Sign in to use this feature.

Years

Between: -

Subjects

remove_circle_outline
remove_circle_outline
remove_circle_outline
remove_circle_outline
remove_circle_outline
remove_circle_outline

Journals

Article Types

Countries / Regions

Search Results (25)

Search Parameters:
Keywords = CO2 laser polishing

Order results
Result details
Results per page
Select all
Export citation of selected articles as:
12 pages, 4164 KB  
Article
The Influence of Y2O3 Dosage on the Performance of Fe60/WC Laser Cladding Coating
by Haiyan Jiang, Dazhi Jiang, Chenguang Guo and Xiaodong Hong
Molecules 2025, 30(23), 4598; https://doi.org/10.3390/molecules30234598 (registering DOI) - 29 Nov 2025
Viewed by 54
Abstract
To prepare a high-performance Fe-based laser cladding coating, herein, various Fe60/WC/Y2O3 coatings are deposited on the surface of 42CrMo steel plate via a laser cladding technique. The WC dosage is fixed as 10 wt%, while the dosage of Y2 [...] Read more.
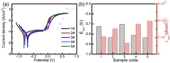
To prepare a high-performance Fe-based laser cladding coating, herein, various Fe60/WC/Y2O3 coatings are deposited on the surface of 42CrMo steel plate via a laser cladding technique. The WC dosage is fixed as 10 wt%, while the dosage of Y2O3 ranges from 0 to 7.5 wt%. The influences of Y2O3 dosage on the coating hardness, wear resistance, and corrosion resistance are investigated. With the addition of Y2O3, the feature peak of WC disappears, and the peaks of M23C6 gradually weaken, indicating that Y2O3 promotes the decomposition of WC and suppresses the formation of new metal carbides. When the dosage of Y2O3 is 2.5 wt%, a grid-like structure is formed on the coating surface, suggesting uniform distribution of decomposed W within the Fe matrix. When the Y2O3 dosage exceeds 5 wt%, a large amount of CO2 gas is released, leading to an increase in surface pores. Through a comparison, the optimal dosage of Y2O3 is 2.5 wt%, and the resulting 3# coating has the highest hardness of 861.97 HV. Moreover, the 3# coating also shows the minimum friction coefficient and the minimum wear volume, reflecting its superior wear resistance. The polished coating serves as a working electrode, and the corrosion resistance is tested in 3.5% NaCl solution. The sample containing 2.5 wt% Y2O3 has the highest corrosion potential and the lowest corrosion current density, indicating excellent corrosion resistance. The enhanced performance is ascribed to the improved surface quality and the formation of a W-reinforced grid structure. The high-performance coating has promising application potential in material and component repair. Full article
(This article belongs to the Special Issue Electroanalysis of Biochemistry and Material Chemistry—2nd Edition)
Show Figures

Figure 1

12 pages, 3155 KB  
Article
The Formation Law of Surface Profile in Fused Silica During Continuous-Wave CO2 Laser Processing
by Jin Zhuo, Shengfei Wang, Ting Tan, Huiliang Jin, Feng Geng, Xiangfeng Wang, Fei Fan, Qinghua Zhang and Qiao Xu
Micromachines 2025, 16(12), 1328; https://doi.org/10.3390/mi16121328 - 26 Nov 2025
Viewed by 133
Abstract
Although CO2 laser polishing of fused silica surfaces is considered a promising advanced processing technology, its application remains fundamentally limited by low- to mid-frequency waviness and surface figure errors. To address the critical need for enhanced performance of laser-processed fused silica components, [...] Read more.
Although CO2 laser polishing of fused silica surfaces is considered a promising advanced processing technology, its application remains fundamentally limited by low- to mid-frequency waviness and surface figure errors. To address the critical need for enhanced performance of laser-processed fused silica components, this study investigated the formation law of the surface profile during CO2 laser processing. Experimental results revealed the formation law governing the influence of processing parameters on surface morphology. A multivariate regression model was established to quantitatively correlate processing parameters with surface profile evolution, enabling prediction of profile errors with less than 5% deviation. Furthermore, an optimization strategy was proposed by introducing an annealing process, which reduced the surface profile error by more than 50% (from 56.94 μm to 23.18 μm). These findings provide both a theoretical basis and process guidance for the low-defect fabrication of fused silica components in high-power laser applications. Full article
(This article belongs to the Special Issue Advances in Digital Manufacturing and Nano Fabrication)
Show Figures

