Sign in to use this feature.

Years

Between: -

Subjects

remove_circle_outline
remove_circle_outline
remove_circle_outline
remove_circle_outline
remove_circle_outline
remove_circle_outline
remove_circle_outline
remove_circle_outline
remove_circle_outline

Journals

remove_circle_outline
remove_circle_outline
remove_circle_outline
remove_circle_outline
remove_circle_outline
remove_circle_outline
remove_circle_outline
remove_circle_outline

Article Types

Countries / Regions

remove_circle_outline
remove_circle_outline
remove_circle_outline
remove_circle_outline

Search Results (1,265)

Search Parameters:
Keywords = DEM-Simulation

Order results
Result details
Results per page
Select all
Export citation of selected articles as:
18 pages, 5646 KB  
Article
Study on Optimization of 3DP Rock Elastoplastic Properties: Coupling Experimental and DEM Simulation
by Jiecheng Song, Jianjun Liu and Rui Song
Processes 2025, 13(12), 3940; https://doi.org/10.3390/pr13123940 - 5 Dec 2025
Abstract
Three-dimensionally printed (3DP) samples with quartz sand effectively avoid the heterogeneity of reservoir rocks in underground gas storage (UGS), providing reliable supports for rock mechanics research under cyclic injection–production pressures. A study on the mechanical properties of 3DP rock samples was conducted by [...] Read more.
Three-dimensionally printed (3DP) samples with quartz sand effectively avoid the heterogeneity of reservoir rocks in underground gas storage (UGS), providing reliable supports for rock mechanics research under cyclic injection–production pressures. A study on the mechanical properties of 3DP rock samples was conducted by coupling triaxial tests with discrete element method (DEM) simulation. Key results are as follows: (1) The graded particle model (GPM) based on actual particle size distribution (PSD) closely matched experimental data, with an average peak strength error of 1.13%. (2) Cyclic saturation post-processing with silica sol significantly enhanced mechanical properties, increasing peak strength from 5.70 to 52.84 MPa and inducing a plastic-to-brittle failure transition. A power-law relationship was identified between saturation cycles and macroscopic strength. (3) DEM simulations revealed that bond effective modulus linearly controls Young’s modulus. The influence of cohesion on peak strength is greater than that of the friction angle, and the bond stiffness ratio regulates shear failure threshold. The cohesion force is 50 MPa, and the peak strength has been increased to 107.89 MPa. (4) Enhancing particle cohesive strength was key to improving the mechanical properties of 3DP rock samples. This study provides a reliable framework for customized 3DP rock preparation and UGS-related mechanical simulations. Full article
(This article belongs to the Topic Exploitation and Underground Storage of Oil and Gas)
Show Figures

Graphical abstract

32 pages, 6175 KB  
Article
Comprehensive Image-Based Validation Framework for Particle Motion in DEM Models Under Field-like Conditions
by Kuře Jiří and Kuřetová Barbora
Technologies 2025, 13(12), 570; https://doi.org/10.3390/technologies13120570 - 5 Dec 2025
Abstract
Accurate numerical prediction of particle–tool interaction requires validation methods that closely reflect the complexity of real operating conditions. This study introduces a comprehensive methodology for validating the motion of particulate material modeled using the Discrete Element Method (DEM) under field-like conditions, with experimental [...] Read more.
Accurate numerical prediction of particle–tool interaction requires validation methods that closely reflect the complexity of real operating conditions. This study introduces a comprehensive methodology for validating the motion of particulate material modeled using the Discrete Element Method (DEM) under field-like conditions, with experimental measurements conducted directly during agricultural processing. The proposed framework integrates image analysis with manual extraction of experimental particle trajectories, providing an efficient, flexible, and cost-effective validation approach. A multilayer perceptron artificial neural network (ANN) trained on 94,939 calibration samples was employed to transform pixel coordinates from two synchronized cameras into 3D spatial positions. To the best of the authors’ knowledge, this represents the first application of an ANN-based trajectory reconstruction method under laboratory soil-channel conditions that replicate field-representative geometry and operating velocities. Experiments were conducted in a laboratory soil channel using a full-scale agricultural chisel operating at 1.0 and 1.5 m·s−1, corresponding to realistic tillage velocities. The ANN achieved excellent accuracy (R2 = 0.9994, 0.9993, and 0.9988 for the X-, Y-, and Z-axes; average deviation 2.7 mm), and the subsequent comparison with DEM simulations resulted in an average nRMSE error of 4.7% for 1 m·s−1 and 9.41% for 1.5 m·s−1. The results confirm that the proposed methodology enables precise reconstruction of particle trajectories and provides a robust framework for the validation and calibration of DEM models under conditions closely approximating real field environments. Full article
Show Figures

