Sign in to use this feature.

Years

Between: -

Subjects

remove_circle_outline
remove_circle_outline
remove_circle_outline
remove_circle_outline
remove_circle_outline
remove_circle_outline
remove_circle_outline
remove_circle_outline
remove_circle_outline

Journals

remove_circle_outline
remove_circle_outline
remove_circle_outline
remove_circle_outline
remove_circle_outline
remove_circle_outline
remove_circle_outline
remove_circle_outline
remove_circle_outline
remove_circle_outline
remove_circle_outline
remove_circle_outline
remove_circle_outline
remove_circle_outline

Article Types

Countries / Regions

remove_circle_outline
remove_circle_outline
remove_circle_outline
remove_circle_outline
remove_circle_outline
remove_circle_outline
remove_circle_outline
remove_circle_outline
remove_circle_outline

Search Results (3,408)

Search Parameters:
Keywords = 1H NMR analysis

Order results
Result details
Results per page
Select all
Export citation of selected articles as:
5 pages, 465 KB  
Short Note
Methyl (1aRS,7aSR)-7-formyl-1a-phenyl-1,1a-dihydroazirino[2,3-b]benzo[e][1,4]thiazine-7a(7H)-carboxylate
by Ilya P. Filippov, Anastasiya V. Agafonova, Nikolai V. Rostovskii and Mikhail S. Novikov
Molbank 2025, 2025(4), M2101; https://doi.org/10.3390/M2101 (registering DOI) - 4 Dec 2025
Abstract
The first representative of the aziridine-fused benzo[e][1,4]thiazine series was synthesized from methyl 2-bromo-2-phenyl-2H-azirine-2-carboxylate and benzo[d]thiazole in 74% yield. The reaction proceeds via the SN2′-SN2′-cascade to form the azirinylthiazolium salt followed by a [...] Read more.
The first representative of the aziridine-fused benzo[e][1,4]thiazine series was synthesized from methyl 2-bromo-2-phenyl-2H-azirine-2-carboxylate and benzo[d]thiazole in 74% yield. The reaction proceeds via the SN2′-SN2′-cascade to form the azirinylthiazolium salt followed by a water-induced thiazole ring expansion. The structure of the title compound was established based on 1H, 13C, 2D NMR spectroscopy and high-resolution mass spectrometry, and unambiguously confirmed by X-ray diffraction analysis. Full article
(This article belongs to the Section Organic Synthesis and Biosynthesis)
Show Figures

Graphical abstract

17 pages, 3142 KB  
Article
Novel Organosilicon Tetramers with Dialkyl-Substituted [1]Benzothieno[3,2-b]benzothiophene Moieties for Solution-Processible Organic Electronics
by Irina O. Gudkova, Evgeniy A. Zaborin, Alexander I. Buzin, Artem V. Bakirov, Yaroslava O. Titova, Oleg V. Borshchev, Sergey N. Chvalun and Sergey A. Ponomarenko
Molecules 2025, 30(23), 4639; https://doi.org/10.3390/molecules30234639 - 3 Dec 2025
Viewed by 120
Abstract
The synthesis, phase behavior and semiconductor properties of two novel organosilicon tetramers with dialkyl-substituted [1]benzothieno[3,2-b]benzothiophene (BTBT) moieties, D4-Und-BTBT-Hex and D4-Hex-BTBT-Oct, are described. The synthesis of these molecules was carried out by sequential modification of the BTBT core by carbonyl-containing functional alkyl substituents [...] Read more.
The synthesis, phase behavior and semiconductor properties of two novel organosilicon tetramers with dialkyl-substituted [1]benzothieno[3,2-b]benzothiophene (BTBT) moieties, D4-Und-BTBT-Hex and D4-Hex-BTBT-Oct, are described. The synthesis of these molecules was carried out by sequential modification of the BTBT core by carbonyl-containing functional alkyl substituents using the Friedel–Crafts reaction, followed by the reduction in the keto group. The target tetramers, D4-Und-BTBT-Hex and D4-Hex-BTBT-Oct, were obtained by the hydrosilylation reaction between tetraallylsilane and corresponding 1,1,3,3-tetramethyl-1-(ω-(7-alkyl[1]benzothieno[3,2-b]benzothiophen-2-yl)alkyl)disiloxanes. The chemical structure of the compounds obtained was confirmed by NMR 1H-, 13C- and 29Si-spectroscopy, gel permeation chromatography and elemental analysis. Their phase behavior was investigated by differential scanning calorimetry, polarization optical microscopy and X-ray diffraction analysis. It was found that D4-Und-BTBT-Hex shows higher crystallinity at room temperature as compared to D4-Hex-BTBT-Oct, while both molecules possess smectic ordering favorable for active layer formation in organic field-effect transistors (OFETs). The active layers were applied by spin-coating under conditions of a homogeneous thin layer formation with a low content of defects. The devices obtained from D4-Und-BTBT-Hex have demonstrated good semiconductor characteristics in OFETs with a hole mobility up to 3.5 × 10−2 cm2 V−1 s−1, a low threshold voltage and an on/off ratio up to 107. Full article
(This article belongs to the Section Cross-Field Chemistry)
Show Figures

