Sign in to use this feature.

Years

Between: -

Subjects

remove_circle_outline
remove_circle_outline
remove_circle_outline
remove_circle_outline

Journals

Article Types

Countries / Regions

Search Results (10)

Search Parameters:
Keywords = ENZ mode

Order results
Result details
Results per page
Select all
Export citation of selected articles as:
17 pages, 14203 KB  
Article
Low-Profile Omnidirectional and Wide-Angle Beam Scanning Antenna Array Based on Epsilon-Near-Zero and Fabry–Perot Co-Resonance
by Jiaxin Li, Lin Zhao, Dan Long and Hui Xie
Electronics 2025, 14(10), 2012; https://doi.org/10.3390/electronics14102012 - 15 May 2025
Viewed by 1498
Abstract
To address the inherent contradiction between low-profile design and high gain in traditional omnidirectional antennas, as well as the narrow bandwidth constraints of ENZ antennas, this study presents a dual-mode ENZ-FP collaborative resonant antenna array design utilizing a substrate-integrated waveguide (SIW). Through systematic [...] Read more.
To address the inherent contradiction between low-profile design and high gain in traditional omnidirectional antennas, as well as the narrow bandwidth constraints of ENZ antennas, this study presents a dual-mode ENZ-FP collaborative resonant antenna array design utilizing a substrate-integrated waveguide (SIW). Through systematic analysis of ENZ media’s quasi-static field distribution, we innovatively integrated it with Fabry–Perot (F–P) resonance, achieving unprecedented dual-band omnidirectional radiation at 5.18 GHz and 5.72 GHz within a single ENZ antenna configuration for the first time. The directivity of both frequencies reached 12.0 dBi, with a remarkably low profile of only 0.018λ. We then extended this design to an ENZ-FP dual-mode beam-scanning array. By incorporating phase control technology, we achieved wide-angle scanning despite low-profile constraints. The measured 3 dB beam coverage angles at the dual frequencies were ±63° and ±65°, respectively. Moreover, by loading the impedance matching network, the −10 dB impedance bandwidth of the antenna array was further extended to 2.4% and 2.7%, respectively, thus overcoming the narrowband limitations of the ENZ antenna and enhancing practical applicability. The antennas were manufactured using PCB (Printed Circuit Board) technology, offering high integration and cost efficiency. This provides a new paradigm for UAV (Unmanned Aerial Vehicle) communication and radar detection systems featuring multi-band operation, a low-profile design, and flexible beam control capabilities. Full article
(This article belongs to the Section Microwave and Wireless Communications)
Show Figures

Figure 1

13 pages, 9489 KB  
Article
Photonic Characterisation of Indium Tin Oxide as a Function of Deposition Conditions
by Samuel F. J. Blair, Joshua S. Male, Stuart A. Cavill, Christopher P. Reardon and Thomas F. Krauss
Nanomaterials 2023, 13(13), 1990; https://doi.org/10.3390/nano13131990 - 30 Jun 2023
Cited by 13 | Viewed by 2736
Abstract
Indium tin oxide (ITO) has recently gained prominence as a photonic nanomaterial, for example, in modulators, tuneable metasurfaces and for epsilon-near-zero (ENZ) photonics. The optical properties of ITO are typically described by the Drude model and are strongly dependent on the deposition conditions. [...] Read more.
Indium tin oxide (ITO) has recently gained prominence as a photonic nanomaterial, for example, in modulators, tuneable metasurfaces and for epsilon-near-zero (ENZ) photonics. The optical properties of ITO are typically described by the Drude model and are strongly dependent on the deposition conditions. In the current literature, studies often make several assumptions to connect the optically measured material parameters to the electrical properties of ITO, which are not always clear, nor do they necessarily apply. Here, we present a comprehensive study of the structural, electrical, and optical properties of ITO and showed how they relate to the deposition conditions. We use guided mode resonances to determine the dispersion curves of the deposited material and relate these to structural and electrical measurements to extract all relevant material parameters. We demonstrate how the carrier density, mobility, plasma frequency, electron effective mass, and collision frequency vary as a function of deposition conditions, and that the high-frequency permittivity (ϵ) can vary significantly from the value of ϵ = 3.9 that many papers simply assume to be a constant. The depth of analysis we demonstrate allows the findings to be easily extrapolated to the photonic characterisation of other transparent conducting oxides (TCOs), whilst providing a much-needed reference for the research area. Full article
(This article belongs to the Special Issue Advances in Photonic and Plasmonic Nanomaterials—Volume II)
Show Figures

