Sign in to use this feature.

Years

Between: -

Subjects

remove_circle_outline
remove_circle_outline
remove_circle_outline
remove_circle_outline
remove_circle_outline
remove_circle_outline

Journals

Article Types

Countries / Regions

Search Results (148)

Search Parameters:
Keywords = Fe, Al, Cu, and Ni alloys

Order results
Result details
Results per page
Select all
Export citation of selected articles as:
20 pages, 5665 KB  
Article
The Impact of Electron Beam Melting on the Purification of Recycled Zirconium
by Katia Vutova, Vladislava Stefanova, Evgeniy Manoilov, Irena Mihailova, Maria Naplatanova and Peter Iliev
Metals 2025, 15(11), 1273; https://doi.org/10.3390/met15111273 - 20 Nov 2025
Viewed by 184
Abstract
Zirconium belongs to the group of critical rare metals and is primarily used in industry. Its most important application, as the basis for specialized alloys, is in nuclear reactors, owing to its exceptionally very low thermal neutron absorption cross-section. Based on theoretical and [...] Read more.
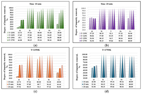
Zirconium belongs to the group of critical rare metals and is primarily used in industry. Its most important application, as the basis for specialized alloys, is in nuclear reactors, owing to its exceptionally very low thermal neutron absorption cross-section. Based on theoretical and experimental investigation, the potential for removing metallic (Al, Ti, Hf, V, Fe, Cr, Cu, Ni) and non-metallic (O, C) impurities from technogenic zirconium during electron beam melting (EBM) was assessed. The influence of temperature (ranging from 2350 K to 2750 K) and refining duration (10, 15, and 20 min) under vacuum conditions (1 × 10−3 Pa) was investigated concerning the degree of impurity removal, the microstructure, and the micro-hardness of the resulting ingots. It was established that under optimal EBM conditions for technogenic zirconium (T = 2750 K, τ = 20 min), the total refining efficiency reached approximately 87%, and the achieved Zr purity was 99.756%. Among the impurities present in the technogenic zirconium, the lowest removal efficiencies were recorded for Al (54.90%) and Cr (88.89%), with the lower refining efficiency for Al influencing the microstructure and micro-hardness of the ingots produced after EBM. Full article
(This article belongs to the Special Issue Metal Extraction and Smelting Technology)
Show Figures

Figure 1

22 pages, 9513 KB  
Article
Hindering Effect of Solid-Solutioning on Intermetallic Growth in Aluminum–Matrix Composite Reinforced with Mechanically Alloyed Ni-Cu Particles
by Masih Bolhasani Hesari, Reza Beygi, Ali Bayrami, Mohammad Mehdi Kasaei, Majid Zarezade Mehrizi, Eduardo A. S. Marques and Lucas F. M. da Silva
J. Manuf. Mater. Process. 2025, 9(11), 364; https://doi.org/10.3390/jmmp9110364 - 4 Nov 2025
Viewed by 426
Abstract
In the present study, aluminum matrix composites (AMCs) were fabricated by friction stir processing (FSP) using Ni-Cu particles. Ni-Cu particles were added to the Al matrix in two ways. First, without any treatment and in the form of a mixture of as-received powders. [...] Read more.
In the present study, aluminum matrix composites (AMCs) were fabricated by friction stir processing (FSP) using Ni-Cu particles. Ni-Cu particles were added to the Al matrix in two ways. First, without any treatment and in the form of a mixture of as-received powders. Second, treated through mechanical alloying to form Monel solid-solution particles. The particles were added to a groove to be processed by the FSP tool to produce a local AMC. To investigate the kinetics of intermetallic compounds (IMCs) growth in reinforcement particles, the produced AMCs were annealed at 500 °C for 2 h. To characterize the reinforcing particles, several analyses were performed on the samples. Field-emission scanning electron microscopy (FE-SEM) was used to study the size, morphology, and IMC thickness. TEM was performed to characterize the IMCs through high-resolution chemical analyses. Tensile testing was used to understand the mechanical properties and fracture behavior of AMCs. Tensile testing revealed a noticeable improvement in strength for the as-mixed sample, with a UTS of 90.3 MPa, approximately 22% higher than that of the base aluminum. In contrast, the mechanical alloying sample with annealing heat treatment exhibited a severe drop in ductility, with elongation decreasing from 17.98% in the as-mixed sample to 1.52%. The results showed that heat treatment thickened the IMC layer around the reinforcing particles formed during the FSP process with as-mixed particles. In the AMC reinforced with mechanically alloyed Ni-Cu powders, IMC formation during FSP was significantly suppressed compared to that of as-mixed particles, despite the finer size resulting from milling. Additionally, the heat treatment resulted in only a slight increase in IMC thickness. The IMC layer thickness after heat treatment in both the mechanically alloyed sample and the as-mixed sample was approximately 2 µm and 20–40 µm, respectively. The reason behind this difference and its effect on the fracture behavior of the composite were elaborated in this study, giving insights into metal-matrix production with controlled reaction. Full article
(This article belongs to the Special Issue Innovative Approaches in Metal Forming and Joining Technologies)
Show Figures

