Sign in to use this feature.

Years

Between: -

Subjects

remove_circle_outline
remove_circle_outline
remove_circle_outline
remove_circle_outline
remove_circle_outline
remove_circle_outline
remove_circle_outline

Journals

Article Types

Countries / Regions

Search Results (35)

Search Parameters:
Keywords = CUL4B

Order results
Result details
Results per page
Select all
Export citation of selected articles as:
25 pages, 4337 KB  
Article
Cullin-3 and Regulatory Biomolecules Profiling in Vitiligo: Integrated Docking, Clinical, and In Silico Insights
by Hidi A. A. Abdellatif, Mohamed Azab, Eman Hassan El-Sayed, Rwan M. M. M. Halim, Ahmad J. Milebary, Dhaifallah A. Alenizi, Manal S. Fawzy and Noha M. Abd El-Fadeal
Biomolecules 2025, 15(7), 1053; https://doi.org/10.3390/biom15071053 - 21 Jul 2025
Viewed by 856
Abstract
Background: Vitiligo, a chronic depigmentation disorder driven by oxidative stress and immune dysregulation, remains poorly understood mechanistically. The Keap1/NRF2/ARE pathway is critical for melanocyte protection against oxidative damage; however, the role of Cullin-3 (CUL3), a scaffold for E3 ubiquitin ligases that regulate NRF2 [...] Read more.
Background: Vitiligo, a chronic depigmentation disorder driven by oxidative stress and immune dysregulation, remains poorly understood mechanistically. The Keap1/NRF2/ARE pathway is critical for melanocyte protection against oxidative damage; however, the role of Cullin-3 (CUL3), a scaffold for E3 ubiquitin ligases that regulate NRF2 degradation, and its interplay with inflammatory mediators in vitiligo pathogenesis are underexplored. This study investigates CUL3, NRF2, and the associated regulatory networks in vitiligo, integrating clinical profiling and computational docking to identify therapeutic targets. Methods: A case-control study compared non-segmental vitiligo patients with age-/sex-matched controls. Lesional skin biopsies were analyzed by qRT-PCR for the expression of CUL3, NRF2, miRNA-146a, FOXP3, NF-κB, IL-6, TNF-α, and P53. Molecular docking was used to evaluate vitexin’s binding affinity to Keap1, validated by root mean square deviation (RMSD) calculations. Results: Patients with vitiligo exhibited significant downregulation of CUL3 (0.27 ± 0.03 vs. 1 ± 0.58; p = 0.013), NRF2 (0.37 ± 0.26 vs. 1 ± 0.8; p = 0.001), and FOXP3 (0.09 ± 0.2 vs. 1 ± 0.3; p = 0.001), alongside the upregulation of miRNA-146a (4.7 ± 1.9 vs. 1 ± 0.8; p = 0.001), NF-κB (4.7 ± 1.9 vs. 1 ± 0.5; p = 0.001), IL-6 (2.8 ± 1.5 vs. 1 ± 0.4; p = 0.001), and TNF-α (2.2 ± 1.1 vs. 1 ± 0.3; p = 0.001). P53 showed no differential expression (p > 0.05). Docking revealed a strong binding of vitexin to Keap1 (RMSD: 0.23 Å), mirroring the binding of the control ligand CDDO-Im. Conclusions: Dysregulation of the CUL3/Keap1/NRF2 axis and elevated miRNA-146a levels correlate with vitiligo progression, suggesting a role for oxidative stress and immune imbalance. Vitexin’s high-affinity docking to Keap1 positions it as a potential modulator of the NRF2 pathway, offering novel therapeutic avenues. This study highlights the translational potential of targeting the ubiquitin–proteasome and antioxidant pathways in the management of vitiligo. Full article
(This article belongs to the Special Issue Molecular and Cellular Mechanisms in Skin Disorders)
Show Figures