Figure 1

12 pages, 2773 KB  
Communication
Investigation of Giant Nonlinearity in a Plasmonic Metasurface with Epsilon-Near-Zero Film
by Chenran Liu, Ke Xu, Jian Feng and Ming Fang
Photonics 2023, 10(5), 592; https://doi.org/10.3390/photonics10050592 - 19 May 2023
Viewed by 2214
Abstract
Plasmonic metamaterials can exhibit a variety of physical optical properties that offer extraordinary nonlinear conversion efficiency for ultra-compact nanodevice applications. Furthermore, the optical-rectification effect from the plasmonic nonlinear metasurfaces (NLMSs) can be used as a compact source of deep-subwavelength thickness to radiate broadband [...] Read more.
Plasmonic metamaterials can exhibit a variety of physical optical properties that offer extraordinary nonlinear conversion efficiency for ultra-compact nanodevice applications. Furthermore, the optical-rectification effect from the plasmonic nonlinear metasurfaces (NLMSs) can be used as a compact source of deep-subwavelength thickness to radiate broadband terahertz (THz) signals. Meanwhile, a novel dual-mode metasurface consisting of a split-ring resonator (SRR) array and an epsilon-near-zero (ENZ) layer was presented to boost the THz conversion efficiency further. In this paper, to explore the mechanism of THz generation from plasmonic NLMSs, the Maxwell-hydrodynamic multiphysics model is adopted to investigate complex linear and intrinsic nonlinear dynamics in plasmonics. We solve the multiphysics model using the finite-difference time-domain (FDTD) method, and the numerical results demonstrate the physical mechanism of the THz generation processes which cannot be observed in our previous experiments directly. The proposed method reveals a new approach for developing new types of high-conversion-efficiency nonlinear nanodevices. Full article
(This article belongs to the Special Issue Recent Trends in Computational Photonics)
Show Figures

Figure 1

11 pages, 4426 KB  
Article
Tunable Nonlinear Optical Response of ITO Films with Au@Ag Bimetallic Nanoparticles
by Tingzhen Yan, Ruijin Hong, Jiqing Lian, Chunxian Tao, Hui Lin, Qi Wang, Zhaoxia Han and Dawei Zhang
Nanomaterials 2023, 13(10), 1631; https://doi.org/10.3390/nano13101631 - 13 May 2023
Cited by 3 | Viewed by 2259
Abstract
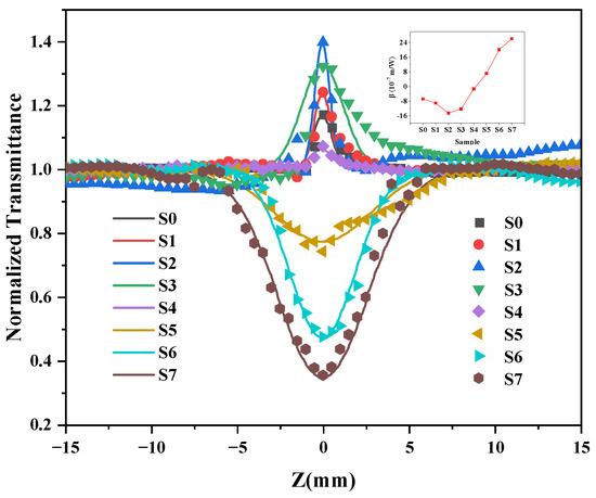
The nonlinear optical (NLO) response of indium tin oxide films covered with Au@Ag colloid layer was characterized by a femtosecond single-beam open aperture (OA) Z-scan technique in this study. As the Au@Ag thickness increased, the transition from saturated absorption (SA) to reverse saturated [...] Read more.
The nonlinear optical (NLO) response of indium tin oxide films covered with Au@Ag colloid layer was characterized by a femtosecond single-beam open aperture (OA) Z-scan technique in this study. As the Au@Ag thickness increased, the transition from saturated absorption (SA) to reverse saturated absorption (RSA) was found in these ITO matrix composites. The nonlinear absorption coefficient for these composite materials can be regulated from −6.85 × 10−7 m/W to 26.06 × 10−7 m/W. In addition, this work also characterized the structure, morphology, and other optical properties of the specimen, and the finite-difference time-domain (FDTD) results were consistent with the experimental results. The NLO response of the ITO/Au@Ag composites can be attributed to the phase properties, synergistic competition effect, strong interaction based on the epsilon-near-zero (ENZ) mode, and localized surface plasmon resonance (LSPR) between the indium tin oxide films and Au@Ag. Full article
(This article belongs to the Section Nanocomposite Materials)
Show Figures

