Sign in to use this feature.

Years

Between: -

Subjects

remove_circle_outline
remove_circle_outline
remove_circle_outline
remove_circle_outline
remove_circle_outline
remove_circle_outline
remove_circle_outline
remove_circle_outline
remove_circle_outline

Journals

remove_circle_outline
remove_circle_outline
remove_circle_outline

Article Types

Countries / Regions

Search Results (166)

Search Parameters:
Keywords = Bell correlations

Order results
Result details
Results per page
Select all
Export citation of selected articles as:
14 pages, 2697 KB  
Article
Comparative Analysis of Physicochemical Properties for Three Crystal Forms of Cordycepin and Their Interconversion Relationship
by Wenbo Li, Shushu Li, Qingshi Wen, Xiaohan Zhang, Ke Zhang, Chenglun Tang, Fengxia Zou, Keke Zhang, Pengfei Jiao and Pengpeng Yang
Crystals 2025, 15(12), 1043; https://doi.org/10.3390/cryst15121043 (registering DOI) - 6 Dec 2025
Abstract
Cordycepin (3′-deoxyadenosine, 3′-dA), the flagship nucleoside antibiotic from Cordyceps militaris, exerts potent anti-inflammatory, antimicrobial, and antitumor activity but is rapidly inactivated by human adenosine deaminase (ADA). While prodrugs, ADA inhibitors, and nanocarriers have been pursued to prolong its half-life, the influence of solid [...] Read more.
Cordycepin (3′-deoxyadenosine, 3′-dA), the flagship nucleoside antibiotic from Cordyceps militaris, exerts potent anti-inflammatory, antimicrobial, and antitumor activity but is rapidly inactivated by human adenosine deaminase (ADA). While prodrugs, ADA inhibitors, and nanocarriers have been pursued to prolong its half-life, the influence of solid form on delivery performance remains unexplored. Here, three polymorphs—anhydrate-I (flake-like), anhydrate-II (rod-like), and a previously unreported monohydrate (fibrillar)—were prepared, characterized (PXRD, TG-DSC, FTIR), and subjected to equilibrium solubility, slurry-conversion, and humidity-sorption mapping. The monohydrate dehydrates at 144 °C and sequentially transforms to anhydrate-I → anhydrate-II (ΔH = −127.5 J g−1), establishing a monotropic relationship between the two anhydrous forms. Solubility displays a bell-shaped profile versus water activity: the monohydrate is stable above aw 0.8, whereas anhydrate-II predominates below aw 0.2. In model immediate-release tablets, anhydrate-II achieves complete dissolution within 10 min, whereas the monohydrate sustains release for 30 min. Hygroscopicity tests show the monohydrate absorbs <6% water up to 75% RH without structural change, whereas anhydrate-I converts to the monohydrate above 63% RH. The quantitative humidity–crystal form–performance correlations provide a rational platform for crystal form selection and the design of stable, efficacious cordycepin solid dosage forms. Full article
(This article belongs to the Section Crystal Engineering)
Show Figures

Figure 1

33 pages, 6099 KB  
Article
Insight into the Molecular and Structural Changes in Red Pepper Induced by Direct and Indirect Ultrasonic Treatments
by Katarzyna Rybak, Aleksandra Skarżyńska, Szymon Ossowski, Magdalena Dadan, Katarzyna Pobiega and Małgorzata Nowacka
Molecules 2025, 30(24), 4668; https://doi.org/10.3390/molecules30244668 - 5 Dec 2025
Abstract
This study provides a comprehensive assessment of the effect of direct (probe) and indirect (bath) ultrasound treatments on the physicochemical and structural properties of red bell pepper (Capsicum annuum L.) tissue. Ultrasound was applied under controlled conditions to induce structural modification without [...] Read more.
This study provides a comprehensive assessment of the effect of direct (probe) and indirect (bath) ultrasound treatments on the physicochemical and structural properties of red bell pepper (Capsicum annuum L.) tissue. Ultrasound was applied under controlled conditions to induce structural modification without excessive thermal or mechanical damage. The treated samples were evaluated using chemical (polyphenols, flavonoids, carotenoids, vitamin C, sugars), microbiological (total viable count (TVC) and total yeast and mold count (TYM)), spectroscopic (FTIR, NMR), thermal (TGA), and microscopic (SEM, micro-CT) analyses. Both ultrasound modes affected the tissue, but their effects differed in intensity and character. Direct ultrasound caused stronger cavitation and mechanical stress, resulting in greater cell wall disruption, higher permeability, and enhanced release of bioactive compounds such as polyphenols, vitamin C and antioxidants from the tissue matrix to the surroundings. Indirect ultrasound acted more gently, preserving cellular integrity and sugar profile while moderately increasing antioxidant activity. Cluster and correlation analyses confirmed that ultrasound mode was the main factor differentiating the samples. Short-term direct sonication enhanced the release of antioxidant compounds, whereas prolonged exposure led to their degradation, resulting in an overall decline in antioxidant capacity, and indirect ultrasound better preserved texture and sugar composition. This demonstrates that ultrasound mode and duration can be tailored to balance tissue integrity and enhance bioactive compounds in plant-based materials. Full article
(This article belongs to the Special Issue Innovative Technologies for Food Processing and Preservation)
Show Figures

