hydraulic slope. The AHG model can construct long-term discharge series based on limited measured data but is sensitive to the accuracy of river width extraction. Although the AMHG model improved the retrieval performance, its effectiveness was constrained by systematic biases in proxy variables. The study also found that the AHG exponent b in the rivers of this region exhibits high stability (coefficient of variation < 0.09), providing a theoretical basis for constructing a sustainable discharge monitoring system. The integrated method developed in this study offers a reliable technical pathway for dynamic hydrological monitoring and quantitative water resource management in data-scarce arid regions. Full article
(This article belongs to the Section Hydrology)
Show Figures

Figure 1

19 pages, 4856 KB  
Article
Evaluation of Vegetation Restoration Effectiveness in the Jvhugeng Mining Area of the Muli Coalfield Based on Sentinel-2 and Gaofen Data
by Linxue Ju, Lei Chen, Junxing Liu, Sen Jiao, Yanxu Zhang, Zhonglin Ji and Caiya Yue
Land 2025, 14(11), 2151; https://doi.org/10.3390/land14112151 - 29 Oct 2025
Viewed by 373
Abstract
To address the serious ecological problems caused by long-term mining in the Muli Coalfield, a three-year ecological restoration project was initiated in 2020. The Jvhugeng mining area was the largest and most ecologically damaged area in the Muli Coalfield. Vegetation restoration is the [...] Read more.
To address the serious ecological problems caused by long-term mining in the Muli Coalfield, a three-year ecological restoration project was initiated in 2020. The Jvhugeng mining area was the largest and most ecologically damaged area in the Muli Coalfield. Vegetation restoration is the core of mine ecological restoration. Scientific evaluation of the vegetation restoration status in the Jvhugeng mining area is significant for comprehensively revealing ecological restoration effectiveness in the Muli Coalfield. Based on Sentinel-2’s spectral and temporal advantages and GF-1/GF-6’s high spatial resolution in detailed portrayal, fractional vegetation cover (FVC) and landscape pattern index were determined separately. Thus, the vegetation restoration effectiveness and spatiotemporal dynamics of the Jvhugeng mining area from 2020 to 2023 were evaluated in terms of structural and functional dimensions. The results show that, from 2020 to 2023, vegetation cover extent (varying from 8.77 km2 in 2020 to a peak of 17.93 km2 in 2022 and then decreasing to 13.48 km2 in 2023) and FVC (from 0.33 in 2020 to about 0.50 during 2021–2023) first increased sharply and then fluctuated. Vegetation regions with both high FVC and dominant landscape features also presented the characteristics of rapid expansion and then fluctuation. Vegetation restoration demonstrated significant effectiveness, with the natural ecological environment restored to some extent and remaining stable. Newly vegetated regions had high FVC and significant landscape pattern characteristics. However, vegetation cover expansion also led to further fragmentation and morphological complexity of vegetation landscape patterns in the study area. The results can provide a basis for quantitatively assessing ecological restoration effectiveness in the Jvhugeng mining area and even the Muli Coalfield. This can also provide a dual-source data synergy technical reference for dynamic monitoring and effective evaluation of vegetation restoration in other mining areas. Full article
(This article belongs to the Section Land Use, Impact Assessment and Sustainability)
Show Figures

Figure 1

16 pages, 3321 KB  
Technical Note
In-Flight Radiometric Calibration of Gas Absorption Bands for the Gaofen-5 (02) DPC Using Sunglint
by Sifeng Zhu, Liguo Zhang, Yanqing Xie, Lili Qie, Zhengqiang Li, Miaomiao Zhang and Xiaochu Wang
Remote Sens. 2025, 17(21), 3558; https://doi.org/10.3390/rs17213558 - 28 Oct 2025
Viewed by 336
Abstract
The Directional Polarimetric Camera (DPC) onboard the Gaofen-5 (02) satellite includes gas absorption bands that are crucial for the quantitative retrieval of clouds, atmospheric aerosols, and surface parameters. However, in-flight radiometric calibration of these bands remains challenging due to strong absorption features and [...] Read more.
The Directional Polarimetric Camera (DPC) onboard the Gaofen-5 (02) satellite includes gas absorption bands that are crucial for the quantitative retrieval of clouds, atmospheric aerosols, and surface parameters. However, in-flight radiometric calibration of these bands remains challenging due to strong absorption features and the lack of onboard calibration devices. In this study, a calibration method that exploits functional relationships between the reflectance ratios of gas absorption and adjacent reference bands and key surface–atmosphere parameters over sunglint were presented. Radiative transfer simulations were combined with polynomial fitting to establish these relationships, and prior knowledge of surface pressure and water vapor column concentration was incorporated to achieve high-precision calibration. Results show that the calibration uncertainty of the oxygen absorption band is mainly driven by surface pressure, with a total uncertainty of 3.01%. For the water vapor absorption band, uncertainties are primarily associated with water vapor column concentration and surface reflectance, yielding total uncertainties of 3.45%. Validation demonstrates the robustness of the proposed method: (1) cross-calibration using desert samples confirms the stability of the results, and (2) the retrieved surface pressure agrees with the DEM-derived estimates, and the retrieved total column water vapor agrees with the MODIS products, confirming the calibration. Overall, the method provides reliable in-flight calibration of DPC gas absorption bands on Gaofen-5 (02) and can be adapted to similar sensors with comparable spectral configurations. Full article
Show Figures