Figure 1

18 pages, 3452 KB  
Article
Proteomic Analysis Reveals That Dietary Supplementation with Fish Oil Enhances Lipid Metabolism and Improves Antioxidant Capacity in the Liver of Female Scatophagus argus
by Jingwei He, He Ma, Dongneng Jiang, Tuo Wang, Zhiyuan Li, Gang Shi, Yucong Hong, Chunhua Zhu and Guangli Li
Fishes 2025, 10(3), 128; https://doi.org/10.3390/fishes10030128 - 15 Mar 2025
Viewed by 1208
Abstract
The impact of dietary lipid sources on nutrient metabolism and reproductive development is a critical focus in aquaculture broodstock nutrition. Previous studies have demonstrated that fish oil supplementation modulates the expression of genes involved in steroid hormone synthesis, glucose, and lipid metabolism promoting [...] Read more.
The impact of dietary lipid sources on nutrient metabolism and reproductive development is a critical focus in aquaculture broodstock nutrition. Previous studies have demonstrated that fish oil supplementation modulates the expression of genes involved in steroid hormone synthesis, glucose, and lipid metabolism promoting ovarian development in female Scatophagus argus (spotted scat). However, the effects of fish oil on hepatic function at the protein level remain poorly characterized. In this study, female S. argus were fed diets containing 8% fish oil (FO, experimental group) or 8% soybean oil (SO, control group) for 60 days. Comparative proteomic analysis of liver tissue identified significant differential protein expression between groups. The FO group exhibited upregulation of lipid metabolism-related proteins, including COMM domain-containing protein 1 (Commd1), tetraspanin 8 (Tspan8), myoglobin (Mb), transmembrane protein 41B (Tmem41b), stromal cell-derived factor 2-like protein 1 (Sdf2l1), and peroxisomal biogenesis factor 5 (Pex5). Additionally, glucose metabolism-associated proteins, such as Sdf2l1 and non-POU domain-containing octamer-binding protein (Nono), were elevated in the FO group. Moreover, proteins linked to inflammation and antioxidant responses, including G protein-coupled receptor 108 (Gpr108), protein tyrosine phosphatase non-receptor type 2 (Ptpn2), Pex5, p120 catenin (Ctnnd1), tripartite motif-containing protein 16 (Trim16), and aquaporin 11 (Aqp11), were elevated in the FO group, while proteins involved in oxidative stress, such as reactive oxygen species modulator 1 (Romo1), cathepsin A (Ctsa), and Cullin 4A (Cul4a), were downregulated. These proteomic findings align with prior transcriptomic data, indicating that dietary fish oil enhances hepatic lipid metabolism, mitigates oxidative stress, and strengthens antioxidant capacity. Furthermore, these hepatic adaptations may synergistically support ovarian maturation in S. argus. This study provides novel proteomic-level evidence supporting the role of fish oil in modulating hepatic lipid and energy metabolism, thereby elucidating the role of fish oil in optimizing hepatic energy metabolism and redox homeostasis to influence reproductive processes, advancing our understanding of n-3 long-chain polyunsaturated fatty acids (n-3 LC-PUFA) in teleost liver physiology. Full article
(This article belongs to the Section Nutrition and Feeding)
Show Figures

Figure 1

14 pages, 2648 KB  
Review
CSN-CRL Complexes: New Regulators of Adipogenesis
by Dawadschargal Dubiel, Michael Naumann and Wolfgang Dubiel
Biomolecules 2025, 15(3), 372; https://doi.org/10.3390/biom15030372 - 5 Mar 2025
Cited by 2 | Viewed by 1355
Abstract
Recent discoveries revealed mechanistic insights into the control of adipogenesis by the Constitutive Photomorphogenesis 9 Signalosome (CSN) and its variants, CSNCSN7A and CSNCSN7B, which differ in the paralog subunits, CSN7A and CSN7B. CSNCSN7A and CSNCSN7B variants form permanent [...] Read more.
Recent discoveries revealed mechanistic insights into the control of adipogenesis by the Constitutive Photomorphogenesis 9 Signalosome (CSN) and its variants, CSNCSN7A and CSNCSN7B, which differ in the paralog subunits, CSN7A and CSN7B. CSNCSN7A and CSNCSN7B variants form permanent complexes with cullin-RING-ubiquitin ligases 3 and 4A (CRL3 and CRL4A), respectively. These complexes can be found in most eukaryotic cells and represent a critical reservoir for cellular functions. In an early stage of adipogenesis, mitotic clonal expansion (MCE), CSN-CRL1, and CSNCSN7B-CRL4A are blocked to ubiquitinate the cell cycle inhibitor p27KIP, leading to cell cycle arrest. In addition, in MCE CSN-CRL complexes rearrange the cytoskeleton for adipogenic differentiation and CRL3KEAP1 ubiquitylates the inhibitor of adipogenesis C/EBP homologous protein (CHOP) for degradation by the 26S proteasome, an adipogenesis-specific proteolysis. During terminal adipocyte differentiation, the CSNCSN7A-CRL3 complex is recruited to a lipid droplet (LD) membrane by RAB18. Currently, the configuration of the substrate receptors of CSNCSN7A-CRL3 on LDs is unclear. CSNCSN7A-CRL3 is activated by neddylation on the LD membrane, an essential adipogenic step. Damage to CSN/CUL3/CUL4A genes is associated with diverse diseases, including obesity. Due to the tremendous impact of CSN-CRLs on adipogenesis, we need strategies for adequate treatment in the event of malfunctions. Full article
(This article belongs to the Section Molecular Biology)
Show Figures