Graphical abstract

25 pages, 3926 KB  
Article
The Nile and Climate History, 3000 BCE to 30 BCE
by Joseph G. Manning
Heritage 2025, 8(12), 509; https://doi.org/10.3390/heritage8120509 - 4 Dec 2025
Abstract
The relationship between Nile flood variability and Egyptian political stability has been studied since Barbara Bell’s pioneering work in the 1970s, yet precise causal mechanisms linking environmental stress to societal crisis have remained elusive due to chronological limitations. This paper presents a methodological [...] Read more.
The relationship between Nile flood variability and Egyptian political stability has been studied since Barbara Bell’s pioneering work in the 1970s, yet precise causal mechanisms linking environmental stress to societal crisis have remained elusive due to chronological limitations. This paper presents a methodological framework achieving annual to decadal resolution through volcanic forcing of the East African Monsoon. Large volcanic eruptions disrupt atmospheric circulation, suppressing monsoon rainfall over the Ethiopian Highlands and reducing Nile summer floods with impacts precisely dated through ice core chronologies (±1–2 years). Applied to Ptolemaic Egypt (305–30 BCE), this methodology demonstrates that volcanic-induced flood failures significantly increased revolt probability (p < 0.02) and correlated with land sales, warfare cessations, and economic stress indicators. Statistical validation distinguishes causal relationships from chance correlations, while comparative analysis of early versus late Ptolemaic responses reveals how political legitimacy, fiscal capacity, and institutional strength determined societal resilience versus vulnerability to environmental shocks. This approach achieves temporal resolution beyond the century-scale resolution of previous studies, determining temporal sequence essential for establishing causation. The methodology is replicable across historical contexts where documentary sources overlap with ice core volcanic chronologies, offering a template for integrating paleoclimatic precision with historical analysis to understand human–environment interactions in past societies. Full article
(This article belongs to the Special Issue The Archaeology of Climate Change)
Show Figures

Figure 1

16 pages, 1738 KB  
Article
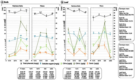
Enhanced Micropropagation of Lachenalia ‘Rainbow Bells’ and ‘Riana’ Bulblets Using a Temporary Immersion Bioreactor Compared with Solid Medium Cultures
by Małgorzata Malik, Anna Kapczyńska, Andrea Copetta, Justyna Mazur, Marco Savona, Arianna Cassetti, Michela Montone and Małgorzata Maślanka
Agronomy 2025, 15(12), 2757; https://doi.org/10.3390/agronomy15122757 - 29 Nov 2025
Viewed by 166
Abstract
This study evaluated the effect of the culture system (temporary immersion bioreactor (TIB) vs. solid culture) on the micropropagation efficiency of two Lachenalia cultivars, ‘Rainbow Bells’ and ‘Riana’. Morphological and biochemical responses were analyzed under different immersion frequencies (15 min every 24 h, [...] Read more.
This study evaluated the effect of the culture system (temporary immersion bioreactor (TIB) vs. solid culture) on the micropropagation efficiency of two Lachenalia cultivars, ‘Rainbow Bells’ and ‘Riana’. Morphological and biochemical responses were analyzed under different immersion frequencies (15 min every 24 h, 15 min every 8 h, and 5 min every 8 h) and on solid medium. TIB, regardless of the immersion frequency, was more efficient in terms of biomass growth (3.27–3.95-fold increase) and the number of obtained bulblets (17.80–19.08 bulbs). The response to culture conditions was genotype-dependent. ‘Rainbow Bells’ exhibited higher biomass growth and bulblet number, whereas ‘Riana’ produced fewer but heavier bulblets (4.39 and 2.09 of biomass growth, 23.19 and 9.97 bulbs per 1 g, 0.23 and 0.31 g per bulb, respectively, for ‘Rainbow Bells’ and Riana’). The most effective bulblet multiplication was obtained under the 1 × 15 min regime for ‘Rainbow Bells’; the same frequency promoted bulblet enlargement in ‘Riana’. Principal component analysis (PCA) explained 77% of total variance, revealing strong genotype separation: ‘Rainbow Bells’ clustered with traits linked to growth intensity and phenolic accumulation, while ‘Riana’ correlated with bulb storage parameters. The results support the use of TIBs to improve Lachenalia micropropagation, bulb quality, and future automation, and indicate that further research should focus on optimizing culture parameters for each genotype. Full article
(This article belongs to the Special Issue Plant Tissue Culture and Plant Somatic Embryogenesis–2nd Edition)
Show Figures