Figure 1

7 pages, 743 KB  
Short Note
1-[4-(4-Chlorophenyl)piperazin-1-yl]-2-[(4-phenyl-4H-1,2,4-triazol-3-yl)sulfanyl]ethan-1-one
by Wiktoria Drzał, Jarosław Sobstyl and Nazar Trotsko
Molbank 2025, 2025(4), M2097; https://doi.org/10.3390/M2097 (registering DOI) - 2 Dec 2025
Viewed by 96
Abstract
Heterocyclic systems such as 1,2,4-triazoles and piperazines play an important role in modern medicinal chemistry due to their structural diversity and broad spectrum of biological activities. In this Short Note, we report the synthesis and spectroscopic characterization of a new hybrid molecule combining [...] Read more.
Heterocyclic systems such as 1,2,4-triazoles and piperazines play an important role in modern medicinal chemistry due to their structural diversity and broad spectrum of biological activities. In this Short Note, we report the synthesis and spectroscopic characterization of a new hybrid molecule combining both pharmacophoric fragments: 1-[4-(4-chlorophenyl)piperazin-1-yl]-2-[(4-phenyl-4H-1,2,4-triazol-3-yl)sulfanyl]ethan-1-one (compound 3). The compound was obtained in 70% yield via S-alkylation of 4-phenyl-1,2,4-triazole-3-thione with a chloroacetyl derivative of 4-chlorophenylpiperazine under alkaline conditions. The structure of 3 was confirmed by 1H and 13C NMR spectroscopy, DEPT-135, 2D NMR (COSY, NOESY, HSQC, HMBC), FT-IR, and elemental analysis. These results support the utility of combining triazole and piperazine fragments in the design of new heterocyclic frameworks with potential biological relevance. Full article
Show Figures

Figure 1

20 pages, 4055 KB  
Article
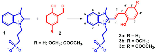
New Benzimidazole-Based pH-Sensitive Fluorescent Probes
by Artem D. Pugachev, Ivan N. Bardasov, Shorena K. Karchava, Tatiana N. Azhogina, Maria V. Klimova, Alexey E. Matukhno, Vitaly S. Dmitriev, Gennady S. Borodkin, Olga D. Lanovaya, Diana Y. Pobedinskaya, Angelina E. Polinichenko, Ludmila E. Khmelevtsova, Ivan S. Sazykin, Marina A. Sazykina and Ilya V. Ozhogin
Molecules 2025, 30(23), 4622; https://doi.org/10.3390/molecules30234622 - 1 Dec 2025
Viewed by 125
Abstract
This article is devoted to the synthesis and investigation of a family of new benzimidazole compounds with a propylsulfonate moiety, synthesized by condensation of salicylic aldehyde or its 5-substituted derivatives with 3-(2,3-dimethylbenzimidazol-1-ium-1-yl)propane-1-sulfonate. The structure of the obtained dyes was confirmed using NMR, FT-IR, [...] Read more.
This article is devoted to the synthesis and investigation of a family of new benzimidazole compounds with a propylsulfonate moiety, synthesized by condensation of salicylic aldehyde or its 5-substituted derivatives with 3-(2,3-dimethylbenzimidazol-1-ium-1-yl)propane-1-sulfonate. The structure of the obtained dyes was confirmed using NMR, FT-IR, and HRMS. Absorption and photoluminescence properties were studied in phosphate buffers over a wide pH range, and changes in the absorption and fluorescence spectra of DMSO solutions upon titration with DIPEA and HCl were also studied. It was found that all the target compounds possess pH-sensitive optical properties and can be used as fluorescent probes, while methoxycarbonyl-substituted derivative 3c demonstrated the most prominent optical and fluorescent response starting from pH ~ 4.5. The toxicity of the compounds was studied using whole-cell bioluminescent bacterial sensors. The effect on the biomass and metabolic activity of strains Staphylococcus aureus ATCC 6538-P FDA 209-P and Escherichia CDC F-50 bacterial biofilms was also investigated. In the final stage of the study, bioimaging experiments were carried out using the selected most promising dye 3c and biofilms. It was demonstrated that the dye can be excited by light with wavelengths of 458 nm or 750 nm in multiphoton mode. Importantly, when biofilms are incubated in the dye solution for 3 h, only the extracellular matrix is stained. However, if the staining time is increased to 24 h, dye penetration into bacterial cells is observed, resulting in a second photoluminescence maximum during sample analysis. It is important to note that when biofilms are incubated in a dye solution for 3 h, only the extracellular matrix is stained, while with longer staining, penetration of the dye into bacterial cells is observed, and a second photoluminescence maximum appears during sample analysis. The results obtained demonstrate a high potential of using benzimidazole-based compounds as pH-sensitive fluorescent probes operating in a biologically relevant pH range, which can be used for imaging of bacterial biofilms. Full article
(This article belongs to the Special Issue Molecular Insights into Bioluminescence and Chemiluminescence)
Show Figures

