Sign in to use this feature.

Years

Between: -

Subjects

remove_circle_outline
remove_circle_outline
remove_circle_outline
remove_circle_outline
remove_circle_outline
remove_circle_outline
remove_circle_outline
remove_circle_outline

Journals

Article Types

Countries / Regions

Search Results (85)

Search Parameters:
Keywords = CHP engine

Order results
Result details
Results per page
Select all
Export citation of selected articles as:
19 pages, 3914 KB  
Article
Energy, Exergy, and Environmental Analysis of Organic Rankine Cycle Systems for Industrial Waste Heat Recovery Applications
by Manal Aatik and Mohamed Amine Ben Taher
Sustainability 2026, 18(3), 1462; https://doi.org/10.3390/su18031462 - 1 Feb 2026
Viewed by 356
Abstract
In the context of energy transition and the search for sustainable industrial solutions, waste heat recovery is a promising strategy to improve energy efficiency and reduce greenhouse gas emissions. This study investigates the integration of Organic Rankine Cycle (ORC) systems for waste heat [...] Read more.
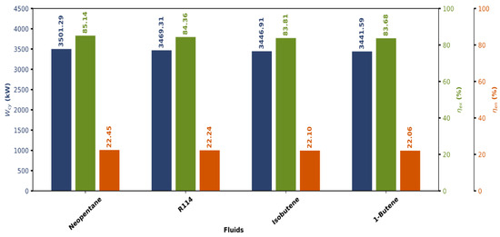
In the context of energy transition and the search for sustainable industrial solutions, waste heat recovery is a promising strategy to improve energy efficiency and reduce greenhouse gas emissions. This study investigates the integration of Organic Rankine Cycle (ORC) systems for waste heat recovery through a comprehensive 3E (energy, exergy, and environmental) analysis. A Python 3.10-based simulation framework was employed to model ORC performance under varying operating conditions and working fluids. Two case studies were considered: (i) a metallurgical application (specifically, an aluminium production plant) and (ii) two large marine engines (Man S60-MC6 and Wärtsilä 46DF), evaluated in electricity-only and combined heat-and-power (CHP) modes. Results show that neopentane is the optimal fluid for the aluminum industry, achieving 3.5 MW of net power output with zero environmental penalties. For marine engines, efficiency gains reached 7–8% for the Man engine and over 10% for the Wärtsilä engine in electricity mode, with thermal efficiencies exceeding 35% under CHP operation. The study demonstrates the relevance of ORC systems for the energy recovery of waste heat and the integration of sustainable technologies into industrial processes. It helps improve energy efficiency, reduce environmental impact, and support the energy transition by recovering waste heat. Full article
(This article belongs to the Special Issue Sustainable Electrical Engineering: Powering a Greener Future)
Show Figures

Figure 1

29 pages, 2920 KB  
Article
Advancing Energy Flexibility Protocols for Multi-Energy System Integration
by Haihang Chen, Fadi Assad and Konstantinos Salonitis
Energies 2026, 19(3), 588; https://doi.org/10.3390/en19030588 - 23 Jan 2026
Viewed by 399
Abstract
This study investigates the incorporation of a standardised flexibility protocol within a physics-based models to enable controllable demand-side flexibility in residential energy systems. A heating subsystem is developed using MATLAB/Simulink and Simscape, serving as a testbed for protocol-driven control within a Multi-Energy System [...] Read more.
This study investigates the incorporation of a standardised flexibility protocol within a physics-based models to enable controllable demand-side flexibility in residential energy systems. A heating subsystem is developed using MATLAB/Simulink and Simscape, serving as a testbed for protocol-driven control within a Multi-Energy System (MES). A conventional thermostat controller is first established, followed by the implementation of an OpenADR event engine in Stateflow. Simulations conducted under consistent boundary conditions reveal that protocol-enabled control enhances system performance in several respects. It maintains a more stable and pronounced indoor–outdoor temperature differential, thereby improving thermal comfort. It also reduces fuel consumption by curtailing or shifting heat output during demand-response events, while remaining within acceptable comfort limits. Additionally, it improves operational stability by dampening high-frequency fluctuations in mdot_fuel. The resulting co-simulation pipeline offers a modular and reproducible framework for analysing the propagation of grid-level signals to device-level actions. The research contributes a simulation-ready architecture that couples standardised demand-response signalling with a physics-based MES model, alongside quantitative evidence that protocol-compliant actuation can deliver comfort-preserving flexibility in residential heating. The framework is readily extensible to other energy assets, such as cooling systems, electric vehicle charging, and combined heat and power (CHP), and is adaptable to additional protocols, thereby supporting future cross-vector investigations into digitally enabled energy flexibility. Full article
Show Figures