Figure 1

12 pages, 3223 KB  
Article
Water-Soluble Cu(II) Complexes with Polypyridyl Ligands: Anticancer Activity and DNA Interaction
by Herisson F. dos Santos, Nádija N. P. da Silva, George B. S. Pereira, Mauro A. Lima, Nailton M. Nascimento-Júnior, Renan L. de Farias, Amos O. Akinyemi and Fillipe V. Rocha
Future Pharmacol. 2025, 5(1), 10; https://doi.org/10.3390/futurepharmacol5010010 - 19 Feb 2025
Cited by 1 | Viewed by 1305
Abstract
Background/Objectives: Cu(II) complexes with polypyridine ligands have shown carcinogenic activity already described in the literature and appear as a possible alternative to cisplatin, which has several side effects. In view of this, four Cu(II) complexes with the formulas [Cu(L1)(H2O)2](PF [...] Read more.
Background/Objectives: Cu(II) complexes with polypyridine ligands have shown carcinogenic activity already described in the literature and appear as a possible alternative to cisplatin, which has several side effects. In view of this, four Cu(II) complexes with the formulas [Cu(L1)(H2O)2](PF6)2 (A1) and [Cu(L2)(H2O)2](PF6)2 (A2), [Cu(L1)(bipy)](PF6)2 (B1) and [Cu(L2)(bipy)](PF6)2 (B2) were synthesized, where L1 = dipyrido[1,2,5]oxadiazolo[3,4-b]quinoxaline, L2 = 6,7-dicyanodipyrido[2,2-d:2,3-f]quinoxaline, and bipy = 2,2′-bipyridine. Methods: The proposed structures supported characterization techniques (molar conductivity, elemental analyses, absorption spectroscopy in the infrared region, and UV–vis). The interaction of the complexes with DNA was evaluated through an ethidium bromide displacement assay, complemented by theoretical studies using molecular docking. Additionally, the cytotoxic activity of the complexes was tested against DU 145 (prostate tumor), MCF-7 (breast tumor), and PNT-2 (non-tumor prostate) cell lines, with all complexes showing promising results. Results: Among them, complex B1 exhibited the highest number of DNA contacts in molecular docking studies, a binding constant of 3.7 × 106 in the ethidium bromide displacement assay. It was the most selective complex (IS = 5.43) for the DU 145 (prostate tumor) cell line, demonstrating greater selectivity than cisplatin. Conclusions: This study has demonstrated the potential of the Cu(II) complexes obtained, which could be an alternative to platinum complexes in the future Full article
(This article belongs to the Special Issue Feature Papers in Future Pharmacology 2024)
Show Figures

Graphical abstract

15 pages, 2756 KB  
Article
An Insight into Differentially Expressed Genes and MicroRNAs in the Pituitary Glands of the Two Estrous Phases of Sheep with Different FecB Genotypes
by Yue Zhang, Xiaoyun He, Ran Di, Xiangyu Wang and Mingxing Chu
Animals 2025, 15(3), 392; https://doi.org/10.3390/ani15030392 - 30 Jan 2025
Viewed by 1075
Abstract
As an important class of non-coding RNAs, miRNAs participate in a variety of biological processes, including cell proliferation, differentiation, apoptosis, and hormone secretion. However, little is known about the role of pituitary miRNAs in follicular development in FecB mutant (Fecundity Booroola) sheep. Given [...] Read more.
As an important class of non-coding RNAs, miRNAs participate in a variety of biological processes, including cell proliferation, differentiation, apoptosis, and hormone secretion. However, little is known about the role of pituitary miRNAs in follicular development in FecB mutant (Fecundity Booroola) sheep. Given the critical role of the pituitary gland in follicular development, this study employed miRNA-seq technology to analyze pituitary transcriptome expression patterns during the follicular phase (F) and the luteal phase (L) of FecB mutant homozygous (BB) and wild-type (WW) of Small Tail Han sheep. This study identified differentially expressed miRNAs (DEMs) related to re-production. Of these, 10, 4, 10, and 4 were differentially expressed (DE) between BB_F and BB_L, WW_F and WW_L, BB_F and WW_F, and BB_L and WW_L, respectively. Bioinformatics analysis revealed the enrichment of the target genes of these DEMs in multiple GO terms linked to animal re-productive processes and KEGG signaling pathways. The follicular phase and luteal phase show significant enrichment in multiple pathways closely related to cell communication and signal transduction, including the MAPK signaling pathway, neuroactive ligand–receptor interaction, and the cAMP signaling pathway. In comparisons of genotypes, the calcium signaling pathway, the cAMP signaling pathway, and the MAPK signaling pathway are enriched. The miRNA-mRNA co-expression network indicates that novel121 and oar-miR-10b may regulate CUL4B and ZFAND5, respectively, playing crucial roles in sheep reproduction. Dual luciferase reporter gene assays hinted at a potential targeting relationship between novel-121 and DNMT3A. These findings elucidate the impact of pituitary miRNAs on follicular development influenced by FecB gene mutation, providing valuable insights into sheep breeding. Full article
(This article belongs to the Section Animal Genetics and Genomics)
Show Figures