Figure 1

22 pages, 6497 KB  
Article
Semantic Segmentation of High-Resolution Remote Sensing Images Based on RS3Mamba: An Investigation of the Extraction Algorithm for Rural Compound Utilization Status
by Xinyu Fang, Zhenbo Liu, Su’an Xie and Yunjian Ge
Remote Sens. 2025, 17(20), 3443; https://doi.org/10.3390/rs17203443 - 15 Oct 2025
Viewed by 598
Abstract
In this study, we utilize Gaofen-2 satellite remote sensing images to optimize and enhance the extraction of feature information from rural compounds, addressing key challenges in high-resolution remote sensing analysis: traditional methods struggle to effectively capture long-distance spatial dependencies for scattered rural compounds. [...] Read more.
In this study, we utilize Gaofen-2 satellite remote sensing images to optimize and enhance the extraction of feature information from rural compounds, addressing key challenges in high-resolution remote sensing analysis: traditional methods struggle to effectively capture long-distance spatial dependencies for scattered rural compounds. To this end, we implement the RS3Mamba+ deep learning model, which introduces the Mamba state space model (SSM) into its auxiliary branching—leveraging Mamba’s sequence modeling advantage to efficiently capture long-range spatial correlations of rural compounds, a critical capability for analyzing sparse rural buildings. This Mamba-assisted branch, combined with multi-directional selective scanning (SS2D) and the enhanced STEM network framework (replacing single 7 × 7 convolution with two-stage 3 × 3 convolutions to reduce information loss), works synergistically with a ResNet-based main branch for local feature extraction. We further introduce a multiscale attention feature fusion mechanism that optimizes feature extraction and fusion, enhances edge contour extraction accuracy in courtyards, and improves the recognition and differentiation of courtyards from regions with complex textures. The feature information of courtyard utilization status is finally extracted using empirical methods. A typical rural area in Weifang City, Shandong Province, is selected as the experimental sample area. Results show that the extraction accuracy reaches an average intersection over union (mIoU) of 79.64% and a Kappa coefficient of 0.7889, improving the F1 score by at least 8.12% and mIoU by 4.83% compared with models such as DeepLabv3+ and Transformer. The algorithm’s efficacy in mitigating false alarms triggered by shadows and intricate textures is particularly salient, underscoring its potential as a potent instrument for the extraction of rural vacancy rates. Full article
Show Figures

Figure 1

23 pages, 11346 KB  
Article
Polarmetric Consistency Assessment and Calibration Method for Quad-Polarized ScanSAR Based on Cross-Beam Data
by Di Yin, Jitong Duan, Jili Sun, Liangbo Zhao, Xiaochen Wang, Songtao Shangguan, Lihua Zhong and Wen Hong
Remote Sens. 2025, 17(20), 3420; https://doi.org/10.3390/rs17203420 - 13 Oct 2025
Viewed by 335
Abstract
The range-dependence on polarization distortion of spaceborne polarimetric synthetic aperture radar (SAR) affects the accuracy of wide-swath polarization applications, such as environmental monitoring, sea ice classification and ocean wave inversion. Traditional calibration methods, assessing the distortion mainly based on ground experiments, suffer from [...] Read more.
The range-dependence on polarization distortion of spaceborne polarimetric synthetic aperture radar (SAR) affects the accuracy of wide-swath polarization applications, such as environmental monitoring, sea ice classification and ocean wave inversion. Traditional calibration methods, assessing the distortion mainly based on ground experiments, suffer from tedious active calibrator deployment work, which are time-consuming and cost-intensive. This paper proposes a novel polarimetric assessment and calibration method for the quad-polarized wide-swath ScanSAR imaging mode. Firstly, by using distributed target data that satisfy the system reciprocity requirement, we assess the polarization distortion matrices for a single beam in the mode. Secondly, we transfer the matrix results from one beam to another by analyzing data from the overlapping region between beams. Thirdly, we calibrate the quad-polarized data and achieve an overall assessment and calibration results. Compared to traditional calibration methods, the presented method focuses on using cross-beam (overlapping area) data to reduce the dependence on active calibrators and avoid conducting calibration work beam-by-beam. The assessment and calibration experiment is conducted on Gaofen-3 quad-polarized ScanSAR experiment mode data. The calibrated images and polarization decomposition results are compared with those from well-calibrated quad-polarized Stripmap mode data located in the same region. The results of the comparison revealed the effectiveness and accuracy of the proposed method. Full article
Show Figures

