Sign in to use this feature.

Years

Between: -

Subjects

remove_circle_outline
remove_circle_outline

Journals

Article Types

Countries / Regions

Search Results (6)

Search Parameters:
Keywords = CF/PEKK

Order results
Result details
Results per page
Select all
Export citation of selected articles as:
18 pages, 10483 KB  
Article
The Effect of Low-Temperature Plasma Treatment on the Adhesive Bonding Performance of CF/PEKK Surfaces
by Liwei Wen, Zhentao Dong and Ruozhou Wang
Surfaces 2025, 8(3), 41; https://doi.org/10.3390/surfaces8030041 - 20 Jun 2025
Cited by 1 | Viewed by 994
Abstract
Polyaryletherketone (PAEK) polymers inherently exhibit low surface activity, leading to poor adhesive bonding performance when using epoxy-based adhesives. In this study, low-temperature plasma surface modification was conducted on carbon fiber-reinforced polyetherketone ketone (CF/PEKK) composites to investigate the influence of plasma treatment parameters on [...] Read more.
Polyaryletherketone (PAEK) polymers inherently exhibit low surface activity, leading to poor adhesive bonding performance when using epoxy-based adhesives. In this study, low-temperature plasma surface modification was conducted on carbon fiber-reinforced polyetherketone ketone (CF/PEKK) composites to investigate the influence of plasma treatment parameters on their lap shear strength. Surface characterization was systematically performed using scanning electron microscopy (SEM), X-ray photoelectron spectroscopy (XPS), and contact angle analysis to evaluate morphological, chemical, and wettability changes induced via plasma treatment. The results demonstrated a significant enhancement in lap shear strength after plasma treatment. Optimal bonding performance was achieved at a treatment speed of 10 mm/s and a nozzle-to-substrate distance of 5 mm, yielding a maximum shear strength of 28.28 MPa, a 238% improvement compared to the untreated control. Notably, the failure mode transitioned from interfacial fracture in the untreated sample to a mixed-mode failure dominated by cohesive failure of the adhesive and substrate. Plasma treatment substantially reduced the contact angle of CF/PEKK, indicating improved surface wettability. SEM micrographs revealed an increased micro-porous texture on the treated surface, which enhanced mechanical interlocking between the composite and adhesive. XPS analysis confirmed compositional alterations, specifically elevated oxygen-containing functional groups on the plasma-treated surface. These modifications facilitated stronger chemical bonding between CF/PEKK and the epoxy resin, thereby validating the efficacy of plasma treatment in optimizing surface chemical activity and adhesion performance. Full article
Show Figures

Graphical abstract

23 pages, 11273 KB  
Article
The In-Plane Compression Response of Thermoplastic Composites: Effects of High Strain Rate and Type of Thermoplastic Matrix
by Svetlana Risteska, Marco Peroni, Sara Srebrenkoska, Vineta Srebrenkoska, Tatjana Glaskova-Kuzmina and Andreas Hornig
J. Compos. Sci. 2025, 9(6), 293; https://doi.org/10.3390/jcs9060293 - 7 Jun 2025
Viewed by 995
Abstract
Designing thermoplastic composites for particular uses requires understanding their dynamic mechanical behaviour, which affects how well they operate in practical settings. The Split Hopkinson pressure bar (SHPB) test allows for evaluating these materials’ responses to high strain rates. In this study, an in-situ [...] Read more.
Designing thermoplastic composites for particular uses requires understanding their dynamic mechanical behaviour, which affects how well they operate in practical settings. The Split Hopkinson pressure bar (SHPB) test allows for evaluating these materials’ responses to high strain rates. In this study, an in-situ laser-assisted fibre placement (LAFP) machine has been utilised to produce laminate composites with varied designs, i.e., different angles of layers [0/45/–45/90]4s, using three types of thermoplastic tapes (UD-CF/PPS, UD-CF/PEEK, and UD-CF/PEKK). Using a servo-hydraulic testing machine and SHPB apparatus, we have examined the dynamic compressive behaviour of thermoplastic laminate composites with various matrices (PPS, PEEK, and PEKK) in in-plane directions and at strain rates of approx. 0.001, 0.1, 10, 800, 1800/s. Experimental results indicate that the type of thermoplastic matrix and strain rate significantly affect how the laminate composites behave. The in-plane compressive strength and modulus increase approximately linearly with the strain rate. According to the fracture of morphological pictures, the main failure mechanism of all three types of specimens is shear failure under in-plane compression loads, which is followed by delamination and burst. Full article
(This article belongs to the Special Issue Additive Manufacturing of Advanced Composites, 2nd Edition)
Show Figures