Figure 1

23 pages, 4772 KB  
Article
Evaluation of Capsaicin as a Selector for Growth Promotional Bacteria Isolated from Capsicum Peppers
by Peerapol Chiaranunt, Konrad Z. Wysocki, Kathryn L. Kingsley, Sean Lindert, Fernando Velazquez and James F. White
Sustainability 2025, 17(23), 10549; https://doi.org/10.3390/su172310549 - 25 Nov 2025
Viewed by 262
Abstract
Plant growth-promoting bacteria (PGPB) can act as biostimulants, improving the growth of plants in sustainable agriculture systems that seek to reduce synthetic agrochemical input. Bacteria present in seeds are closely associated with vertical transmission and thus represent a potential trove of biostimulants. Capsicum [...] Read more.
Plant growth-promoting bacteria (PGPB) can act as biostimulants, improving the growth of plants in sustainable agriculture systems that seek to reduce synthetic agrochemical input. Bacteria present in seeds are closely associated with vertical transmission and thus represent a potential trove of biostimulants. Capsicum species are notable for producing capsaicin, a compound with antimicrobial activity that may influence microbial communities associated with pepper fruits and seeds. Using Luria–Bertani (LB) media infused with capsaicin, we isolated bacteria from bell peppers, jalapeno peppers, and habanero peppers, which we verified to have different levels of capsaicin through high-performance liquid chromatography with ultraviolet detection (HPLC-UV). Minimum inhibitory concentration (MIC) assays indicated that the capsaicin resistance of isolated bacteria did not correlate with the pungency level of the host pepper variety. Of the total isolated bacteria, four showed promise as plant growth promoters; two belong to the genera Pseudomonas, one Agrobacterium, and one Bacillus. Our isolates tested positively for potassium and phosphate solubilization, urease production, and indole-3-acetic acid (IAA) phytohormone production. Inoculation of these bacteria into surface-sterilized red clover (Trifolium pratense) and Kentucky bluegrass (Poa pratensis) showed significant improvements in germination rate, seedling root length, and seedling shoot height. These results show that the pungency of peppers does not influence the capsaicin resistance of isolated bacteria. Additionally, seedborne PGPB have the potential for plant growth improvement through various mechanisms, reducing the need for synthetic chemicals. Full article
(This article belongs to the Special Issue Climate Change and Sustainable Agricultural System)
Show Figures