Figure 1

17 pages, 1938 KB  
Article
Optimal Scheduling of a Park-Scale Virtual Power Plant Based on Thermoelectric Coupling and PV–EV Coordination
by Ruiguang Ma, Tiannan Ma, Yanqiu Hou, Hao Luo, Jieying Liu, Luoyi Li, Yueping Xiang, Liqing Liao and Dan Tang
Eng 2026, 7(1), 54; https://doi.org/10.3390/eng7010054 - 21 Jan 2026
Viewed by 191
Abstract
This paper presents a closed-loop price–dispatch framework for park-scale virtual power plants (VPPs) with coupled electric–thermal processes under high penetrations of photovoltaics (PVs) and electric vehicles (EVs). The outer layer clears time-varying prices for operator electricity, operator heat, and user feed-in using an [...] Read more.
This paper presents a closed-loop price–dispatch framework for park-scale virtual power plants (VPPs) with coupled electric–thermal processes under high penetrations of photovoltaics (PVs) and electric vehicles (EVs). The outer layer clears time-varying prices for operator electricity, operator heat, and user feed-in using an improved particle swarm optimizer with adaptive coefficients and velocity clamping. Given these prices, the inner layer executes a lightweight linear source decomposition with feasibility projection that enforces transformer limits, combined heat-and-power (CHP) and boiler constraints, ramping, energy balances, and EV state-of-charge requirements. PV uncertainty is represented by a small set of scenarios and a conditional value-at-risk (CVaR) term augments the welfare objective to control tail risk. On a typical winter day case, the coordinated setting aligns EV charging with solar hours, reduces evening grid imports, and improves a social welfare proxy while maintaining interpretable price signals. Measured outcomes include 99.17% PV utilization (95.14% self-consumption and 4.03% routed to EV charging) and a reduction in EV charging cost from CNY 304.18 to CNY 249.87 (−17.9%) compared with an all-from-operator benchmark; all transformer, CHP/boiler, and EV constraints are satisfied. The price loop converges within several dozen iterations without oscillation. Sensitivity studies show that increasing risk weight lowers CVaR with modest welfare trade-offs, while wider price bounds and higher EV availability raise welfare until physical limits bind. The results demonstrate an effective, interpretable, and reproducible pathway to integrate market signals with engineering constraints in park VPP operations. Full article
Show Figures

Figure 1

19 pages, 3988 KB  
Article
Fuel Cell Micro-CHP: Analysis of Hydrogen Solid Storage and Artificial Photosynthesis Hydrogen Production
by Saad Fahim, Taoufiq Kaoutari, Guillaume Foin and Hasna Louahlia
Hydrogen 2026, 7(1), 5; https://doi.org/10.3390/hydrogen7010005 - 2 Jan 2026
Viewed by 628
Abstract
This paper investigates three distinct hydrogen-related subsystems: production, storage, and the use. An analysis of the micro-combined heat and power production (mCHP) behavior using natural gas is conducted to understand how the system operates under different conditions and to evaluate its yearly performance. [...] Read more.
This paper investigates three distinct hydrogen-related subsystems: production, storage, and the use. An analysis of the micro-combined heat and power production (mCHP) behavior using natural gas is conducted to understand how the system operates under different conditions and to evaluate its yearly performance. To reduce CO2 emissions, hydrogen fuel consumption is proposed, and an emission analysis under different fuel-supply configurations is performed. The results show that hydrogen produced by artificial photosynthesis has the lowest CO2 impact. Therefore, the paper examines this process and its main characteristics. An engineering model is proposed to rapidly estimate the mean volumetric hydrogen production rate. To ensure safe coupling between hydrogen production and mCHP demand, the study then focuses on solid-state hydrogen storage. Subsequently, in this framework, the state of charge (SOC) is defined as the central control variable linking storage thermodynamics to hydrogen delivery. Accurate SOC estimation ensures that the storage unit can supply the required hydrogen flow without causing starvation, pressure drops, or thermal drift during CHP operation. The proposed SOC estimation method is based on an analytical approach and experimentally validated while relying solely on external measurements. The overall objective is to enable a coherent, low-carbon, and safely controllable hydrogen-based mCHP system. Full article
(This article belongs to the Topic Advances in Hydrogen Energy)
Show Figures

