Sign in to use this feature.

Years

Between: -

Subjects

remove_circle_outline
remove_circle_outline
remove_circle_outline
remove_circle_outline
remove_circle_outline
remove_circle_outline
remove_circle_outline
remove_circle_outline

Journals

Article Types

Countries / Regions

Search Results (28)

Search Parameters:
Keywords = CD31-positive relative surface

Order results
Result details
Results per page
Select all
Export citation of selected articles as:
26 pages, 4805 KB  
Article
Comparison of Heavy Metal Pollution, Health Risk, and Sources Between Surface and Deep Layers for an Agricultural Region Within the Pearl River Delta: Implications for Soil Environmental Research
by Zhenwei Bi, Yu Guo, Zhao Wang, Zhaoyu Zhu, Mingkun Li and Tingping Ouyang
Toxics 2025, 13(7), 548; https://doi.org/10.3390/toxics13070548 - 29 Jun 2025
Viewed by 850
Abstract
During the past decades, agricultural soil heavy metal pollution has been becoming increasingly severe due to urbanization and industrialization. However, the impact of externally input heavy metals on deep soils remains unclear because most previous relevant research only focused on surface soils. In [...] Read more.
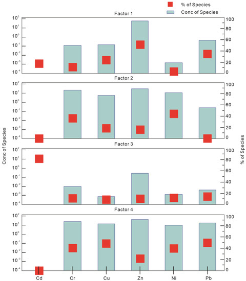
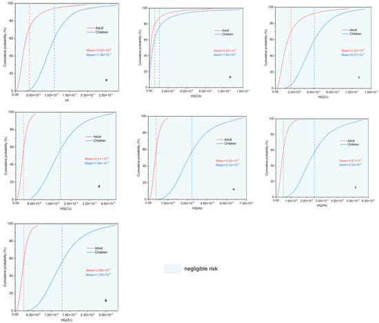
During the past decades, agricultural soil heavy metal pollution has been becoming increasingly severe due to urbanization and industrialization. However, the impact of externally input heavy metals on deep soils remains unclear because most previous relevant research only focused on surface soils. In the present study, Concentrations of eight heavy metals (Cu, Zn, Ni, Pb, Cr, Cd, As, and Hg) were determined for 72 pairs of surface and deep soil samples collected from an agricultural region close to the Pearl River estuary. Subsequently, heavy metal pollution and potential health risks were assessed using the Geo-accumulation Index and Potential Ecological Risk Index, a dose response model and Monte Carlo simulation, respectively. Principal component analysis (PCA) and the positive matrix factorization (PMF) receptor model were combined to analyze heavy metal sources. The results indicated that average concentrations of all heavy metals exceeded their corresponding background values. Cd was identified as the main pollutant due to its extremely high values of Igeo and Er. Unacceptable potential heavy metal non-carcinogenic and carcinogenic risks indicated by respectively calculated HI and TCR, higher than thresholds 1.0 and 1.0 × 10−4, mainly arose from heavy metals As, Cd, Cr, and Ni through food ingestion and dermal absorption. Anthropogenic sources respectively contributed 19.7% and 38.9% for soil As and accounted for the main contributions to Cd, Cu, and Hg (Surface: 90.2%, 65.4%, 67.3%; Deep: 53.8%, 54.6%, 56.2%) within surface and deep layers. These results indicate that soil heavy metal contents with deep layers were also significantly influenced by anthropogenic input. Therefore, we suggest that both surface and deep soils should be investigated simultaneously to gain relatively accurate results for soil heavy metal pollution and source apportionments. Full article
(This article belongs to the Section Human Toxicology and Epidemiology)
Show Figures

Graphical abstract

16 pages, 3242 KB  
Article
Characterization of Fibronectin-Adherent, Non-Fibronectin-Adherent, and Explant-Derived Human Dental Pulp Stem Cell Populations
by Heoijin Kim, Shelley J. Williams and John S. Colombo
Dent. J. 2025, 13(4), 159; https://doi.org/10.3390/dj13040159 - 2 Apr 2025
Viewed by 735
Abstract
Background/Objectives: Dental pulp stem cells (DPSCs) are of significant interest due to their mesenchymal lineage and relative availability from extracted teeth. This study aims to examine the relationship between fibronectin-adherent, non-fibronectin-adherent, and explant-derived DPSC populations in terms of the population doubling rate in [...] Read more.
Background/Objectives: Dental pulp stem cells (DPSCs) are of significant interest due to their mesenchymal lineage and relative availability from extracted teeth. This study aims to examine the relationship between fibronectin-adherent, non-fibronectin-adherent, and explant-derived DPSC populations in terms of the population doubling rate in culture and the expression of mesenchymal cell surface markers and their capacity for osteodifferentiation. Methods: Human pulp tissue was removed from healthy extracted human teeth, enzymatically digested prior to seeding onto fibronectin-coated plates, and left to adhere for 20 min, yielding a fibronectin-adherent population. The remaining non-adherent cells were transferred and designated ‘non-fibronectin-adherent.’ Intact pulp was placed on uncoated plastic for 5 days, with the migrated cells designated ‘explant-derived’. DPSCs from these populations were examined in terms of population doubling rates, the expression of CD90, CD44, CD105, and CD73, and the expression of RUNX2, SPP1, and BGLAP after 7 days in osteoinductive media. Results: The fibronectin-adherent cells had the greatest population doubling over time. All populations demonstrated comparable percentages of cells positive for mesenchymal markers, though individual marker expression varied slightly. The explant-derived cells showed increased expression of RUNX2 after 7 days in osteoinductive media, while the treated single-cell-suspension-derived populations showed increased expression of SPP1 mRNA. Conclusions: Fibronectin enrichment resulted in a population with the greatest rate of population doubling over extended culture compared to the other two populations. The proportion of cells positive for all four mesenchymal surface markers was the same between populations. The fibronectin-adherent and non-adherent cultures may have responded more rapidly to osteoinductive media than the explant-derived cells. Full article
(This article belongs to the Special Issue Dentistry in the 21st Century: Challenges and Opportunities)
Show Figures