Figure 1

16 pages, 720 KB  
Article
Risk Factors and Predictive Parameters of Necrotizing Enterocolitis in Preterm Infants—A Single-Center Retrospective Study
by Tamas Toth, Angela Borda, Reka Borka-Balas, Manuela Cucerea, Emoke Andrea Szasz, Horea Gozar and Radu-Alexandru Prisca
Diseases 2025, 13(11), 368; https://doi.org/10.3390/diseases13110368 - 10 Nov 2025
Viewed by 439
Abstract
Background and Objectives: Necrotizing enterocolitis (NEC) represents a severe gastrointestinal emergency in preterm infants. The aim of this study was to identify risk factors and predictive parameters for NEC requiring surgery and to evaluate associated short-term outcomes. Materials and Methods: We [...] Read more.
Background and Objectives: Necrotizing enterocolitis (NEC) represents a severe gastrointestinal emergency in preterm infants. The aim of this study was to identify risk factors and predictive parameters for NEC requiring surgery and to evaluate associated short-term outcomes. Materials and Methods: We conducted a retrospective study in preterm neonates diagnosed with NEC admitted to a tertiary neonatal intensive care unit (NICU) between January 2015 and May 2025. Demographic data, perinatal events, risk factors, clinical signs, imaging findings, and outcomes were analyzed, with a particular focus on surgically managed cases. Descriptive and inferential statistical methods were applied. Results: Forty-four infants met the inclusion criterion. The mean gestational age (GA) was 29.34 ± 4.3 weeks, and the mean birth weight was 1100 ± 563 g. According to Bell’s severity index, 45.5% had Bell Stage I, 36.4% Stage II, and 18.2% Stage III. Eleven patients (25%) required surgery. All surgical patients had abdominal distension, and 63.6% had bilious gastric residue. Abdominal X-ray showed pneumoperitoneum in 72.7% and pneumatosis intestinalis in 27.3% of cases. Laboratory abnormalities, including thrombocytopenia, elevated C-reactive protein (CRP) and lactate dehydrogenase (LDH), and hyponatremia (45.5%; 133 ± 6.95 mmol/L), were frequently associated with surgical NEC. A lower GA and birth weight correlated with a higher Bell stage (p = 0.0085 and p = 0.0291). Overall mortality was 29.5% (13/44); surgical mortality was 9.1% (1/11). Conclusions: In this single-center lot, low gestational age and birth weight, abdominal distension with bilious residuals, systemic inflammation, and hyponatremia were frequent among infants who required surgery. Selected infants may benefit from early surgery even without perforation, but inferences are limited by this study’s sample size and retrospective design. Prospective multi-center studies are needed to validate predictors and refine surgical timing. Full article
Show Figures

Figure 1

14 pages, 2438 KB  
Article
Micro-Nano Aeration Oxygenation Irrigation Has Increased Soil Nitrogen and Cotton Yield in Arid Areas
by Jiayue Wang, Qiqi Chai, Ze Wang, Yanbo Fu, Zhiguo Wang, Qingyong Bian, Junhui Cheng, Yupeng Zhao, Jinquan Zhu and Yanhong Wei
Water 2025, 17(18), 2778; https://doi.org/10.3390/w17182778 - 19 Sep 2025
Viewed by 583
Abstract
To explore the effects of micro-nano aeration and oxygenation irrigation on soil characteristics and cotton growth in cotton fields in arid areas, this study was conducted at the National Soil Quality Aksu Observation and Experiment Station in Baicheng County, Xinjiang. “Xinluzao 78” cotton [...] Read more.
To explore the effects of micro-nano aeration and oxygenation irrigation on soil characteristics and cotton growth in cotton fields in arid areas, this study was conducted at the National Soil Quality Aksu Observation and Experiment Station in Baicheng County, Xinjiang. “Xinluzao 78” cotton was used as the experimental material, and the soil column cultivation method was adopted. Four nitrogen concentration gradients (N0: 0 kg·hm−2, NL: 112.5 kg·hm−2, NM: 225 kg·hm−2, and NH: 337.5 kg·hm−2) and two irrigation methods (micro-nano aeration and oxygenation irrigation Y: DO15 mg/L, conventional irrigation C: DO7.6 mg/L) were set up to systematically analyze the total nitrogen content of the soil, enzyme activity, microbial community structure, and the response characteristics of cotton growth and yield. The results show that aeration treatment significantly increases the total nitrogen content in the soil. The total nitrogen content in the 0–15 cm and 15–30 cm soil layers treated with YNM (aeration + local conventional nitrogen application rate) increased by 9.14% and 8.53%, respectively, compared with CNM. YNM treatment significantly increased the activities of soil urease, sucrase, and β-glucosidase, among which total nitrogen had the strongest correlation with the activity of β-glucosidase. Oxygenation significantly increased the richness of soil microorganisms. The Chao1 index of YNM-treated bacteria was 75.7% higher than that of CNM-treated bacteria. YNM treatment increased cotton yield by 26.73% compared with CNM treatment. Moreover, the number of bells formed per plant and the weight of the bells increased by 44.44% and 29.6%, respectively. In conclusion, micro-nano aeration and oxygenation irrigation effectively increase cotton yield. By optimizing the activities of soil enzymes and microorganisms, micro-nano aeration and oxygenation irrigation enhance the ability of cotton to utilize and transform nitrogen, and alleviate the impact of insufficient nitrogen utilization by cotton in arid areas. Full article
(This article belongs to the Special Issue Impact of Biochar Additions on Soil Hydraulic Properties)
Show Figures