Figure 1

28 pages, 7514 KB  
Review
Low-Cost Application Strategies of Marine Titanium Alloys: Titanium/Steel Dissimilar Materials
by Wei Gao, Shicheng Wang, Han Zhang, Qi Wang, Hao Liu, Hongying Yu and Dongbai Sun
Metals 2025, 15(11), 1205; https://doi.org/10.3390/met15111205 - 29 Oct 2025
Viewed by 538
Abstract
Titanium and its alloys are well-suited for marine engineering owing to their high specific strength and superior corrosion resistance. However, their high cost remains a key barrier to widespread marine application. Titanium/steel (Ti/Fe) dissimilar materials provide a promising solution by integrating titanium’s corrosion [...] Read more.
Titanium and its alloys are well-suited for marine engineering owing to their high specific strength and superior corrosion resistance. However, their high cost remains a key barrier to widespread marine application. Titanium/steel (Ti/Fe) dissimilar materials provide a promising solution by integrating titanium’s corrosion resistance with the high strength of steel, thereby significantly reducing costs. This review systematically assesses the potential preparation strategies for Ti/Fe dissimilar materials, such as explosive welding, rolling, high-energy beam cladding, and cold spray, to meet the large-scale application requirements in marine engineering. Advanced welding techniques for joining Ti/Fe joints are also discussed. The advantages and issues of Ni, Cu, Fe, and Al interlayers suitable for marine engineering applications in inhibiting Fe-Ti IMCs are introduced, with a focus on their potential in promoting the development of economically efficient ocean engineering. A comprehensive evaluation is conducted on the performance of Ti/Fe dissimilar materials, particularly their corrosion resistance and fatigue resistance in marine environments. This review aims to provide a reference for the theoretical research, preparation strategies, and application expansion of low-cost Ti/Fe dissimilar materials in marine engineering. Full article
Show Figures

Figure 1

19 pages, 7538 KB  
Article
Study on the Layered Structure of Ceramic-Side Bonding Area and the Mechanical Property of Al2O3–Kovar Brazed Joint with Ag-Cu-Ti Filler
by Junjie Qi, Dong Du, Dongqi Zhang, Shuai Xue, Jiaming Zhang, Jiamin Yi, Haifei You and Baohua Chang
J. Manuf. Mater. Process. 2025, 9(11), 355; https://doi.org/10.3390/jmmp9110355 - 29 Oct 2025
Viewed by 386
Abstract
During active brazing of alumina ceramics, active elements react with the ceramic to form a reaction layer, which has significant influence on the mechanical property of the brazed joint. However, the composition and formation mechanism of this layer remain unclear among researchers. To [...] Read more.
During active brazing of alumina ceramics, active elements react with the ceramic to form a reaction layer, which has significant influence on the mechanical property of the brazed joint. However, the composition and formation mechanism of this layer remain unclear among researchers. To fill this gap, different brazing temperatures (900–1100 °C) and heating rates (2.5 °C/min and 10 °C/min) were used to braze 95% Al2O3 ceramics and a Kovar 4J34 alloy using a Ag-Cu-2Ti active brazing filler, and the microstructure and mechanical properties of the joints were investigated. The results show that the joint could be divided into five layers: Al2O3, ceramic-side reaction layer, filler layer, Kovar-side reaction layer, and Kovar. The ceramic-side reaction layer could be further divided into a Ti-O-rich layer and an intermetallics (IMC)-rich layer, and the Kovar-side reaction layer consists of TiFe2 particles, Ag-Cu eutectic, and the remaining Kovar. A belt-like TiFe2+TiNi3 IMC could be found in the filler layer. Increasing the brazing temperature enlarged the belt-like TiFe2+TiNi3 IMC in the filler layer and increased the thickness of the IMC-rich layer in the ceramic-side reaction layer, but had no significant effect on the thickness of the Ti-O-rich layer in the ceramic-side reaction layer. A lower heating rate (2.5 °C/min) was found to suppress the formation of the IMC-rich layer and shift the fracture location in shear tests from the ceramic-side reaction layer to the filler layer, indicating that the strength of the ceramic-side reaction layer was enhanced by controlling the formation of the IMC-rich layer. A maximum shear strength of 170 ± 61 MPa was obtained at a heating rate of 2.5 °C/min and a brazing temperature of 940 °C. Full article
(This article belongs to the Special Issue Advances in Welding Technology: 2nd Edition)
Show Figures