Graphical abstract

28 pages, 3642 KB  
Article
Life Cycle Cost Analysis of a Biomass-Driven ORC Cogeneration System for Medical Cannabis Greenhouse Cultivation
by Chrysanthos Golonis, Dimitrios Tyris, Anastasios Skiadopoulos, Dimitrios Bilalis and Dimitris Manolakos
Appl. Sci. 2025, 15(22), 12085; https://doi.org/10.3390/app152212085 - 13 Nov 2025
Cited by 1 | Viewed by 1050
Abstract
Medical cannabis cultivation requires substantial energy for heating, lighting, and climate control. This study evaluates the economic feasibility of an innovative biomass-fired micro-CHP system in a greenhouse facility for medicinal cannabis cultivation. The system comprises an 80 kWth boiler retrofitted for biomass [...] Read more.
Medical cannabis cultivation requires substantial energy for heating, lighting, and climate control. This study evaluates the economic feasibility of an innovative biomass-fired micro-CHP system in a greenhouse facility for medicinal cannabis cultivation. The system comprises an 80 kWth boiler retrofitted for biomass and a 7 kWel ORC engine and is assessed against a diesel-boiler Business-As-Usual (BAU) benchmark. Thermal load simulations for two growing periods (1 March–30 June and 1 September–30 December) estimate an annual heating demand of 91,065.20 kWhth. The micro-CHP system delivers 8195.87 kWhel per year, exceeding the greenhouse’s 7839.90 kWhel consumption. Over a 30-year lifespan at a 7% discount rate, Life Cycle Costing yields EUR 196,421.33 for micro-CHP versus EUR 229,468.46 for BAU, a 14.4% reduction. Under all-equity financing, the project achieves an NPV of EUR 59,591.88, IRR of 27.32%, and a DPBP of 12.1 years; with 70% debt financing, NPV rises to EUR 61,211.39 and DPBP shortens to 10.5 years. Levelized Cost of Energy (LCOE) and Heat (LCOH) are EUR 0.122 per kWhel and EUR 0.062 per kWhth, respectively. While the LCOE is below the Greek and EU non-household averages (EUR 0.1578 and EUR 0.1515 per kWhel), the LCOH exceeds the corresponding heat price benchmarks (EUR 0.0401 and EUR 0.0535 per kWhth). These results indicate that, in the modeled context, biomass-ORC cogeneration can be a financially attractive and lower-carbon option for medicinal cannabis greenhouse operations. Full article
Show Figures