Figure 1

27 pages, 3790 KB  
Article
Organic Fertilizer Optimization for Enhanced Growth and Nutrient Uptake in Bell Pepper Transplants (Capsicum annuum L.)
by Jun Liu, Joseph Masabni and Genhua Niu
Horticulturae 2025, 11(9), 1066; https://doi.org/10.3390/horticulturae11091066 - 4 Sep 2025
Viewed by 1793
Abstract
Organic fertilization management for vegetable transplant production is challenging to growers due to the slow and unpredictable release nature of organic fertilizers. Nutrients in organic fertilizers, particularly nitrogen (N), often fail to meet the demands of rapidly growing transplants in soilless substrate. This [...] Read more.
Organic fertilization management for vegetable transplant production is challenging to growers due to the slow and unpredictable release nature of organic fertilizers. Nutrients in organic fertilizers, particularly nitrogen (N), often fail to meet the demands of rapidly growing transplants in soilless substrate. This study aimed to develop fertilization guidelines for organic bell pepper (Capsicum annuum L.) transplants by evaluating the performance of one conventional fertilizer, two organic fertilizers (Drammatic, Pre-Empt), and one naturally derived fertilizer (Bio-Matrix) at a range of N rates in supporting transplant growth. Bell pepper transplants were grown in an indoor growing chamber for 28 days with weekly fertilizer application. We found that the initial nitrate-N concentration in the fertilizer solution was the sole predictor of shoot dry weight (R2 = 0.62), confirming that N availability was the primary limiting factor for transplant growth. The conventional fertilizer produced the largest transplants (370.9 mg/plant in shoot dry weight) while Drammatic resulted in the lowest maximum shoot growth (196.6 mg/plant), likely due to its high salinity and the accumulation of ammonium in the substrate. Bell pepper transplants exhibited low nutrient uptake capability and resulted in low N recovery efficiency, especially with the two organic fertilizers, Drammatic and Pre-Empt (15.6% and 23.8%, respectively). Furthermore, we found no carryover effects of the fertilizer treatments during the transplant stage on bell pepper growth after being transplanted to the greenhouse for 18 days. The final shoot dry weight only correlated with transplant shoot dry weight at the time of transplanting (R2 = 0.87) but not with fertilizer type (p = 0.2849). Overall, Pre-Empt emerged as the most effective fertilizer for organic bell pepper transplant production. It is cost-effective, has low electrical conductivity, and is associated with low ammonium accumulation in the substrate. Therefore, it can be applied at high N rates to meet the N demand of bell pepper transplants. Based on our growing conditions, we recommend 23.1 g/L substrate of Pre-Empt for organic bell pepper transplant production. Full article
(This article belongs to the Section Vegetable Production Systems)
Show Figures

Figure 1

11 pages, 1979 KB  
Article
Need for Routine Brain Magnetic Resonance Imaging for Unilateral Facial Palsy in Emergency Department
by Hanna Park, Youn-Jung Kim and Won Young Kim
Diagnostics 2025, 15(17), 2135; https://doi.org/10.3390/diagnostics15172135 - 24 Aug 2025
Viewed by 1146
Abstract
Objectives: The need for routine brain magnetic resonance imaging (MRI) for patients presenting with unilateral facial palsy in the emergency department (ED) is a subject of ongoing debate. This study aimed to evaluate the diagnostic yield of MRI in this population and to [...] Read more.
Objectives: The need for routine brain magnetic resonance imaging (MRI) for patients presenting with unilateral facial palsy in the emergency department (ED) is a subject of ongoing debate. This study aimed to evaluate the diagnostic yield of MRI in this population and to identify clinical risk factors associated with non-idiopathic causes, to inform selective imaging strategies. Methods: This single-center, retrospective study was conducted in the ED of a tertiary-care center in Korea. We analyzed adult patients (aged ≥ 18 years) who presented with facial palsy as the primary symptom between 1 January 2020 and 31 December 2022. Patients with other neurological abnormalities detected during the initial examination or those who did not undergo brain MRI were excluded. The primary outcome was the identification of positive MRI findings, defined as brain lesions (e.g., ischemic stroke, tumor, and hemorrhage) considered causally related to the facial palsy based on anatomical correlation and radiological interpretation. Patients were categorized into positive or negative MRI groups accordingly, and baseline characteristics were compared between the groups. Results: Among the 436 patients who underwent brain MRI, 13 (3.0%) showed positive findings such as brain tumors or stroke that led to diagnoses other than Bell’s palsy, while the remaining 423 (97.0%) were ultimately diagnosed with Bell’s palsy. The proportion of patients with a history of transient ischemic attack/stroke and malignancy was significantly higher in the group with non-idiopathic facial palsy (p = 0.02 and p < 0.001, respectively). Conclusions: In adults presenting to the ED with clinically isolated unilateral facial palsy and no other neurological signs, routine brain MRI had a low diagnostic yield (3%). A history of malignancy or prior TIA/stroke was associated with alternative diagnoses. A selective imaging strategy based on risk factors may improve diagnostic efficiency without compromising safety. Full article
(This article belongs to the Special Issue Clinical Diagnosis and Management in Emergency and Hospital Medicine)
Show Figures