Figure 1

20 pages, 12465 KB  
Article
Status, Sources, and Risks of Heavy Metals in Surface Sediments of Baiyangdian Lake and Inflow Rivers, North China
by Hongwei Liu, Yaonan Bai, Yihang Gao, Bo Han, Jinjie Miao, Yanchao Shi and Fengtian Yang
Water 2024, 16(19), 2723; https://doi.org/10.3390/w16192723 - 25 Sep 2024
Cited by 1 | Viewed by 2228
Abstract
Baiyangdian Lake, recognized as the largest freshwater body in northern China, plays a vital role in maintaining the regional eco-environment. Prior studies have pointed out the contamination of sediments with heavy metals, raising concerns about eco-environmental challenges. Therefore, it is imperative to evaluate [...] Read more.
Baiyangdian Lake, recognized as the largest freshwater body in northern China, plays a vital role in maintaining the regional eco-environment. Prior studies have pointed out the contamination of sediments with heavy metals, raising concerns about eco-environmental challenges. Therefore, it is imperative to evaluate the current pollution levels and ecological threats related to heavy metals found in the sediments of Baiyangdian Lake as well as in its inflow rivers. In May 2022, surface sediments with a depth of less than 20 cm were analyzed for Cu, Zn, Pb, Cr, Ni, As, Cd, and Hg to determine the pollution status, identify sources of pollution, and evaluate potential ecological risks. A range of evaluation methods used by predecessors such as geo-accumulation index (Igeo), enrichment factor (EF), ecological risk index (RI), sediment quality guidelines (SQGs), positive matrix factorization (PMF), absolute principal component score-multiple linear regression model (APCS-MLR), chemical mass balance (CMB), and UNMIX model were analyzed. After comparison, multi-methods including the geo-accumulation index (Igeo), absolute principal component score-multiple linear regression model (APCS-MLR), ecological risk index (RI), and sediment quality guidelines (SQGs) were utilized this time, leading to a better result. Findings reveal that pollution levels are generally low or non-existent, with only 1.64% of sampling sites showing close to moderate pollution levels for Cu, Pb, and Zn, and 4.92% and 1.64% of sites exhibiting close to moderate and moderate pollution levels for Cd, respectively. The main contributors to heavy metal presence are pinpointed as industrial wastewater discharge, particularly Cu, Zn, Pb, Cd, and Hg. The ecological risks are also relatively low, with 4.92%, 1.64%, and 1.64% of sampling sites demonstrating close to moderate, moderate, and strong risks in the inflow rivers, respectively. Additionally, only one site shows moderate potential biological toxicity, while the rest display non-toxicity. These findings will update our cognition and offer a scientific basis for pollution treatment and ecosystem enhancement for government management. Full article
(This article belongs to the Special Issue Soil and Groundwater Quality and Resources Assessment)
Show Figures