Figure 1

20 pages, 5098 KB  
Article
Laser Polishing of Vertically Oriented FDM-PLA Components: Influence of Laser Power and Polishing Speed on Surface Topography and Mechanical Response
by Gabriel Stolárik, Radoslav Vandžura, Róbert Ropovík, Damián Peti and Matúš Geľatko
Polymers 2025, 17(23), 3096; https://doi.org/10.3390/polym17233096 - 21 Nov 2025
Viewed by 364
Abstract
Laser polishing represents a promising post-processing method for FDM-printed parts, enabling targeted manipulation of their surface topography and the associated functional properties. Despite extensive research in this field, no experimental investigation has yet addressed the configuration with vertical build orientation, which is critical [...] Read more.
Laser polishing represents a promising post-processing method for FDM-printed parts, enabling targeted manipulation of their surface topography and the associated functional properties. Despite extensive research in this field, no experimental investigation has yet addressed the configuration with vertical build orientation, which is critical in terms of interlayer stress transfer. Therefore, this study focuses on CO2 laser polishing of vertically printed PLA specimens at power levels of 10 and 12 W and polishing speeds of vf = 200, 400, and 600 mm·s−1, with a constant transverse displacement of 0.1 mm. The results showed that both laser power and polishing speed have a significant influence on the surface topography and mechanical properties of the samples. The lowest roughness values, Ra = 10.24 ± 0.14 µm at 10 W and Ra = 12.20 ± 0.43 µm at 12 W, were achieved at the highest polishing speed of vf = 600 mm·s−1; however, these still exceeded the roughness of the reference unpolished sample (Ra = 9.02 ± 0.21 µm). The increase in roughness was attributed to the formation of relief structures caused by insufficient overlap of laser passes, orthogonal to the printing-induced surface orientation. These reliefs further acted as local stress concentrators, resulting in a decrease in mechanical performance of up to 9% in comparison with the reference specimen. At 10 W, the surface profile was dominated by Rv > Rp, similar to the reference sample, whereas at 12 W, the opposite trend (Rp > Rv) was observed—attributed to more intense subsurface melting and valley filling by the melt pool. Therefore, the findings clearly confirm that the critical factor is the energy distribution and transverse displacement of the laser polishing paths, where improper parameter settings may visually improve the surface while structurally weakening it. These findings highlight the need for further research, focused on the precise optimization of the polishing trajectory and the energy distribution for vertically oriented samples. Full article
(This article belongs to the Section Polymer Processing and Engineering)
Show Figures