Figure 1

31 pages, 37241 KB  
Article
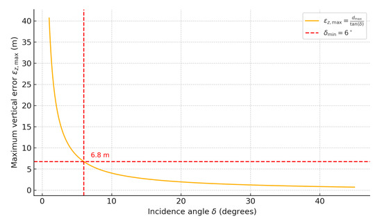
DEM-Based UAV Geolocation of Thermal Hotspots on Complex Terrain
by Lucile Rossi, Frédéric Morandini, Antoine Burglin, Jean Bertrand, Clément Wandon, Aurélien Tollard and Antoine Pieri
Remote Sens. 2025, 17(23), 3911; https://doi.org/10.3390/rs17233911 - 2 Dec 2025
Viewed by 206
Abstract
Reliable geolocation of thermal hotspots, such as smoldering embers that can reignite after vegetation fire suppression, deep-seated peat fires, or underground coal seam fires, is critical to prevent fire resurgence, limit prolonged greenhouse gas emissions, and mitigate environmental and health impacts. This study [...] Read more.
Reliable geolocation of thermal hotspots, such as smoldering embers that can reignite after vegetation fire suppression, deep-seated peat fires, or underground coal seam fires, is critical to prevent fire resurgence, limit prolonged greenhouse gas emissions, and mitigate environmental and health impacts. This study develops and tests an algorithm to estimate the GPS positions of thermal hotspots detected in infrared images acquired by an unmanned aerial vehicle (UAV), designed to operate over flat and mountainous terrain. Its originality lies in a reformulated Bresenham traversal of the digital elevation model (DEM), combined with a lightweight, ray-tracing-inspired strategy that efficiently detects the intersection of the optical ray with the terrain by approximating the ray altitude at the cell level. UAV flight experiments in complex terrain were conducted, with thermal image acquisitions performed at 60 m and 120 m above ground level and simulated hotspots generated using controlled heat sources. The tests were carried out with two thermal cameras: a Zenmuse H20T mounted on a Matrice 300 UAV flown both with and without Real-Time Kinematic (RTK) positioning, and a Matrice 30T UAV without RTK. The implementation supports both real-time and post-processed operation modes. The results demonstrated robust and reliable geolocation performance, with mean positional errors consistently below 4.2 m for all the terrain configurations tested. A successful real-time operation in the test confirmed the suitability of the algorithm for time-critical intervention scenarios. Since July 2024, the post-processed version of the method has been in operational use by the Corsica fire services. Full article
Show Figures

Figure 1

21 pages, 2409 KB  
Article
Optimization of Liquid Manure Injector Designs for Cover Crop Systems Using Discrete Element Modeling and Soil Bin Evaluation
by Adewale Sedara, Zhiwei Zeng, Matthew Digman and Aaron Timm
AgriEngineering 2025, 7(12), 404; https://doi.org/10.3390/agriengineering7120404 - 2 Dec 2025
Viewed by 119
Abstract
This study integrates Discrete Element Method (DEM) simulations, soil bin experiments, and multi-objective optimization to develop an energy-efficient manure injector shank. Eighteen geometries were first screened using DEM, reducing the set to six designs (S_1–S_6) based on draft force–rupture area performance. The selected [...] Read more.
This study integrates Discrete Element Method (DEM) simulations, soil bin experiments, and multi-objective optimization to develop an energy-efficient manure injector shank. Eighteen geometries were first screened using DEM, reducing the set to six designs (S_1–S_6) based on draft force–rupture area performance. The selected designs, varying in rake angle (30°, 45°, 60°), thickness (25 and 30 mm), and width (102, 110, and 118 mm), were tested in a soil bin to measure draft, trench width, spoil cross-sectional area, and soil rupture. Statistical analysis revealed significant differences among designs (p < 0.05), confirming that rake angle, width, and thickness have a strong influence on the soil–tool interaction. A multi-objective optimization framework was then used to minimize draft, trench width, and spoil area while maximizing rupture, with performance quantified through overall desirability values (0–1). Shank S_3 (45° rake, 25 mm thickness, 110 mm width) achieved the highest desirability (0.6676), representing the best trade-off between energy efficiency, minimal surface disturbance, and effective subsurface loosening. This integrated DEM–experimental–optimization approach demonstrates a reliable, data-driven workflow for implement design, reducing reliance on extensive field trials. However, future studies should validate the performance of S_3 and other candidate designs under diverse soil types, moisture levels, and operating conditions to confirm their agronomic and environmental benefits. Full article
(This article belongs to the Section Agricultural Mechanization and Machinery)
Show Figures

