Sign in to use this feature.

Years

Between: -

Subjects

remove_circle_outline
remove_circle_outline
remove_circle_outline
remove_circle_outline
remove_circle_outline
remove_circle_outline
remove_circle_outline
remove_circle_outline
remove_circle_outline

Journals

Article Types

Countries / Regions

Search Results (58)

Search Parameters:
Keywords = ArcSAR

Order results
Result details
Results per page
Select all
Export citation of selected articles as:
37 pages, 9111 KB  
Article
Conformal On-Body Antenna System Integrated with Deep Learning for Non-Invasive Breast Cancer Detection
by Marwa H. Sharaf, Manuel Arrebola, Khalid F. A. Hussein, Asmaa E. Farahat and Álvaro F. Vaquero
Sensors 2025, 25(15), 4670; https://doi.org/10.3390/s25154670 - 28 Jul 2025
Viewed by 853
Abstract
Breast cancer detection through non-invasive and accurate techniques remains a critical challenge in medical diagnostics. This study introduces a deep learning-based framework that leverages a microwave radar system equipped with an arc-shaped array of six antennas to estimate key tumor parameters, including position, [...] Read more.
Breast cancer detection through non-invasive and accurate techniques remains a critical challenge in medical diagnostics. This study introduces a deep learning-based framework that leverages a microwave radar system equipped with an arc-shaped array of six antennas to estimate key tumor parameters, including position, size, and depth. This research begins with the evolutionary design of an ultra-wideband octagram ring patch antenna optimized for enhanced tumor detection sensitivity in directional near-field coupling scenarios. The antenna is fabricated and experimentally evaluated, with its performance validated through S-parameter measurements, far-field radiation characterization, and efficiency analysis to ensure effective signal propagation and interaction with breast tissue. Specific Absorption Rate (SAR) distributions within breast tissues are comprehensively assessed, and power adjustment strategies are implemented to comply with electromagnetic exposure safety limits. The dataset for the deep learning model comprises simulated self and mutual S-parameters capturing tumor-induced variations over a broad frequency spectrum. A core innovation of this work is the development of the Attention-Based Feature Separation (ABFS) model, which dynamically identifies optimal frequency sub-bands and disentangles discriminative features tailored to each tumor parameter. A multi-branch neural network processes these features to achieve precise tumor localization and size estimation. Compared to conventional attention mechanisms, the proposed ABFS architecture demonstrates superior prediction accuracy and interpretability. The proposed approach achieves high estimation accuracy and computational efficiency in simulation studies, underscoring the promise of integrating deep learning with conformal microwave imaging for safe, effective, and non-invasive breast cancer detection. Full article
Show Figures

Figure 1

35 pages, 10456 KB  
Article
Amplified Westward SAPS Flows near Magnetic Midnight in the Vicinity of the Harang Region
by Ildiko Horvath and Brian C. Lovell
Atmosphere 2025, 16(7), 862; https://doi.org/10.3390/atmos16070862 - 15 Jul 2025
Cited by 1 | Viewed by 602
Abstract
Rare (only 10) observations, made in the southern topside ionosphere during 2015–2016, demonstrate the amplification of westward subauroral polarization streams (SAPS) up to 3000 m/s near the Harang region. The observed amplified SAPS flows were streaming antisunward after midnight and sunward at midnight, [...] Read more.
Rare (only 10) observations, made in the southern topside ionosphere during 2015–2016, demonstrate the amplification of westward subauroral polarization streams (SAPS) up to 3000 m/s near the Harang region. The observed amplified SAPS flows were streaming antisunward after midnight and sunward at midnight, where the dusk convection cell intruded dawnward. One SAPS event illustrates the elevated electron temperature (Te; ~5500 K) and the stable auroral red arc developed over Rothera. Three inner-magnetosphere SAPS events depict the Harang region’s earthward edge within the plasmasheet’s earthward edge, where the outward SAPS electric (E) field (within the downward Region 2 currents) and inward convection E field (within the upward Region 2 currents) converged. Under isotropic or weak anisotropic conditions, the hot zone was fueled by the interaction of auroral kilometric radiation waves and electron diamagnetic currents. Generated for the conjugate topside ionosphere, the SAMI3 simulations reproduced the westward SAPS flow in the deep electron density trough, where Te became elevated, and the dawnward-intruding westward convection flows. We conclude that the near-midnight westward SAPS flow became amplified because of the favorable conditions created near the Harang region by the convection E field reaching subauroral latitudes and the positive feedback mechanisms in the SAPS channel. Full article
(This article belongs to the Special Issue Feature Papers in Upper Atmosphere (2nd Edition))
Show Figures