Figure 1

19 pages, 10232 KB  
Article
Femtosecond Laser Polishing of AlN Ceramics and Numerical Simulation of Ablated Morphology
by Ruikang Shi, Zhenyu Zhao, Houming Zhou and Jin He
Micromachines 2025, 16(12), 1303; https://doi.org/10.3390/mi16121303 - 21 Nov 2025
Viewed by 276
Abstract
To meet the surface polishing requirements of aluminum nitride (AlN) ceramics, this study developed a multi-objective optimization experimental model based on response surface methodology (RSM), with surface roughness as the key optimization target. A systematic series of femtosecond laser polishing experiments were conducted. [...] Read more.
To meet the surface polishing requirements of aluminum nitride (AlN) ceramics, this study developed a multi-objective optimization experimental model based on response surface methodology (RSM), with surface roughness as the key optimization target. A systematic series of femtosecond laser polishing experiments were conducted. Polishing effectiveness and the evolution of material properties under different process parameters were comprehensively evaluated through surface morphology characterization, microhardness testing, friction and wear experiments, and energy-dispersive X-ray spectroscopy (EDS) analysis. The experimental results indicated that the optimal combination of process parameters, as determined by RSM optimization, was identified as a laser power of 17.43 W, pulse frequency of 292.29 kHz, and scanning speed of 1004.82 mm/s. Under these parameters, femtosecond laser polishing significantly reduced the surface roughness of the AlN ceramic, with the initial Ra value decreasing from 2.513 μm to 0.538 μm, a reduction of 78.57%. Compared to CO2 laser polishing (Ra = 0.817 μm), femtosecond laser polishing demonstrated superior performance in enhancing surface quality. Analysis of the microstructural mechanisms revealed that the femtosecond laser, due to its ultra-short pulse characteristics, effectively suppressed the expansion of the heat-affected zone. It passivated surface microcracks through a photothermal ablation effect and reduced the thickness of the subsurface damage layer. Furthermore, the friction coefficient and wear rate of the polished samples decreased, indicating a significant improvement in wear resistance. On the numerical simulation front, a multi-physics model describing the interaction between the femtosecond laser and AlN ceramic was established based on the non-equilibrium two-temperature model (NTTM) coupled with solid mechanics. The key innovation of our model is the full coupling of heat transfer and solid mechanics, which allows for an accurate revelation of the material morphology evolution mechanism during femtosecond laser ablation. The model’s accuracy is confirmed by the excellent agreement with experimental results, showing relative errors of only 3.23% and 12.5% for the melt pool width and depth, respectively. Full article
(This article belongs to the Section E:Engineering and Technology)
Show Figures

Figure 1

19 pages, 12558 KB  
Article
Evaluation of the Surface Finish on 304 Stainless Steel as a Way to Mitigate Calcium Carbonate Scaling
by Antônio Carlos Barbosa Zancanella, Luila Abib Saidler, Renato do Nascimento Siqueira, Helga Elisabeth Pinheiro Schluter and Bruno Venturini Loureiro
Surfaces 2025, 8(1), 13; https://doi.org/10.3390/surfaces8010013 - 7 Feb 2025
Cited by 1 | Viewed by 1406
Abstract
Calcium carbonate scaling causes significant damage and financial losses to various industries, particularly in deep-water oil exploration. It is affected by factors like pressure, temperature, pH, solution chemistry, and surface finish. Surface finish is critical, as it interacts with the fluid and serves [...] Read more.
Calcium carbonate scaling causes significant damage and financial losses to various industries, particularly in deep-water oil exploration. It is affected by factors like pressure, temperature, pH, solution chemistry, and surface finish. Surface finish is critical, as it interacts with the fluid and serves as a substrate for the anchoring of calcium carbonate crystals. However, many studies investigate this phenomenon under conditions that differ from those encountered in deep-water oil exploration. Tests are commonly performed under atmospheric pressure and lacking fluid flow or CO2 influence, which limits their relevance to industrial conditions. This study aims to evaluate the influence of surface finish on the formation of calcium carbonate scaling under conditions that more closely resemble actual operating environments. 304 stainless steel was selected to replicate industrial conditions, owing to its chemical stability and common use in industrial settings. The tests were conducted in a plant with high-pressure capabilities, operating under continuous flow conditions with CO2 injection. Controlled surfaces were prepared through metallographic polishing, machining, sandblasting, and laser texturing techniques. Surface characterization was performed using a 3D optical profilometer and scratch testing to measure the average adhesion force. The polymorphs formed were characterized by Raman spectroscopy. Fractal dimension analysis was applied to quantify the complexity of the analyzed surfaces. The results indicate that surfaces with higher fractal dimensions exhibit greater scaling mass and higher adhesion force. The main polymorph observed was calcite. Additionally, it was noted that the texture orientation relative to the flow affects scaling, with higher scaling values observed on surfaces oriented perpendicular to the flow. These findings are crucial for optimizing material selection and surface treatments in deep-water oil exploration, enhancing operational efficiency and reducing costs. Full article
(This article belongs to the Special Issue Advancements in Surface Engineering for Metallic Alloys)
Show Figures