Figure 1

13 pages, 3428 KB  
Article
Transcriptomics and Proteomics Analysis of the Liver of RAD52 Knockout Mice
by Yingjie Song, Lan Yang, Yao Han, Wenjun Li, Tong Wei, Yamin Gao, Qiang Hu, Hao Li and Yansong Sun
Int. J. Mol. Sci. 2025, 26(1), 339; https://doi.org/10.3390/ijms26010339 - 2 Jan 2025
Cited by 1 | Viewed by 1731
Abstract
RAD52 plays crucial roles in several aspects of mammalian cells, including DNA double-strand breaks repair, viral infection, cancer development, and antibody class switching. To comprehensively elucidate the role of RAD52 in maintaining genome stability and uncover additional functions of RAD52 in mammals, we [...] Read more.
RAD52 plays crucial roles in several aspects of mammalian cells, including DNA double-strand breaks repair, viral infection, cancer development, and antibody class switching. To comprehensively elucidate the role of RAD52 in maintaining genome stability and uncover additional functions of RAD52 in mammals, we performed the transcriptomics and proteomics analysis of the liver of RAD52 knockout mice. Transcriptomics analysis reveals overexpression of mitochondrial genes in the liver of RAD52 knockout (RAD52KO) mice. Proteomics analysis of RAD52KO mice shows that damage recognition proteins Cul4b and Rad23a in the process of nucleotide excision repair pathway are overexpressed. Furthermore, gene ontology and KEGG enrichment analysis (accessed on 20 November 2024) from integrated omics shows that differentially expressed genes are significantly enriched in pathways related to mitochondrial oxidative phosphorylation and nucleotide metabolism in the liver of RAD52KO mice. In addition, mRNA and protein levels of Bhmt1b are elevated in the liver of RAD52KO mice. Taken together, this study provides valuable insights into the function and mechanism of RAD52. Full article
(This article belongs to the Section Molecular Biology)
Show Figures

Figure 1

18 pages, 1994 KB  
Article
Cannabinerol Prevents Endoplasmic Reticulum and Mitochondria Dysfunctions in an In Vitro Model of Alzheimer’s Disease: A Network-Based Transcriptomic Analysis
by Luigi Chiricosta, Aurelio Minuti, Agnese Gugliandolo, Stefano Salamone, Federica Pollastro, Emanuela Mazzon and Osvaldo Artimagnella
Cells 2024, 13(12), 1012; https://doi.org/10.3390/cells13121012 - 10 Jun 2024
Cited by 2 | Viewed by 2166
Abstract
Neurodegenerative disorders are affecting millions of people worldwide, impacting the healthcare system of our society. Among them, Alzheimer’s disease (AD) is the most common form of dementia, characterized by severe cognitive impairments. Neuropathological hallmarks of AD are β-amyloid (Aβ) plaques and neurofibrillary tangles, [...] Read more.
Neurodegenerative disorders are affecting millions of people worldwide, impacting the healthcare system of our society. Among them, Alzheimer’s disease (AD) is the most common form of dementia, characterized by severe cognitive impairments. Neuropathological hallmarks of AD are β-amyloid (Aβ) plaques and neurofibrillary tangles, as well as endoplasmic reticulum and mitochondria dysfunctions, which finally lead to apoptosis and neuronal loss. Since, to date, there is no definitive cure, new therapeutic and prevention strategies are of crucial importance. In this scenario, cannabinoids are deeply investigated as promising neuroprotective compounds for AD. In this study, we evaluated the potential neuroprotective role of cannabinerol (CBNR) in an in vitro cellular model of AD via next-generation sequencing. We observed that CBNR pretreatment counteracts the Aβ-induced loss of cell viability of differentiated SH-SY5Y cells. Moreover, a network-based transcriptomic analysis revealed that CBNR restores normal mitochondrial and endoplasmic reticulum functions in the AD model. Specifically, the most important genes regulated by CBNR are related mainly to oxidative phosphorylation (COX6B1, OXA1L, MT-CO2, MT-CO3), protein folding (HSPA5) and degradation (CUL3, FBXW7, UBE2D1), and glucose (G6PC3) and lipid (HSD17B7, ERG28, SCD) metabolism. Therefore, these results suggest that CBNR could be a new neuroprotective agent helpful in the prevention of AD dysfunctions. Full article
Show Figures