Figure 1

23 pages, 2620 KB  
Article
An Efficient SAR Raw Signal Simulator Accounting for Large Trajectory Deviation
by Shaoqi Dai, Haiyan Zhang, Cheng Wang, Zhongwei Lin, Yi Zhang and Jinhe Ran
Sensors 2025, 25(14), 4260; https://doi.org/10.3390/s25144260 - 9 Jul 2025
Cited by 1 | Viewed by 591
Abstract
A synthetic aperture radar (SAR) raw signal simulator is useful for supporting algorithm innovation, system scheme verification, etc. Trajectory deviation is a realistic factor that should be considered in a SAR raw signal simulator and is very important for applications such as motion [...] Read more.
A synthetic aperture radar (SAR) raw signal simulator is useful for supporting algorithm innovation, system scheme verification, etc. Trajectory deviation is a realistic factor that should be considered in a SAR raw signal simulator and is very important for applications such as motion composition and image formation for a SAR with nonlinear trajectory. However, existing efficient simulators become deteriorated and even invalid when the magnitude of trajectory deviation increases. Therefore, we designed an efficient SAR raw signal simulator that accounts for large trajectory deviation. Based on spatial spectrum analysis of the SAR raw signal, it is disclosed and verified that the 2D spatial frequency spectrum of the SAR raw signal is an arc of a circle at a fixed transmitted signal frequency. Based on this finding, the proposed method calculates the SAR raw signal by curvilinear integral in the 2D frequency domain. Compared with existing methods, it can precisely simulate the SAR raw signal in the case that the deviation radius is much larger. Moreover, taking advantage of the fast Fourier transform (FFT), the computational complexity of this method is much less than the time-domain ones. Furthermore, this method is applicable for multiple SAR acquisition modes and diverse waveforms and compatible with radar antenna beam width, squint angle, radar signal bandwidth, and trajectory fluctuation. Experimental results show its outstanding performance for simulating the raw signal of SAR with large trajectory deviation. Full article
(This article belongs to the Special Issue Application of SAR and Remote Sensing Technology in Earth Observation)
Show Figures

Figure 1

28 pages, 17579 KB  
Article
Modeling the 2023 Türkiye Earthquakes and Strain Accumulation Along the East Anatolian Fault Zone: Insights from InSAR, GNSS, and Small-Magnitude Seismicity, with Implications for the Seismic Potential at Rupture Terminations
by Daniele Cheloni, Nicola Angelo Famiglietti, Aybige Akinci, Riccardo Caputo and Annamaria Vicari
Remote Sens. 2025, 17(13), 2270; https://doi.org/10.3390/rs17132270 - 2 Jul 2025
Viewed by 3246
Abstract
The 6 February 2023 MW 7.8 and MW 7.6 earthquakes in southeastern Türkiye ruptured more than 400 km of the East Anatolian Fault Zone (EAFZ), producing one of the most destructive seismic sequences in recent history. Here, we integrate InSAR data, [...] Read more.
The 6 February 2023 MW 7.8 and MW 7.6 earthquakes in southeastern Türkiye ruptured more than 400 km of the East Anatolian Fault Zone (EAFZ), producing one of the most destructive seismic sequences in recent history. Here, we integrate InSAR data, a new GNSS velocity field, and small-magnitude earthquakes to investigate the coseismic deformation, rupture geometry, and interseismic strain accumulation along the EAFZ. Using elastic dislocation modeling with a variable-strike, multi-segment fault geometry, we constrain the slip distribution of the mainshocks, showing improved fits to the surface displacement compared to the planar fault model. The MW 7.8 event ruptured a number of fault segments over ~300 km, while the MW 7.6 event activated a more localized fault system with a peak slip exceeding 15 m. We also model two moderate events (MW 5.6 in 2020 and MW 5.3 in 2022) along the southwestern part of the Pütürge segment—an area not ruptured during the 2020 or 2023 sequences. GNSS-derived strain-rate and locking depth estimates reveal strong interseismic coupling and significant strain accumulation in this region, suggesting the potential for a future large earthquake (MW 6.6–7.1). Similarly, the Hatay region, at the southwestern termination of the 2023 rupture, shows a persistent strain accumulation and complex fault interactions involving the Dead Sea Fault and the Cyprus Arc. Our results demonstrate the importance of combining remote sensing and geodetic data to constrain fault kinematics, evaluate rupture segmentation, and assess the seismic hazard in tectonically active regions. Targeted monitoring at rupture terminations—such as the Pütürge and Hatay sectors—may be crucial for anticipating future large-magnitude earthquakes. Full article
Show Figures