Figure 1

16 pages, 3870 KB  
Article
Assessing Earthquake-Induced Sediment Accumulation and Its Influence on Flooding in the Kota Belud Catchment of Malaysia Using a Combined D-InSAR and DEM-Based Analysis
by Navakanesh M. Batmanathan, Joy Jacqueline Pereira, Afroz Ahmad Shah, Lim Choun Sian and Nurfashareena Muhamad
Earth 2025, 6(4), 151; https://doi.org/10.3390/earth6040151 - 30 Nov 2025
Viewed by 142
Abstract
A combined Differential InSAR (D-InSAR) and Digital Elevation Model (DEM)-based analysis revealed that earthquake-triggered landslides significantly altered river morphology and intensified flooding in the Kota Belud catchment, Sabah, Malaysia. This 1386 km2 catchment, home to about 120,000 people, has experienced a marked [...] Read more.
A combined Differential InSAR (D-InSAR) and Digital Elevation Model (DEM)-based analysis revealed that earthquake-triggered landslides significantly altered river morphology and intensified flooding in the Kota Belud catchment, Sabah, Malaysia. This 1386 km2 catchment, home to about 120,000 people, has experienced a marked rise in flood events following the 4 June 2015 and 8 March 2018 earthquakes. Multi-temporal Sentinel-1 Synthetic Aperture Radar (SAR) data and a 30 m Shuttle Radar Topography Mission (SRTM) DEM, complemented by river network information from HydroBASINS, were integrated to map sediment redistribution and model flood extent. Upstream zones exhibited extensive coseismic landslides and pronounced geomorphic disruption. Interferometric analysis showed that coherence was well preserved over stable terrain but rapidly degraded in vegetated and steep areas. Sediment aggradation, interpreted qualitatively from patterns of coherence loss and increased backscatter intensity, highlights slope failure initiation zones and depositional build-up along channels. Conversely, downstream, similar sedimentary adjustments were detected immediately upstream of areas with repeated flood incidents. Between 2015 and 2018, flood occurrences increased over fivefold, and after 2018, they increased by more than thirteenfold relative to pre-2015 conditions. DEM-based inundation simulations demonstrated that channel shallowing substantially reduced conveyance capacity and expanded flood extent. Collectively, these results confirm that earthquake-induced landslides have contributed to reshaping the geomorphology and amplified flooding in the area. Full article
Show Figures

Figure 1

30 pages, 4260 KB  
Article
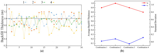
Numerical Investigation of Sediment Settling and Deposition Characteristics in Layered Backfilling Using a Trailing Suction Hopper Dredger
by Zhi Liu, Hongwen Zheng, Chuliang Wang, Mingjie Yu, Dongliang Meng, Tao Sun and Wei Wei
Processes 2025, 13(12), 3847; https://doi.org/10.3390/pr13123847 - 28 Nov 2025
Viewed by 262
Abstract
Trailing suction hopper dredgers (TSHDs) are widely used in port subgrade reinforcement and land reclamation layered backfilling, with construction quality relying on sediment settling paths and deposition characteristics. To tackle the lack of guidance on key parameters like bottom door opening, sailing speed, [...] Read more.
Trailing suction hopper dredgers (TSHDs) are widely used in port subgrade reinforcement and land reclamation layered backfilling, with construction quality relying on sediment settling paths and deposition characteristics. To tackle the lack of guidance on key parameters like bottom door opening, sailing speed, and related problems, a multiphase settling model based on coupled CFD–DEM is developed. This model analyzes sediment particle settling trajectories, distribution patterns, and uniformity responses under different conditions. Through orthogonal simulations of bottom door openings (22%, 50%, 100%) and sailing speeds (0.02, 0.045, 0.07 kn), the coupling relationships among particle settling velocity, main deposition layer thickness, and spatial extension are revealed, clarifying how parameter variations affect deposition uniformity and coverage. The results indicate that, relative to a small opening (22%), a moderate bottom door opening (50%) simultaneously increases layer thickness and markedly improves deposition uniformity (minimum uniformity index), whereas a very large opening (100%) further increases thickness at the expense of a modest loss of uniformity relative to the moderate case; higher sailing speeds cause long-range migration and local deposition irregularities. Engineering validation using field data from the Junyang 1 TSHD in the Manila Pasay project shows that a moderate bottom door opening of about 15% (selected based on the 22–50% simulation trend), combined with a medium sailing speed of about 0.4 kn, achieves a good balance between thickness control and uniformity. A coupled multi-physics analysis framework and a parameter–response map are established, systematically revealing the influence of operational parameters on sediment settling and deposition uniformity and providing quantitative support for TSHD backfilling operations. Full article
(This article belongs to the Section Particle Processes)
Show Figures