Figure 1

16 pages, 2204 KB  
Article
In Situ Analyses of Placental Inflammatory Response to SARS-CoV-2 Infection in Cases of Mother–Fetus Vertical Transmission
by Denise Morotti, Silvia Tabano, Gabriella Gaudioso, Tatjana Radaelli, Giorgio Alberto Croci, Nicola Bianchi, Giulia Ghirardi, Andrea Gianatti, Luisa Patanè, Valeria Poletti de Chaurand, David A. Schwartz, Mohamed A. A. A. Hagazi and Fabio Grizzi
Int. J. Mol. Sci. 2024, 25(16), 8825; https://doi.org/10.3390/ijms25168825 - 13 Aug 2024
Viewed by 2236
Abstract
It has been shown that vertical transmission of the SARS-CoV-2 strain is relatively rare, and there is still limited information on the specific impact of maternal SARS-CoV-2 infection on vertical transmission. The current study focuses on a transcriptomics analysis aimed at examining differences [...] Read more.
It has been shown that vertical transmission of the SARS-CoV-2 strain is relatively rare, and there is still limited information on the specific impact of maternal SARS-CoV-2 infection on vertical transmission. The current study focuses on a transcriptomics analysis aimed at examining differences in gene expression between placentas from mother–newborn pairs affected by COVID-19 and those from unaffected controls. Additionally, it investigates the in situ expression of molecules involved in placental inflammation. The Papa Giovanni XXIII Hospital in Bergamo, Italy, has recorded three instances of intrauterine transmission of SARS-CoV-2. The first two cases occurred early in the pandemic and involved pregnant women in their third trimester who were diagnosed with SARS-CoV-2. The third case involved an asymptomatic woman in her second trimester with a twin pregnancy, who unfortunately delivered two stillborn fetuses due to the premature rupture of membranes. Transcriptomic analysis revealed significant differences in gene expression between the placentae of COVID-19-affected mother/newborn pairs and two matched controls. The infected and control placentae were matched for gestational age. According to the Benjamani–Hochberg method, 305 genes met the criterion of an adjusted p-value of less than 0.05, and 219 genes met the criterion of less than 0.01. Up-regulated genes involved in cell signaling (e.g., CCL20, C3, MARCO) and immune response (e.g., LILRA3, CXCL10, CD48, CD86, IL1RN, IL-18R1) suggest their potential role in the inflammatory response to SARS-CoV-2. RNAscope® technology, coupled with image analysis, was utilized to quantify the surface area covered by SARS-CoV-2, ACE2, IL-1β, IL-6, IL-8, IL-10, and TNF-α on both the maternal and fetal sides of the placenta. A non-statistically significant gradient for SARS-CoV-2 was observed, with a higher surface coverage on the fetal side (2.42 ± 3.71%) compared to the maternal side (0.74 ± 1.19%) of the placenta. Although not statistically significant, the surface area covered by ACE2 mRNA was higher on the maternal side (0.02 ± 0.04%) compared to the fetal side (0.01 ± 0.01%) of the placenta. IL-6 and IL-8 were more prevalent on the fetal side (0.03 ± 0.04% and 0.06 ± 0.08%, respectively) compared to the maternal side (0.02 ± 0.01% and 0.02 ± 0.02%, respectively). The mean surface areas of IL-1β and IL-10 were found to be equal on both the fetal (0.04 ± 0.04% and 0.01 ± 0.01%, respectively) and maternal sides of the placenta (0.04 ± 0.05% and 0.01 ± 0.01%, respectively). The mean surface area of TNF-α was found to be equal on both the fetal and maternal sides of the placenta (0.02 ± 0.02% and 0.02 ± 0.02%, respectively). On the maternal side, ACE-2 and all examined interleukins, but not TNF-α, exhibited an inverse mRNA amount compared to SARS-CoV-2. On the fetal side, ACE-2, IL-6 and IL-8 were inversely correlated with SARS-CoV-2 (r = −0.3, r = −0.1 and r = −0.4, respectively), while IL-1β and IL-10 showed positive correlations (r = 0.9, p = 0.005 and r = 0.5, respectively). TNF-α exhibited a positive correlation with SARS-CoV-2 on both maternal (r = 0.4) and fetal sides (r = 0.9) of the placenta. Further research is needed to evaluate the correlation between cell signaling and immune response genes in the placenta and the vertical transmission of SARS-CoV-2. Nonetheless, the current study extends our comprehension of the molecular and immunological factors involved in SARS-CoV-2 placental infection underlying maternal–fetal transmission. Full article
(This article belongs to the Special Issue Physiology and Pathophysiology of Placenta 2.0)
Show Figures

Figure 1

12 pages, 1833 KB  
Article
Adsorption Behaviour of Pb and Cd on Graphene Oxide Nanoparticle from First-Principle Investigations
by Preslie Sala Nianga-Obambi, Dick Hartmann Douma, Anne Justine Etindele, Abdulrafiu Tunde Raji, Brice Rodrigue Malonda-Boungou, Bernard M’Passi-Mabiala and Stephane Kenmoe
Materials 2024, 17(12), 2831; https://doi.org/10.3390/ma17122831 - 10 Jun 2024
Cited by 1 | Viewed by 1648
Abstract
Graphene oxide (GO) is considered as a promising adsorbent material for the removal of metal from aqueous environments. Here, we have used the density functional theory (DFT) approach and a combination of parameters to characterise the interactions of GO with lead (Pb) and [...] Read more.
Graphene oxide (GO) is considered as a promising adsorbent material for the removal of metal from aqueous environments. Here, we have used the density functional theory (DFT) approach and a combination of parameters to characterise the interactions of GO with lead (Pb) and cadmium (Cd), i.e., typical harmful metals often found in water. Our model systems consist of a singly and doubly adsorbed neutral (Pb0, Cd0) and charged (Pb2+, Cd2+) atoms adsorbed on the GO nanoparticle of the chemical formula C30H14O15. We show that a single charged metal ion binds more strongly than a neutral atom of the same type. Moreover, to determine the possibility of multiple adsorptions of the GO nanoparticle, two metal atoms of the same species were co-adsorbed on its surface. We found a site-dependent adsorption energy such that when two atoms of the same specie are adsorbed at sites Si and Sj, the binding energy per atom depends on whether one of the two atoms is adsorbed firstly on the Si or Sj sites. Furthermore, the binding energy per atom for the two co-adsorbed atoms of the same specie (i.e., neutral or charged) is less than the binding energy of a singly adsorbed atom. This suggests that atoms may become less likely to be adsorbed on the GO nanoparticle when their concentration increases. We adduce the origin of this observation to be interplay between the metal–metal interaction on the one hand and GO–metal on the other, with the former resulting in less binding for the charged adsorbed metals in particular, due to repulsive interaction between two positively charged ions. The frontier molecular orbitals analysis and the calculated global reactivity descriptors of the respective GO–metal complexes revealed that all the GO–metal complexes have a smaller HOMO–LUMO gap (HLG) relative to that of pristine metal-free GO nanoparticle. This may indicate that although the GO–metal complexes are stable, they are less stable compared to metal-free GO nanoparticles. The negative values of the chemical potentials obtained for all the GO–metal complexes further confirm their stability. Our work differs from previous experimental studies in that those lacked details of the interaction mechanisms between GO, Pb and Cd, as well as previous theoretical studies which used limited numbers of parameters to characterise the GO–metal interactions. Rather, we present a set of parameters or descriptors which provide comprehensive physical and electronic characterisation of GO–metal systems as obtained via the DFT calculations. These parameters, along with those reported in previous studies, may find applications in rational design and high-throughput screening of graphene-based materials for water purification, as an example. Full article
(This article belongs to the Special Issue Metal Oxide Semiconductors: Synthesis, Structure, and Applications)
Show Figures