Figure 1

34 pages, 1266 KB  
Article
GIS-Based Mapping and Development of Biomass-Fueled Integrated Combined Heat and Power Generation in Nigeria
by Michael Ogheneruemu Ukoba, Ogheneruona Endurance Diemuodeke, Tobinson Alasin Briggs, Kenneth Eloghene Okedu and Chidozie Ezekwem
Energies 2025, 18(19), 5207; https://doi.org/10.3390/en18195207 - 30 Sep 2025
Viewed by 577
Abstract
This research presents Geographic Information System (GIS) mapping and development of biomass for combined heat and power (CHP) generation in Nigeria. It includes crop and forest classification, thermodynamic, and exergo-economic analyses using ArcGIS, Engineering Equation Solver, and Microsoft Excel. Syngas generated from biomass [...] Read more.
This research presents Geographic Information System (GIS) mapping and development of biomass for combined heat and power (CHP) generation in Nigeria. It includes crop and forest classification, thermodynamic, and exergo-economic analyses using ArcGIS, Engineering Equation Solver, and Microsoft Excel. Syngas generated from biomass residues powered an integrated CHP system combining a gas turbine (GT), dual steam turbine (DST), and a cascade organic Rankine cycle (CORC) plant. The net power output of the integrated system stood at 2911 MW, with a major contribution from the gas turbine cycle (GTC) unit. The system had a total exergy destruction of 6480 MW, mainly in the combustion chamber (2143 MW) and HP-HRSG (1660 MW), and produced 3370.41 MW of heat, with a flue gas exit temperature of 74 °C. The plant’s energy and exergy efficiencies were 87.16% and 50.30%, respectively. The BCHP system showed good economic and environmental performance, with an annualized life cycle cost of USD 93.4 million, unit cost of energy of 0.0076 USD/kWh kWh, and a 7.5-year break-even. The emissions and impact factors align with those of similar existing plants. It demonstrates that biomass residue can significantly support Nigeria’s energy needs and contribute to clean energy goals under the Paris Agreement and UN-SDGs. This work suggests a pathway to tackle energy insecurity, inform policymakers on biomass-to-energy, and serve as a foundation for future techno-economic–environmental assessment of biomass residues across suitable locations in Nigeria. Full article
Show Figures

Figure 1

15 pages, 1496 KB  
Article
Simultaneous Reductions in NOx Emissions, Combustion Instability, and Efficiency Loss in a Lean-Burn CHP Engine via Hydrogen-Enriched Natural Gas
by Johannes Fichtner, Jan Ninow and Joerg Kapischke
Energies 2025, 18(16), 4339; https://doi.org/10.3390/en18164339 - 14 Aug 2025
Cited by 1 | Viewed by 1390
Abstract
This study demonstrates that hydrogen enrichment in lean-burn spark-ignition engines can simultaneously improve three key performance metrics, thermal efficiency, combustion stability, and nitrogen oxide emissions, without requiring modifications to the engine hardware or ignition timing. This finding offers a novel control approach to [...] Read more.
This study demonstrates that hydrogen enrichment in lean-burn spark-ignition engines can simultaneously improve three key performance metrics, thermal efficiency, combustion stability, and nitrogen oxide emissions, without requiring modifications to the engine hardware or ignition timing. This finding offers a novel control approach to a well-documented trade-off in existing research, where typically only two of these factors are improved at the expense of the third. Unlike previous studies, the present work achieves simultaneous improvement of all three metrics without hardware modification or ignition timing adjustment, relying solely on the optimization of the air–fuel equivalence ratio λ. Experiments were conducted on a six-cylinder engine for combined heat and power application, fueled with hydrogen–natural gas blends containing up to 30% hydrogen by volume. By optimizing only the air–fuel equivalence ratio, it was possible to extend the lean-burn limit from λ1.6 to λ>1.9, reduce nitrogen oxide emissions by up to 70%, enhance thermal efficiency by up to 2.2 percentage points, and significantly improve combustion stability, reducing cycle-by-cycle variationsfrom 2.1% to 0.7%. A defined λ window was identified in which all three key performance indicators simultaneously meet or exceed the natural gas baseline. Within this window, balanced improvements in nitrogen oxide emissions, efficiency, and stability are achievable, although the individual maxima occur at different operating points. Cylinder pressure analysis confirmed that combustion dynamics can be realigned with original equipment manufacturer characteristics via mixture leaning alone, mitigating hydrogen-induced pressure increases to just 11% above the natural gas baseline. These results position hydrogen as a performance booster for natural gas engines in stationary applications, enabling cleaner, more efficient, and smoother operation without added system complexity. The key result is the identification of a λ window that enables simultaneous optimization of nitrogen oxide emissions, efficiency, and combustion stability using only mixture control. Full article
(This article belongs to the Special Issue Advances in Hydrogen Energy and Fuel Cell Technologies)
Show Figures