Figure 1

19 pages, 1483 KB  
Article
A Stereospecific Synthesis and In Vitro Anti-Influenza H1N1 Properties of Lithocholic Acid-Based Spiro-1,2,4-trioxolane
by Irina Smirnova, Alexander Lobov, Liana Zakirova, Dmitriy Polovyanenko, Irina Bagryanskaya, Vladimir Zarubaev and Oxana Kazakova
Molecules 2025, 30(23), 4613; https://doi.org/10.3390/molecules30234613 - 1 Dec 2025
Viewed by 175
Abstract
Bile acids provide a versatile platform for the design of biologically active compounds due to their amphiphilic structure, biocompatibility, and capacity for diverse chemical modifications. Among them, lithocholic acid is a promising scaffold for designing and revealing new antiviral agents. A novel lithocholic [...] Read more.
Bile acids provide a versatile platform for the design of biologically active compounds due to their amphiphilic structure, biocompatibility, and capacity for diverse chemical modifications. Among them, lithocholic acid is a promising scaffold for designing and revealing new antiviral agents. A novel lithocholic acid-based 3-spiro-1,2,4-trioxolane was synthesized by Griesbaum co-ozonolysis of methyl 3-O-methyl-oximino-lithocholate and 4-(trifluoromethyl)-cyclohexanone, and its structure was confirmed by 2D NMR and X-ray crystallographic analysis. Lithocholic acid derivatives were evaluated for cytotoxicity and anti-influenza activity against A/Puerto Rico/8/34 (H1N1), showing that steroid 1,2,4-trioxolane 3 exhibited the highest potency (IC50 4.3 µM, SI 11) compared to the parent methyl-3-oxo-lithocholate 1 (IC50 > 84 µM, SI 1). In silico ADME predictions revealed several favorable drug-like properties, including a highly three-dimensional structure (Fsp3 = 0.97), significant lipophilicity (LogP = 7.54), and the presence of key pharmacophores such as a peroxide moiety and a trifluoromethyl group. Taken together, a stereospecific synthesis of a lithocholic acid 3-spiro-1,2,4-trioxolane by Griesbaum co-ozonolysis was realized and the first evidence of anti-influenza activity in the steroid-1,2,4-trioxolane series was found. Full article
Show Figures

Graphical abstract

22 pages, 1782 KB  
Article
Monitoring the Transformation of Organic Matter During Composting Using 1H NMR Spectroscopy and Chemometric Analysis
by Rubén Gonsálvez-Álvarez, Encarnación Martínez-Sabater, María Ángeles Bustamante, Mario Piccioli, José A. Saez-Tovar, Luciano Orden, Concepción Paredes, Raúl Moral and Frutos C. Marhuenda-Egea
Biomass 2025, 5(4), 76; https://doi.org/10.3390/biomass5040076 - 1 Dec 2025
Viewed by 114
Abstract
Composting is an effective biotechnological process for transforming agro-industrial residues into stabilized and nutrient-rich organic amendments. However, the molecular mechanisms underlying organic matter transformation remain poorly resolved. In this study, a mixture of winery by-products and poultry manure was composted under controlled aeration [...] Read more.
Composting is an effective biotechnological process for transforming agro-industrial residues into stabilized and nutrient-rich organic amendments. However, the molecular mechanisms underlying organic matter transformation remain poorly resolved. In this study, a mixture of winery by-products and poultry manure was composted under controlled aeration and monitored through high-field 1H NMR spectroscopy of the water-extractable organic matter (WEOM), followed by interval-based chemometric analysis. The NMR spectra revealed distinct compositional trends, including the rapid depletion of amino acids and carbohydrates, the transient accumulation of low-molecular-weight organic acids, and the gradual enrichment in aromatic and phenolic compounds associated with humification processes. Chemometric modeling using Partial Least Squares (PLS) regression and its interval variants (iPLS and biPLS) enabled accurate prediction of composting time (r ≈ 0.95) and identification of diagnostic spectral intervals corresponding to key metabolites. These findings demonstrate the capability of NMR-based molecular profiling, combined with multivariate modeling, to elucidate the biochemical pathways of composting and to provide quantitative indicators of compost stability and maturity. Full article
Show Figures