Figure 1

14 pages, 2541 KB  
Article
Mediterranean Wildfires’ Effect on Soil Quality and Properties: A Case from Northern Euboea, Greece
by Ifigeneia Megremi, Eleni Stathopoulou, Efstathios Vorris, Marios Kostakis, Sotirios Karavoltsos, Nikolaos Thomaidis and Charalampos Vasilatos
Land 2024, 13(3), 325; https://doi.org/10.3390/land13030325 - 3 Mar 2024
Cited by 6 | Viewed by 2395
Abstract
Physical and chemical soil properties are affected by wildfires. Post-wildfire runoff may contain nutrient loads and particulate matter that negatively impact soil, surface water, and groundwater. According to data from the Copernicus Emergency Management Service, devastating wildfires on Northern Euboea Island, Greece, in [...] Read more.
Physical and chemical soil properties are affected by wildfires. Post-wildfire runoff may contain nutrient loads and particulate matter that negatively impact soil, surface water, and groundwater. According to data from the Copernicus Emergency Management Service, devastating wildfires on Northern Euboea Island, Greece, in August 2021 destroyed more than 50,910 ha. Coniferous and broad-leaved forests mostly covered the affected area, according to CORINE. Topsoil and subsoil samples were collected from burned areas and analyzed for physicochemical parameters: pH, electrical conductivity, and organic carbon. After digestion with aqua regia, the Pb, Zn, Cd, Cu, Mn, Fe, Cr, Ni, Co, and As ‘pseudo total’ contents were determined. Leaching experiments were conducted to evaluate the levels of potentially toxic elements leaching from soils and the impact of environmental conditions. The leachates were analyzed for Pb, Zn, Cd, Cu, Mn, Fe, Cr, Ni, Co, As, Ca, Mg, Na, and K. Overall, most of the concentrations of the studied elements were higher in fire-affected soils than in unburned ones. Similar findings for element concentrations have been confirmed between topsoils and subsoils, with the latter exhibiting lower values. The increased ‘pseudo total’ values of Cr, Ni, Fe, Co, and Mn in all the soil samples, along with the medium to high positive correlations between them, indicate that geogenic factors play a major role in controlling element enrichment. High concentrations of Mn, Ni, and As in soil leachates exceeded the EU maximum permissible limits, indicating a potential ecological risk to natural water quality and, subsequently, to human health. The correlation coefficients between elements in fire-affected and unburned soils suggested that their geogenic origins were mainly associated with the ultramafic rocks and related ores of the study area. The elements’ concentrations in the leachates were significantly lower than their ‘pseudo total’ contents in soil, with no correlation between them. The reducing order of elements leachability did not coincide with the decreasing order of elements ‘pseudo total’ median values in soils. The decreasing order of element abundance in soil leachates coincides with their relative extractability and differs from the decreasing order of their ‘pseudo total’ median values in soils. Neutral to alkaline, soil pH conditions and organic carbon content, which substantially influence the retention and mobility of elements, presented different patterns among the studied elements, with only Mn, Cr, and Co showing correlations. The increased content of organic matter in fire-affected soils suggests that the combustion of vegetation was incomplete. Full article
Show Figures

Figure 1

13 pages, 1740 KB  
Article
Intimal CD31-Positive Relative Surfaces Are Associated with Systemic Inflammatory Markers and Maturation of Arteriovenous Fistula in Dialysis Patients
by Réka Kaller, Eliza Russu, Emil Marian Arbănași, Adrian Vasile Mureșan, Márk Jakab, Claudiu Constantin Ciucanu, Eliza Mihaela Arbănași, Bogdan Andrei Suciu, Ioan Hosu, Liliana Demian and Emőke Horváth
J. Clin. Med. 2023, 12(13), 4419; https://doi.org/10.3390/jcm12134419 - 30 Jun 2023
Cited by 11 | Viewed by 2540
Abstract
Background: Arteriovenous fistula dysfunction is a widely disputed subject in the scientific literature on end-stage kidney disease (ESKD). The main cause of mortality and morbidity in these patients is the non-maturation or dysfunction of the arteriovenous fistula. Despite the many complications, the native [...] Read more.
Background: Arteriovenous fistula dysfunction is a widely disputed subject in the scientific literature on end-stage kidney disease (ESKD). The main cause of mortality and morbidity in these patients is the non-maturation or dysfunction of the arteriovenous fistula. Despite the many complications, the native arteriovenous fistula remains the gold standard in the treatment of these patients requiring renal replacement. This study aims to discuss the predictive role of some systemic inflammatory biomarkers (NLR, PLR, SII, IL-6), intimal hyperplasia, and neoangiogenesis (characterized by intimal-media CD31-positive relative surface) in arteriovenous fistula maturation failure. Methods: The present study was designed as an observational, analytical, and prospective study which included patients diagnosed with ESKD with indications of radio-cephalic arteriovenous fistula (RCAVF). Demographic data, comorbidities, preoperative laboratory data and histological/digital morphometry analysis results were processed. The patients included were divided into two groups based on their AVF maturation status at 8 weeks: “Maturation” (Group 1) and “Failed Maturation” (Group 2). Results: There was no difference in the demographic data. In terms of comorbidities, the second group had a greater incidence of heart failure (p = 0.03), diabetes (p = 0.04), peripheral artery disease (p = 0.002), and obesity (p = 0.01). Additionally, regarding the laboratory findings, these patients had higher levels of serum uric acid (p = 0.0005), phosphates (p < 0.0001), and creatinine (p = 0.02), as well as lower levels of total calcium (p = 0.0002), monocytes (p = 0.008), and lymphocytes (p < 0.0001). Moreover, all inflammatory markers (p = 0.001; p < 0.0001; p = 0.006, and p = 0.03) and Ca-P product (p < 0.0001) had higher baseline values in Group 2. Upon immunohistochemical analysis, regarding the density of neoformed vessels, there was a higher incidence of CD31-positive surfaces (p = 0.006) and CD31-positive relative surfaces (p = 0.001); the NLR (r = 0.323; p = 0.03), PLR (r = 0.381; p = 0.04), SII (r = 0.376; p = 0.03), and IL-6 (r = 0.611; p < 0.001) are all significantly correlated with vascular density, as evidenced by CD31. Conclusions: Heart failure, peripheral artery disease, obesity, and diabetes, as well as the systemic inflammatory markers (NLR, PLR, SII, IL-6), intimal hyperplasia, and CD31-positive relative surfaces are predictors of arteriovenous fistula maturation failures. Full article
(This article belongs to the Special Issue Clinical Advances and Future Perspectives in Vascular Surgery)
Show Figures