Figure 1

15 pages, 6243 KB  
Article
Metallic Ion Release Behaviors from Cobalt–Chromium Alloys Fabricated by Additive Manufacturing with Mechanical Grinding in an Acidic Saline Solution
by Naoto Sakurai, Tomofumi Sawada, Yukinori Kuwajima, Kenta Yamanaka, Naoyuki Nomura, Masaaki Kasahara, Akihiko Chiba, Kazuro Satoh and Shinji Takemoto
Materials 2025, 18(2), 432; https://doi.org/10.3390/ma18020432 - 17 Jan 2025
Cited by 1 | Viewed by 2181
Abstract
This study aimed to investigate the release of metallic ions from cobalt–chromium (Co-Cr) alloys fabricated by additive manufacturing (AM) for comparison with dental casting. Co-Cr alloys were fabricated via AM using selective laser melting (SLM) and electron beam melting (EBM) in powder-bed fusion. [...] Read more.
This study aimed to investigate the release of metallic ions from cobalt–chromium (Co-Cr) alloys fabricated by additive manufacturing (AM) for comparison with dental casting. Co-Cr alloys were fabricated via AM using selective laser melting (SLM) and electron beam melting (EBM) in powder-bed fusion. Polished and mechanically ground specimens were prepared. Each specimen was analyzed using an electron probe microanalyzer (EPMA). Each specimen was immersed in an acidic saline solution for 7 days in accordance with ISO 10271: 2020. The EPMA indicated the segregation of some elements in the as-prepared SLM and EBM specimens, whereas the polished and ground specimens exhibited a homogenous elemental distribution. The total amount of ion release from the SLM and EBM specimens was confirmed to be less than 7 μg/cm2, which was less than 42 μg/cm2 for the cast specimen. The polished and ground specimens exhibited an even lower ion release than the as-prepared specimens. The amount of ions released from the Co-Cr alloy was less than the 200 μg/cm² requirement of ISO 22674: 2022. Co-Cr alloys fabricated by SLM and EBM could provide superior corrosion resistance to cast specimens. AM could be a valuable method for fabricating appliances and denture frameworks in dentistry. Full article
(This article belongs to the Special Issue Additive Manufacturing of Alloys and Composites (2nd Edition))
Show Figures

Figure 1

10 pages, 3674 KB  
Article
An S-Shaped Core M-Z Interferometer Induced by Arc-Discharging for Strain Sensing
by Xiaoyang Li, Jiarui Chen, Shengjia Wang, Yongjun Liu and Tao Geng
Photonics 2024, 11(9), 816; https://doi.org/10.3390/photonics11090816 - 30 Aug 2024
Viewed by 1715
Abstract
In this study, a kind of in-fiber Mach–Zehnder interferometer (MZI) is designed and experimentally examined. The MZI is composed of two in-fiber S-shaped cores (SSCs), which enhance strain sensitivity. To prepare the SSCs, a high-frequency CO2 laser is first utilized to polish [...] Read more.
In this study, a kind of in-fiber Mach–Zehnder interferometer (MZI) is designed and experimentally examined. The MZI is composed of two in-fiber S-shaped cores (SSCs), which enhance strain sensitivity. To prepare the SSCs, a high-frequency CO2 laser is first utilized to polish grooves on the symmetrical surface of a single-mode fiber (SMF). The polished area is then subjected to arc-discharging by a commercial fusion splicer, and the core of the fiber bends towards the polished grooves due to the self-roundness of the cladding and the heating effect of discharge. The results of the experiments demonstrate that the sensor achieves high strain sensitivities of −66.5 pm/με and −40.1 pm/με within the strain range of 0 με to 350 με. By solving the matrix equation, simultaneous online measurements of temperature and strain can be performed. With the advantages of easy fabrication, low cost, high sensitivity, and compactness, the proposed sensor is a competitive candidate in strain sensing. Full article
(This article belongs to the Special Issue Advances in Optical Fiber Sensing Technology)
Show Figures