Figure 1

38 pages, 2589 KB  
Review
Modeling of Conventional Heat Pipes with Capillary Wicks: A Review
by Roberta Caruana and Manfredo Guilizzoni
Energies 2025, 18(9), 2213; https://doi.org/10.3390/en18092213 - 26 Apr 2025
Cited by 5 | Viewed by 3986
Abstract
Conventional heat pipes (CHPs) with capillary wicks are fundamental in various engineering applications due to their exceptional heat transfer efficiency and minimal temperature gradients. Despite the recent advancements in heat pipe modeling, existing reviews predominantly emphasize loop or pulsating heat pipes, neglecting the [...] Read more.
Conventional heat pipes (CHPs) with capillary wicks are fundamental in various engineering applications due to their exceptional heat transfer efficiency and minimal temperature gradients. Despite the recent advancements in heat pipe modeling, existing reviews predominantly emphasize loop or pulsating heat pipes, neglecting the extensive application and design challenges associated with CHPs. This review aims to address this lack by providing a comprehensive analysis of existing modeling techniques for CHPs, with a specific focus on their methodological innovations, validation strategies, and limitations, in order to outline a structured classification of models and provide useful suggestions for future research. The main findings of this work reveal a predominance of numerical lumped parameter models, which balance simplicity and computational efficiency, but often oversimplify complex phenomena. In fact, although numerical 2D and 3D models could offer greater accuracy at higher computational costs, they often share similar limitations with lumped parameter models. Additionally, some crucial aspects, including gravitational effects, real gas behavior in vapor modeling, activation effects, and operating limits, remain underexplored. Therefore, future research should address these gaps, to enhance the applicability of CHPs across different fields and operating conditions. In particular, an integrated approach is recommended, combining physics-based models with data-driven techniques, and supported by a robust and systematic experimental validation strategy, to ensure the reliability and generality of the developed models. Such modeling efforts are expected to guide the development of more effective and reliable heat pipe designs. Full article
(This article belongs to the Section J: Thermal Management)
Show Figures

Figure 1

17 pages, 4637 KB  
Article
Energy Cost Optimisation in a Wastewater Treatment Plant by Balancing On-Site Electricity Generation with Plant Demand
by Nadja Hvala, Darko Vrečko, Peter Cerar, Gregor Žefran, Marjetka Levstek and Damir Vrančić
Water 2025, 17(8), 1170; https://doi.org/10.3390/w17081170 - 14 Apr 2025
Cited by 4 | Viewed by 2803
Abstract
Wastewater treatment plants (WWTPs) consume a considerable amount of energy. They also generate energy in combined heat and power (CHP) units, which utilise biogas from the anaerobic digestion of sewage sludge to produce renewable electricity. Different prices apply to electricity generated on site [...] Read more.
Wastewater treatment plants (WWTPs) consume a considerable amount of energy. They also generate energy in combined heat and power (CHP) units, which utilise biogas from the anaerobic digestion of sewage sludge to produce renewable electricity. Different prices apply to electricity generated on site in CHP units, to the purchase of electricity from the grid, to the sale of surplus electricity to the grid and energy tariffs, which motivates the optimisation of energy costs. This paper presents a strategy for optimising electricity costs by adapting on-site electricity generation in CHP units to the demand of the WWTP. The approach is designed for a CHP system that generates electricity in multiple internal combustion gas engines. It is implemented as a two-level control system, where the lower control level dynamically adjusts the power of the individual gas engines, and the upper control level optimises the desired total power, taking into account the current energy consumption of the WWTP, biogas reserves and electricity tariffs. The proposed concept was implemented at the Domžale-Kamnik WWTP. A six-month evaluation showed that electricity purchased from the grid could be reduced from 8.7% to 3.3% of the WWTP’s electricity consumption. This reduction affects the system economically, as electricity purchased from the grid at low and high tariffs is 35% and 76% more expensive than electricity generated on site (excluding the grid fee). This approach can be extended to balance dispatchable electricity generation at the WWTP to respond to short-term grid demand. Full article
(This article belongs to the Section Wastewater Treatment and Reuse)
Show Figures