Figure 1

14 pages, 7812 KB  
Article
Study on Microstructures and Properties of FeCoNiCuAlSix High-Entropy Alloy Composite Coatings by Laser Cladding
by Xinyu Zhang, Chun Guo, Guangcan Huang, Zheng Peng, Ruizhang Hu, Qingcheng Lin and Tianyuan Lu
Micromachines 2025, 16(11), 1211; https://doi.org/10.3390/mi16111211 - 24 Oct 2025
Viewed by 409
Abstract
FeCoNiCuAl high-entropy alloys exhibit remarkable mechanical properties; nevertheless, these materials struggle to withstand harsh environments because of their insufficient resistance to wear and corrosion. The addition of Si can significantly enhance the alloy’s high-temperature performance, hardness, and wear resistance, thereby making it more [...] Read more.
FeCoNiCuAl high-entropy alloys exhibit remarkable mechanical properties; nevertheless, these materials struggle to withstand harsh environments because of their insufficient resistance to wear and corrosion. The addition of Si can significantly enhance the alloy’s high-temperature performance, hardness, and wear resistance, thereby making it more suitable for applications in high-temperature or corrosive environments. To overcome these drawbacks, this research investigates how varying Si content affects the microstructure and properties of FeCoNiCuAl coatings. Composite coatings of FeCoNiCuAlSix (x = 0, 0.5, 1.0, 1.5, 2.0) were fabricated on 65 Mn substrates using laser cladding. Various testing methods, including metallographic microscopy, Vickers hardness testing, friction and wear testing, and electrochemical analysis, were employed to examine the phase structure, microstructure, and hardness of the coating. It is observed that the FeCoNiCuAl coating begins with a uniform FCC phase structure. However, as the Si content increases, a phase transformation to the BCC structure occurs. The microstructure is primarily composed of isometric crystals and dendrites that become finer and more compact with higher Si content. For the FeCoNiCuAlSi2.0 coating, the microhardness reaches 581.05 HV0.2. Additionally, wear resistance shows a positive correlation with Si content. Electrochemical testing in NS4 solution shows that the corrosion potential of the coating increases from −0.471 V for FeCoNiCuAl to −0.344 V for FeCoNiCuAlSi2.0, while the corrosion current density decreases from 1.566 × 10−6 A/cm2 to 4.073 × 10−6 A/cm2. These results indicate that Si addition plays a crucial role in enhancing the mechanical properties and corrosion resistance of FeCoNiCuAl coatings, making them more suitable for high-performance applications in extreme environments. Full article
(This article belongs to the Special Issue Future Prospects of Additive Manufacturing, 2nd Edition)
Show Figures

Figure 1

11 pages, 1301 KB  
Article
Artificial Neural Network Approach for Hardness Prediction in High-Entropy Alloys
by Makachi Nchekwube, A. K. Maurya, Dukhyun Chung, Seongmin Chang and Youngsang Na
Materials 2025, 18(20), 4655; https://doi.org/10.3390/ma18204655 - 10 Oct 2025
Viewed by 673
Abstract
High-entropy alloys (HEAs) are highly concentrated, multicomponent alloys that have received significant attention due to their superior properties compared to conventional alloys. The mechanical properties and hardness are interrelated, and it is widely known that the hardness of HEAs depends on the principal [...] Read more.
High-entropy alloys (HEAs) are highly concentrated, multicomponent alloys that have received significant attention due to their superior properties compared to conventional alloys. The mechanical properties and hardness are interrelated, and it is widely known that the hardness of HEAs depends on the principal alloying elements and their composition. Therefore, the desired hardness prediction to develop new HEAs is more interesting. However, the relationship of these compositions with the HEA hardness is very complex and nonlinear. In this study, we develop an artificial neural network (ANN) model using experimental data sets (535). The compositional elements—Al, Co, Cr, Cu, Mn, Ni, Fe, W, Mo, and Ti—are considered input parameters, and hardness is considered as an output parameter. The developed model shows excellent correlation coefficients (Adj R2) of 99.84% and 99.3% for training and testing data sets, respectively. We developed a user-friendly graphical interface for the model. The developed model was used to understand the effect of alloying elements on hardness. It was identified that the Al, Cr, and Mn were found to significantly enhance hardness by promoting the formation and stabilization of BCC and B2 phases, which are inherently harder due to limited active slip systems. In contrast, elements such as Co, Cu, Fe, and Ni led to a reduction in hardness, primarily due to their role in stabilizing the ductile FCC phase. The addition of W markedly increased the hardness by inducing severe lattice distortion and promoting the formation of hard intermetallic compounds. Full article
(This article belongs to the Special Issue Machine Learning for Materials Design)
Show Figures