Figure 1

17 pages, 6748 KB  
Article
Genome-Wide Mining of CULLIN E3 Ubiquitin Ligase Genes from Uncaria rhynchophylla
by Yingying Shao, Detian Mu, Yu Zhou, Xinghui Liu, Xueshuang Huang, Iain W. Wilson, Yuxin Qi, Ying Lu, Lina Zhu, Yao Zhang, Deyou Qiu and Qi Tang
Plants 2024, 13(4), 532; https://doi.org/10.3390/plants13040532 - 15 Feb 2024
Cited by 4 | Viewed by 2109
Abstract
CULLIN (CUL) protein is a subtype of E3 ubiquitin ligase that is involved in a variety of biological processes and responses to stress in plants. In Uncaria rhynchophylla, the CUL gene family has not been identified and its role in plant development, [...] Read more.
CULLIN (CUL) protein is a subtype of E3 ubiquitin ligase that is involved in a variety of biological processes and responses to stress in plants. In Uncaria rhynchophylla, the CUL gene family has not been identified and its role in plant development, stress response and secondary metabolite synthesis has not been studied. In this study, 12 UrCUL gene members all contained the typical N-terminal domain and C-terminal domain identified from the U. rhynchophylla genome and were classified into four subfamilies based on the phylogenetic relationship with CULs in Arabidopsis thaliana. They were unevenly distributed on eight chromosomes but had a similar structural composition in the same subfamily, indicating that they were relatively conserved and potentially had similar gene functions. An interspecific and intraspecific collinearity analysis showed that fragment duplication played an important role in the evolution of the CUL gene family. The analysis of the cis-acting elements suggests that the UrCULs may play an important role in various biological processes, including the abscisic acid (ABA) response. To investigate this hypothesis, we treated the roots of U. rhynchophylla tissue-cultured seedlings with ABA. The expression pattern analysis showed that all the UrCUL genes were widely expressed in roots with various expression patterns. The co-expression association analysis of the UrCULs and key enzyme genes in the terpenoid indole alkaloid (TIA) synthesis pathway revealed the complex expression patterns of 12 UrCUL genes and some key TIA enzyme genes, especially UrCUL1, UrCUL1-likeA, UrCUL2-likeA and UrCUL2-likeB, which might be involved in the biosynthesis of TIAs. The results showed that the UrCULs were involved in the response to ABA hormones, providing important information for elucidating the function of UrCULs in U. rhynchophylla. The mining of UrCULs in the whole genome of U. rhynchophylla provided new information for understanding the CUL gene and its function in plant secondary metabolites, growth and development. Full article
Show Figures

Figure 1

17 pages, 16661 KB  
Article
Association of a Specific OsCULLIN3c Haplotype with Salt Stress Responses in Local Thai Rice
by Bagus Herwibawa, Chakkree Lekklar, Supachitra Chadchawan and Teerapong Buaboocha
Int. J. Mol. Sci. 2024, 25(2), 1040; https://doi.org/10.3390/ijms25021040 - 15 Jan 2024
Cited by 4 | Viewed by 2543
Abstract
We previously found that OsCUL3c is involved in the salt stress response. However, there are no definitive reports on the diversity of OsCUL3c in local Thai rice. In this study, we showed that the CUL3 group was clearly separated from the other CUL [...] Read more.
We previously found that OsCUL3c is involved in the salt stress response. However, there are no definitive reports on the diversity of OsCUL3c in local Thai rice. In this study, we showed that the CUL3 group was clearly separated from the other CUL groups; next, we focused on OsCUL3c, the third CUL3 of the CUL3 family in rice, which is absent in Arabidopsis. A total of 111 SNPs and 28 indels over the OsCUL3c region, representing 79 haplotypes (haps), were found. Haplotyping revealed that group I (hap A and hap C) and group II (hap B1 and hap D) were different mutated variants, which showed their association with phenotypes under salt stress. These results were supported by cis-regulatory elements (CREs) and transcription factor binding sites (TFBSs) analyses. We found that LTR, MYC, [AP2; ERF], and NF-YB, which are related to salt stress, drought stress, and the response to abscisic acid (ABA), have distinct positions and numbers in the haplotypes of group I and group II. An RNA Seq analysis of the two predominant haplotypes from each group showed that the OsCUL3c expression of the group I representative was upregulated and that of group II was downregulated, which was confirmed by RT-qPCR. Promoter changes might affect the transcriptional responses to salt stress, leading to different regulatory mechanisms for the expression of different haplotypes. We speculate that OsCUL3c influences the regulation of salt-related responses, and haplotype variations play a role in this regulation. Full article
(This article belongs to the Special Issue Advances in Plant Genomics and Genetics)
Show Figures