Figure 1

13 pages, 5639 KB  
Case Report
Full Digital Workflow for Aesthetic Rehabilitation of the Upper Teeth: A Case Report
by Gilbert Jorquera, Louis Hardan, Rim Bourgi, David Arias, Carlos Enrique Cuevas-Suárez, Krystyna Pietrzycka and Monika Lukomska-Szymanska
Appl. Sci. 2024, 14(13), 5957; https://doi.org/10.3390/app14135957 - 8 Jul 2024
Cited by 2 | Viewed by 3997
Abstract
The present case report presents a digital workflow for designing an aesthetic rehabilitation of the upper anterior teeth in an adult male. The patient suffered from a gummy smile resulting from an unfavorable ratio between upper lip length and gingiva/tooth display. In addition, [...] Read more.
The present case report presents a digital workflow for designing an aesthetic rehabilitation of the upper anterior teeth in an adult male. The patient suffered from a gummy smile resulting from an unfavorable ratio between upper lip length and gingiva/tooth display. In addition, the tooth shapes, color, and position were not accepted by the patient. The treatment planning included gingivectomy based on a digitally designed PMMA guide performed using a soft tissue SOGA laser (Shenzhen Soga Technology Co., Ltd., Shenzhen, China). The preparation was guided by the plastic guides for preparation control created digitally in Exocad software (Rijeka 3.1. Darmstadt, Germany) and printed in three-dimensional plastic. Next, both arches and maximum intercuspation were scanned. The milled lithium disilicate veneers were manufactured using CAD-computer-aided manufacturing (CAM) equipment. The restorations were cemented using a translucent light-cure resin cement (RelyX Universal, 3M ESPE, St. Paul, MN, USA). Next, occlusion adjustment and polishing were executed. Based on the present case report, it can be assumed that the application of digital techniques allows us to achieve an aesthetic and functional result with reduced work time and errors. Emphasizing the clinical impact, these methods enhance patient satisfaction and treatment accuracy in intricate aesthetic rehabilitations. Full article
(This article belongs to the Special Issue Advancements and Updates in Digital Dentistry)
Show Figures

Figure 1

12 pages, 2611 KB  
Article
Structural Parameters and Behavior in Simulated Body Fluid of High Entropy Alloy Thin Films
by Doina Craciun, Edwin A. Laszlo, Julia C. Mirza-Rosca, Gabriela Dorcioman, Victor Geanta, Ionelia Voiculescu, Gabriel Craciun, Liviu Badea and Valentin Craciun
Materials 2024, 17(5), 1162; https://doi.org/10.3390/ma17051162 - 1 Mar 2024
Cited by 4 | Viewed by 2063
Abstract
The structure, composition and corrosion properties of thin films synthesized using the Pulsed Laser Deposition (PLD) technique starting from a three high entropy alloy (HEA) AlCoCrFeNix produced by vacuum arc remelting (VAR) method were investigated. The depositions were performed at room temperature on [...] Read more.
The structure, composition and corrosion properties of thin films synthesized using the Pulsed Laser Deposition (PLD) technique starting from a three high entropy alloy (HEA) AlCoCrFeNix produced by vacuum arc remelting (VAR) method were investigated. The depositions were performed at room temperature on Si and mirror-like polished Ti substrates either under residual vacuum (low 10−7 mbar, films denoted HEA2, HEA6, and HEA10, which were grown from targets with Ni concentration molar ratio, x, equal to 0.4, 1.2, and 2.0, respectively) or under N2 (10−4 mbar, films denoted HEN2, HEN6, and HEN10 for the same Ni concentration molar ratios). The deposited films’ structures, investigated using Grazing Incidence X-ray Diffraction, showed the presence of face-centered cubic and body-centered cubic phases, while their surface morphology, investigated using scanning electron microscopy, exhibited a smooth surface with micrometer size droplets. The mass density and thickness were obtained from simulations of acquired X-ray reflectivity curves. The films’ elemental composition, estimated using the energy dispersion X-ray spectroscopy, was quite close to that of the targets used. X-ray Photoelectron Spectroscopy investigation showed that films deposited under a N2 atmosphere contained several percentages of N atoms in metallic nitride compounds. The electrochemical behavior of films under simulated body fluid (SBF) conditions was investigated by Open Circuit Potential (OCP) and Electrochemical Impedance Spectroscopy measurements. The measured OCP values increased over time, implying that a passive layer was formed on the surface of the films. It was observed that all films started to passivate in SBF solution, with the HEN6 film exhibiting the highest increase. The highest repassivation potential was exhibited by the same film, implying that it had the highest stability range of all analyzed films. Impedance measurements indicated high corrosion resistance values for HEA2, HEA6, and HEN6 samples. Much lower resistances were found for HEN10 and HEN2. Overall, HEN6 films exhibited the best corrosion behavior among the investigated films. It was noticed that for 24 h of immersion in SBF solution, this film was also a physical barrier to the corrosion process, not only a chemical one. Full article
(This article belongs to the Special Issue Friction, Corrosion and Protection of Material Surfaces)
Show Figures