Figure 1

13 pages, 12217 KB  
Article
The Effect of Repass Treatment on the Mechanical Properties and Microstructure of CF/PEKK Thermoplastic Composite Laminates Manufactured Using Laser-Assisted Automated Fiber Placement
by Xi Zhang, Xiaodong He, Hualian Li and Shenglai Wang
Polymers 2025, 17(1), 73; https://doi.org/10.3390/polym17010073 - 30 Dec 2024
Viewed by 1412
Abstract
The emerging thermoplastic composite material PEKK exhibits superior thermal stability compared to PEEK. In this work, CF/PEKK laminates were fabricated using laser-assisted heating in AFP, and the effects of repass treatment on the mechanical properties and microstructure of the laminates were compared. The [...] Read more.
The emerging thermoplastic composite material PEKK exhibits superior thermal stability compared to PEEK. In this work, CF/PEKK laminates were fabricated using laser-assisted heating in AFP, and the effects of repass treatment on the mechanical properties and microstructure of the laminates were compared. The results show that after a single repass treatment, the tensile strength of the laminates increased by 28.39%, while the interlaminar shear strength increased by 11.9%, likely due to the distinct load-bearing components under the two loading conditions. Additionally, the repass treatment significantly improves the fiber/resin interface and surface roughness of the laminates. Full article
(This article belongs to the Section Polymer Composites and Nanocomposites)
Show Figures

Figure 1

22 pages, 4364 KB  
Article
Online and Ex Situ Damage Characterization Techniques for Fiber-Reinforced Composites under Ultrasonic Cyclic Three-Point Bending
by Aravind Premanand, Mario Prescher, Michael Rienks, Lutz Kirste and Frank Balle
Polymers 2024, 16(6), 803; https://doi.org/10.3390/polym16060803 - 13 Mar 2024
Cited by 6 | Viewed by 2307
Abstract
With ultrasonic fatigue testing (UFT), it is possible to investigate the damage initiation and accumulation from the weakest link of the composite material in the very high cycle fatigue (VHCF) regime in a shorter time frame than conventional fatigue testing. However, the thermal [...] Read more.
With ultrasonic fatigue testing (UFT), it is possible to investigate the damage initiation and accumulation from the weakest link of the composite material in the very high cycle fatigue (VHCF) regime in a shorter time frame than conventional fatigue testing. However, the thermal influence on the mechanical fatigue of composites and the scatter in fatigue data for composites under ultrasonic cyclic three-point bending loading still need to be investigated. In this study, we conducted interrupted constant-amplitude fatigue experiments on a carbon-fiber satin-fabric reinforced in poly-ether-ketone-ketone (CF-PEKK) composite material. These experiments were carried out using a UFT system, which operates at a cyclic frequency of 20 kHz with a pulse–pause sequence. Various parameters, such as the CF-PEKK specimen’s surface temperature, acoustic activity, and the ultrasonic generator’s input resonance parameters, were measured during cyclic loading. During experiment interruption, stiffness measurement and volumetric damage characterization in the CF-PEKK specimens using 3D X-ray microscopy (XRM) were performed. The locations of damage initiation and accumulation and their influence on the changes in in situ parameters were characterized. Under fixed loading conditions, damage accumulation occurred at different locations, leading to scattering in fatigue life data. Further, the damage population decreased from the surface to the bulk of the composite material. Full article
(This article belongs to the Special Issue Damage and Failure Analysis of Polymer-Based Composites)
Show Figures

Figure 1

13 pages, 4790 KB  
Article
Repair of Impacted Thermoplastic Composite Laminates Using Induction Welding
by Vedant Modi, Aswani Kumar Bandaru, Karthik Ramaswamy, Conor Kelly, Conor McCarthy, Tomas Flanagan and Ronan O’Higgins
Polymers 2023, 15(15), 3238; https://doi.org/10.3390/polym15153238 - 29 Jul 2023
Cited by 11 | Viewed by 4912
Abstract
The lack of well-developed repair techniques limits the use of thermoplastic composites in commercial aircraft, although trends show increased adoption of composite materials. In this study, high-performance thermoplastic composites, viz., carbon fibre (CF) reinforced Polyetherketoneketone (PEKK) and Polyether ether ketone (PEEK), were subjected [...] Read more.
The lack of well-developed repair techniques limits the use of thermoplastic composites in commercial aircraft, although trends show increased adoption of composite materials. In this study, high-performance thermoplastic composites, viz., carbon fibre (CF) reinforced Polyetherketoneketone (PEKK) and Polyether ether ketone (PEEK), were subjected to low-velocity impact tests at 20 J. Post-impact, the damaged panels were repaired using an induction welder by applying two different methods: induction welding of a circular patch to the impacted area of the laminate (RT-1); and induction welding of the impacted laminates under the application of heat and pressure (RT-2). The panels were subjected to compression-after-impact and repair (CAI-R), and the results are compared with those from the compression-after-impact (CAI) tests. For CF/PEKK, the RT-1 and RT-2 resulted in a 13% and 7% higher strength, respectively, than the value for CAI. For CF/PEEK, the corresponding values for RT-1 and RT-2 were higher by 13% and 17%, respectively. Further analysis of the damage and repair techniques using ultrasonic C-scans and CAI-R tests indicated that induction welding can be used as a repair technique for industrial applications. The findings of this study are promising for use in aerospace and automotive applications. Full article
(This article belongs to the Special Issue Processing and Characterization of Polymeric Composites)
Show Figures