Figure 1

16 pages, 7104 KB  
Article
Rainfall Impact Experiments on a Clay Soil Covered by Rock Fragments
by Vincenzo Palmeri, Gaetano Guida, Antonino Lucchese, Alessio Nicosia and Vito Ferro
Water 2025, 17(23), 3387; https://doi.org/10.3390/w17233387 - 27 Nov 2025
Viewed by 212
Abstract
The effect of rock cover on rainfall impact and hydrodynamic flow behavior is a topic that needs to be further explored. In this paper, the effects of rock fragments embedded (trapped in the topsoil layer) in clay soil on runoff and sediment yield [...] Read more.
The effect of rock cover on rainfall impact and hydrodynamic flow behavior is a topic that needs to be further explored. In this paper, the effects of rock fragments embedded (trapped in the topsoil layer) in clay soil on runoff and sediment yield under simulated rainfall are investigated. The experiments were performed on 0.25 m × 0.25 m sloping microplots with bare soil (control) or a surface covered by 35 embedded rock elements (rock). For each configuration, three rainfall intensities (260.2, 444.0, and 605.2 mm h−1), obtained by Kamphorst’s simulator, were tested, and the whole suspension was collected to determine runoff and sediment yield. The microplots were surveyed before and after the runs to obtain a Digital Elevation Model (DEM) and a DEM of Difference (DoD) and determine sediment yield. The obtained results demonstrated that both runoff and sediment yield (both measured from bowls and calculated from the DoD) increase with increasing rainfall intensity and rock percentage cover. For embedded elements, a higher rate of the sediments moving along the microplots reaches the downstream end of the microplot due to flow channelization. Finally, for the control condition, the erosive phenomena are concentrated under the nozzles, while for the rock configuration, they are also spread in the areas among the rock elements. Full article
(This article belongs to the Section Water Erosion and Sediment Transport)
Show Figures