Figure 1

26 pages, 42046 KB  
Article
High-Resolution Wide-Beam Millimeter-Wave ArcSAR System for Urban Infrastructure Monitoring
by Wenjie Shen, Wenxing Lv, Yanping Wang, Yun Lin, Yang Li, Zechao Bai and Kuai Yu
Remote Sens. 2025, 17(12), 2043; https://doi.org/10.3390/rs17122043 - 13 Jun 2025
Viewed by 727
Abstract
Arc scanning synthetic aperture radar (ArcSAR) can achieve high-resolution panoramic imaging and retrieve submillimeter-level deformation information. To monitor buildings in a city scenario, ArcSAR must be lightweight; have a high resolution, a mid-range (around a hundred meters), and low power consumption; and be [...] Read more.
Arc scanning synthetic aperture radar (ArcSAR) can achieve high-resolution panoramic imaging and retrieve submillimeter-level deformation information. To monitor buildings in a city scenario, ArcSAR must be lightweight; have a high resolution, a mid-range (around a hundred meters), and low power consumption; and be cost-effective. In this study, a novel high-resolution wide-beam single-chip millimeter-wave (mmwave) ArcSAR system, together with an imaging algorithm, is presented. First, to handle the non-uniform azimuth sampling caused by motor motion, a high-accuracy angular coder is used in the system design. The coder can send the radar a hardware trigger signal when rotated to a specific angle so that uniform angular sampling can be achieved under the unstable rotation of the motor. Second, the ArcSAR’s maximum azimuth sampling angle that can avoid aliasing is deducted based on the Nyquist theorem. The mathematical relation supports the proposed ArcSAR system in acquiring data by setting the sampling angle interval. Third, the range cell migration (RCM) phenomenon is severe because mmwave radar has a wide azimuth beamwidth and a high frequency, and ArcSAR has a curved synthetic aperture. Therefore, the fourth-order RCM model based on the range-Doppler (RD) algorithm is interpreted with a uniform azimuth angle to suit the system and implemented. The proposed system uses the TI 6843 module as the radar sensor, and its azimuth beamwidth is 64°. The performance of the system and the corresponding imaging algorithm are thoroughly analyzed and validated via simulations and real data experiments. The output image covers a 360° and 180 m area at an azimuth resolution of 0.2°. The results show that the proposed system has good application prospects, and the design principles can support the improvement of current ArcSARs. Full article
Show Figures

Figure 1

24 pages, 55152 KB  
Article
Japan’s Urban-Environmental Exposures: A Tripartite Analysis of City Shrinkage, SAR-Based Deep Learning Versus Forward Modeling in Inundation Mapping, and Future Flood Schemes
by Mohammadreza Safabakhshpachehkenari, Hideki Tsubomatsu and Hideyuki Tonooka
Urban Sci. 2025, 9(3), 71; https://doi.org/10.3390/urbansci9030071 - 5 Mar 2025
Cited by 2 | Viewed by 2090
Abstract
This study investigates how urban decline and intensifying flood hazards interact to threaten Japan’s urban environments, focusing on three main dimensions. First, a fine-scale analysis of spatial shrinkage was conducted using transition potential maps generated with a maximum entropy classifier. This approach enabled [...] Read more.
This study investigates how urban decline and intensifying flood hazards interact to threaten Japan’s urban environments, focusing on three main dimensions. First, a fine-scale analysis of spatial shrinkage was conducted using transition potential maps generated with a maximum entropy classifier. This approach enabled the identification of neighborhoods at high risk of future abandonment, revealing that peripheral districts, such as Hirakue-cho and Shimoirino-cho, are especially susceptible due to their distance from central amenities. Second, this study analyzed the 2019 Naka River flood induced by Typhoon Hagibis, evaluating water detection performance through both a U-Net-based deep learning model applied to Sentinel-1 SAR imagery in ArcGIS Pro and the DioVISTA Flood Simulator. While the SAR-based approach excelled in achieving high accuracy with a score of 0.81, the simulation-based method demonstrated higher sensitivity, emphasizing its effectiveness in flagging potential flood zones. Third, forward-looking scenarios under Representative Concentration Pathways (RCP) 2.6 and RCP 8.5 climate trajectories were modeled to capture the potential scope of future flood impacts. The primary signal is that flooding impacts 3.2 km2 of buildings and leaves 11 of 82 evacuation sites vulnerable in the worst-case scenario. Japan’s proven disaster expertise can still jolt adaptation toward greater flexibility. Adaptive frameworks utilizing real-time and predictive insights powered by remote sensing, GIS, and machine intelligence form the core of proactive decision-making. By prioritizing the repositioning of decaying suburbs as disaster prevention hubs, steadily advancing hard and soft measures to deployment, supported by the reliability of DioVISTA as a flood simulator, and fueling participatory, citizen-led ties within a community, resilience shifts from a reactive shield to a living ecosystem, aiming for zero victims. Full article
(This article belongs to the Special Issue Advances in Urban Spatial Analysis, Modeling and Simulation)
Show Figures