Figure 1

20 pages, 15669 KB  
Article
Contamination Fingerprints in an Inactive W (Sn) Mine: The Regoufe Mine Study Case (Northern Portugal)
by Helena Sant’Ovaia, Cláudia Cruz, Alexandra Guedes, Helena Ribeiro, Patrícia Santos, Sónia Pereira, Jorge Espinha Marques, Maria dos Anjos Ribeiro, Catarina Mansilha, Helena Cristina Brites Martins, Bruno Valentim, Joana Torres, Ilda Abreu, Fernando Noronha and Deolinda Flores
Minerals 2023, 13(4), 497; https://doi.org/10.3390/min13040497 - 31 Mar 2023
Cited by 3 | Viewed by 2596
Abstract
The target of this study was the tungsten Regoufe mine, whose exploitation stopped in the 1970s. When the mine closed, an unacceptable legacy constituted of mining waste tailings and the ruins of infrastructure was left behind. This work assessed the soil, plants, and [...] Read more.
The target of this study was the tungsten Regoufe mine, whose exploitation stopped in the 1970s. When the mine closed, an unacceptable legacy constituted of mining waste tailings and the ruins of infrastructure was left behind. This work assessed the soil, plants, and water contamination in the mining area; namely their content in potentially toxic elements (PTEs). The global impact of PTEs in the Regoufe mine surface soil points to a very high to ultrahigh degree of contamination of the area having a serious ecological risk level, mainly related to As and Cd contributions. However, establishing the direct relation between As contamination and the anthropogenic effects caused by the mining process cannot be carried out in a straightforward manner, since the soils were already enriched in metals and metalloids as a result of the geological processes that gave origin to the mineral deposits. The studies performed on the plants revealed that the PTE levels in the plants were lower than in the soil, but site-specific soil concentrations in As and Pb positively influence bioaccumulation in plants. The magnetic studies showed the presence of magnetic technogenic particles concentrated in the magnetic fraction, in the form of magnetic spherules. The magnetic technogenic particles probably result from temperature increases induced by some technological process related to ore processing/mining activity. The PTEs in the surface and groundwater samples were similar and relatively low, being unlikely to pose potential health and environmental risks. Arsenic (As) constituted the exception, with levels above reference for drinking water purposes. Full article
(This article belongs to the Special Issue Geochemistry, Environmental Impact and Remediation of Mining Areas)
Show Figures

Figure 1

19 pages, 3031 KB  
Article
Development and Evaluation of Recombinant B-Cell Multi-Epitopes of PDHA1 and GAPDH as Subunit Vaccines against Streptococcus iniae Infection in Flounder (Paralichthys olivaceus)
by Xiuzhen Sheng, Honghua Zhang, Min Liu, Xiaoqian Tang, Jing Xing, Heng Chi and Wenbin Zhan
Vaccines 2023, 11(3), 624; https://doi.org/10.3390/vaccines11030624 - 10 Mar 2023
Cited by 11 | Viewed by 3032
Abstract
Streptococcus iniae is a severe Gram-positive pathogen that can infect a wide range of freshwater and marine fish species. In continuation of our earlier studies on the development of S. iniae vaccine candidates, pyruvate dehydrogenase E1 subunit alpha (PDHA1) and glyceraldehyde-3-phosphate dehydrogenase (GAPDH) [...] Read more.
Streptococcus iniae is a severe Gram-positive pathogen that can infect a wide range of freshwater and marine fish species. In continuation of our earlier studies on the development of S. iniae vaccine candidates, pyruvate dehydrogenase E1 subunit alpha (PDHA1) and glyceraldehyde-3-phosphate dehydrogenase (GAPDH) were highly efficacious in protecting flounder (Paralichthys olivaceus) against S. iniae. In the present study, to investigate the potential of multi-epitope vaccination strategy to prevent flounder against S. iniae infection, the liner B-cell epitopes of PDHA1 and GAPDH proteins were predicted using a bioinformatics approach and were identified by immunoassay, and recombinant B-cell multi-epitopes of PDHA1 and GAPDH (rMEPIP and rMEPIG) containing immunodominant epitope-concentrated domains were expressed in Escherichia coli BL21 (DE3) and were used as a subunit vaccine to immunize healthy flounder, while recombinant PDHA1 (rPDHA1), GAPDH (rGAPDH) and formalin-inactivated S. iniae (FKC) served as controls. Then, the immunoprotection efficacy of rMEPIP and rMEPIG was evaluated by determining the percentages of CD4-1+, CD4-2+, CD8β+ T lymphocytes and surface-IgM-positive (sIgM+) lymphocytes in peripheral blood leucocytes (PBLs), spleen leucocytes (SPLs) and head kidney leucocytes (HKLs), as well as total IgM, specific IgM, and relative percentage survival (RPS) post immunization, respectively. It was found that fish immunized with rPDHA1, rGAPDH, rMEPIP, rMEPIG and FKC showed significant increases in sIgM+, CD4-1+, CD4-2+, and CD8β+ lymphocytes and production of total IgM and specific IgM against S. iniae or recombinant proteins rPDHA1 and rGAPDH, which indicated the activation of humoral and cellular immune responses after vaccination. Moreover, RPS rate of the multi-epitope vaccine rMEPIP and rMEPIG groups reached 74.07% and 77.78%, higher than that of rPDHA1 and rGAPDH (62.96% and 66.67%) and KFC (48.15%). These results demonstrated that B-cell multi-epitope protein vaccination, rMEPIP and rMEPIG, could give a better protective effect against S. iniae infection, which provided a promising strategy to design the efficient vaccine in teleost fish. Full article
(This article belongs to the Special Issue State-of-the-Art Vaccine Researches)
Show Figures