Figure 1

11 pages, 2731 KB  
Article
Process Parameter Optimization for CO2 Laser Polishing of Fused Silica Using the Taguchi Method
by Guanghua Lu, Xiaopeng Li, Dasen Wang and Kehong Wang
Materials 2024, 17(3), 709; https://doi.org/10.3390/ma17030709 - 1 Feb 2024
Cited by 5 | Viewed by 2352
Abstract
Fused silica was polished to a high quality by a CO2 laser beam with a rapid scanning rate. The rapid scanning rate produced a line laser heat source, resulting in a “polishing line” during the polishing process. The Taguchi method was used [...] Read more.
Fused silica was polished to a high quality by a CO2 laser beam with a rapid scanning rate. The rapid scanning rate produced a line laser heat source, resulting in a “polishing line” during the polishing process. The Taguchi method was used to evaluate the comprehensive influence of polishing process parameters on the polishing qualities. Four factors, namely the length of laser reciprocating scanning (A), laser beam scanning speed (B), feed speed (C), and defocusing amount (D), were investigated in this study. The optimal process parameter combination (A1B1C1D1) was obtained. The surface roughness of fused silica was reduced from Ra = 0.157 μm to 0.005 μm. Through analysis of variance (ANOVA), it was found that laser beam scanning speed (B) had a significant influence on the polishing quality. The interaction of the two factors plays a decisive role in the determination of the best process parameters, and the influence of other multi-factor interaction can be ignored; the interaction between A × B is the largest, with a contribution of 42.69%. Full article
Show Figures

Figure 1

15 pages, 28047 KB  
Article
Adhesion and Activation of Blood Platelets on Laser-Structured Surfaces of Biomedical Metal Alloys
by Marta Kamińska, Aleksandra Jastrzębska, Magdalena Walkowiak-Przybyło, Marta Walczyńska, Piotr Komorowski and Bogdan Walkowiak
J. Funct. Biomater. 2023, 14(9), 478; https://doi.org/10.3390/jfb14090478 - 18 Sep 2023
Cited by 4 | Viewed by 2518
Abstract
The laser surface modification of metallic implants presents a promising alternative to other surface modification techniques. A total of four alloyed metallic biomaterials were used for this study: medical steel (AISI 316L), cobalt–chromium–molybdenum alloy (CoCrMo) and titanium alloys (Ti6Al4V and Ti6Al7Nb). Samples of [...] Read more.
The laser surface modification of metallic implants presents a promising alternative to other surface modification techniques. A total of four alloyed metallic biomaterials were used for this study: medical steel (AISI 316L), cobalt–chromium–molybdenum alloy (CoCrMo) and titanium alloys (Ti6Al4V and Ti6Al7Nb). Samples of metallic biomaterials after machining were subjected to polishing or laser modification in two different versions. The results of surface modification were documented using SEM imaging and roughness measurement. After modification, the samples were sterilized with dry hot air, then exposed to citrate blood, washed with PBS buffer, fixed with glutaraldehyde, sputtered with a layer of gold and imaged using SEM to enable the quantification of adhered, activated and aggregated platelets on the surface of biomaterial samples. The average total number, counted in the field of view, of adhered platelets on the surfaces of the four tested biomaterials, regardless of the type of modification, did not differ statistically significantly (66 ± 81, 67 ± 75, 61 ± 70 and 57 ± 61 for AISI 316L, CoCrMo, Ti6Al4V and Ti6Al7Nb, respectively) and the average number of platelet aggregates was statistically significantly higher (p < 0.01) on the surfaces of AISI 316L medical steel (42 ± 53) and of the CoCrMo alloy (42 ± 52) compared to the surfaces of the titanium alloys Ti6Al4V (33 ± 39) and Ti6Al7Nb (32 ± 37). Remaining blood after contact was used to assess spontaneous platelet activation and aggregation in whole blood by flow cytometry. An in-depth analysis conducted on the obtained results as a function of the type of modification indicates small but statistically significant differences in the interaction of platelets with the tested surfaces of metallic biomaterials. Full article
(This article belongs to the Special Issue Metals and Alloys for Biomedical Application)
Show Figures