Figure 1

19 pages, 8273 KB  
Article
Fine Identification of Landslide Acceleration Phase Using Time Logarithm Prediction Method Based on Arc Synthetic Aperture Radar Monitoring Data
by Chong Li, Liguan Wang, Jiaheng Wang and Jun Zhang
Appl. Sci. 2025, 15(4), 2147; https://doi.org/10.3390/app15042147 - 18 Feb 2025
Viewed by 730
Abstract
In the field of slope landslide prevention and monitoring in open-pit mines, addressing the lag issues associated with the traditional GNSS inverse-velocity method, this study introduces a novel strategy that integrates high-spatiotemporal-resolution monitoring data from ArcSAR with a time log model for prediction. [...] Read more.
In the field of slope landslide prevention and monitoring in open-pit mines, addressing the lag issues associated with the traditional GNSS inverse-velocity method, this study introduces a novel strategy that integrates high-spatiotemporal-resolution monitoring data from ArcSAR with a time log model for prediction. The key findings include the following: (1) This strategy utilizes the normal distribution characteristics of deformation velocities to set confidence intervals, accurately identifying the starting point of accelerated deformation. (2) Coupled with coordinate transformation, the time logarithm prediction method was constructed, unifying the units of measurement and resolving convergence issues in data fitting. (3) Empirical research conducted at the Kambove open-pit mine in the Democratic Republic of the Congo demonstrates that this method successfully predicts landslide times four hours in advance, with an error margin of only 0.18 h. This innovation offers robust technical support for slope landslide prevention and control in open-pit mines, enhancing safety standards and mitigating disaster losses. Full article
(This article belongs to the Special Issue Novel Technologies in Intelligent Coal Mining)
Show Figures

Figure 1

23 pages, 19010 KB  
Article
C-SAR/02 Satellite Polarimetric Calibration and Validation Based on Active Radar Calibrators
by Yanan Jiao, Fengli Zhang, Xiaochen Liu, Zhiwei Huang and Jingwen Yuan
Remote Sens. 2025, 17(2), 282; https://doi.org/10.3390/rs17020282 - 15 Jan 2025
Cited by 1 | Viewed by 1246
Abstract
Quad-polarization synthetic aperture radar (SAR) satellites are important detection tools in Earth observation and remote sensing; in particular, they are of great significance for accurately interpreting radar data and inverting geophysical parameters. Polarimetric calibration is particularly critical to eliminate the effects of distortion [...] Read more.
Quad-polarization synthetic aperture radar (SAR) satellites are important detection tools in Earth observation and remote sensing; in particular, they are of great significance for accurately interpreting radar data and inverting geophysical parameters. Polarimetric calibration is particularly critical to eliminate the effects of distortion in polarized SAR data. The C-SAR/02 satellite launched by China is an important part of the C-band synthetic aperture radar (SAR) constellation, and the quad-polarization strip I (QPSI) is an important imaging mode for its sea–land observation. The relevant research on its polarimetric calibration is still lacking. This study’s polarimetric calibration of C-SAR/02 was performed based on the active radar calibrator (ARC) method using four independently developed L/S/C multi-band ARCs and several trihedral corner reflectors (CRs). The polarimetric calibration distortion matrix varies along the range direction; the polarimetric calibration distortion matrix and polarimetric calibration accuracy along the range direction were analyzed, incorporating the devices in different range directions to calculate the distortion matrix. This approach improved the accuracy of the polarimetric calibration results and the effect of the quantization application of the C-SAR satellites. Moreover, our experimental results indicate that the method presented herein is suitable for the C-SAR/02 satellite and may also be more universally applicable to C-SAR-series satellites. Full article
(This article belongs to the Special Issue Spaceborne SAR Calibration Technology)
Show Figures