Figure 1

20 pages, 10879 KB  
Article
Identifying Critical Regulators in the Viral Stress Response of Wheat (Triticum aestivum L.) Using Large-Scale Transcriptomics Data
by Amir Ghaffar Shahriari, Imre Majláth, Massume Aliakbari, Mohamad Hamed Ghodoum Parizipour, Aminallah Tahmasebi, Fatemeh Nami, Ahmad Tahmasebi and Mohsen Taherishirazi
Agronomy 2023, 13(10), 2610; https://doi.org/10.3390/agronomy13102610 - 13 Oct 2023
Viewed by 1840
Abstract
Wheat (Triticum aestivum L.) cultivation has been globally restricted by many plant viruses such as the Wheat streak mosaic virus (WSMV), Barley stripe mosaic virus (BSMV), and Brome mosaic virus (BMV). Herein, the transcriptome of wheat was in silico analyzed under mono- [...] Read more.
Wheat (Triticum aestivum L.) cultivation has been globally restricted by many plant viruses such as the Wheat streak mosaic virus (WSMV), Barley stripe mosaic virus (BSMV), and Brome mosaic virus (BMV). Herein, the transcriptome of wheat was in silico analyzed under mono- (WSMV, BSMV, or BMV), bi- (BMV&BSMV, BMV&WSMV, and BSMV&WSMV), and tripartite (WSMV, BSMV, and BMV) infections using the RNA-seq technique. Total numbers of 1616/270, 5243/690 and 5589/2183 differentially expressed genes (DEGs) were up/down-regulated during the bipartite infection of BMV&BSMV, BMV&WSMV and BSMV&WSMV, respectively, while the tripartite infection resulted in the up/down-regulation of 6110/2424 DEGs. The NAC and bHLH were the most commonly presented transcription factor (TF) families in WSMV, BMV, and BSMV infection, while C2H2, bHLH, and NAC were the TF families involved in BMV&WSMV, BMV&BSMV, and BSMV&WSMV infections, respectively. The RLK-Pelle_DLSV was the most commonly expressed protein kinase (PK) family in all infection patterns. Promoter analysis showed that the motifs involved in gene expression, CUL4 RING ubiquitin ligase complex, stress response, brassinosteroid response, and energy-related pathways were significantly induced in wheat plants under bipartite infections. The gene expression network analysis showed that a defense-related gene, i.e., allene oxide synthase (AOS) gene, serves as a crucial hub in tripartite infections. Full article
(This article belongs to the Section Crop Breeding and Genetics)
Show Figures

Figure 1

15 pages, 11768 KB  
Article
Cullin 4B Ubiquitin Ligase Is Important for Cell Survival and Regulates TGF-β1 Expression in Pleural Mesothelioma
by Jessica Kreienbühl, Sakunthip Changkhong, Vanessa Orlowski, Michaela B. Kirschner, Isabelle Opitz and Mayura Meerang
Int. J. Mol. Sci. 2023, 24(17), 13410; https://doi.org/10.3390/ijms241713410 - 29 Aug 2023
Cited by 3 | Viewed by 2197
Abstract
We previously demonstrated that cullin 4B (CUL4B) upregulation was associated with worse outcomes of pleural mesothelioma (PM) patients, while the overexpression of its paralog CUL4A was not associated with clinical outcomes. Here, we aimed to identify the distinct roles of CUL4B and CUL4A [...] Read more.
We previously demonstrated that cullin 4B (CUL4B) upregulation was associated with worse outcomes of pleural mesothelioma (PM) patients, while the overexpression of its paralog CUL4A was not associated with clinical outcomes. Here, we aimed to identify the distinct roles of CUL4B and CUL4A in PM using an siRNA approach in PM cell lines (ACC Meso-1 and Mero82) and primary culture. The knockdown of CUL4B and CUL4A resulted in significantly reduced colony formation, increased cell death, and delayed cell proliferation. Furthermore, similar to the effect of CUL4A knockdown, downregulation of CUL4B led to reduced expression of Hippo pathway genes including YAP1, CTGF, and survivin. Interestingly, CUL4B and not CUL4A knockdown reduced TGF-β1 and MMP2 expression, suggesting a unique association of CUL4B with this pathway. However, the treatment of PM cells with exogenous TGF-β1 following CUL4B knockdown did not rescue PM cell growth. We further analyzed ACC Meso-1 xenograft tumor tissues treated with the cullin inhibitor, pevonedistat, which targets protein neddylation, and observed the downregulation of human TGF-β1 and MMP2. In summary, our data suggest that CUL4B overexpression is important for tumor cell growth and survival and may drive PM aggressiveness via the regulation of TGF-β1 expression and, furthermore, reveal a new mechanism of action of pevonedistat. Full article
(This article belongs to the Special Issue Novel Therapeutic Targets of Solid Cancer)
Show Figures