Figure 1

17 pages, 4171 KB  
Article
Characteristics of Soil Heavy Metal Pollution and Health Risk Assessment in Urban Parks at a Megacity of Central China
by Ding Li, Qing Lu, Limei Cai, Laiguo Chen and Hanzhi Wang
Toxics 2023, 11(3), 257; https://doi.org/10.3390/toxics11030257 - 10 Mar 2023
Cited by 27 | Viewed by 4027
Abstract
In this study, we compared the concentrations of the heavy metals Cd, Cr, Cu, Zn, Ni, and Pb in the surface soils of urban parks in Wuhan, Hubei Province, with those in the surface soils of urban parks worldwide. The soil contamination data [...] Read more.
In this study, we compared the concentrations of the heavy metals Cd, Cr, Cu, Zn, Ni, and Pb in the surface soils of urban parks in Wuhan, Hubei Province, with those in the surface soils of urban parks worldwide. The soil contamination data were assessed using enrichment factors and spatial analysis of heavy metals using inverse distance weighting and quantitative analysis of heavy metal sources with a positive definite matrix factor (PMF) receptor model. Further, a probabilistic health risk assessment of children and adults using Monte Carlo simulation was performed. The average Cd, Cr, Cu, Zn, Ni, and Pb concentrations in the surface soils of urban parks were 2.52, 58.74, 31.39, 186.28, 27.00, and 34.89 mg·kg−1, respectively, which exceeded the average soil background values in Hubei. From the inverse distance spatial interpolation map, heavy metal contamination was primarily observed to be present to the southwest of the main urban area. The PMF model resolved four sources: mixed traffic and industrial emission, natural, agricultural, and traffic sources, with relative contributions of 23.9%, 19.3%, 23.4%, and 33.4%, respectively. The Monte Carlo health risk evaluation model demonstrated negligible noncancer risks for both adult and child populations, whereas the health effects of Cd and Cr on children were a concern for cancer risks. Full article
(This article belongs to the Section Metals and Radioactive Substances)
Show Figures

Figure 1

8 pages, 1583 KB  
Case Report
Secondary Breast Malignancy from Renal Cell Carcinoma: Challenges in Diagnosis and Treatment—Case Report
by Marko Spasic, Dusan Zaric, Minja Mitrovic, Sanja Milojevic, Nikola Nedovic, Marija Sekulic, Bojan Stojanovic, Dejan Vulovic, Bojan Milosevic, Filip Milutinovic and Neda Milosavljevic
Diagnostics 2023, 13(5), 991; https://doi.org/10.3390/diagnostics13050991 - 5 Mar 2023
Cited by 5 | Viewed by 5417
Abstract
Renal cell carcinoma represents about 2% of all malignant tumours in adults. Metastases of the primary tumour in the breast make up to about 0.5–2% of the cases. Renal cell carcinoma metastases in the breast are extremely rare and have been sporadically recorded [...] Read more.
Renal cell carcinoma represents about 2% of all malignant tumours in adults. Metastases of the primary tumour in the breast make up to about 0.5–2% of the cases. Renal cell carcinoma metastases in the breast are extremely rare and have been sporadically recorded in the literature. In this paper, we present the case of a patient with breast metastasis of renal cell carcinoma 11 years after primary treatment. Case presentation: An 82-year-old female who had right nephrectomy due to renal cancer in 2010 felt a lump in her right breast in August 2021, whereby a clinical examination revealed a tumour at the junction of the upper quadrants of her right breast, about 2 cm, movable toward the base, vaguely limited, and with a rough surface. The axillae were without palpable lymph nodes. Mammography showed a circular and relatively clearly contoured lesion in the right breast. Ultrasound showed an oval lobulated lesion of 19 × 18 mm at the upper quadrants, with strong vascularisation and without posterior acoustic phenomena. A core needle biopsy was performed, and the histopathological findings and obtained immunophenotype indicated a metastatic clear cell carcinoma of renal origin. A metastasectomy was performed. Histopathologically, the tumour was without desmoplastic stroma, comprising predominantly solid-type alveolar arrangements of large moderately polymorphic cells, bright and abundant cytoplasm, and round vesicular cores with focally prominent nuclei. Immunohistochemically, tumour cells were diffusely positive for CD10, EMA, and vimentin, and negative for CK7, TTF-1, renal cell antigen, and E-cadherin. With a normal postoperative course, the patient was discharged on the third postoperative day. After 17 months, there were no new signs of the underlying disease spreading at regular follow-ups. Conclusion: Metastatic involvement of the breast is relatively rare and should be suspected in patients with a prior history of other cancers. Core needle biopsy and pathohistological analysis are required for the diagnosis of breast tumours. Full article
Show Figures