Figure 1

15 pages, 1776 KB  
Article
Characterization and Modelling of Potential Seaborne Disasters, in the ANA Region
by Ashraf Labib, Dylan Jones, Natalia Andreassen, Rune Elvegård and Mikel Dominguez Cainzos
Appl. Sci. 2025, 15(2), 782; https://doi.org/10.3390/app15020782 - 14 Jan 2025
Cited by 1 | Viewed by 1015
Abstract
Shipping activities continue to experience growth across a multitude of industrial sectors within the Arctic, hence there are risks in terms of severity and likelihood of accidents. The Arctic region is inherently dangerous to transportation and human existence due to its extreme climate [...] Read more.
Shipping activities continue to experience growth across a multitude of industrial sectors within the Arctic, hence there are risks in terms of severity and likelihood of accidents. The Arctic region is inherently dangerous to transportation and human existence due to its extreme climate and environmental conditions, and hence the complexities associated with emergency situations within the maritime domain are amplified when operating within the Arctic and North-Atlantic (ANA). The definition and characterisation of potential seaborne disasters and catastrophic incidents in the ANA region are significant enablers in providing a set of critical and sustainable tools for Search and Rescue (SAR), Oil Spill Response (OSR), and emergency management practitioners. Therefore, in this paper we aim to identify and characterise high-priority potential seaborne disasters and catastrophic incidents in the ANA region such as cruise ship accidents, oil leaks, radiological leaks, and fishing boat groundings. These were compiled as an outcome of a set of workshops carried out as part of the ARCSAR, EU Horizon 2020 funded project, and from analysis of the literature. We also provide root cause analysis techniques, tools for strategic decision-making, and means of mitigation. We demonstrate how such tools can be used by applying some of them to a selective case study and drawing lessons learned from the application of root cause analysis, which can help emergency response organisations with preparedness work and hence more efficient response. In doing so, we provide a set of tools that can be used for strategic and operational learning. Such approaches can help standardise the definition and characterisation of potential seaborne disasters and catastrophic incidents in the ANA region in both prospective and retrospective analysis. Full article
(This article belongs to the Special Issue Risk and Safety of Maritime Transportation)
Show Figures

Figure 1

21 pages, 3865 KB  
Article
Magnetosphere–Ionosphere Conjugate Harang Discontinuity and Sub-Auroral Polarization Streams (SAPS) Phenomena Observed by Multipoint Satellites
by Ildiko Horvath and Brian C. Lovell
Atmosphere 2024, 15(12), 1462; https://doi.org/10.3390/atmos15121462 - 7 Dec 2024
Cited by 1 | Viewed by 1296
Abstract
It is well understood that near midnight, the Harang Discontinuity separates the auroral duskside eastward electrojet (EEJ) and dawnside westward electrojet (WEJ) and associated plasma flows driven by enhanced magnetospheric convections via Magnetosphere–Ionosphere (M–I) coupling. There are conflicting reports regarding the significance of [...] Read more.
It is well understood that near midnight, the Harang Discontinuity separates the auroral duskside eastward electrojet (EEJ) and dawnside westward electrojet (WEJ) and associated plasma flows driven by enhanced magnetospheric convections via Magnetosphere–Ionosphere (M–I) coupling. There are conflicting reports regarding the significance of Region1 (R1) and R2 currents and the enhancement of Sub-Auroral Polarization Streams (SAPS) in the Harang region. We investigate the M–I conjugate Harang and SAPS phenomena using multipoint satellite observations. Results show the inner-magnetosphere (1) Harang region at midnight (between the plasmapause and the closed/open field-line boundary) with (2) a strong SAPS electric field (EX ≈ 30 mV/m; in magnitude) in a fast-time voltage generator (VGFT) near the plasmapause and the topside ionosphere (3) Harang Discontinuity (where R1 and R2 currents flow along) with (4) an enhanced SAPS flow (~1800 m/s) in the underlying VGFT system (requiring no R2 currents). From these (1–4) findings we conclude (i) the significance of both R1 and R2 currents in the observed M–I conjugate Harang phenomenon’s development, (ii) the different development of the reversing EEJ–WEJ compared to the regular auroral EEJ and WEJ in the topside ionosphere R1–R2 system, and (iii) the R2 currents’ absence in the enhanced SAPS flow newly formed in the VGFT system. Full article
(This article belongs to the Special Issue Coupling between Plasmasphere and Upper Atmosphere)
Show Figures