Figure 1

13 pages, 3728 KB  
Article
Al and Cu Effect on the Microstructure and Mechanical Properties of HEA Based on the AlCoCuFeNi System
by Konrad Chrzan, Barbara Kalandyk, Małgorzata Grudzień-Rakoczy, Łukasz Rakoczy, Kamil Cichocki, Robert Żuczek, Filip Kateusz, Aleksandra Bętkowska, Adelajda Polkowska and Justyna Kasińska
Materials 2025, 18(19), 4564; https://doi.org/10.3390/ma18194564 - 30 Sep 2025
Viewed by 528
Abstract
Three variants of high-entropy alloys (HEAs) from the AlCoCuFeNi group, containing different amounts of Al and Cu, were developed and produced via induction melting and casting into ceramic moulds. The ingots were homogenized at 1000 °C for 10 h. Analyses revealed that variations [...] Read more.
Three variants of high-entropy alloys (HEAs) from the AlCoCuFeNi group, containing different amounts of Al and Cu, were developed and produced via induction melting and casting into ceramic moulds. The ingots were homogenized at 1000 °C for 10 h. Analyses revealed that variations in Al and Cu concentrations led to significant changes in the material’s microstructure, hardness, strength, and impact strength. In the equiatomic variant, differential scanning calorimetry revealed a peak associated with the phase transformation, indicating that this alloy’s microstructure consists of two distinct phases. In contrast, when the concentrations of Al and Cu are reduced, a single-phase microstructure is observed. The equiatomic variant (used as a reference) is characterized by its hardness and brittleness, exhibiting slight ductility, with a tensile strength of 80 MPa, a hardness of 400 HV5, and an impact strength of 1.9 J/cm2. However, with adjusted Al contents of 1/2 and Cu contents of 1/4, the alloy displays exceptional strength combined with good plasticity, achieving a tensile strength of up to 450 MPa with 60% elongation, and an impact strength of 215 J/cm2. The non-equiatomic variants exhibit a comparatively more straightforward microstructure and enhanced ductility, which may facilitate easier processing of these alloys. Fractography investigation revealed a ductile mode of fracture in the samples. Full article
Show Figures

Graphical abstract

18 pages, 5474 KB  
Article
Composition Formulas of Cu-Ni-Al Cupronickel Alloys Derived by the Cluster Plus Glue Atoms Model
by Xiaolin Cheng, Mengxin Zhao, Yajun Zhao and Chuang Dong
Materials 2025, 18(18), 4288; https://doi.org/10.3390/ma18184288 - 12 Sep 2025
Viewed by 563
Abstract
Cu-Ni-Al cupronickel alloy is a precipitation-strengthening alloy with γ′ (Ni3Al) and γ″ (Ni3Nb) phases embedded in the γ phase (Cu solid solution), enhancing strength and corrosion resistance. However, it is difficult to clarify the correlation between composition and properties [...] Read more.
Cu-Ni-Al cupronickel alloy is a precipitation-strengthening alloy with γ′ (Ni3Al) and γ″ (Ni3Nb) phases embedded in the γ phase (Cu solid solution), enhancing strength and corrosion resistance. However, it is difficult to clarify the correlation between composition and properties due to the complex elements and microstructure. This study attempts to construct the composition formulas and microstructure constitution (e.g., phase volume fractions) of Cu-Ni-Al cupronickel alloys via the cluster plus glue atoms model. Based on the solubility behavior of alloying elements, a systematic classification was established as follows: γ phase elements (Cu-like elements, including Cu, Ni, Al, Mg, Mn); γ′ phase elements: Al-like elements (including Al, Nb, Si, Cr, Mn, Fe); and Ni-like elements (including Ni, Fe, Cu). Using this classification and phase composition (γ and γ′ phase under heat-treated conditions), the cluster formula of the structural units that carry the composition information were formulated as follows: γ-{(Cu,Ni,Al,Mn,Mg)16}1-x and (γ′ + γ″)-{(Al,Nb,Si,Cr,Mn,Fe)4(Ni,Fe)8Cu4}x, where x represents the volume fraction of precipitates (γ′ + γ″). The representative Cu-Ni-Al cupronickel alloys were also analyzed by the cluster formula, and theoretical phase volume fractions were obtained (13.21–26.32%). Furthermore, Young’s modulus, predicted by the cluster formula, shows good agreement with the practical alloys, verifying its applicability for alloy design. Full article
(This article belongs to the Section Advanced Materials Characterization)
Show Figures