Figure 1

23 pages, 4987 KB  
Article
Taxonomic and Genomic Characterization of Brevibacillus sp. JNUCC 42 from Baengnokdam Crater Lake, Mt. Halla, and Its Cosmeceutical Potential
by Jeong-Ha Lee, Mi-Yeon Moon, Mi-Sun Ko and Chang-Gu Hyun
Appl. Sci. 2025, 15(23), 12681; https://doi.org/10.3390/app152312681 - 29 Nov 2025
Viewed by 206
Abstract
Jeju Island, a volcanic island located off the southern coast of the Korean Peninsula, harbors highly specialized microbial communities shaped by its unique geological and climatic diversity. In particular, Baengnokdam Crater Lake at the summit of Mt. Halla represents an extreme, oligotrophic volcanic [...] Read more.
Jeju Island, a volcanic island located off the southern coast of the Korean Peninsula, harbors highly specialized microbial communities shaped by its unique geological and climatic diversity. In particular, Baengnokdam Crater Lake at the summit of Mt. Halla represents an extreme, oligotrophic volcanic habitat characterized by intense UV radiation, temperature fluctuations, and limited nutrients. From this environment, a novel bacterial strain, Brevibacillus sp. JNUCC 42, was isolated and subjected to comprehensive taxonomic, genomic, and biochemical analyses. The strain is a Gram-positive, aerobic, rod-shaped bacterium that grows optimally at 30 °C and pH 7.0–9.0 with moderate NaCl tolerance (≤3%). Phylogenetic analysis based on 16S rRNA gene sequencing and genome-scale GBDP confirmed its affiliation to the genus Brevibacillus, forming a distinct lineage closely related to B. laterosporus DSM 25T. Whole-genome sequencing generated a 4.93 Mb circular chromosome with a GC content of 40.7%. Comparative genomic analyses revealed ANI (87.1%) and dDDH (32.8%) values far below the species threshold, supporting its delineation as a novel species. Chemotaxonomic data further distinguished JNUCC 42 by its predominance of anteiso-C15:0 (37.24%) and iso-C15:0 (27.78%) fatty acids and the presence of a unique unidentified aminolipid not detected in the type strain. Genome mining identified 21 biosynthetic gene clusters, including NRPS, PKS, and NRPS–PKS hybrids, suggesting its potential to produce structurally diverse secondary metabolites. One of these metabolites, the cyclic dipeptide maculosin [cyclo(L-Pro-L-Tyr)], was purified from the culture extract and structurally characterized by NMR spectroscopy. Functional assays demonstrated that maculosin significantly inhibited α-MSH-induced melanogenesis and intracellular tyrosinase activity in B16F10 melanoma cells without cytotoxicity up to 100 µM. Collectively, these findings indicate that Brevibacillus sp. JNUCC 42 represents a novel species within the genus Brevibacillus and a promising microbial source of bioactive compounds with potential cosmeceutical applications. Full article
Show Figures

Figure 1

14 pages, 879 KB  
Communication
1H NMR for Comparative Metabolic Analysis of Whey and WPC-80
by Ingrid Sousa, Gaia Meoni, Leonardo Tenori, Marta Pozza, Massimo De Marchi and Giovanni Niero
Metabolites 2025, 15(12), 770; https://doi.org/10.3390/metabo15120770 - 28 Nov 2025
Viewed by 225
Abstract
Background/Objectives: Metabolites are low-molecular-weight organic compounds (<1 kDa) that act as intermediates and end products of cellular metabolism. Their characterization provides valuable information on the nutritional quality, functionality, and potential health impacts of food products. In the dairy sector, proton nuclear magnetic resonance [...] Read more.
Background/Objectives: Metabolites are low-molecular-weight organic compounds (<1 kDa) that act as intermediates and end products of cellular metabolism. Their characterization provides valuable information on the nutritional quality, functionality, and potential health impacts of food products. In the dairy sector, proton nuclear magnetic resonance (1H NMR) spectroscopy has emerged as a powerful tool for metabolite profiling, enabling the simultaneous identification and quantification of diverse compounds. In this study, 1H NMR was applied to characterize and compare the metabolic composition of whey, a major by-product of cheese and yogurt production, and whey protein concentrate (WPC-80), a whey derivative containing approximately 80% protein by weight and rich in essential amino acids. Methods: Five whey and four WPC-80 samples from a single Parmigiano Reggiano dairy plant were collected, each representing a biologically independent sample. Statistical evaluation was performed using Mann–Whitney U tests to identify significantly different metabolites between groups, while principal component analysis and partial least squares discriminant analysis were employed to assess group separation and determine discriminant metabolites. Results: The results revealed marked compositional differences: whey was higher in dimethyl sulfone, succinate, orotate, fumarate, and lactose (p < 0.05), whereas WPC-80 contained significantly higher levels of histidine, formate, glucose + glucose-6-phosphate, acetate, and choline (p < 0.05). Moreover, metabolites such as hippurate, valine, lactate + threonine, and uracil were exclusively found on whey and not in WPC-80, likely due to processing steps such as ultrafiltration. Conclusions: These findings highlight the metabolic distinctions introduced by WPC-80 processing from Parmigiano Reggiano whey and provide insights into the nutritional and functional characteristics of whey-derived products. Such knowledge can inform the design of innovative dairy ingredients and functional foods, with potential benefits for both industry applications and consumer health. Full article
(This article belongs to the Section Metabolomic Profiling Technology)
Show Figures