Figure 1

9 pages, 2432 KB  
Article
Multi-Channel High-Performance Absorber Based on SiC-Photonic Crystal Heterostructure-SiC Structure
by Jing Han, Jijuan Jiang, Tong Wu, Yang Gao and Yachen Gao
Nanomaterials 2022, 12(2), 289; https://doi.org/10.3390/nano12020289 - 17 Jan 2022
Cited by 16 | Viewed by 2507
Abstract
The multi-channel high-efficiency absorber in the mid-infrared band has broad application prospects. Here, we propose an SiC-photonic crystal (PhC) heterostructure-SiC structure to realize the absorber. The absorption characteristics of the structure are studied theoretically. The results show that the structure can achieve high-efficiency [...] Read more.
The multi-channel high-efficiency absorber in the mid-infrared band has broad application prospects. Here, we propose an SiC-photonic crystal (PhC) heterostructure-SiC structure to realize the absorber. The absorption characteristics of the structure are studied theoretically. The results show that the structure can achieve high-efficiency multi-channel absorption in the mid-infrared range. The absorption peaks come from the coupling of the dual Tamm phonon polariton (TPhP) mode formed at the interface between the two SiC layers and the photonic crystal, and the optical Tamm state (OTS) mode formed in the PhC heterostructure. By adjusting the thickness of the air dielectric layer and the period of the PhC in the heterostructure, the mode coupling intensity can be regulated; thereby, the position and intensity of the absorption peak can be adjusted. In addition, the absorption peaks of TE and TM polarized light can be controlled by changing the incident angle. Adjusting the incident angle can also control the excitation and intensity of the epsilon-near-zero (ENZ) phonon polariton mode produced by TM polarized light. This kind of light absorber may have potential applications in sensors, filters, modulators, switches, thermal radiators, and so on. Full article
(This article belongs to the Section Theory and Simulation of Nanostructures)
Show Figures

Figure 1

15 pages, 2719 KB  
Article
A Controllable Plasmonic Resonance in a SiC-Loaded Single-Polarization Single-Mode Photonic Crystal Fiber Enables Its Application as a Compact LWIR Environmental Sensor
by Tianyu Yang, Can Ding, Richard W. Ziolkowski and Y. Jay Guo
Materials 2020, 13(18), 3915; https://doi.org/10.3390/ma13183915 - 4 Sep 2020
Cited by 7 | Viewed by 2663
Abstract
Near-perfect resonant absorption is attained in a single-polarization single-mode photonic crystal fiber (SPSM PCF) within the long-wave infrared (LWIR) range from 10 to 11 μm. The basic PCF design is a triangular lattice-based cladding of circular air holes and a core region [...] Read more.
Near-perfect resonant absorption is attained in a single-polarization single-mode photonic crystal fiber (SPSM PCF) within the long-wave infrared (LWIR) range from 10 to 11 μm. The basic PCF design is a triangular lattice-based cladding of circular air holes and a core region augmented with rectangular slots. A particular set of air holes surrounding the core is partially filled with SiC, which exhibits epsilon near-zero (ENZ) and epsilon negative (ENG) properties within the wavelength range of interest. By tuning the configuration to have the fields of the unwanted fundamental and all higher order modes significantly overlap with the very lossy ENG rings, while the wanted fundamental propagating mode is concentrated in the core, the SPSM outcome is realized. Moreover, a strong plasmonic resonance is attained by adjusting the radii of the resulting cylindrical core-shell structures. The cause of the resonance is carefully investigated and confirmed. The resonance wavelength is shown to finely shift, depending on the relative permittivity of any material introduced into the PCF’s air holes, e.g., by flowing a liquid or gas in them. The potential of this plasmonic-based PCF structure as a very sensitive, short length LWIR spectrometer is demonstrated with an environmental monitoring application. Full article
(This article belongs to the Special Issue Physics and Applications of Epsilon-Near-Zero Materials)
Show Figures