Graphical abstract

17 pages, 9183 KB  
Article
Tailoring Mechanical Properties of Al-Cr-Cu-Fe-Mn-Ni Complex Concentrated Alloys Prepared Using Pressureless Sintering
by Tiago Silva and Augusto Lopes
Materials 2025, 18(17), 4068; https://doi.org/10.3390/ma18174068 - 30 Aug 2025
Viewed by 569
Abstract
Complex concentrated alloys (CCAs) have attracted significant attention due to their potential to develop materials with enhanced properties, such as increased hardness and strength. These properties are strongly influenced by the chemical composition and the processing method used. Body-centred cubic (BCC) structures are [...] Read more.
Complex concentrated alloys (CCAs) have attracted significant attention due to their potential to develop materials with enhanced properties, such as increased hardness and strength. These properties are strongly influenced by the chemical composition and the processing method used. Body-centred cubic (BCC) structures are known to have high hardness but low fracture toughness, whereas face-centred cubic (FCC) structures typically exhibit lower hardness but higher toughness. In this study, Al-Cr-Cu-Fe-Mn-Ni CCAs with three distinct compositions were produced using pressureless sintering. One set of samples was prepared with equiatomic composition (composition E), whereas the compositions of the other two sets were defined based on thermodynamic calculations to obtain sintered samples predominantly formed by BCC (composition B) or FCC (composition F) phases. The samples were characterized using X-ray diffraction, scanning and transmission electron microscopy, energy-dispersive X-ray spectroscopy, electron backscatter diffraction, density measurements, hardness measurements, and uniaxial compression tests. For all compositions, good agreement was obtained between the phases predicted by thermodynamic calculations and those experimentally detected. In addition, significant differences in the mechanical properties were observed between samples with each composition. The samples with composition B exhibited the highest hardness, but almost no ductility. In contrast, samples with composition F showed the lowest yield strength and hardness, but the highest ductility. Samples with composition E had intermediate values between those of samples B and F. These differences were attributed to differences in the proportions and properties of the BCC and FCC phases in each composition and demonstrate that the mechanical properties of Al-Cr-Cu-Fe-Mn-Ni CCAs can be tailored using compositions defined based on thermodynamic calculations. Full article
Show Figures

Figure 1

18 pages, 768 KB  
Article
Uncertainty-Aware Design of High-Entropy Alloys via Ensemble Thermodynamic Modeling and Search Space Pruning
by Roman Dębski, Władysław Gąsior, Wojciech Gierlotka and Adam Dębski
Appl. Sci. 2025, 15(16), 8991; https://doi.org/10.3390/app15168991 - 14 Aug 2025
Viewed by 832
Abstract
The discovery and design of high-entropy alloys (HEAs) faces significant challenges due to the vast combinatorial design space and uncertainties in thermodynamic data. This work presents a modular, uncertainty-aware computational framework with the primary objective of accelerating the discovery of solid-solution HEA candidates. [...] Read more.
The discovery and design of high-entropy alloys (HEAs) faces significant challenges due to the vast combinatorial design space and uncertainties in thermodynamic data. This work presents a modular, uncertainty-aware computational framework with the primary objective of accelerating the discovery of solid-solution HEA candidates. The proposed pipeline integrates ensemble thermodynamic modeling, Monte Carlo-based estimation, and a structured three-phase pruning algorithm for efficient search space reduction. Key quantitative results are achieved in two main areas. First, for binary alloy thermodynamics, a Bayesian Neural Network (BNN) ensemble trained on domain-informed features predicts mixing enthalpies with high accuracy, yielding a mean absolute error (MAE) of 0.48 kJ/mol—substantially outperforming the classical Miedema model (MAE = 4.27 kJ/mol). These probabilistic predictions are propagated through Monte Carlo sampling to estimate multi-component thermodynamic descriptors, including ΔHmix and the Ω parameter, while capturing predictive uncertainty. Second, in a case study on the Al-Cu-Fe-Ni-Ti system, the framework reduces a 2.4 million (2.4 M) candidate pool to just 91 high-confidence compositions. Final selection is guided by an uncertainty-aware viability metric, P(HEA), and supported by interpretable radar plot visualizations for multi-objective assessment. The results demonstrate the framework’s ability to combine physical priors, probabilistic modeling, and design heuristics into a data-efficient and interpretable pipeline for materials discovery. This establishes a foundation for future HEA optimization, dataset refinement, and adaptive experimental design under uncertainty. Full article
Show Figures