Figure 1

24 pages, 1996 KB  
Article
Techno-Economic Analysis on Implementing Hydrogen in a Combined Heat and Power Plant in Luxembourg to Reduce Carbon Emissions
by Claudia Ribeiro, Branca Delmonte, John Sliepen and Stefan Maas
Sustainability 2025, 17(8), 3369; https://doi.org/10.3390/su17083369 - 10 Apr 2025
Cited by 1 | Viewed by 4074
Abstract
In 2021, the global electricity and heat sector recorded the highest increase in carbon dioxide (CO2) emissions in comparison with the previous year, highlighting the ongoing challenges in reducing emissions within the sector. Therefore, combined heat and power (CHP) plants running [...] Read more.
In 2021, the global electricity and heat sector recorded the highest increase in carbon dioxide (CO2) emissions in comparison with the previous year, highlighting the ongoing challenges in reducing emissions within the sector. Therefore, combined heat and power (CHP) plants running on renewable fuels can play an important role in the energy transition by decarbonising a process, increasing the efficiency and capacity factor. Since 2003, Luxembourgish CHP plants have been transitioning from natural gas to biomass, mainly wood pellets. However, even though wood pellets are a renewable alternative, the market volatility in 2022 highlighted the vulnerability of a system reliant solely on one type of fuel. This study assesses the feasibility of using hydrogen to decarbonise a cogeneration plant powered by a natural gas-fuelled internal combustion engine. Although the technology to use hydrogen as a fuel for such systems already exists, a technical and economic analysis of implementing a hydrogen-ready plant is still lacking. Our results show that, from a technical perspective, retrofitting an existing power plant to operate with hydrogen is feasible, either by adapting or replacing the engine to accommodate hydrogen blends from 0 up to 100%. The costs of making the CHP plant hydrogen-ready vary depending on the scenario, ranging from a 20% increase for retrofitting to a 60% increase for engine replacement in the best-case scenarios. However, these values remain highly variable due to uncertainties associated with the ongoing technology development. From an economic standpoint, as of 2024, running the plant on hydrogen remains more expensive due to significant initial investments and higher fuel costs. Nevertheless, projections indicate that rising climate concerns, CO2 taxes, geopolitical factors, and the development of the hydrogen framework in the region—through projects such as MosaHYc and HY4Link—could accelerate the competitiveness of hydrogen, making it a more viable alternative to fossil-based solutions in the near future. Full article
(This article belongs to the Section Energy Sustainability)
Show Figures

Figure 1

22 pages, 2686 KB  
Article
Dynamic Shear Properties of Recycled Combustion Slag, a Sustainable Material, in Road Construction
by Katarzyna Gabryś
Sustainability 2025, 17(3), 926; https://doi.org/10.3390/su17030926 - 23 Jan 2025
Cited by 1 | Viewed by 1800
Abstract
Solid waste recycling challenges civil and environmental engineers to use waste from different industries to exceed sustainable development while meeting current material costs. Combustion slag (CS) is the material resulting from the combustion of hard coal in pulverized coal boilers. It is removed [...] Read more.
Solid waste recycling challenges civil and environmental engineers to use waste from different industries to exceed sustainable development while meeting current material costs. Combustion slag (CS) is the material resulting from the combustion of hard coal in pulverized coal boilers. It is removed by gravity from the furnace chamber and transported by hydraulics through the slugger to the sedimentation chambers and from there to the heaps. The waste combustion slag can be used for land leveling, road building, and sports and leisure facilities. This paper presents the geomechanical characterization of the CS from the “Siekierki” CHP Plant, located in Warsaw, Poland. Particular emphasis was placed on the dynamic properties of combustion slag, including shear modulus (G) and damping ratio (D). Correct estimation of these parameters over a wide strain range is essential for laboratory research and modeling. A laboratory test program was defined to obtain the G-modulus, Gmax-modulus, shear modulus degradation curve G(γ)/Gmax, D-ratio, depending on the mean effective stress and relative density, in the strain range of 10−6 up to 10−3. Stiffness of CS was obtained using laboratory investigations typical for natural soils, namely, standard resonant column tests, and bender element tests. From the many different methods for soil damping estimation, two of the most common were selected: logarithmic decay and half-power bandwidth. The dynamic properties and their changes with strain of the Siekierki combustion slag are in line with general trends for granulated natural soils and other recycled materials. The outcomes of the presented research promote the reuse of CS as aggregate in road construction, which contributes to limiting the extraction of natural aggregate, reducing the filling of lands with this type of waste, and ultimately reducing the transport of materials and consequently lowering greenhouse emissions. Full article
Show Figures