Figure 1

18 pages, 1319 KB  
Article
Phytochemical Profile, Toxicity Evaluation and Antinociceptive Effect of the n-Butanolic Fraction from the Leaves of Calotropis procera (Aiton) W.T Aiton (Apocynaceae)
by Kailane Lourenço Araújo, Natanael Teles Ramos de Lima, Pedro Artur Ferreira Marinho, Dara Rayanne da Silva Guedes, Marcelo Sobral da Silva, Yuri Mangueira do Nascimento, Josean Fechine Tavares, José Maria Barbosa Filho, Cinthya Maria Pereira de Souza, Vanda Lúcia dos Santos, Harley da Silva Alves, Ivana Maria Fechine and Alisson Macário de Oliveira
Plants 2025, 14(23), 3622; https://doi.org/10.3390/plants14233622 - 27 Nov 2025
Viewed by 212
Abstract
Calotropis procera, known as “Silk cotton”, stands out for the presence of various classes of bioactive compounds responsible for its ethnopharmacological properties. The study aimed to conduct a phytochemical investigation, evaluating the in vitro and in vivo toxicity together with the antinociceptive [...] Read more.
Calotropis procera, known as “Silk cotton”, stands out for the presence of various classes of bioactive compounds responsible for its ethnopharmacological properties. The study aimed to conduct a phytochemical investigation, evaluating the in vitro and in vivo toxicity together with the antinociceptive potential of an n-butanolic fraction (FB) from the leaves. The crude ethanolic extract (CEE) was obtained by maceration in ethanol for 72 h. It was then partitioned using a gradual solvent sequence. The FB was analyzed by HPLC-ESI-MS/MS in negative mode and 1H and 13C NMR. Toxicity was assessed by the erythrocyte hemolytic assay and acute oral toxicity test at a single dose of 300 mg·kg−1. The antinociceptive effect was assessed by the acetic acid-induced abdominal writhing test and the formalin test in mice at doses of 3.75, 7.5 and 15 mg·kg−1 per os. HPLC-ESI-MS/MS analysis identified flavonoids, phenolic acids, and the megastigmane roseoside, isolated for the first time in C. procera. The FB did not cause hemolytic effects or behavioral or physiological changes in mice. It showed an antinociceptive effect at all doses, reducing abdominal writhing by up to 91.46% and the licking time in phases 1 and 2 of the formalin test by up to 63.83% and 91.73%, respectively. In this study, it was possible to determine that an FB of a crude extract of C. procera leaves has antinociceptive activity, possibly associated with the phenolic compounds and roseoside found, with a lack of toxicity in vitro and in vivo, validating its ethnopharmacological use. Full article
(This article belongs to the Special Issue Phytochemistry, Pharmacology, and Toxicity of Medicinal Plants)
Show Figures

Figure 1

7 pages, 682 KB  
Short Note
(7aR*,7bR*)-7a,7b-Dihydro-15H-dibenzo[f,f′]cyclopenta[1,2-b:5,4-b′]dichromene
by Dmitry V. Osipov, Oleg P. Demidov and Vitaly A. Osyanin
Molbank 2025, 2025(4), M2096; https://doi.org/10.3390/M2096 - 27 Nov 2025
Viewed by 135
Abstract
The reaction of a 2-naphthol-derived Mannich base with the push-pull 5-morpholinopenta-2,4-dienal under acidic conditions unexpectedly afforded (7aR*,7bR*)-7a,7b-dihydro-15H-dibenzo[f,f′]cyclopenta[1,2-b:5,4-b′]dichromene. The structure of this product was unambiguously confirmed by NMR spectroscopy and [...] Read more.
The reaction of a 2-naphthol-derived Mannich base with the push-pull 5-morpholinopenta-2,4-dienal under acidic conditions unexpectedly afforded (7aR*,7bR*)-7a,7b-dihydro-15H-dibenzo[f,f′]cyclopenta[1,2-b:5,4-b′]dichromene. The structure of this product was unambiguously confirmed by NMR spectroscopy and X-ray diffraction analysis. A plausible mechanism involves the in situ generation of 1,2-naphthoquinone-1-methide, followed by a [4 + 2] cycloaddition and a subsequent interrupted iso-Nazarov cyclization. In this process, the enol tautomer of the resulting fused cyclopentenone is trapped by a second equivalent of the 1,2-naphthoquinone-1-methide, leading to the observed polycyclic framework. Full article
(This article belongs to the Collection Heterocycle Reactions)
Show Figures