Figure 1

18 pages, 6311 KB  
Article
Unraveling the Excellent High-Temperature Oxidation Behavior of FeNiCuAl-Based Alloy
by Guangxin Wu, Gaosheng Li, Lijun Wei, Hao Chen, Yujie Wang, Yunze Qiao, Yu Hua, Chenyang Shi, Yingde Huang and Wenjie Yang
Materials 2025, 18(15), 3679; https://doi.org/10.3390/ma18153679 - 5 Aug 2025
Viewed by 660
Abstract
This study synthesized FeNiCuAlX high-entropy alloys (HEAs) (where X = Cr, Co, Mn) using arc melting and investigated their high-temperature oxidation behavior in air at 900 °C. The oxidation kinetics of all alloys followed a parabolic rate, with the oxidation rate constants (kp) [...] Read more.
This study synthesized FeNiCuAlX high-entropy alloys (HEAs) (where X = Cr, Co, Mn) using arc melting and investigated their high-temperature oxidation behavior in air at 900 °C. The oxidation kinetics of all alloys followed a parabolic rate, with the oxidation rate constants (kp) of FeNiCuAlCr, FeNiCuAlCo, and FeNiCuAlMn being approximately two to three orders of magnitude lower than that of the FeNiCu alloy. Specifically, FeNiCuAlCr exhibited the lowest kp value of 1.72 × 10−6 mg2·cm4/s, which is significantly lower than those of FeNiCuAlCo (3.29 × 10−6 mg2·cm4/s) and FeNiCuAlMn (1.71 × 10−5 mg2·cm4/s). This suggests that the addition of chromium promotes the formation of a dense Al2O3/Cr2O3 oxide layer, significantly enhancing the oxidation resistance. Furthermore, corrosion resistance was assessed through potentiodynamic polarization and electrochemical impedance spectroscopy in a 3.5% NaCl solution. FeNiCuAlCr demonstrated exceptional resistance to localized corrosion, as indicated by its low corrosion current density (45.7 μA/cm2) and high pitting potential (−0.21 V), highlighting its superior corrosion performance. Full article
(This article belongs to the Special Issue Characterization, Properties, and Applications of New Metallic Alloys)
Show Figures

Figure 1

25 pages, 5297 KB  
Article
Composition Design and Property Prediction for AlCoCrCuFeNi High-Entropy Alloy Based on Machine Learning
by Cuixia Liu, Meng Meng and Xian Luo
Metals 2025, 15(7), 733; https://doi.org/10.3390/met15070733 - 30 Jun 2025
Viewed by 686
Abstract
Based on the innovative mode driven by “data + artificial intelligence”, in this study, three methods, namely Gaussian noise (GAUSS Noise), the Generative Adversarial Network (GAN), and the optimized Generative Adversarial Network (GANPro), are adopted to expand and enhance the collected dataset of [...] Read more.
Based on the innovative mode driven by “data + artificial intelligence”, in this study, three methods, namely Gaussian noise (GAUSS Noise), the Generative Adversarial Network (GAN), and the optimized Generative Adversarial Network (GANPro), are adopted to expand and enhance the collected dataset of element contents and the hardness of the AlCoCrCuFeNi high-entropy alloy. Bayesian optimization with grid search is used to determine the optimal combination of hyperparameters, and two interpretability methods, SHAP and permutation importance, are employed to further explore the relationship between the element features of high-entropy alloys and hardness. The results show that the optimal data augmentation method is Gaussian noise enhancement; its accuracy reaches 97.4% under the addition of medium noise (σ = 0.003), and an optimal performance prediction model based on the existing dataset is finally constructed. Through the interpretability method, it is found that the contributions of Al and Ni are the most prominent. When the Al content exceeds 0.18 mol, it has a positive promoting effect on hardness, while Ni and Cu exhibit a critical effect of promotion–inhibition near 0.175 mol and 0.14 mol, respectively, revealing the nonlinear regulation law of element contents. This study solves the problem of revealing the mutual relationship between the element contents and hardness of high-entropy alloys in the case of a lack of alloy data and provides theoretical guidance for further improving the performance of high-entropy alloys. Full article
Show Figures