Figure 1

25 pages, 5884 KB  
Article
Study on Pressure Fluctuation Characteristics and Chaos Dynamic Characteristics of Two-Way Channel Irrigation Pumping Station Under the Ultra-Low Head Based on Wavelet Analysis
by Weixuan Jiao, Xiaoyuan Xi, Haotian Fan, Yang Chen, Jiantao Shen, Jinling Dou and Xuanwen Jia
AgriEngineering 2025, 7(9), 270; https://doi.org/10.3390/agriengineering7090270 - 22 Aug 2025
Viewed by 743
Abstract
Two-way channel irrigation pumping stations are widely used along rivers for irrigation and drainage. Due to fluctuating internal and external water levels, these stations often operate under ultra-low or near-zero head conditions, leading to poor hydraulic performance. This study employs computational fluid dynamics [...] Read more.
Two-way channel irrigation pumping stations are widely used along rivers for irrigation and drainage. Due to fluctuating internal and external water levels, these stations often operate under ultra-low or near-zero head conditions, leading to poor hydraulic performance. This study employs computational fluid dynamics (CFD) to investigate such systems’ pressure fluctuation and chaotic dynamic characteristics. A validated 3D model was developed, and the wavelet transform was used to perform time–frequency analysis of pressure signals. Phase space reconstruction and the Grassberger–Procaccia (G–P) algorithm were applied to evaluate chaotic behavior using the maximum Lyapunov exponent and correlation dimension. Results show that low frequencies dominate pressure fluctuations at the impeller inlet and guide vane outlet, while high-frequency components increase significantly at the intake bell mouth and outlet channel. The maximum Lyapunov exponent in the impeller and guide vane regions reaches 0.0078, indicating strong chaotic behavior, while negative values in the intake and outlet regions suggest weak or no chaos. This integrated method provides quantitative insights into the unsteady flow mechanisms, supporting improved stability and efficiency in ultra-low-head pumping systems. Full article
Show Figures

Figure 1

15 pages, 2731 KB  
Article
Brain and CSF Alzheimer’s Biomarkers Are Associated with SERPINE1 Gene Expression
by Cynthia Picard, Henrik Zetterberg, Kaj Blennow, Sylvia Villeneuve, Judes Poirier and on behalf of the PREVENT-AD Research Group
Genes 2025, 16(7), 818; https://doi.org/10.3390/genes16070818 - 12 Jul 2025
Viewed by 1337
Abstract
Background: SERPINE1, also known as plasminogen activator inhibitor (PAI), has been proposed as a potential blood biomarker for the early detection and diagnosis of Alzheimer’s disease (AD). Expanding on previous studies, this research contrasted SERPINE1 levels in CSF and brain tissue of AD [...] Read more.
Background: SERPINE1, also known as plasminogen activator inhibitor (PAI), has been proposed as a potential blood biomarker for the early detection and diagnosis of Alzheimer’s disease (AD). Expanding on previous studies, this research contrasted SERPINE1 levels in CSF and brain tissue of AD patients and those at risk for AD with established AD biomarkers. Methods: Utilizing OLINK and immunoassay methods, CSF SERPINE1 protein levels were quantified across two separate cohorts: PREVENT-AD and ADNI. Microarray and RNAseq were used to measure tissue SERPINE1 mRNA levels in two separate cohorts: the Douglas-Bell Canada Brain Bank and the Mayo Clinic Brain Bank. Results: At the pre-clinical stage, elevated CSF levels of pTau, tTau and synaptic markers, alongside reduced hippocampal volume, correlate with CSF SERPINE1 levels. Elevated cortical SERPINE1 mRNA levels in autopsy-confirmed AD show weak correlation with regional plaques and tangles densities, but strong correlation with Braak staging. Conclusions: CSF SERPINE1 levels can be used as an early biomarker for the detection of pathological changes associated with AD. Higher SERPINE1 levels correlate more strongly with tau pathology than with amyloid formation or deposition. Full article
(This article belongs to the Special Issue Genetics and Treatment in Neurodegenerative Diseases)
Show Figures