Figure 1

21 pages, 7400 KB  
Article
Assessment of Photovoltaic Power Generation Potential in Chinese Expressway Service Areas
by Qiang Yu, Yufei Zhang, Zhufa Chu, Shuo Zhang, Zhongyi Shen and Zice Ma
Energies 2025, 18(23), 6209; https://doi.org/10.3390/en18236209 - 27 Nov 2025
Viewed by 269
Abstract
China’s expressways generate substantial carbon emissions annually. To mitigate these emissions, this study explores the deployment of photovoltaic (PV) modules in the available areas of expressway service areas. As critical energy consumption nodes along the expressway network, service areas offer notable advantages for [...] Read more.
China’s expressways generate substantial carbon emissions annually. To mitigate these emissions, this study explores the deployment of photovoltaic (PV) modules in the available areas of expressway service areas. As critical energy consumption nodes along the expressway network, service areas offer notable advantages for PV deployment compared to other highway segments, including ease of management, cost-effectiveness, and reduced transmission losses. However, the scattered distribution of service areas—many of which are located in mountainous and complex terrains—poses significant challenges to accurately assessing their PV potential. To address this issue, this study develops a spatiotemporal model to evaluate the solar photovoltaic power generation potential of expressway service areas across China. First, national service area coverage is determined using highway network data. Second, digital elevation model (DEM) data are used to estimate hourly shadow areas caused by surrounding terrain; solar radiation within these shadowed regions is assumed to be zero. Finally, by integrating ground-based solar radiation data with a radiation estimation model, the PV potential of service areas in each province is calculated. The model integrates expressway service area data, high-resolution digital elevation models, and ground-based solar radiation datasets to simulate spatially and temporally resolved irradiance conditions, enabling accurate estimation of photovoltaic potential at the provincial and national scales. Based on data from approximately 3225 expressway service areas as of the end of 2022, the results indicate an annual photovoltaic potential of 1400.72 TW, with an estimated installable capacity of 51.85 GW, yielding an annual electricity generation of 66.37 TWh. The southeastern regions, particularly Guangdong Province, exhibit greater PV potential due to their higher density of service areas, compared to the northwestern regions. Nationwide adoption of PV systems in expressway service areas is projected to reduce carbon emissions by 48.85 million tons. This study provides a valuable reference for regional planning and suitability assessment of PV expressway infrastructure development in China. Moreover, this study provides a novel spatiotemporal assessment framework and the first national-scale case study of PV potential in expressway service areas, offering valuable guidance for highway energy planning and low-carbon infrastructure development in China. Full article
(This article belongs to the Section A2: Solar Energy and Photovoltaic Systems)
Show Figures

Figure 1

21 pages, 13587 KB  
Article
Development of an Optimization Method for Dry-Type Rice Straw Modeling Considering Mechanical Properties Using the Discrete Element Method
by Min-Seung Kim, Dae-Wi Jeong, Se-O Choi, Shin-Young Noh, Yeon-Soo Kim and Yong-Joo Kim
Agronomy 2025, 15(12), 2712; https://doi.org/10.3390/agronomy15122712 - 25 Nov 2025
Viewed by 176
Abstract
Accurate load prediction is essential for optimizing the performance and design of agricultural machinery. However, obtaining field-based load data is challenging due to the limited harvesting period of crops. To address this, the Discrete Element Method (DEM) has been widely applied to simulate [...] Read more.
Accurate load prediction is essential for optimizing the performance and design of agricultural machinery. However, obtaining field-based load data is challenging due to the limited harvesting period of crops. To address this, the Discrete Element Method (DEM) has been widely applied to simulate crop–machine interactions under controlled virtual conditions. Previous DEM studies on rice straw often assumed uniform mechanical properties throughout the stem, neglecting sectional heterogeneity and limiting the accuracy of tensile and shear response prediction. This study developed an optimized DEM-based modeling approach by dividing rice straw into four sections—Top, Mid, Node, and Bottom—and experimentally determining their mechanical properties for model calibration. The Mid section exhibited the highest average tensile strength (178.71 N), while the Node showed the greatest shear resistance (114.08 N). One-way ANOVA confirmed significant sectional differences in both tensile (F = 18.12, p < 0.001) and shear (F = 23.61, p < 0.001) strengths. Two DEM models were validated: a multi-particle (Model A) and a simplified single-particle (Model B) configuration. Both achieved over 95% prediction accuracy, with Model B reducing computation time by 77.5% (80→18 min). Although the modeling was based on fully dried straw, future studies should incorporate moisture-dependent properties to enhance predictive fidelity. The proposed approach improves both accuracy and efficiency, providing a foundation for raking and baling load simulations. Full article
(This article belongs to the Special Issue Research Progress in Agricultural Robots in Arable Farming)
Show Figures