Figure 1

14 pages, 4060 KB  
Article
A Novel Method to Predict Phase Fraction Based on the Solidification Time on the Cooling Curve
by Junfeng Xu, Yindong Fang, Tian Yang and Changlin Yang
Metals 2025, 15(6), 652; https://doi.org/10.3390/met15060652 - 11 Jun 2025
Viewed by 1145
Abstract
The phase fraction plays a critical role in determining the solidification characteristics of metallic alloys. In this study, we propose a novel method (fs = (ttl)/(tstl)) for estimating the phase [...] Read more.
The phase fraction plays a critical role in determining the solidification characteristics of metallic alloys. In this study, we propose a novel method (fs = (ttl)/(tstl)) for estimating the phase fraction based on the solidification time in cooling curves. This method was validated through an experimental analysis of Al-18 wt%Cu and Fe42Ni42B16 alloys, where the phase fractions derived from cooling curves were compared with quantitative microstructure evaluations using computer-aided image analysis and the box-counting method. Then, a comparison between the analysis using the present novel method and Newtonian thermal analysis demonstrates good agreement between the results. The present method is easier to operate, since it does not need derivative and integral operations as in Newtonian thermal analysis. In addition, based on the characteristics of the cooling curve, we also found two other relationships—V/Rc = DTc and RΔt = constant, where V is the solidification rate, Rc is the recalescence rate, D is the diameter of the focal area of the pyrometer, ΔTc is the recalescence height, R is the cooling rate, and Δt is the solidification plateau time. These findings establish an operational framework for quantifying phase fractions and solidification rates in rapid solidification. Full article
(This article belongs to the Special Issue Research on Eutectic Alloys)
Show Figures

Figure 1

13 pages, 13959 KB  
Article
Microstructural Evolution and Wear Resistance of Silicon-Containing FeNiCrAl0.7Cu0.3Six High-Entropy Alloys
by Junhong Li, Xuebing Han, Jiaxin Liu, Xu Wang and Yanzhou Li
Coatings 2025, 15(6), 676; https://doi.org/10.3390/coatings15060676 - 3 Jun 2025
Viewed by 810
Abstract
This study investigates the influence of Si content (x = 0, 0.1, 0.3, 0.5) on the microstructure, mechanical properties, and wear behavior of FeNiCrAl0.7Cu0.3Six high-entropy alloys. With increasing silicon content, the microstructure evolves from a dendritic morphology in [...] Read more.
This study investigates the influence of Si content (x = 0, 0.1, 0.3, 0.5) on the microstructure, mechanical properties, and wear behavior of FeNiCrAl0.7Cu0.3Six high-entropy alloys. With increasing silicon content, the microstructure evolves from a dendritic morphology in the silicon-free FeNiCrAl0.7Cu0.3 alloy to a transitional structure in the FeNiCrAl0.7Cu0.3Si0.1 alloy that retains dendritic features; then to a chrysanthemum-like morphology in the FeNiCrAl0.7Cu0.3Si0.3 alloy, and finally to island-like grains in the FeNiCrAl0.7Cu0.3Si0.5 alloy. This evolution is accompanied by a phase transition from an Fe and Cr-rich body-centered cubic phase to an Al and Ni-rich body-centered cubic phase, with silicon showing a tendency to segregate alongside aluminum and nickel. The microhardness increases from 498.2 ± 15.0 HV for the FeNiCrAl0.7Cu0.3 alloy, to 502.7 ± 32.7 HV for FeNiCrAl0.7Cu0.3Si0.1, 577.3 ± 24.5 HV for FeNiCrAl0.7Cu0.3Si0.3, and 863.2 ± 23.5 HV for FeNiCrAl0.7Cu0.3Si0.5. The average friction coefficients are 0.571, 0.551, 0.524, and 0.468, respectively. The wear mass decreases from 1.31 mg in the FeNiCrAl0.7Cu0.3 alloy to 1.28 mg, 1.11 mg, and 0.78 mg in the FeNiCrAl0.7Cu0.3Si0.1, FeNiCrAl0.7Cu0.3Si0.3, and FeNiCrAl0.7Cu0.3Si0.5 samples, respectively. These trends are consistent with the increase in microhardness, supporting the inverse relationship between hardness and wear. As the silicon content increases, the dominant wear mechanism changes from abrasive wear to adhesive wear, with the high-silicon alloy exhibiting lamellar debris on the worn surface. These findings confirm that silicon addition enhances microstructural refinement, mechanical strength, and wear resistance of the alloy system. Full article
Show Figures