Graphical abstract

29 pages, 1487 KB  
Review
Waste Heat Utilization in Marine Energy Systems for Enhanced Efficiency
by Tymoteusz Miller, Irmina Durlik, Ewelina Kostecka, Polina Kozlovska, Andrzej Jakubowski and Adrianna Łobodzińska
Energies 2024, 17(22), 5653; https://doi.org/10.3390/en17225653 - 12 Nov 2024
Cited by 9 | Viewed by 6277
Abstract
The maritime industry, central to global trade, faces critical challenges related to energy efficiency and environmental sustainability due to significant energy loss from waste heat in marine engines. This review investigates the potential of waste heat recovery (WHR) technologies to enhance operational efficiency [...] Read more.
The maritime industry, central to global trade, faces critical challenges related to energy efficiency and environmental sustainability due to significant energy loss from waste heat in marine engines. This review investigates the potential of waste heat recovery (WHR) technologies to enhance operational efficiency and reduce emissions in marine systems. By analyzing major WHR methods, such as heat exchangers, Organic Rankine Cycle (ORC) systems, thermoelectric generators, and combined heat and power (CHP) systems, this work highlights the specific advantages, limitations, and practical considerations of each approach. Unique to this review is an examination of WHR performance in confined marine spaces and compatibility with existing ship components, providing essential insights for practical implementation. Findings emphasize WHR as a viable strategy to reduce fuel consumption and meet environmental regulations, contributing to a more sustainable maritime industry. Full article
Show Figures

Figure 1

18 pages, 13419 KB  
Article
Techno-Economic and Environmental Impact Analysis of a 50 MW Solar-Powered Rankine Cycle System
by Abdulrazzak Akroot and Abdullah Sultan Al Shammre
Processes 2024, 12(6), 1059; https://doi.org/10.3390/pr12061059 - 22 May 2024
Cited by 6 | Viewed by 2525
Abstract
The interest in combined heat and solar power (CHP) systems has increased due to the growing demand for sustainable energy with low carbon emissions. An effective technical solution to address this requirement is using a parabolic trough solar collector (PTC) in conjunction with [...] Read more.
The interest in combined heat and solar power (CHP) systems has increased due to the growing demand for sustainable energy with low carbon emissions. An effective technical solution to address this requirement is using a parabolic trough solar collector (PTC) in conjunction with a Rankine cycle (RC) heat engine. The solar-powered Rankine cycle (SPRC) system is a renewable energy technology that can be relied upon for its high efficiency and produces clean energy output. This study describes developing a SPRC system specifically for electricity generation in Aden, Yemen. The system comprises parabolic trough collectors, a thermal storage tank, and a Rankine cycle. A 4E analysis of this system was theoretically investigated, and the effects of various design conditions, namely the boiler’s pinch point temperature and steam extraction from the high-pressure turbine, steam extraction from the intermediate-pressure turbine, and condenser temperature, were studied. Numerical simulations showed that the system produces a 50 MW net. The system’s exergetic and energy efficiencies are 30.7% and 32.4%. The planned system costs 2509 USD/h, the exergoeconomic factor is 79.43%, and the system’s energy cost is 50.19 USD/MWh. The system has a 22.47 kg/MWh environmental carbon footprint. It is also observed that the performance of the cycle is greatly influenced by climatic circumstances. Raising the boiler’s pinch point temperature decreases the system’s performance and raises the environmental impact. Full article
(This article belongs to the Special Issue Energy Storage Systems and Thermal Management)
Show Figures