Figure 1

12 pages, 4880 KB  
Article
An Electrically Tunable Dual-Wavelength Refractive Index Sensor Based on a Metagrating Structure Integrating Epsilon-Near-Zero Materials
by Zhenya Meng, Hailin Cao, Run Liu and Xiaodong Wu
Sensors 2020, 20(8), 2301; https://doi.org/10.3390/s20082301 - 17 Apr 2020
Cited by 10 | Viewed by 4319
Abstract
In this paper, a reconfigurable sensing platform based on an asymmetrical metal-insulator-metal stacked structure integrating an indium tin oxide (ITO) ultrathin film is proposed and investigated numerically. The epsilon-near-zero (ENZ) mode and antisymmetric mode can be resonantly excited, generating near-perfect absorption of over [...] Read more.
In this paper, a reconfigurable sensing platform based on an asymmetrical metal-insulator-metal stacked structure integrating an indium tin oxide (ITO) ultrathin film is proposed and investigated numerically. The epsilon-near-zero (ENZ) mode and antisymmetric mode can be resonantly excited, generating near-perfect absorption of over 99.7% at 1144 and 1404 nm, respectively. The absorptivity for the ENZ mode can be modulated from 90.2% to 98.0% by varying the ENZ wavelength of ITO by applying different voltages. To obtain a highly sensitive biosensor, we show that the proposed structure has a full-width at half-maximum (FWHM) of 8.65 nm and a figure-of-merit (FOM) of 24.7 with a sensitivity of 213.3 nm/RI (refractive index) for the glucose solution. Our proposed device has potential for developing tunable biosensors for real-time health monitoring. Full article
(This article belongs to the Section Optical Sensors)
Show Figures

Figure 1

11 pages, 3367 KB  
Article
A Designed Broadband Absorber Based on ENZ Mode Incorporating Plasmonic Metasurfaces
by Phuc Toan Dang, Khai Q. Le, Ji-Hoon Lee and Truong Khang Nguyen
Micromachines 2019, 10(10), 673; https://doi.org/10.3390/mi10100673 - 4 Oct 2019
Cited by 27 | Viewed by 5047
Abstract
In this paper, we present a numerical study of a metamaterial absorber that provides polarization-insensitive absorption over a broad bandwidth of operation over the mid-infrared region. The absorber consists of a periodically patterned metal-dielectric-metal structure integrated with an epsilon-near-zero (ENZ) nanolayer into the [...] Read more.
In this paper, we present a numerical study of a metamaterial absorber that provides polarization-insensitive absorption over a broad bandwidth of operation over the mid-infrared region. The absorber consists of a periodically patterned metal-dielectric-metal structure integrated with an epsilon-near-zero (ENZ) nanolayer into the insulating dielectric gap region. Such an anomalous broadband absorber is achieved thanks to a couple of resonant modes including plasmon and ENZ modes that are excited under mid-IR light illumination. By adding a 0.06-μm-thick ENZ layer between the patterned gold rectangular grating and the SiO2 dielectric layer, the absorber captures >95% light over a 1.5 µm bandwidth centered at a near-8-μm wavelength over a wide range of oblique incidence under transverse-magnetic and -electric polarizations. The designed ENZ-based wideband absorber has potential for many practical applications, including sensing, imaging and solar energy harvesting over a wide frequency regime. Full article
(This article belongs to the Special Issue Nanostructured Light-Emitters)
Show Figures