Figure 1

30 pages, 5250 KB  
Article
Calibration of DEM Model for Root–Soil Breakage in Winter Wheat During the Regreening Stage
by Yalei Han, Lin Ling, Bingxin Yan, Rui Liu, Jianjun Dong, Xiaofei An, Yanxin Yin, Zhijun Meng, Liwei Li and Guangwei Wu
Agriculture 2025, 15(23), 2427; https://doi.org/10.3390/agriculture15232427 - 25 Nov 2025
Viewed by 119
Abstract
A critical challenge in the design optimization of subsoiling and deep-fertilization implements for root pruning during the regreening stage of winter wheat lies in the lack of a validated root–soil discrete element (DEM) model. This study analyzed and measured the geometric morphology of [...] Read more.
A critical challenge in the design optimization of subsoiling and deep-fertilization implements for root pruning during the regreening stage of winter wheat lies in the lack of a validated root–soil discrete element (DEM) model. This study analyzed and measured the geometric morphology of winter wheat root systems in soil during the regreening stage and constructed corresponding geometric models. Based on the DEM framework, a Hertz–Mindlin with bonding model (HMBM) for the wheat root system was developed. The parameters of this model were calibrated using Plackett–Burman (PB) and Box–Behnken design (BBD) methods. Soil particles were simplified to spherical shapes according to particle size distribution analysis, and a discrete element model of soil particles using the Johnson–Kendall–Roberts (JKR) contact model was established. Soil model parameters at three different moisture contents were calibrated with the angle of repose (AOR) as the target response. The accuracy of the root bonding model and parameters, as well as the root–soil contact model and parameters, was verified through pull-out tests and corresponding DEM simulations of single roots in soil. Comparison between experimental and simulated pull-out results confirmed the validity of the developed root–soil DEM model for winter wheat during the regreening stage. This study provides a solid theoretical and experimental basis for future research on root cutting and tillage operations in winter wheat. Full article
(This article belongs to the Section Agricultural Soils)
Show Figures

Figure 1

16 pages, 10522 KB  
Article
Particle Size-Dependent Mechanical Behaviors of Disordered Copper Nanoparticle Assemblies: A Molecular Dynamics Study
by Jianjun Bian and Liang Yang
Crystals 2025, 15(12), 1007; https://doi.org/10.3390/cryst15121007 - 23 Nov 2025
Viewed by 276
Abstract
The mechanical behavior of nanoparticle assemblies depends strongly on particle size, yet the underlying mechanisms remain insufficiently understood. In present study, we employ a scheme combining discrete element method (DEM) and molecular dynamics (MD) simulations to examine size-dependent strength and deformation in disordered [...] Read more.
The mechanical behavior of nanoparticle assemblies depends strongly on particle size, yet the underlying mechanisms remain insufficiently understood. In present study, we employ a scheme combining discrete element method (DEM) and molecular dynamics (MD) simulations to examine size-dependent strength and deformation in disordered copper nanoparticle assemblies. Granular packings generated by DEM were transformed into atomic models and subjected to uniaxial compression in MD simulations. Assemblies composed of nanoparticles with radius smaller than ~2.5 nm fully densify during relaxation, forming nanopolycrystalline solids, whereas larger particles preserve porous architectures. This structural divergence governs subsequent deformation. Small-particle assemblies deform through grain boundary migration and grain growth, exhibiting an inverse Hall–Petch-type strength dependence. In contrast, large-particle assemblies deform primarily via interparticle contact evolution and densification, with strength conforming to a Gibson–Ashby-type prediction. A scaling law captures the strength variation across size range in this regime. These results establish the competition between surface energy-driven densification and contact-dominated deformation as the controlling factor in the mechanical response of nanoparticle assemblies, providing guidance for designing nanoparticle-based materials with tailored mechanical performance. Full article
(This article belongs to the Section Inorganic Crystalline Materials)
Show Figures