Figure 1

21 pages, 8716 KB  
Article
Mechanical and Surface Characteristics of Selective Laser Melting-Manufactured Dental Prostheses in Different Processing Stages
by Edgar Moraru, Alina-Maria Stoica, Octavian Donțu, Sorin Cănănău, Nicolae-Alexandru Stoica, Victor Constantin, Daniela-Doina Cioboată and Liliana-Laura Bădiță-Voicu
Materials 2023, 16(18), 6141; https://doi.org/10.3390/ma16186141 - 9 Sep 2023
Cited by 6 | Viewed by 2592
Abstract
Due to the expansion of the use of powder bed fusion metal additive technologies in the medical field, especially for the realization of dental prostheses, in this paper, the authors propose a comparative experimental study of the mechanical characteristics and the state of [...] Read more.
Due to the expansion of the use of powder bed fusion metal additive technologies in the medical field, especially for the realization of dental prostheses, in this paper, the authors propose a comparative experimental study of the mechanical characteristics and the state of their microscale surfaces. The comparison was made from material considerations starting from two dental alloys commonly used to realize dental prostheses: Ni-Cr and Co-Cr, but also technologies for obtaining selective laser melting (SLM) and conventional casting. In addition, to compare the performances with the classical casting technology, for the dental prostheses obtained through SLM, the post-processing stage in which they are in a preliminary finishing and polished state was considered. Therefore, for the determination of important mechanical characteristics and the comparative study of dental prostheses, the indentation test was used, after which the hardness, penetration depths (maximum, permanent, and contact depth), contact stiffness, and contact surface were established, and for the determination of the microtopography of the surfaces, atomic force microscopy (AFM) was used, obtaining the local areal roughness parameters at the miniaturized scale—surface average roughness, root-mean-square roughness (RMS), and peak-to-peak values. Following the research carried out, several interesting conclusions were drawn, and the superiority of the SLM technology over the classic casting method for the production of dental prostheses in terms of some mechanical properties was highlighted. At the same time, the degree of finishing of dental prostheses made by SLM has a significant impact on the mechanical characteristics and especially the local roughness parameters on a miniaturized scale, and if we consider the same degree of finishing, no major differences are observed in the roughness parameters of the surfaces of the prostheses produced by different technologies. Full article
(This article belongs to the Special Issue Recent Advances in Metal Powder Based Additive Manufacturing)
Show Figures

Figure 1

17 pages, 8261 KB  
Article
Advancing PLA 3D Printing with Laser Polishing: Improving Mechanical Strength, Sustainability, and Surface Quality
by Ray Tahir Mushtaq, Asif Iqbal, Yanen Wang, Aqib Mashood Khan and Mohammad Iskandar Petra
Crystals 2023, 13(4), 626; https://doi.org/10.3390/cryst13040626 - 5 Apr 2023
Cited by 34 | Viewed by 5034
Abstract
Three-dimensional (3D) printing of polylactic acid using the fused filament fabrication approach is a widely used additive manufacturing method in various fields, despite the historical issue of substantial surface roughness in fused filament fabrication products. Several strategies have been utilized to minimize the [...] Read more.
Three-dimensional (3D) printing of polylactic acid using the fused filament fabrication approach is a widely used additive manufacturing method in various fields, despite the historical issue of substantial surface roughness in fused filament fabrication products. Several strategies have been utilized to minimize the surface roughness of 3D-printed items. However, laser polishing is a novel technique for reducing surface roughness and improving other material qualities. In this study, polylactic acid was examined using the laser polishing method for surface roughness and mechanical properties, such as tensile and flexural strength and laser scan time. Several trials were conducted to determine how changing the laser’s characteristics may affect the materials’ surface quality and mechanical qualities. Before the final test, preliminary tests were performed to determine the lowest potential heat-affected zone. Laser polishing reduced surface roughness by more than 88.8% (from 7.8 µm to 0.87 µm). The tensile strength of the specimen increased by 14.03%, from 39.2 MPa to 44.7 MPa. Polylactic acid had a constant flexural strength of 70.1 MPa before and after polishing, and the laser scan time for samples was 19.4 s. Polished morphologies were studied to learn more about the microstructure. These findings show that laser polishing can improve and modify the surface properties of a fused filament fabrication product, which can benefit the industry and researchers. Full article
Show Figures