Figure 1

15 pages, 468 KB  
Article
Contextual Hidden Fields Preclude the Derivation of Bell-Type Inequalities
by Álvaro G. López
Quantum Rep. 2025, 7(3), 29; https://doi.org/10.3390/quantum7030029 - 20 Jun 2025
Viewed by 896
Abstract
We show that loophole-free Bell-type no-go theorems cannot be derived in theories involving local hidden fields. At the time of measurement, a contextuality loophole appears because each particle’s electromagnetic field interacts with the field of its respective apparatus, preventing the expression of the [...] Read more.
We show that loophole-free Bell-type no-go theorems cannot be derived in theories involving local hidden fields. At the time of measurement, a contextuality loophole appears because each particle’s electromagnetic field interacts with the field of its respective apparatus, preventing the expression of the probability density as a function independent of the orientation of the measuring devices. Then, we use the dynamical evolution of the probability distribution to show that the spin-correlation integral cannot be expressed in terms of initial Cauchy data restricted to the particles. A measurement independence loophole ensues, which prevents the usage of the non-contextual correlation integrals required to demonstrate the CHSH-Bell inequality. We propose that correlated fields are the missing hidden variable triggering the coupled nonlinear oscillations of the particles, which bring about the synchronicities observed in the Einstein–Podolsky–Rosen–Bohm (EPRB) experiment. Full article
Show Figures

Figure 1

14 pages, 2219 KB  
Article
Digital Image Speckle Correlation (DISC): Facial Muscle Tracking for Neurological and Psychiatric Disorders
by Shi Fu, Pawel Polak, Susan Fiore, Justin N. Passman, Raphael Davis, Lucian M. Manu and Miriam Rafailovich
Diagnostics 2025, 15(13), 1574; https://doi.org/10.3390/diagnostics15131574 - 20 Jun 2025
Viewed by 1014
Abstract
Background/Objectives: Quantitative assessments of facial muscle function and cognitive responses can enhance the clinic evaluations in neuromuscular disorders such as Bell’s palsy and psychiatric conditions including anxiety and depression. This study explored the application of Digital Image Speckle Correlation (DISC) in detecting [...] Read more.
Background/Objectives: Quantitative assessments of facial muscle function and cognitive responses can enhance the clinic evaluations in neuromuscular disorders such as Bell’s palsy and psychiatric conditions including anxiety and depression. This study explored the application of Digital Image Speckle Correlation (DISC) in detecting enervation of facial musculature and assessing reaction times in response to visual stimuli. Methods: A consistent video recording setup was used to capture facial movements of human subjects in response to visual stimuli from a calibrated database. The DISC method utilizes the displacement of naturally occurring skin pores to map the specific locus of underlying muscular movement. The technique was applied to two distinct case studies: Patient 1 had unilateral Bell’s palsy and was monitored for 1 month of recovery. Patient 2 had a comorbidity of refractory depression and anxiety disorders with ketamine treatment and was assessed over 3 consecutive weekly visits. For patient 1, facial asymmetry was calculated by comparing left-to-right displacement signals. For patient 2, visual reaction time was measured, and facial motion intensity and response rate were compared with self-reported depression and anxiety scales. Results: DISC effectively mapped biomechanical properties of facial motions, providing detailed spatial and temporal resolution of muscle activity. In a control cohort of 10 subjects, when executing a facial expression, the degree of left/right facial asymmetry was determined to be 13.2 (8)%. And showed a robust response in an average of 275 (81) milliseconds to five out of the five images shown. For patient 1, obtained an initial asymmetry of nearly 100%, which decreased steadily to 20% in one month, demonstrating a progressive recovery. Patient 2 exhibited a prolonged reaction time of 518 (93) milliseconds and reduced response rates compared with controls of 275 (81) milliseconds and a decrease in the overall rate of response relative to the control group. The data obtained before treatment in three visits correlated strongly with selected depression and anxiety scores. Conclusions: These findings highlight the utility of DISC in enhancing clinical monitoring, complementing traditional examinations and self-reported measures. Full article
(This article belongs to the Section Medical Imaging and Theranostics)
Show Figures