Figure 1

39 pages, 61918 KB  
Article
Learning Ground Displacement Signals Directly from InSAR-Wrapped Interferograms
by Lama Moualla, Alessio Rucci, Giampiero Naletto and Nantheera Anantrasirichai
Sensors 2024, 24(8), 2637; https://doi.org/10.3390/s24082637 - 20 Apr 2024
Cited by 2 | Viewed by 2248
Abstract
Monitoring ground displacements identifies potential geohazard risks early before they cause critical damage. Interferometric synthetic aperture radar (InSAR) is one of the techniques that can monitor these displacements with sub-millimeter accuracy. However, using the InSAR technique is challenging due to the need for [...] Read more.
Monitoring ground displacements identifies potential geohazard risks early before they cause critical damage. Interferometric synthetic aperture radar (InSAR) is one of the techniques that can monitor these displacements with sub-millimeter accuracy. However, using the InSAR technique is challenging due to the need for high expertise, large data volumes, and other complexities. Accordingly, the development of an automated system to indicate ground displacements directly from the wrapped interferograms and coherence maps could be highly advantageous. Here, we compare different machine learning algorithms to evaluate the feasibility of achieving this objective. The inputs for the implemented machine learning models were pixels selected from the filtered-wrapped interferograms of Sentinel-1, using a coherence threshold. The outputs were the same pixels labeled as fast positive, positive, fast negative, negative, and undefined movements. These labels were assigned based on the velocity values of the measurement points located within the pixels. We used the Parallel Small Baseline Subset service of the European Space Agency’s GeoHazards Exploitation Platform to create the necessary interferograms, coherence, and deformation velocity maps. Subsequently, we applied a high-pass filter to the wrapped interferograms to separate the displacement signal from the atmospheric errors. We successfully identified the patterns associated with slow and fast movements by discerning the unique distributions within the matrices representing each movement class. The experiments included three case studies (from Italy, Portugal, and the United States), noted for their high sensitivity to landslides. We found that the Cosine K-nearest neighbor model achieved the best test accuracy. It is important to note that the test sets were not merely hidden parts of the training set within the same region but also included adjacent areas. We further improved the performance with pseudo-labeling, an approach aimed at evaluating the generalizability and robustness of the trained model beyond its immediate training environment. The lowest test accuracy achieved by the implemented algorithm was 80.1%. Furthermore, we used ArcGIS Pro 3.3 to compare the ground truth with the predictions to visualize the results better. The comparison aimed to explore indications of displacements affecting the main roads in the studied area. Full article
(This article belongs to the Special Issue Intelligent SAR Target Detection and Recognition)
Show Figures