Figure 1

27 pages, 6909 KB  
Article
Comparative Analysis of Deep Learning and Traditional Methods for High-Resolution Cropland Extraction with Different Training Data Characteristics
by Dujuan Zhang, Xiufang Zhu, Yaozhong Pan, Hengliang Guo, Qiannan Li and Haitao Wei
Land 2025, 14(10), 2038; https://doi.org/10.3390/land14102038 - 13 Oct 2025
Viewed by 495
Abstract
High-resolution remote sensing (HRRS) imagery enables the extraction of cropland information with high levels of detail, especially when combined with the impressive performance of deep convolutional neural networks (DCNNs) in understanding these images. Comprehending the factors influencing DCNNs’ performance in HRRS cropland extraction [...] Read more.
High-resolution remote sensing (HRRS) imagery enables the extraction of cropland information with high levels of detail, especially when combined with the impressive performance of deep convolutional neural networks (DCNNs) in understanding these images. Comprehending the factors influencing DCNNs’ performance in HRRS cropland extraction is of considerable importance for practical agricultural monitoring applications. This study investigates the impact of classifier selection and different training data characteristics on the HRRS cropland classification outcomes. Specifically, Gaofen-1 composite images with 2 m spatial resolution are employed for HRRS cropland extraction, and two county-wide regions with distinct agricultural landscapes in Shandong Province, China, are selected as the study areas. The performance of two deep learning (DL) algorithms (UNet and DeepLabv3+) and a traditional classification algorithm, Object-Based Image Analysis with Random Forest (OBIA-RF), is compared. Additionally, the effects of different band combinations, crop growth stages, and class mislabeling on the classification accuracy are evaluated. The results demonstrated that the UNet and DeepLabv3+ models outperformed OBIA-RF in both simple and complex agricultural landscapes, and were insensitive to the changes in band combinations, indicating their ability to learn abstract features and contextual semantic information for HRRS cropland extraction. Moreover, compared with the DL models, OBIA-RF was more sensitive to changes in the temporal characteristics. The performance of all three models was unaffected when the mislabeling error ratio remained below 5%. Beyond this threshold, the performance of all models decreased, with UNet and DeepLabv3+ showing similar performance decline trends and OBIA-RF suffering a more drastic reduction. Furthermore, the DL models exhibited relatively low sensitivity to the patch size of sample blocks and data augmentation. These findings can facilitate the design of operational implementations for practical applications. Full article
Show Figures

Figure 1

27 pages, 10093 KB  
Article
Estimating Gully Erosion Induced by Heavy Rainfall Events Using Stereoscopic Imagery and UAV LiDAR
by Lu Wang, Yuan Qi, Wenwei Xie, Rui Yang, Xijun Wang, Shengming Zhou, Yanqing Dong and Xihong Lian
Remote Sens. 2025, 17(19), 3363; https://doi.org/10.3390/rs17193363 - 4 Oct 2025
Cited by 1 | Viewed by 930
Abstract
Gully erosion, driven by the interplay of natural processes and human activities, results in severe soil degradation and landscape alteration, yet approaches for accurately quantifying erosion triggered by extreme precipitation using multi-source high-resolution remote sensing remain limited. This study first extracted digital surface [...] Read more.
Gully erosion, driven by the interplay of natural processes and human activities, results in severe soil degradation and landscape alteration, yet approaches for accurately quantifying erosion triggered by extreme precipitation using multi-source high-resolution remote sensing remain limited. This study first extracted digital surface models (DSM) for the years 2014 and 2024 using Ziyuan-3 and GaoFen-7 satellite stereo imagery, respectively. Subsequently, the DSM was calibrated using high-resolution unmanned aerial vehicle photogrammetry data to enhance elevation accuracy. Based on the corrected DSMs, gully erosion depths from 2014 to 2024 were quantified. Erosion patches were identified through a deep learning framework applied to GaoFen-1 and GaoFen-2 imagery. The analysis further explored the influences of natural processes and anthropogenic activities on elevation changes within the gully erosion watershed. Topographic monitoring in the Sandu River watershed revealed a net elevation loss of 2.6 m over 2014–2024, with erosion depths up to 8 m in some sub-watersheds. Elevation changes are primarily driven by extreme precipitation-induced erosion alongside human activities, resulting in substantial spatial variability in surface lowering across the watershed. This approach provides a refined assessment of the spatial and temporal evolution of gully erosion, offering valuable insights for soil conservation and sustainable land management strategies in the Loess Plateau region. Full article
Show Figures