Figure 1

30 pages, 6405 KB  
Article
Methodology for Modernizing Local Gas-Fired District Heating Systems into a Central District Heating System Using Gas-Fired Cogeneration Engines—A Case Study
by Dawid Czajor and Łukasz Amanowicz
Sustainability 2024, 16(4), 1401; https://doi.org/10.3390/su16041401 - 7 Feb 2024
Cited by 8 | Viewed by 2428
Abstract
Sustainability can be achieved by improving process efficiency, among other methods. In the case of heat supply systems for cities, one of the ways to increase the efficiency of fuel use, and thus reduce resource consumption and greenhouse gas emissions, is the generation [...] Read more.
Sustainability can be achieved by improving process efficiency, among other methods. In the case of heat supply systems for cities, one of the ways to increase the efficiency of fuel use, and thus reduce resource consumption and greenhouse gas emissions, is the generation of heat and electricity in one process—the use of cogeneration (CHP). The main goal of this paper is to deliver the methodology for a step-by-step modernization process for local gas-fired heating plants through the use of gas cogeneration engines in common central district heating systems. The presented methodology was applied on the basis of a real system located in north-western Poland (case study from Białogard). The profitability of cogeneration was simulated against the background of changing gas prices. The financial and environmental profit from modernization was calculated. The technical requirements that had to be met in order to adapt the existing heating system to cooperation with the new energy source were also presented. The importance of selecting the supply and return temperature of water in the heating system after modernization was emphasized. Based on investment experience, we show that installing a cogeneration engine improves a company’s financial result by 33% (calculated as the difference between the revenue from the sale of energy and the cost of gas only) and is less harmful to the environment, among other benefits, significantly reducing CO2 emissions by 78%. Full article
(This article belongs to the Section Resources and Sustainable Utilization)
Show Figures

Figure 1

21 pages, 7802 KB  
Article
The Effects of Syngas Composition on Engine Thermal Balance in a Biomass Powered CHP Unit: A 3D CFD Study
by Michela Costa and Daniele Piazzullo
Energies 2024, 17(3), 738; https://doi.org/10.3390/en17030738 - 4 Feb 2024
Cited by 9 | Viewed by 2650
Abstract
Syngas from biomass gasification represents an interesting alternative to traditional fuels in spark-ignition (SI) internal combustion engines (ICEs). The presence of inert species in the syngas (H2O, CO2, N2) reduces the amount of primary energy that can [...] Read more.
Syngas from biomass gasification represents an interesting alternative to traditional fuels in spark-ignition (SI) internal combustion engines (ICEs). The presence of inert species in the syngas (H2O, CO2, N2) reduces the amount of primary energy that can be exploited through combustion, but it can also have an insulating effect on the cylinder walls, increasing the average combustion temperature and reducing heat losses. A predictive numerical approach is here proposed to derive hints related to the possible optimization of the syngas-engine coupling and to balance at the best the opposite effects taking place during the energy conversion process. A three-dimensional (3D) computational fluid dynamics (CFD) model is developed, based on a detailed kinetic mechanism of combustion, to reproduce the combustion cycle of a cogenerative engine fueled by syngas deriving from the gasification of different feedstocks. Numerical results are validated with respect to experimental measurements made under real operation. Main findings reveal how heat transfer mainly occurs through the chamber and piston walls up to 50° after top dead center (ATDC), with the presence of inert gases (mostly N2) which decrease the syngas lower calorific value but have a beneficial insulating effect along the liner walls. However, the overall conversion efficiency of the biomass-to-ICE chain is mostly favored by high-quality syngas from biomasses with low-ashes content. Full article
Show Figures

Figure 1

Back to TopTop