Figure 1

16 pages, 12646 KB  
Article
Application of Time Series INSAR (SBAS) Method Using Sentinel-1 for Monitoring Ground Deformation of the Aegina Island (Western Edge of Hellenic Volcanic Arc)
by Ioanna-Efstathia Kalavrezou, Ignacio Castro-Melgar, Dimitra Nika, Theodoros Gatsios, Spyros Lalechos and Issaak Parcharidis
Land 2024, 13(4), 485; https://doi.org/10.3390/land13040485 - 9 Apr 2024
Cited by 17 | Viewed by 4699
Abstract
This study employs advanced synthetic aperture radar (SAR) techniques, specifically the small baseline subset (SBAS) method, to analyze ground deformation dynamics on Aegina, a volcanic island within the Hellenic Volcanic Arc. Using Sentinel-1 satellite data spanning January 2016 to May 2023, this research [...] Read more.
This study employs advanced synthetic aperture radar (SAR) techniques, specifically the small baseline subset (SBAS) method, to analyze ground deformation dynamics on Aegina, a volcanic island within the Hellenic Volcanic Arc. Using Sentinel-1 satellite data spanning January 2016 to May 2023, this research reveals different deformation behaviors. The towns of Aegina and Saint Marina portray regions of stability, contrasting with central areas exhibiting subsidence rates of up to 1 cm/year. The absence of deformation consistent with volcanic activity on Aegina Island aligns with geological records and limited seismic activity, attributing the observed subsidence processes to settlement phenomena from past volcanic events and regional geothermal activity. These findings reinforce the need for continuous monitoring of the volcanic islands located in the Hellenic Volcanic Arc, providing important insights for local risk management, and contributing to our broader understanding of geodynamic and volcanic processes. Full article
(This article belongs to the Special Issue Ground Deformation Monitoring via Remote Sensing Time Series Data)
Show Figures

Figure 1

17 pages, 32017 KB  
Article
An Analysis of the Rice-Cultivation Dynamics in the Lower Utcubamba River Basin Using SAR and Optical Imagery in Google Earth Engine (GEE)
by Angel James Medina Medina, Rolando Salas López, Jhon Antony Zabaleta Santisteban, Katerin Meliza Tuesta Trauco, Efrain Yury Turpo Cayo, Nixon Huaman Haro, Manuel Oliva Cruz and Darwin Gómez Fernández
Agronomy 2024, 14(3), 557; https://doi.org/10.3390/agronomy14030557 - 8 Mar 2024
Cited by 8 | Viewed by 3281
Abstract
One of the world’s major agricultural crops is rice (Oryza sativa), a staple food for more than half of the global population. In this research, synthetic aperture radar (SAR) and optical images are used to analyze the monthly dynamics of this crop in [...] Read more.
One of the world’s major agricultural crops is rice (Oryza sativa), a staple food for more than half of the global population. In this research, synthetic aperture radar (SAR) and optical images are used to analyze the monthly dynamics of this crop in the lower Utcubamba river basin, Peru. In addition, this study addresses the need to obtain accurate and timely information on the areas under cultivation in order to calculate their agricultural production. To achieve this, SAR sensor and Sentinel-2 optical remote sensing images were integrated using computer technology, and the monthly dynamics of the rice crops were analyzed through mapping and geometric calculation of the surveyed areas. An algorithm was developed on the Google Earth Engine (GEE) virtual platform for the classification of the Sentinel-1 and Sentinel-2 images and a combination of both, the result of which was improved in ArcGIS Pro software version 3.0.1 using a spatial filter to reduce the “salt and pepper” effect. A total of 168 SAR images and 96 optical images were obtained, corrected, and classified using machine learning algorithms, achieving a monthly average accuracy of 96.4% and 0.951 with respect to the overall accuracy (OA) and Kappa Index (KI), respectively, in the year 2019. For the year 2020, the monthly averages were 94.4% for the OA and 0.922 for the KI. Thus, optical and SAR data offer excellent integration to address the information gaps between them, are of great importance to obtaining more robust products, and can be applied to improving agricultural production planning and management. Full article
(This article belongs to the Special Issue Application of Remote Sensing and GIS Technology in Agriculture)
Show Figures

Figure 1

11 pages, 2680 KB  
Article
An Environmental Equity Assessment Using a Social Vulnerability Index during the SARS-CoV-2 Pandemic for Siting of Wastewater-Based Epidemiology Locations in the United States
by Jessica R. Mosher, Jim E. Banta, Rhonda Spencer-Hwang, Colleen C. Naughton, Krystin F. Kadonsky, Thomas Hile and Ryan G. Sinclair
Geographies 2024, 4(1), 141-151; https://doi.org/10.3390/geographies4010009 - 16 Feb 2024
Cited by 3 | Viewed by 2784
Abstract
Research has shown that there has consistently been a lack of equity and accessibility to SARS-CoV-2 testing in underserved and disadvantaged areas in the United States. This study examines the distribution of Wastewater-Based Epidemiology (WBE) testing placement across the United States (US), particularly [...] Read more.
Research has shown that there has consistently been a lack of equity and accessibility to SARS-CoV-2 testing in underserved and disadvantaged areas in the United States. This study examines the distribution of Wastewater-Based Epidemiology (WBE) testing placement across the United States (US), particularly within the context of underserved communities, and explores an environmental equity approach to address the impact of WBE on future pandemics. The methods combined the Centers for Disease Control Social Vulnerability Index (CDC-SVI) data set at the county level in a geospatial analysis utilizing ArcGIS and multilinear regression analysis as independent variables to investigate disparities in WBE coverage in the US. The findings show that disparities exist between counties in the use of WBE nationwide. The results show that WBE is distributed inequitably on national and state levels. Considering the nationwide adoption of WBE and funding availability through the CDC National Wastewater Surveillance System, these findings underscore the importance of equitable WBE coverage for effective COVID-19 monitoring. These findings offer data to support that a focus on expanding WBE coverage to underserved communities ensures a proactive and inclusive strategy against future pandemics. Full article
Show Figures