Figure 1

13 pages, 3602 KB  
Article
Enhancing Laser Damage Resistance of Co2+:MgAl2O4 Crystal by Plasma Etching
by Giedrius Abromavičius, Martynas Skapas and Remigijus Juškėnas
Appl. Sci. 2023, 13(2), 1150; https://doi.org/10.3390/app13021150 - 14 Jan 2023
Viewed by 2447
Abstract
Co2+:MgAl2O4 crystals are successfully used as passive Q-switches within the cavity of erbium glass lasers. Their limited resistance to laser radiation might also put constraints on the generated output peak power. Usually, polishing of optical substrates induces a [...] Read more.
Co2+:MgAl2O4 crystals are successfully used as passive Q-switches within the cavity of erbium glass lasers. Their limited resistance to laser radiation might also put constraints on the generated output peak power. Usually, polishing of optical substrates induces a contaminated Beilby layer and damages the subsurface layer, which leads to a considerably lower optical resistance of the obtained surface. Low-energy oxygen plasma etching using different depths of 50, 100, 250 and 400 nm was performed on polished crystals. The surface morphology by atomic force microscopy, transmission spectra, subsurface structure by transmission electron microscopy and the LIDT (R(1)-in-1) using 1540 nm nanosecond pulses were analyzed. It was demonstrated that plasma etching substantially increased the initial crystal surface LIDT. It also allowed the removal of the damaged subsurface layer and almost maintained the initial surface roughness. The presented results demonstrated the good potential of oxygen plasma etching for obtaining highly laser-damage-resistant Co2+:MgAl2O4 crystals for high-power laser applications. Full article
(This article belongs to the Section Optics and Lasers)
Show Figures

Figure 1

9 pages, 2978 KB  
Communication
Hermetic Welding of an Optical Fiber Fabry–Pérot Cavity for a Diaphragm-Based Pressure Sensor Using CO2 Laser
by Hui Zhang, Yi Li, Zhuo Zhang, Chaoming Yang, Mingshan Liang, Yong Hu, Heming Wei and Fufei Pang
Sensors 2022, 22(13), 4700; https://doi.org/10.3390/s22134700 - 22 Jun 2022
Cited by 2 | Viewed by 2518
Abstract
A diaphragm-based hermetic optical fiber Fabry–Pérot (FP) cavity is proposed and demonstrated for pressure sensing. The FP cavity is hermetically sealed using one-step CO2 laser welding with a cavity length from 30 to 100 μm. A thin diaphragm is formed by polishing [...] Read more.
A diaphragm-based hermetic optical fiber Fabry–Pérot (FP) cavity is proposed and demonstrated for pressure sensing. The FP cavity is hermetically sealed using one-step CO2 laser welding with a cavity length from 30 to 100 μm. A thin diaphragm is formed by polishing the hermetic FP cavity for pressure sensing. The fabricated FP cavity has a fringe contrast larger than 15 dB. The experimental results show that the fabricated device has a linear response to the change in pressure, with a sensitivity of −2.02 nm/MPa in the range of 0 to 4 MPa. The results demonstrate that the proposed fabrication technique can be used for fabricating optical fiber microcavities for sensing applications. Full article
(This article belongs to the Special Issue Photonics Based Sensing and Detection)
Show Figures

Figure 1

Back to TopTop