Figure 1

25 pages, 5987 KB  
Article
Synthesis of Novel Arylhydrazones Bearing 8-Trifluoromethyl Quinoline: Crystal Insights, Larvicidal Activity, ADMET Predictions, and Molecular Docking Studies
by Sukumar Kotyan, Shankaranahalli N. Chandana, Doddabasavanahalli P. Ganesha, Banavase N. Lakshminarayana, Nefisath Pandikatte, Pran Kishore Deb, Manik Ghosh, Raquel M. Gleiser, Mohamad Fawzi Mahomoodally, Sukainh Aiaysh Alherz, Mohamed A. Morsy, Hany Ezzat Khalil, Mahesh Attimarad, Sreeharsha Nagaraja, Rashed M. Almuqbil, Abdulmalek Ahmed Balgoname, Bandar E. Al-Dhubiab, Afzal Haq Asif, Katharigatta N. Venugopala and Jagadeesh Prasad Dasappa
Pharmaceuticals 2025, 18(12), 1804; https://doi.org/10.3390/ph18121804 - 26 Nov 2025
Viewed by 216
Abstract
Background/Objectives: Vector-borne diseases like malaria remain a major global health concern, worsened by insecticide resistance in mosquito populations. Quinoline-based compounds have been extensively studied for their pharmacological effects, including antimalarial and larvicidal properties. Modifying quinoline structures with hydrazone groups may enhance their [...] Read more.
Background/Objectives: Vector-borne diseases like malaria remain a major global health concern, worsened by insecticide resistance in mosquito populations. Quinoline-based compounds have been extensively studied for their pharmacological effects, including antimalarial and larvicidal properties. Modifying quinoline structures with hydrazone groups may enhance their biological activity and physicochemical properties. This study reports the synthesis, structural characterization, and larvicidal testing of a new series of aryl hydrazones (6ai) derived from 8-trifluoromethyl quinoline. Methods: Compounds 6ai were prepared via condensation reactions and characterized using 1H NMR, 19F-NMR, 13C NMR, and HRMS techniques. Their larvicidal activity was tested against Anopheles arabiensis. Single-crystal X-ray diffraction (XRD) was performed on compound 6d to determine its three-dimensional structure. Hirshfeld surface analysis, fingerprint plots, and interaction energy calculations (HF/3-21G) were used to examine intermolecular interactions. Quantum chemical parameters were computed using density functional theory (DFT). Molecular docking studies were performed for the synthesized compounds 6ai against the target acetylcholinesterase from the malaria vector (6ARY). In silico ADMET properties were also calculated to evaluate the drug-likeness of all the tested compounds. Results: Compound 6a showed the highest larvicidal activity, causing significant mortality in Anopheles arabiensis larvae. Single-crystal XRD analysis of 6d revealed a monoclinic crystal system with space group P21/c, stabilized by N–H···N intermolecular hydrogen bonds. Hirshfeld analysis identified H···H (22.0%) and C···H (12.1%) interactions as key contributors to molecular packing. Density functional theory results indicated a favorable HOMO–LUMO energy gap, supporting molecular stability and good electronic distribution. The most active compounds, 6a and 6d, also showed strong binding interactions with the target protein 6ARY and satisfactory ADMET properties. The BOILED-Egg model is a powerful tool for predicting both blood–brain barrier (BBB) and gastrointestinal permeation by calculating the lipophilicity and polarity of the reported compounds 6ai. Conclusions: The synthesized arylhydrazone derivatives demonstrated promising larvicidal activity. Combined crystallographic and computational studies support their structural stability and suitability for further development as eco-friendly bioactive agents in malaria vector control. Full article
Show Figures