Figure 1

16 pages, 1188 KB  
Article
Potential Role of Phytochromes A and B and Cryptochrome 1 in the Adaptation of Solanum lycopersicum to UV-B Radiation
by Anna Abramova, Mikhail Vereshchagin, Leonid Kulkov, Vladimir D. Kreslavski, Vladimir V. Kuznetsov and Pavel Pashkovskiy
Int. J. Mol. Sci. 2023, 24(17), 13142; https://doi.org/10.3390/ijms241713142 - 24 Aug 2023
Cited by 9 | Viewed by 2398
Abstract
UV-B causes both damage to the photosynthetic apparatus (PA) and the activation of specific mechanisms that protect the PA from excess energy and trigger a cascade of regulatory interactions with different photoreceptors, including phytochromes (PHYs) and cryptochromes (CRYs). However, the role of photoreceptors [...] Read more.
UV-B causes both damage to the photosynthetic apparatus (PA) and the activation of specific mechanisms that protect the PA from excess energy and trigger a cascade of regulatory interactions with different photoreceptors, including phytochromes (PHYs) and cryptochromes (CRYs). However, the role of photoreceptors in plants’ responses to UV-B radiation remains undiscovered. This study explores some of these responses using tomato photoreceptor mutants (phya, phyb1, phyab2, cry1). The effects of UV-B exposure (12.3 µmol (photons) m−2 s−1) on photosynthetic rates and PSII photochemical activity, the contents of photosynthetic and UV-absorbing pigments and anthocyanins, and the nonenzymatic antioxidant capacity (TEAC) were studied. The expression of key light-signaling genes, including UV-B signaling and genes associated with the biosynthesis of chlorophylls, carotenoids, anthocyanins, and flavonoids, was also determined. Under UV-B, phyab2 and cry1 mutants demonstrated a reduction in the PSII effective quantum yield and photosynthetic rate, as well as a reduced value of TEAC. At the same time, UV-B irradiation led to a noticeable decrease in the expression of the ultraviolet-B receptor (UVR8), repressor of UV-B photomorphogenesis 2 (RUP2), cullin 4 (CUL4), anthocyanidin synthase (ANT), phenylalanine ammonia-lease (PAL), and phytochrome B2 (PHYB2) genes in phyab2 and RUP2, CUL4, ANT, PAL, and elongated hypocotyl 5 (HY5) genes in the cry1 mutant. The results indicate the mutual regulation of UVR8, PHYB2, and CRY1 photoreceptors, but not PHYB1 and PHYA, in the process of forming a response to UV-B irradiation in tomato. Full article
(This article belongs to the Special Issue Molecular Mechanisms of Natural and Artificial Photosynthesis 2.0)
Show Figures

Figure 1

19 pages, 7588 KB  
Article
Synthesis, Structure, and Magnetic and Biological Properties of Copper(II) Complexes with 1,3,4-Thiadiazole Derivatives
by Lyudmila G. Lavrenova, Taisiya S. Sukhikh, Lyudmila A. Glinskaya, Svetlana V. Trubina, Valentina V. Zvereva, Alexander N. Lavrov, Lyubov S. Klyushova and Alexander V. Artem’ev
Int. J. Mol. Sci. 2023, 24(16), 13024; https://doi.org/10.3390/ijms241613024 - 21 Aug 2023
Cited by 7 | Viewed by 3003
Abstract
New coordination compounds of copper(II) with 2,5-bis(ethylthio)-1,3,4-thiadiazole (L1) and 2,5-bis(pyridylmethylthio)-1,3,4-thiadiazole (L2) with compositions Cu(L1)2Br2, Cu(L1)(C2N3)2, Cu(L2)Cl2, and Cu(L2)Br2 [...] Read more.
New coordination compounds of copper(II) with 2,5-bis(ethylthio)-1,3,4-thiadiazole (L1) and 2,5-bis(pyridylmethylthio)-1,3,4-thiadiazole (L2) with compositions Cu(L1)2Br2, Cu(L1)(C2N3)2, Cu(L2)Cl2, and Cu(L2)Br2 were prepared. The complexes were identified and studied by CHN analysis, infrared (IR) spectroscopy, powder X-Ray diffraction (XRD), and static magnetic susceptibility. The crystal structures of Cu(II) complexes with L1 were determined. The structures of the coordination core of complexes Cu(L2)Cl2 and Cu(L2)Br2 were determined by Extended X-ray absorption fine structure (EXAFS) spectroscopy. Magnetization measurements have revealed various magnetic states in the studied complexes, ranging from an almost ideal paramagnet in Cu(L1)2Br2 to alternating-exchange antiferromagnetic chains in Cu(L1)(C2N3)2, where double dicyanamide bridges provide an unusually strong exchange interaction (J1/kB ≈ −23.5 K; J2/kB ≈ −20.2 K) between Cu(II) ions. The cytotoxic activity of copper(II) complexes with L2 was estimated on the human cell lines of breast adenocarcinoma (MCF-7) and hepatocellular carcinoma (HepG2). Full article
(This article belongs to the Special Issue The Design, Synthesis and Study of Metal Complexes)
Show Figures