Figure 1

72 pages, 7480 KB  
Systematic Review
Synthesis of Iron-Based and Aluminum-Based Bimetals: A Systematic Review
by Jeffrey Ken B. Balangao, Carlito Baltazar Tabelin, Theerayut Phengsaart, Joshua B. Zoleta, Takahiko Arima, Ilhwan Park, Walubita Mufalo, Mayumi Ito, Richard D. Alorro, Aileen H. Orbecido, Arnel B. Beltran, Michael Angelo B. Promentilla, Sanghee Jeon, Kazutoshi Haga and Vannie Joy T. Resabal
Metals 2025, 15(6), 603; https://doi.org/10.3390/met15060603 - 27 May 2025
Cited by 1 | Viewed by 1573
Abstract
Bimetals—materials composed of two metal components with dissimilar standard reduction–oxidation (redox) potentials—offer unique electronic, optical, and catalytic properties, surpassing monometallic systems. These materials exhibit not only the combined attributes of their constituent metals but also new and novel properties arising from their synergy. [...] Read more.
Bimetals—materials composed of two metal components with dissimilar standard reduction–oxidation (redox) potentials—offer unique electronic, optical, and catalytic properties, surpassing monometallic systems. These materials exhibit not only the combined attributes of their constituent metals but also new and novel properties arising from their synergy. Although many reviews have explored the synthesis, properties, and applications of bimetallic systems, none have focused exclusively on iron (Fe)- and aluminum (Al)-based bimetals. This systematic review addresses this gap by providing a comprehensive overview of conventional and emerging techniques for Fe-based and Al-based bimetal synthesis. Specifically, this work systematically reviewed recent studies from 2014 to 2023 using the Scopus, Web of Science (WoS), and Google Scholar databases, following the Preferred Reporting Items for Systematic Reviews and Meta-Analyses (PRISMA) guidelines, and was registered under INPLASY with the registration number INPLASY202540026. Articles were excluded if they were inaccessible, non-English, review articles, conference papers, book chapters, or not directly related to the synthesis of Fe- or Al-based bimetals. Additionally, a bibliometric analysis was performed to evaluate the research trends on the synthesis of Fe-based and Al-based bimetals. Based on the 122 articles analyzed, Fe-based and Al-based bimetal synthesis methods were classified into three types: (i) physical, (ii) chemical, and (iii) biological techniques. Physical methods include mechanical alloying, radiolysis, sonochemical methods, the electrical explosion of metal wires, and magnetic field-assisted laser ablation in liquid (MF-LAL). In comparison, chemical protocols covered reduction, dealloying, supported particle methods, thermogravimetric methods, seed-mediated growth, galvanic replacement, and electrochemical synthesis. Meanwhile, biological techniques utilized plant extracts, chitosan, alginate, and cellulose-based materials as reducing agents and stabilizers during bimetal synthesis. Research works on the synthesis of Fe-based and Al-based bimetals initially declined but increased in 2018, followed by a stable trend, with 50% of the total studies conducted in the last five years. China led in the number of publications (62.3%), followed by Russia, Australia, and India, while Saudi Arabia had the highest number of citations per document (95). RSC Advances was the most active journal, publishing eight papers from 2014 to 2023, while Applied Catalysis B: Environmental had the highest number of citations per document at 203. Among the three synthesis methods, chemical techniques dominated, particularly supported particles, galvanic replacement, and chemical reduction, while biological and physical methods have started gaining interest. Iron–copper (Fe/Cu), iron–aluminum (Fe/Al), and iron–nickel (Fe/Ni) were the most commonly synthesized bimetals in the last 10 years. Finally, this work was funded by DOST-PCIEERD and DOST-ERDT. Full article
(This article belongs to the Section Extractive Metallurgy)
Show Figures

Figure 1

Back to TopTop