Figure 1

13 pages, 2559 KB  
Article
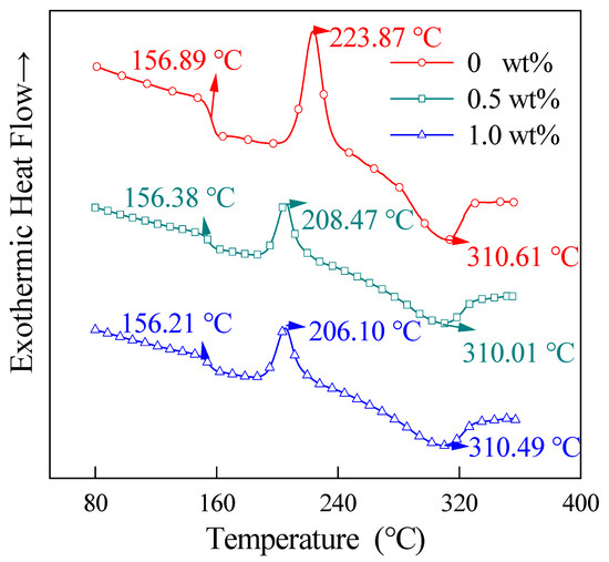
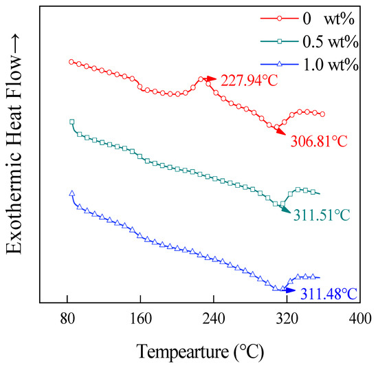
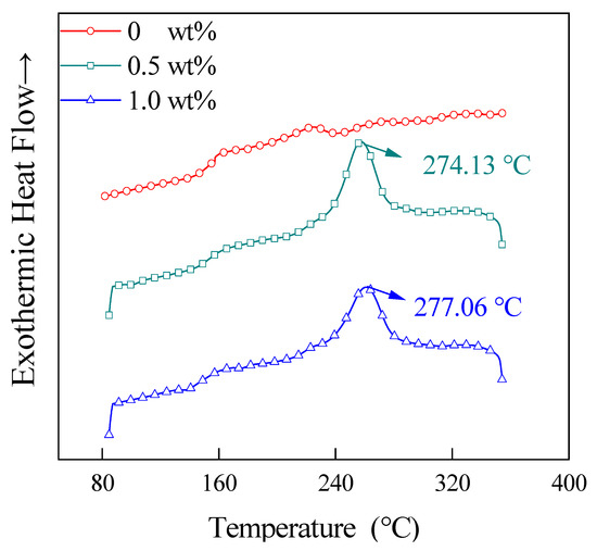
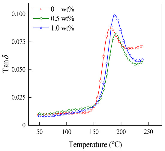
Effect of Carbon Nanotubes on the Mechanical, Crystallization, Electrical and Thermal Conductivity Properties of CNT/CCF/PEKK Composites
by Xu Yan, Liang Qiao, Hao Tan, Hongsheng Tan, Changheng Liu, Kaili Zhu, Zhitao Lin and Shanshan Xu
Materials 2022, 15(14), 4950; https://doi.org/10.3390/ma15144950 - 15 Jul 2022
Cited by 11 | Viewed by 2635
Abstract
Carbon nanotube/continuous carbon fiber–reinforced poly(etherketoneketone) (CNT/CCF/PEKK) prepreg tapes were prepared by the wet powder impregnation method, and then the prepreg tapes were molded into laminates. The effects of carbon nanotubes on the mechanical properties, conductivity, thermal conductivity and crystallinity of the composites were [...] Read more.
Carbon nanotube/continuous carbon fiber–reinforced poly(etherketoneketone) (CNT/CCF/PEKK) prepreg tapes were prepared by the wet powder impregnation method, and then the prepreg tapes were molded into laminates. The effects of carbon nanotubes on the mechanical properties, conductivity, thermal conductivity and crystallinity of the composites were studied by universal testing machine, thermal conductivity and resistivity tester, dynamic mechanical analyzer (DMA) and differential scanning calorimeter (DSC). The results show that when the content of carbon nanotubes is 0.5 wt% (relative to the mass of PEKK resin, the same below), the flexural strength and interlaminar shear strength of the laminates reach the maximum, which are increased by 15.99% and 18.16%, respectively, compared with the laminates without carbon nanotubes. The results of conductivity and thermal conductivity show that the higher the content of carbon nanotubes, the better the conductivity and thermal conductivity of the material. DSC results show that the addition of CNT promoted the crystallization of PEKK in the material and decreased the cold crystallization of PEKK. DMA results show that the deformation resistance of the material can be improved by adding an appropriate amount of CNT and the bonding between CF and PEKK can be enhanced, while excessive CNT destroys this phenomenon. Full article
Show Figures

Figure 1

Back to TopTop