Figure 1

19 pages, 3532 KB  
Article
The AMEE-PPI Method to Extract Typical Outcrop Endmembers from GF-5 Hyperspectral Images
by Lin Hu, Jiankai Hu, Shu Gan, Xiping Yuan, Yu Lu, Hailong Zhao and Guang Han
Sensors 2025, 25(19), 6143; https://doi.org/10.3390/s25196143 - 4 Oct 2025
Viewed by 407
Abstract
Mixed pixels remain a central obstacle to reliable endmember extraction from hyperspectral imagery. We present AMEE–PPI, a hybrid method that embeds the Pure Pixel Index (PPI) within morphological structuring elements and propagates spectral purity via dilation/erosion, thereby coupling spatial context with spectral cues [...] Read more.
Mixed pixels remain a central obstacle to reliable endmember extraction from hyperspectral imagery. We present AMEE–PPI, a hybrid method that embeds the Pure Pixel Index (PPI) within morphological structuring elements and propagates spectral purity via dilation/erosion, thereby coupling spatial context with spectral cues while avoiding a user-fixed number of projections. On GaoFen-5 (GF-5) AHSI data from a geologically complex outcrop region, we benchmark AMEE–PPI against four widely used algorithms—PPI, OSP, VCA, and AMEE. The pipeline uses HySime for noise estimation and signal-subspace inference to set the endmember count prior to extraction and applies morphological elements spanning 3 × 3 to 15 × 15 to balance spatial support with local heterogeneity. Quantitatively, AMEE–PPI achieves the lowest spectral angle distance (SAD) for all outcrop types—purple–red: 0.135; yellow–brown: 0.316; gray: 0.191—surpassing the competing methods. It also attains the lowest spectral information divergence (SID)—purple–red: 0.028; yellow–brown: 0.184; gray: 0.055—confirming superior similarity to field reference spectra across materials. Visually, AMEE–PPI avoids the vegetation endmember leakage observed with several baselines on purple–red and gray outcrops, yielding cleaner, more representative endmembers. These results indicate that integrating spatial morphology with spectral purity improves robustness to illumination, mixing, and local variability in GF-5 imagery, with direct benefits for downstream unmixing, classification, and geological interpretation. Full article
(This article belongs to the Section Remote Sensors)
Show Figures

Figure 1

28 pages, 14783 KB  
Article
HSSTN: A Hybrid Spectral–Structural Transformer Network for High-Fidelity Pansharpening
by Weijie Kang, Yuan Feng, Yao Ding, Hongbo Xiang, Xiaobo Liu and Yaoming Cai
Remote Sens. 2025, 17(19), 3271; https://doi.org/10.3390/rs17193271 - 23 Sep 2025
Viewed by 767
Abstract
Pansharpening fuses multispectral (MS) and panchromatic (PAN) remote sensing images to generate outputs with high spatial resolution and spectral fidelity. Nevertheless, conventional methods relying primarily on convolutional neural networks or unimodal fusion strategies frequently fail to bridge the sensor modality gap between MS [...] Read more.
Pansharpening fuses multispectral (MS) and panchromatic (PAN) remote sensing images to generate outputs with high spatial resolution and spectral fidelity. Nevertheless, conventional methods relying primarily on convolutional neural networks or unimodal fusion strategies frequently fail to bridge the sensor modality gap between MS and PAN data. Consequently, spectral distortion and spatial degradation often occur, limiting high-precision downstream applications. To address these issues, this work proposes a Hybrid Spectral–Structural Transformer Network (HSSTN) that enhances multi-level collaboration through comprehensive modelling of spectral–structural feature complementarity. Specifically, the HSSTN implements a three-tier fusion framework. First, an asymmetric dual-stream feature extractor employs a residual block with channel attention (RBCA) in the MS branch to strengthen spectral representation, while a Transformer architecture in the PAN branch extracts high-frequency spatial details, thereby reducing modality discrepancy at the input stage. Subsequently, a target-driven hierarchical fusion network utilises progressive crossmodal attention across scales, ranging from local textures to multi-scale structures, to enable efficient spectral–structural aggregation. Finally, a novel collaborative optimisation loss function preserves spectral integrity while enhancing structural details. Comprehensive experiments conducted on QuickBird, GaoFen-2, and WorldView-3 datasets demonstrate that HSSTN outperforms existing methods in both quantitative metrics and visual quality. Consequently, the resulting images exhibit sharper details and fewer spectral artefacts, showcasing significant advantages in high-fidelity remote sensing image fusion. Full article
(This article belongs to the Special Issue Artificial Intelligence in Hyperspectral Remote Sensing Data Analysis)
Show Figures

Figure 1

Back to TopTop