Figure 1

21 pages, 6891 KB  
Article
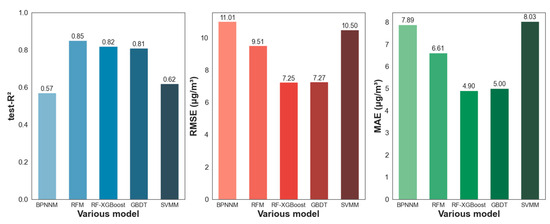
High-Resolution Spatial Prediction of Daily Average PM2.5 Concentrations in Jiangxi Province via a Hybrid Model Integrating Random Forest and XGBoost
by Yuming Tang, Jing Deng, Xinyi Cui, Zuhan Liu, Liu Yang, Shaoquan Zhang and Yeheng Liang
Atmosphere 2025, 16(12), 1317; https://doi.org/10.3390/atmos16121317 - 22 Nov 2025
Viewed by 228
Abstract
Numerous machine learning models have been widely used for the spatial prediction of PM2.5 mass concentrations in the field of remote sensing, but most studies rely on single models, limiting their ability to capture complex nonlinear relationships. Furthermore, traditional Aerosol Optical Depth [...] Read more.
Numerous machine learning models have been widely used for the spatial prediction of PM2.5 mass concentrations in the field of remote sensing, but most studies rely on single models, limiting their ability to capture complex nonlinear relationships. Furthermore, traditional Aerosol Optical Depth (AOD) methods suffer from extensive missing values due to algorithmic limitations, hindering daily PM2.5 mass concentration retrieval. This study first developed a hybrid random forest and extreme gradient boosting model (RF-XGBoost) to overcome single-model accuracy constraints. Subsequently, Top-of-Atmosphere (TOA) reflectance replaced conventional AOD as the hybrid model’s input. Finally, we integrated four-year (2020–2023) TOA reflectance, normalized difference vegetation index (NDVI) data, meteorological data, digital elevation model (DEM) data, and day-of-year data to develop a high-precision hybrid model specifically optimized for Jiangxi Province. The simulation results demonstrated that the hybrid RF-XGBoost model (test-R2 = 0.82, RMSE = 7.25 μg/m3, MAE = 4.90 μg/m3) outperformed the single Random Forest Model by 25% and 26% in terms of the root mean square error (RMSE) and mean absolute error (MAE), respectively. The high predictive accuracy of our method confirms its effectiveness in generating reliable PM2.5 estimates. The resulting four-year dataset also successfully delineated the characteristic seasonal PM2.5 pattern in the region, with the highest levels in winter and the lowest in summer, alongside a clear decreasing annual trend, signifying gradual atmospheric improvement. Full article
(This article belongs to the Section Air Quality)
Show Figures

Figure 1

16 pages, 3376 KB  
Article
Bayesian Optimization-Based Parameter Identification for Discrete Element Method Simulation of Consolidation and Its Application to Powder Spreading Analysis
by Jun Katagiri, Masahiro Kusano and Makoto Watanabe
J. Manuf. Mater. Process. 2025, 9(12), 383; https://doi.org/10.3390/jmmp9120383 - 21 Nov 2025
Viewed by 442
Abstract
This study develops a Bayesian optimization framework to calibrate two discrete element method (DEM) parameters—the cohesion-related surface energy coefficient (k) and the rolling resistance coefficient (μr)—based on experimental void ratio data obtained from powder consolidation tests. The optimized [...] Read more.
This study develops a Bayesian optimization framework to calibrate two discrete element method (DEM) parameters—the cohesion-related surface energy coefficient (k) and the rolling resistance coefficient (μr)—based on experimental void ratio data obtained from powder consolidation tests. The optimized parameter set reproduces the void ratio obtained from the consolidation experiment, demonstrating efficient and physically plausible calibration under confined loading. However, when these parameters are applied to powder spreading simulations, the resulting powder beds become excessively cohesive, leading to poor layer uniformity. This discrepancy is attributed to (i) the mismatch in mechanical scaling (σ/E) between the experimental and simulated conditions and (ii) the shift in dominant particle-scale mechanics from normal-force-controlled consolidation to shear-dominated spreading. The results indicate that DEM parameter calibration for powder bed-based additive manufacturing should incorporate shear-related experimental metrics and scaling considerations rather than rely solely on consolidation-based fitting. Full article
Show Figures

