Sign in to use this feature.

Years

Between: -

Subjects

remove_circle_outline

Journals

Article Types

Countries / Regions

Search Results (1)

Search Parameters:
Keywords = BiOI/CuWO4

Order results
Result details
Results per page
Select all
Export citation of selected articles as:
15 pages, 4211 KB  
Article
Reusable BiOI-Modified CuWO4 Heterojunction Films and Their Excellent Photocatalytic Oxidation Activity of Nanoplastics and Methylene Blue
by Te Hu, Liang Hao, Xiaohui Zhao, Sujun Guan and Yun Lu
Nanomaterials 2025, 15(20), 1579; https://doi.org/10.3390/nano15201579 - 16 Oct 2025
Viewed by 290
Abstract
CuWO4 films were prepared on FTO glass substrates by the hydrothermal method. To improve their photocatalytic activity, the CuWO4 films were further modified with BiOI using the successive ionic layer adsorption and reaction (SILAR) method. Characterization results indicate that BiOI and [...] Read more.
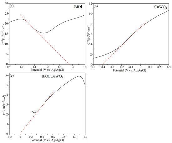
CuWO4 films were prepared on FTO glass substrates by the hydrothermal method. To improve their photocatalytic activity, the CuWO4 films were further modified with BiOI using the successive ionic layer adsorption and reaction (SILAR) method. Characterization results indicate that BiOI and CuWO4 achieved nanoscale mixing and formed a Type II p-n heterojunction. The heterojunction formation not only extends the light absorption threshold of CuWO4 from 530 nm to 660 nm but also enhances the light absorption capacity across the entire solar spectrum. More importantly, the heterojunction formation facilitates the separation and transfer of photogenerated carriers and inhibits the recombination of photogenerated electrons and holes, which is evidenced by the results of PL spectra, photocurrent density, and EIS spectra. Compared with individual CuWO4 films, the photocatalytic activity of BiOI/CuWO4 heterojunction films in degrading the organic dye MB is increased by up to 1.17 times. Additionally, BiOI/CuWO4 heterojunction films exhibit certain activity in the photocatalytic degradation of polystyrene (PS) nanoplastics and are capable of reducing the average particle size of nanoplastics from 425 nm to 325 nm within 80 h. Full article
Show Figures

Graphical abstract

Back to TopTop