Figure 1

24 pages, 9658 KB  
Article
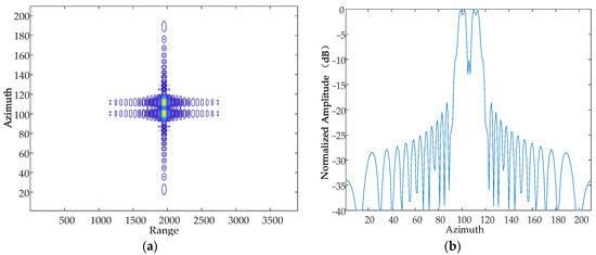
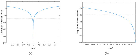
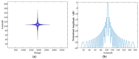
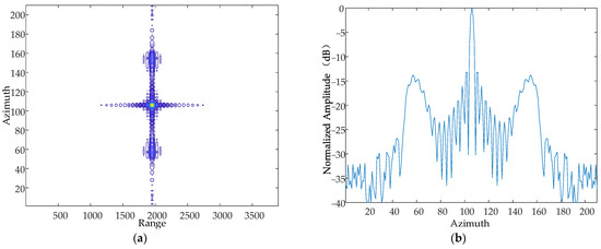
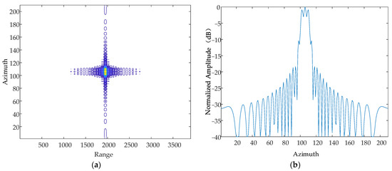
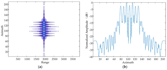
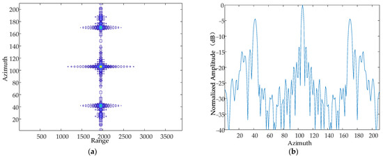
An Airborne Arc Array Synthetic Aperture Radar Vibration Error Compensation Method
by Mengxue Xiao, Pingping Huang, Wei Xu, Weixian Tan, Zhiqi Gao and Yaolong Qi
Sensors 2024, 24(3), 1013; https://doi.org/10.3390/s24031013 - 4 Feb 2024
Cited by 2 | Viewed by 1455
Abstract
Compared to conventional radars, arc array synthetic aperture radar (SAR) enables wide-area observation under ideal conditions. However, helicopters carrying arc array SAR platforms are generally smaller in size and more sensitive to vibration, which has a greater impact on the imaging quality. In [...] Read more.
Compared to conventional radars, arc array synthetic aperture radar (SAR) enables wide-area observation under ideal conditions. However, helicopters carrying arc array SAR platforms are generally smaller in size and more sensitive to vibration, which has a greater impact on the imaging quality. In this paper, the vibration error of the arc array SAR platform is investigated, and a vibration error model of the arc array SAR platform is established. Based on the study of the vibration error model, a vibration phase estimation and compensation algorithm based on the delayed conjugate multiplication method is proposed. In the first step, distance pulse pressure processing is performed on the echo signal. In the second step, the pulse pressure signals and their delays in the same distance unit are subjected to conjugate multiplication, and the phase of the signal after conjugate multiplication is extracted. The extracted phase is then amplitude- and phase-compensated to estimate the vibration phase. In the third step, the vibration phase is compensated in the azimuthal direction of the distance pulse pressure signal, and the pairwise echo is eliminated, which completes the compensation of the airborne arc array SAR vibration platform. Full article
(This article belongs to the Section Radar Sensors)
Show Figures

Figure 1

Back to TopTop