Figure 1

22 pages, 6442 KB  
Article
Geochemical Characteristics of Primary Halos and Prospecting Significance of the Qulong Porphyry Copper–Molybdenum Deposit in Tibet
by Weitao Sun, Youye Zheng, Wei Wang, Xin Feng, Xiaosong Zhu, Zhongyue Zhang, Hongxing Hou, Liangsheng Ge and Hanqin Lv
Minerals 2023, 13(3), 333; https://doi.org/10.3390/min13030333 - 27 Feb 2023
Cited by 6 | Viewed by 3076
Abstract
The Qulong porphyry copper deposit in Tibet is located in the Tethis–Himalaya metallogenic domain, one of the three major porphyry metallogenic domains in the world. At present, the mining area is mainly used for surface mining. The depth revealed by the drilling project [...] Read more.
The Qulong porphyry copper deposit in Tibet is located in the Tethis–Himalaya metallogenic domain, one of the three major porphyry metallogenic domains in the world. At present, the mining area is mainly used for surface mining. The depth revealed by the drilling project is less than 2 km. The potential for deep resources is unknown. Based on an analysis of the geochemical characteristics of the primary halos around the No. 16 prospecting line, deep extension is discussed in this paper. Studies show that the metallogenic elements are Cu and Mo; the near-ore halo elements are Co, Au, Ag, and W; the supra-ore halo elements are Pb, Zn, Mn, and As; and the sub-ore halo elements are Sn and Bi. According to Gregorian’s zoning index and the barycenter method, the primary halo zoning of the No. 16 exploration line from shallow to deep is Mn–P–Pb–Ni–Zn–V–As–Hg–Co–Au–Cu–W–Ag–Mo–Sb–Sr–Cd–Sn–Ti–Bi. This sequence has a distinct “reverse” zoning feature, indicating that there may be a blind ore body deep in the mine. The geochemical parameter evaluation index based on the element content contrast coefficient suggests that there may be a hidden ore body in the deep. The relative hydrothermal mineralization in the center position of the section may be located deep below the north side of borehole ZK1601-1 in the middle of the section. The ore body erosion parameter model shows that the bottom of the drilling engineering control is the middle tail of the ore body, and there is a certain amount of extension in the deep part. The ideal superimposed model of the primary halo reflects the ore body trend of the 16th line section. The ore body is inclined to the north as a whole; the ore fluid flows from the deep to the southern side of the north side, and the deep part of the northern side of the ore body has a downward trend. Full article
(This article belongs to the Section Mineral Deposits)
Show Figures

Figure 1

12 pages, 807 KB  
Article
Association of Circulating Neutrophils with Relative Volume of Lipid-Rich Necrotic Core of Coronary Plaques in Stable Patients: A Substudy of SMARTool European Project
by Silverio Sbrana, Antonella Cecchettini, Luca Bastiani, Annamaria Mazzone, Federico Vozzi, Chiara Caselli, Danilo Neglia, Alberto Clemente, Arthur J. H. A. Scholte, Oberdan Parodi, Gualtiero Pelosi and Silvia Rocchiccioli
Life 2023, 13(2), 428; https://doi.org/10.3390/life13020428 - 2 Feb 2023
Cited by 3 | Viewed by 2662
Abstract
Background and Aims: Coronary atherosclerosis is a chronic non-resolving inflammatory process wherein the interaction of innate immune cells and platelets plays a major role. Circulating neutrophils, in particular, adhere to the activated endothelium and migrate into the vascular wall, promoting monocyte recruitment and [...] Read more.
Background and Aims: Coronary atherosclerosis is a chronic non-resolving inflammatory process wherein the interaction of innate immune cells and platelets plays a major role. Circulating neutrophils, in particular, adhere to the activated endothelium and migrate into the vascular wall, promoting monocyte recruitment and influencing plaque phenotype and stability at all stages of its evolution. We aimed to evaluate, by flow cytometry, if blood neutrophil number and phenotype—including their phenotypic relationships with platelets, monocytes and lymphocytes—have an association with lipid-rich necrotic core volume (LRNCV), a generic index of coronary plaque vulnerability, in a group of stable patients with chronic coronary syndrome (CCS). Methods: In 55 patients, (68.53 ± 1.07 years of age, mean ± SEM; 71% male), the total LRNCV in each subject was assessed by a quantitative analysis of all coronary plaques detected by computed tomography coronary angiography (CTCA) and was normalized to the total plaque volume. The expression of CD14, CD16, CD18, CD11b, HLA-DR, CD163, CCR2, CCR5, CX3CR1, CXCR4 and CD41a cell surface markers was quantified by flow cytometry. Adhesion molecules, cytokines and chemokines, as well as MMP9 plasma levels, were measured by ELISA. Results: On a per-patient basis, LRNCV values were positively associated, by a multiple regression analysis, with the neutrophil count (/µL) (p = 0.02), neutrophil/lymphocyte ratio (p = 0.007), neutrophil/platelet ratio (p = 0.01), neutrophil RFI CD11b expression (p = 0.02) and neutrophil–platelet adhesion index (p = 0.01). Significantly positive multiple regression associations of LRNCV values with phenotypic ratios between neutrophil RFI CD11b expression and several lymphocyte and monocyte surface markers were also observed. In the bivariate correlation analysis, a significantly positive association was found between RFI values of neutrophil–CD41a+ complexes and neutrophil RFI CD11b expression (p < 0.0001). Conclusions: These preliminary findings suggest that a sustained increase in circulating neutrophils, together with the up-regulation of the integrin/activation membrane neutrophil marker CD11b may contribute, through the progressive intra-plaque accumulation of necrotic/apoptotic cells exceeding the efferocytosis/anti-inflammatory capacity of infiltrating macrophages and lymphocytes, to the relative enlargement of the lipid-rich necrotic core volume of coronary plaques in stable CAD patients, thus increasing their individual risk of acute complication. Full article
Show Figures