Figure 1

15 pages, 7350 KB  
Article
A Terahertz (THz) Single-Polarization-Single-Mode (SPSM) Photonic Crystal Fiber (PCF)
by Tianyu Yang, Can Ding, Richard W. Ziolkowski and Y. Jay Guo
Materials 2019, 12(15), 2442; https://doi.org/10.3390/ma12152442 - 31 Jul 2019
Cited by 40 | Viewed by 4445
Abstract
This paper presents a novel approach to attain a single-polarization-single-mode (SPSM) photonic crystal fiber (PCF) in the terahertz (THz) regime. An initial circular hole PCF design is modified by introducing asymmetry in the first ring of six air holes in the cladding, i.e., [...] Read more.
This paper presents a novel approach to attain a single-polarization-single-mode (SPSM) photonic crystal fiber (PCF) in the terahertz (THz) regime. An initial circular hole PCF design is modified by introducing asymmetry in the first ring of six air holes in the cladding, i.e., epsilon-near-zero (ENZ) material is introduced into only four of those air holes and the other two remain air-filled but have different diameters. The resulting fundamental X-polarized (XP) and Y-polarized (YP) modes have distinctly different electric field distributions. The asymmetry is arranged so that the YP mode has a much larger amount of the field distributed in the ENZ material than the XP mode. Since the ENZ material is very lossy, the YP mode suffers a much higher loss than the XP mode. Consequently, after a short propagation distance, the loss difference (LD) between the XP and YP modes will be large enough that only the XP mode still realistically exists in the PCF. To further enhance the outcome, gain material is introduced into the core area to increase the LDs between the wanted XP mode and any unwanted higher order (HO) modes, as well as to compensate for the XP mode loss without affecting the LD between the XP and YP modes. The optimized PCF exhibits LDs between the desired XP mode and all other modes greater than 8.0 dB/cm across a wide frequency range of 0.312 THz. Consequently, the reported PCF only needs a length of 2.5 cm to attain an SPSM result, with the unwanted modes being more than 20 dB smaller than the wanted mode over the entire operational band. Full article
(This article belongs to the Special Issue Photonic Materials and Devices)
Show Figures

Figure 1

11 pages, 3283 KB  
Article
Broadband Absorption Tailoring of SiO2/Cu/ITO Arrays Based on Hybrid Coupled Resonance Mode
by Jiqing Lian, Dawei Zhang, Ruijin Hong, Tingzhen Yan, Taiguo Lv and Daohua Zhang
Nanomaterials 2019, 9(6), 852; https://doi.org/10.3390/nano9060852 - 4 Jun 2019
Cited by 7 | Viewed by 3508
Abstract
Sub-wavelength artificial photonic structures can be introduced to tailor and modulate the spectrum of materials, thus expanding the optical applications of these materials. On the basis of SiO2/Cu/ITO arrays, a hybrid coupled resonance (HCR) mechanism, including the epsilon-near-zero (ENZ) mode of [...] Read more.
Sub-wavelength artificial photonic structures can be introduced to tailor and modulate the spectrum of materials, thus expanding the optical applications of these materials. On the basis of SiO2/Cu/ITO arrays, a hybrid coupled resonance (HCR) mechanism, including the epsilon-near-zero (ENZ) mode of ITO, local surface plasmon resonance (LSPR) mode and the microstructural gap resonance (GR) mode, was proposed and researched by systematically regulating the array period and layer thickness. The optical absorptions of the arrays were simulated under different conditions by the finite-difference time-domain (FDTD) method. ITO films were prepared and characterized to verify the existence of ENZ mode and Mie theory was used to describe the LSPR mode. The cross-sectional electric field distribution was analyzed while SiO2/Cu/ITO multilayers were also fabricated, of which absorption was measured and calculated by Macleod simulation to prove the existence of GR and LSPR mode. Finally, the broad-band tailoring of optical absorption peaks from 673 nm to 1873 nm with the intensities from 1.8 to 0.41 was realized, which expands the applications of ITO-based plasmonic metamaterials in the near infrared (NIR) region. Full article
Show Figures

Figure 1

Back to TopTop