Graphical abstract

15 pages, 1795 KB  
Article
Optimization of Mono- and Disaccharide Extraction from Cocoa pod Husk
by Edna Elena Suárez-Patlán, Teodoro Espinosa-Solares, José Enrique Herbert-Pucheta, Holber Zuleta-Prada and Emanuel Hernández-Núñez
Polysaccharides 2025, 6(4), 105; https://doi.org/10.3390/polysaccharides6040105 - 25 Nov 2025
Viewed by 190
Abstract
Cocoa pod husk (CPH) is a potential material to produce value-added products. The objective of this study was to optimize the microwave-assisted hydrothermal pretreatment (MA-HTP) of CPH and CPH hemicellulose (HMC-CPH) using only water as the extraction medium, in combination with response surface [...] Read more.
Cocoa pod husk (CPH) is a potential material to produce value-added products. The objective of this study was to optimize the microwave-assisted hydrothermal pretreatment (MA-HTP) of CPH and CPH hemicellulose (HMC-CPH) using only water as the extraction medium, in combination with response surface analysis (RSA), Box–Behnken design (BBD), and proton nuclear magnetic resonance identification and quantification (1H NMR Qu) to provide an efficient protocol for the extraction of mono- and disaccharides, as a novel method for which no precedent was found. The methodology consisted of 15 CPH MA-HTPs and 15 HMC-CPH MA-HTPs (triplicate) designed by RSA-BBD; the experimental variables were time, temperature, and power, and the response was the concentration of extraction products. Glucose, sucrose, and fructose were identified as products of the extractions by 1H NMR. With 95% confidence, higher sucrose content was determined for CPH (45.62%) compared to HMC-CPH (17.34%), high fructose content for both CPH and HMC-CPH (37.88% and 35.37%, respectively), and minimal glucose concentrations were obtained in both CPH and HMC-CPH (4.57% and 0.93%, respectively). Using RSA-BBD, optimal temperature, power, and time points were predicted for glucose CPH: 135.4 °C, 180.6 W, and 5.8 min; sucrose: 154.3 °C, 256.3 W, and 20. 2 min; fructose 129.5 °C, 173.8 W, and 5.27 min. For HMC-CPH, the optimal conditions were as follows: glucose: 142.2 °C, 204.4 W, and 10.5 min; sucrose: 148.8 °C, 215.6 W, and 14.3 min; fructose: 151.6 °C, 231.6 W, and 13 min. Full article
(This article belongs to the Collection Bioactive Polysaccharides)
Show Figures

Graphical abstract

16 pages, 2826 KB  
Article
Integrative Genomic and Metabolomic Analysis Identifies mQTLs Associated with Genetic Selection for Tenderness in Nellore Cattle
by Joao Marcos Bovetto de Campos Valim, Vinicius Laerte Silva Herreira, Ana Laura dos Santos Munhoz Gôngora, Lauro César Ferreira Beltrão, Eduardo Solano Pina dos Santos, Brenda Santos de Oliveira, Guilherme Pugliesi, Miguel Henrique de Almeida Santana, Guilherme Henrique Gebim Polizel, Luiz Alberto Colnago, Fernanda Maria Marins Ocampos, Germán Dário Ramírez-Zamudio, Saulo Luz Silva and Nara Regina Brandão Cônsolo
Metabolites 2025, 15(12), 760; https://doi.org/10.3390/metabo15120760 - 25 Nov 2025
Viewed by 215
Abstract
Background: Beef tenderness is a key quality attribute that significantly influences consumer satisfaction; however, it exhibits considerable variability due to both genetic and environmental factors. While genomic selection based on Expected Progeny Differences (EPDs) has improved the accuracy of predictions, a substantial portion [...] Read more.
Background: Beef tenderness is a key quality attribute that significantly influences consumer satisfaction; however, it exhibits considerable variability due to both genetic and environmental factors. While genomic selection based on Expected Progeny Differences (EPDs) has improved the accuracy of predictions, a substantial portion of tenderness variability remains unexplained. Metabolomics has emerged as a valuable approach to address this gap, as metabolites reflect gene–environment interactions and may serve as biomarkers for complex traits such as meat tenderness. Objectives: This study aimed to integrate genomic and metabolomic data to identify genetic loci associated with serum metabolites in Nellore calves, offspring of sires with contrasting EPDs for meat tenderness. Methods: Ninety-five male calves were evaluated and divided into two groups according to the sires’ genetic merit: FA-T (favorable EPD for tenderness, n = 45) and UN-T (unfavorable EPD for tenderness, n = 46). Blood serum samples were analyzed by 1H NMR spectroscopy to quantify 40 metabolites, and genotyping was performed using a medium-density SNP panel. Metabolite quantitative trait loci (mQTL) were identified using the MatrixEQTL package, and metabolic enrichment analysis was performed in MetaboAnalyst 6.0. Results: In the FA-T group, SNPs were associated with metabolites such as phenylalanine, tyrosine, and succinate, suggesting enhanced oxidative metabolism and preservation of proteolysis. In the UN-T group, associations of pyruvate, creatinine, and glutamine with distinct SNPs indicated greater reliance on anaerobic glycolysis and early ATP consumption, potentially impairing phosphorylation and postmortem proteolytic activity. Conclusions: These findings suggest that genetic selection for tenderness may induce early divergent metabolic profiles, likely leading to persistent differences in postmortem biochemical pathways, with important implications for meat tenderness. Full article
Show Figures