Figure 1

16 pages, 2288 KB  
Article
Arginine-Coated Nanoglobules for the Nasal Delivery of Insulin
by Atanu Das, Richa Vartak, Md Asrarul Islam, Sunil Kumar, Jun Shao and Ketan Patel
Pharmaceutics 2023, 15(2), 353; https://doi.org/10.3390/pharmaceutics15020353 - 20 Jan 2023
Cited by 7 | Viewed by 2866
Abstract
Multiple daily injections via subcutaneous route are the primary modes of insulin delivery for patients with Diabetes Mellitus. While this process is invasive, painful and may cause patients to develop lipohypertrophy at injection site, the perception of fear surrounding this process causes patients [...] Read more.
Multiple daily injections via subcutaneous route are the primary modes of insulin delivery for patients with Diabetes Mellitus. While this process is invasive, painful and may cause patients to develop lipohypertrophy at injection site, the perception of fear surrounding this process causes patients to delay in initiation and remain persistent with insulin therapy over time. Moreover, poor glycemic control may often lead to acute complications, such as severe hypoglycemia and nocturnal hypoglycemia, especially in older patients with diabetes. To address the imperative need for a patient-convenient non-invasive insulin therapy, an insulin-loaded arginine-coated self-emulsifying nanoglobule system (INS-LANano) was developed for nasal delivery of insulin with a biodegradable cationic surfactant—Lauroyl Ethyl Arginate (LAE). Incorporation of LAE resulted in formation of positively charged nanoglobules with L-arginine oriented on the surface. LANano enabled binding of insulin molecules on the surface of nanoglobules via an electrostatic interaction between negatively charged α-helix and LAE molecules at physiological pH. INS-LANano showed a hydrodynamic diameter of 23.38 nm with a surface charge of +0.118 mV. The binding efficiency of insulin on LANano globules was confirmed by zeta potential, circular dichroism (CD) spectroscopy and centrifugal ultrafiltration studies. The attachment of insulin with permeation-enhancing nanoglobules demonstrated significantly higher in vitro permeability of insulin of 15.2% compared to insulin solution across human airway epithelial cell (Calu-3) monolayer. Upon intranasal administration of INS-LANano to diabetic rats at 2 IU/kg insulin dose, a rapid absorption of insulin with significantly higher Cmax of 14.3 mU/L and relative bioavailability (BA) of 23.3% was observed. Therefore, the INS-LANano formulation significant translational potential for intranasal delivery of insulin Full article
(This article belongs to the Collection Feature Papers in Nanomedicine and Nanotechnology)
Show Figures

Figure 1

12 pages, 6185 KB  
Article
Chiral Covalent-Organic Framework MDI-β-CD-Modified COF@SiO2 Core–Shell Composite for HPLC Enantioseparation
by Xiaoyan Ran, Ping Guo, Caifang Liu, Yulan Zhu, Cheng Liu, Bangjin Wang, Junhui Zhang, Shengming Xie and Liming Yuan
Molecules 2023, 28(2), 662; https://doi.org/10.3390/molecules28020662 - 9 Jan 2023
Cited by 17 | Viewed by 3105
Abstract
The chiral covalent-organic framework (CCOF) is a new kind of chiral porous material, which has been broadly applied in many fields owing to its high porosity, regular pores, and structural adjustability. However, conventional CCOF particles have the characteristics of irregular morphology and inhomogeneous [...] Read more.
The chiral covalent-organic framework (CCOF) is a new kind of chiral porous material, which has been broadly applied in many fields owing to its high porosity, regular pores, and structural adjustability. However, conventional CCOF particles have the characteristics of irregular morphology and inhomogeneous particle size distribution, which lead to difficulties in fabricating chromatographic columns and high column backpressure when the pure CCOFs particles are directly used as the HPLC stationary phases. Herein, we used an in situ growth strategy to prepare core–shell composite by immobilizing MDI-β-CD-modified COF on the surface of SiO2-NH2. The synthesized MDI-β-CD-modified COF@SiO2 was utilized as a novel chiral stationary phase (CSP) to explore its enantiomeric-separation performance in HPLC. The separation of racemates and positional isomers on MDI-β-CD-modified COF@SiO2-packed column (column A) utilizing n-hexane/isopropanol as the mobile phase was investigated. The results demonstrated that column A displayed remarkable separation ability for racemic compounds and positional isomers with good reproducibility and stability. By comparing the MDI-β-CD-modified COF@SiO2-packed column (column A) with commercial Chiralpak AD-H column and the previously reported β-CD-COF@SiO2-packed column (column B), the chiral recognition ability of column A can be complementary to that of Chiralpak AD-H column and column B. The relative standard deviations (RSDs) of the retention time and peak area for the separation of 1,2-bis(4-fluorophenyl)-2-hydroxyethanone were 0.28% and 0.79%, respectively. Hence, the synthesis of CCOFs@SiO2 core–shell composites as the CSPs for chromatographic separation has significant research potential and application prospects. Full article
(This article belongs to the Special Issue Chiral Recognition and Enantioseparation)
Show Figures

Figure 1

Back to TopTop