Figure 1

13 pages, 2136 KB  
Article
Re-Expression of the Lorenz Asymmetry Coefficient on the Rotated and Right-Shifted Lorenz Curve of Leaf Area Distributions
by Yongxia Chen, Feixue Jiang, Christian Frølund Damgaard, Peijian Shi and Jacob Weiner
Plants 2025, 14(9), 1345; https://doi.org/10.3390/plants14091345 - 29 Apr 2025
Cited by 1 | Viewed by 774
Abstract
The Gini coefficient, while widely used to quantify inequality in biological size distributions, lacks the capacity to resolve directional asymmetry inherent in Lorenz curves, a critical limitation for understanding skewed resource allocation strategies. To address this, we extend our prior geometric framework of [...] Read more.
The Gini coefficient, while widely used to quantify inequality in biological size distributions, lacks the capacity to resolve directional asymmetry inherent in Lorenz curves, a critical limitation for understanding skewed resource allocation strategies. To address this, we extend our prior geometric framework of the rotated and right-shifted Lorenz curve (RRLC) by introducing two original asymmetry metrics: the positional shift ratio (PL, defined as xc/2, where xc is the x-coordinate of the RRLC’s maximum value point) and the area ratio (PA, defined as AL/(AL + AR), where AL and AR denote the areas under the left and right segments of the RRLC). These indices uniquely dissect contributions of dominant versus small individuals to overall inequality, with PL reflecting the peak position of the RRLC and PA quantifying the area dominance of its left segment. Theoretically, PL directly links to the classical Lorenz asymmetry coefficient S (defined as S=xc+yc, where xc,yc is the tangent point on the original Lorenz curve with a 45° slope) through S = 2 − 2PL, bridging geometric transformation and parametric asymmetry analysis. Applied to 480 Shibataea chinensis Nakai shoots, our analysis revealed that over 99% exhibited pronounced left-skewed distributions, where abundant large leaves drove the majority of leaf area inequality, challenging assumptions of symmetry in plant canopy resource allocation. The framework’s robustness was further validated by the strong correlation between PA and PL. By transforming abstract Lorenz curves into interpretable bell-shaped performance curves, this work provides a novel toolkit for analyzing asymmetric size distributions in ecology. The proposed metrics can be applied to refine light-use models, monitor phenotypic plasticity under environmental stress, and scale trait variations across biological hierarchies, thereby advancing both theoretical and applied research in plant ecology. Full article
(This article belongs to the Section Plant Modeling)
Show Figures

Figure 1

21 pages, 350 KB  
Article
Time-like Extra Dimensions: Quantum Nonlocality, Spin, and Tsirelson Bound
by Mohammad Furquan, Tejinder P. Singh and P Samuel Wesley
Universe 2025, 11(5), 137; https://doi.org/10.3390/universe11050137 - 27 Apr 2025
Viewed by 2578
Abstract
The E8E8 octonionic theory of unification suggests that our universe is six-dimensional and that the two extra dimensions are time-like. These time-like extra dimensions, in principle, offer an explanation of the quantum nonlocality puzzle, also known as the EPR [...] Read more.
The E8E8 octonionic theory of unification suggests that our universe is six-dimensional and that the two extra dimensions are time-like. These time-like extra dimensions, in principle, offer an explanation of the quantum nonlocality puzzle, also known as the EPR paradox. Quantum systems access all six dimensions, whereas classical systems such as detectors experience only four dimensions. Therefore, correlated quantum events that are time-like separated in 6D can appear to be space-like separated and, hence, nonlocal, when projected to 4D. Our lack of awareness of the extra time-like dimensions creates the illusion of nonlocality, whereas, in reality, the communication obeys special relativity and is local. Bell inequalities continue to be violated because quantum correlations continue to hold. In principle, this idea can be tested experimentally. We develop our analysis after first constructing the Dirac equation in 6D using quaternions and using the equation to derive spin matrices in 6D and then in 4D. We also show that the Tsirelson bound of the CHSH inequality can in principle be violated in 6D. Full article
Show Figures

Figure 1

Back to TopTop