Figure 1

22 pages, 3243 KB  
Article
DCUN1D1 Is an Essential Regulator of Prostate Cancer Proliferation and Tumour Growth That Acts through Neddylation of Cullin 1, 3, 4A and 5 and Deregulation of Wnt/Catenin Pathway
by Akhona Vava, Juliano D. Paccez, Yihong Wang, Xuesong Gu, Manoj K. Bhasin, Michael Myers, Nelson C. Soares, Towia A. Libermann and Luiz F. Zerbini
Cells 2023, 12(15), 1973; https://doi.org/10.3390/cells12151973 - 31 Jul 2023
Cited by 7 | Viewed by 3480
Abstract
Defective in cullin neddylation 1 domain containing 1 (DCUN1D1) is an E3 ligase for the neddylation, a post-translational process similar to and occurring in parallel to ubiquitin proteasome pathway. Although established as an oncogene in a variety of squamous cell carcinomas, the precise [...] Read more.
Defective in cullin neddylation 1 domain containing 1 (DCUN1D1) is an E3 ligase for the neddylation, a post-translational process similar to and occurring in parallel to ubiquitin proteasome pathway. Although established as an oncogene in a variety of squamous cell carcinomas, the precise role of DCUN1D1 in prostate cancer (PCa) has not been previously explored thoroughly. Here, we investigated the role of DCUN1D1 in PCa and demonstrated that DCUN1D1 is upregulated in cell lines as well as human tissue samples. Inhibition of DCUN1D1 significantly reduced PCa cell proliferation and migration and remarkably inhibited xenograft formation in mice. Applying both genomics and proteomics approaches, we provide novel information about the DCUN1D1 mechanism of action. We identified CUL3, CUL4B, RBX1, CAND1 and RPS19 proteins as DCUN1D1 binding partners. Our analysis also revealed the dysregulation of genes associated with cellular growth and proliferation, developmental, cell death and cancer pathways and the WNT/β-catenin pathway as potential mechanisms. Inhibition of DCUN1D1 leads to the inactivation of β-catenin through its phosphorylation and degradation which inhibits the downstream action of β-catenin, reducing its interaction with Lef1 in the Lef1/TCF complex that regulates Wnt target gene expression. Together our data point to an essential role of the DCUN1D1 protein in PCa which can be explored for potential targeted therapy. Full article
(This article belongs to the Special Issue Signaling Pathways/Metabolic Reprogramming Crosstalk in Cancer Cells)
Show Figures

Figure 1

20 pages, 1868 KB  
Article
Probing the Influence of Novel Organometallic Copper(II) Complexes on Spinach PSII Photochemistry Using OJIP Fluorescence Transient Measurements
by Sergei K. Zharmukhamedov, Mehriban S. Shabanova, Irada M. Huseynova, Mehmet Sayım Karacan, Nurcan Karacan, Hande Akar, Vladimir D. Kreslavski, Hesham F. Alharby, Barry D. Bruce and Suleyman I. Allakhverdiev
Biomolecules 2023, 13(7), 1058; https://doi.org/10.3390/biom13071058 - 29 Jun 2023
Cited by 3 | Viewed by 2189
Abstract
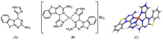
Modern agricultural cultivation relies heavily on genetically modified plants that survive after exposure to herbicides that kill weeds. Despite this biotechnology, there is a growing need for new sustainable, environmentally friendly, and biodegradable herbicides. We developed a novel [CuL2]Br2 complex [...] Read more.
Modern agricultural cultivation relies heavily on genetically modified plants that survive after exposure to herbicides that kill weeds. Despite this biotechnology, there is a growing need for new sustainable, environmentally friendly, and biodegradable herbicides. We developed a novel [CuL2]Br2 complex (L = bis{4H-1,3,5-triazino[2,1-b]benzothiazole-2-amine,4-(2-imidazole) that is active on PSII by inhibiting photosynthetic oxygen evolution on the micromolar level. [CuL2]Br2 reduces the FV of PSII fluorescence. Artificial electron donors do not rescind the effect of [CuL2]Br2. The inhibitory mechanism of [CuL2]Br2 remains unclear. To explore this mechanism, we investigated the effect of [CuL2]Br2 in the presence/absence of the well-studied inhibitor DCMU on PSII-containing membranes by OJIP Chl fluorescence transient measurements. [CuL2]Br2 has two effects on Chl fluorescence transients: (1) a substantial decrease of the Chl fluorescence intensity throughout the entire kinetics, and (2) an auxiliary “diuron-like” effect. The initial decrease dominates and is observed both with and without DCMU. In contrast, the “diuron-like” effect is small and is observed only without DCMU. We propose that [CuL2]Br2 has two binding sites for PSII with different affinities. At the high-affinity site, [CuL2]Br2 produces effects similar to PSII reaction center inhibition, while at the low-affinity site, [CuL2]Br2 produces effects identical to those of DCMU. These results are compared with other PSII-specific classes of herbicides. Full article
Show Figures

Graphical abstract

Back to TopTop