Figure 1

23 pages, 7435 KB  
Article
Composite Biomimetic Multi-Subsoiler for Drag Reduction and Wear Resistance Simulation and Experimental Validation
by Xiaoyang Wang, Jinguang Li, Junyan Liu, Le Yang, Fancheng Dai, Chanjuan Long and Lijun Zhao
Biomimetics 2025, 10(12), 793; https://doi.org/10.3390/biomimetics10120793 - 21 Nov 2025
Viewed by 391
Abstract
In the process of operating subsoiling implements on sloping red soil in Southwest China, the subsoiler tip faces significant challenges due to strong soil adhesion and severe compaction. By employing engineering bionics, integrating bionic geometric structures and surfaces, this study focuses on the [...] Read more.
In the process of operating subsoiling implements on sloping red soil in Southwest China, the subsoiler tip faces significant challenges due to strong soil adhesion and severe compaction. By employing engineering bionics, integrating bionic geometric structures and surfaces, this study focuses on the subsoiler tip and designs four types of bionic geometric surface structures: bionic convex hull, bionic micro-spike convex hull, bionic scales, and bionic micro-spike scales. Finite element force analysis and discrete element simulation experiments reveal that bionic surfaces and geometric structures exhibit significant advantages in terms of total deformation, equivalent elastic strain, and stress. These structures are less prone to deformation and fracture under loads, demonstrating a stronger bearing capacity. A discrete element simulation analysis indicates interference phenomena among the subsoilers during multi-subsoiler operations. Based on bionic multi-subsoiler implements, optimized designs were developed through discrete element simulations and soil bin tests. The optimized bionic multi-subsoiler implement features a micro-spike convex hull surface, with micro-spike scale surfaces arranged equidistantly along the edge corners of the shovel face: six on each side wing and three in the middle. The optimal operating parameters were a subsoiling speed of 1.25 m/s, an entry angle of 23.917°, and an entry depth of 280.167 mm. The relative errors between the simulated and experimental values for the soil looseness and soil disturbance coefficients were 19.7% and 18.1%, respectively. The soil bin test results showed soil looseness and soil disturbance coefficients of 19.5% and 17.6%, respectively. At this point, the resistance reduction and wear resistance performance were optimal. This study proposes a bionic design approach for reducing resistance and enhancing wear resistance during the subsoiling process in the viscous red soil of Southwest China, providing a reference for the design and development of new equipment for working in this soil environment. This study is the first to implement a composite biomimetic surface—combining crayfish-like micro-spike convex hulls and sandfish-like micro-scale scales—on multi-shank subsoiler tips, and to validate it using FEA, DEM, and soil tank testing. Under an optimized configuration and operating conditions, the mean particle disturbance velocity increased from 1.52 m/s to 2.399 m/s (+57.8%), and the simulation/experiment relative errors for the soil loosening and disturbance coefficients were approximately 1.03% and 2.84%, respectively. These results demonstrate an engineering-acceptable trade-off between disturbance efficiency and wear resistance and indicate a clear potential for industrial application. Full article
(This article belongs to the Section Biomimetic Design, Constructions and Devices)
Show Figures

Figure 1

21 pages, 13964 KB  
Article
Cutting-Load Characteristics of Excavation Machine Picks in Hydraulic-Precracked Coal–Rock
by Qingguo Dong, Hongmei Liu and Yi Xu
Appl. Sci. 2025, 15(22), 12339; https://doi.org/10.3390/app152212339 - 20 Nov 2025
Viewed by 185
Abstract
Hydraulic pre-fracturing is a rock-weakening technique applied in hard-rock excavation. To investigate the effects of hydraulic pre-fracturing on crack propagation in excavation roadwalls and on the cutting loads experienced by excavation machine picks when cutting precracked rock, a two-way fluid–solid couplinproach (CFD–DEM) was [...] Read more.
Hydraulic pre-fracturing is a rock-weakening technique applied in hard-rock excavation. To investigate the effects of hydraulic pre-fracturing on crack propagation in excavation roadwalls and on the cutting loads experienced by excavation machine picks when cutting precracked rock, a two-way fluid–solid couplinproach (CFD–DEM) was employed to simulate the three-dimensional crack propagation process of a rock face under hydraulic fracturing. The results indicate that crack propagation under hydraulic fracturing evolves through four stages: (1) initiation of the primary crack; (2) further development of the primary crack, accompanied by the emergence of fine subsidiary cracks; (3) retardation of the primary crack growth, concurrent with propagation of secondary cracks; and (4) further expansion of secondary cracks. The influences of borehole aperture and injection pressure on crack propagation were analyzed; within the investigated ranges, increasing either aperture or injection pressure produced a nonlinear increase in crack development. When the hydraulic-fracture borehole diameter increased from 85 mm to 100 mm, the number of broken bonds increased by 56.2%; when the injection pressure increased from 25 MPa to 40 MPa, the number of broken bonds increased by 153.9%. The cutting force experienced by picks when cutting precracked rock decreased by 9.05% compared with cutting intact (non-precracked) rock; after precracking, the mean forces in the Z and Y directions decreased by 11.46% and 7.20%, respectively, whereas the mean force in the X direction increased by 5.49%. The findings provide reference data for the practical implementation of hydraulic pre-fracturing in hard-rock excavation. Full article
Show Figures

Figure 1

Back to TopTop