Figure 1

15 pages, 1910 KB  
Article
Optimizing Gelatin Methacryloyl for Craniofacial Muscle Regeneration: Material Design and Application
by Mohammad B. Aljaber, Omar Alageel, David Y. S. Chau and Jonathan C. Knowles
Gels 2025, 11(12), 945; https://doi.org/10.3390/gels11120945 - 24 Nov 2025
Viewed by 201
Abstract
Gelatin methacryloyl (GelMA) hydrogels are widely used in tissue engineering because of their tunable mechanical and biological properties. However, many studies have arbitrarily selected key synthesis parameters, such as methacrylic anhydride (MA) concentration, (lithium phenyl-2 4 6-trimethyl-benzoyl phosphinate) LAP concentration, GelMA content, UV [...] Read more.
Gelatin methacryloyl (GelMA) hydrogels are widely used in tissue engineering because of their tunable mechanical and biological properties. However, many studies have arbitrarily selected key synthesis parameters, such as methacrylic anhydride (MA) concentration, (lithium phenyl-2 4 6-trimethyl-benzoyl phosphinate) LAP concentration, GelMA content, UV exposure time, and reaction duration, without clear justification. This study aimed to systematically optimize GelMA hydrogel fabrication and evaluate the mechanical and biological performances of the resulting hydrogels for craniofacial muscle tissue engineering. Hydrogels were synthesized following a standardized protocol, and the reaction progress was confirmed via proton nuclear magnetic resonance (1H-NMR). The swelling ratio, degradation behavior, compressive strength, and metabolic activity (AlamarBlue assay using C2C12 myoblasts) were assessed. Statistical analysis was performed using independent t-tests and one-way ANOVA with Tukey’s post hoc test (p < 0.05). The results showed that small variations in MA concentration and reaction time significantly affected the hydrogel properties. Higher GelMA concentrations (10–20%) enhanced the mechanical strength but reduced the biological activity. LAP ≥ 0.5% and prolonged UV exposure lowered metabolic activity, whereas 0.1% LAP with 1–2 min of UV exposure provided an optimal balance. These findings provide a reproducible framework for GelMA fabrication and establish a foundation for developing tailored biomaterials for muscle tissue engineering. Full article
(This article belongs to the Section Gel Processing and Engineering)
Show Figures

Figure 1

20 pages, 5671 KB  
Article
The Synthesis of Zinc Complex of Salicylaldehyde Serine Schiff Base and Assessment of Its Efficiency as a Heat Stabilizer for Poly (Vinyl Chloride)
by Feng Ye, Zhihao Yan, Haoran Ma, Kangjie Guo, Cheng You, Qingsong Zheng, Shafeng Lv, Xiaodong Wang, Qiufeng Ye, Yeqian Ge, Zhuanyong Zou and Chi Shen
Polymers 2025, 17(23), 3119; https://doi.org/10.3390/polym17233119 - 24 Nov 2025
Viewed by 375
Abstract
The zinc complex of salicylaldehyde serine Schiff base (ZnL) was synthesized from serine, salicylaldehyde, and zinc diacetate and subsequently applied as a heat stabilizer in poly (vinyl chloride) (PVC). The structure of ZnL was determined using elemental analysis, crucible thermogravimetric method, infrared spectroscopy, [...] Read more.
The zinc complex of salicylaldehyde serine Schiff base (ZnL) was synthesized from serine, salicylaldehyde, and zinc diacetate and subsequently applied as a heat stabilizer in poly (vinyl chloride) (PVC). The structure of ZnL was determined using elemental analysis, crucible thermogravimetric method, infrared spectroscopy, thermogravimetric analysis and 1H NMR spectra. The heat stability effect of ZnL for PVC was investigated using the Congo red and oven aging methods. The results indicated that PVC stabilized by ZnL exhibited a certain degree of original whiteness and long-term heat resistance. In contrast with PVC stabilized by ZnSt2 and Ca/Zn, ZnL was found to be slightly inferior in terms of whiteness but superior in long-term heat resistance. It was observed that complexation of ZnL with CaSt2 could enhance both the original whiteness and long-term heat resistance of PVC, while also alleviating the “zinc burning” phenomenon. In contrast, complexation with ZnSt2 was found to promote “zinc burning” for PVC. Furthermore, the heat stability mechanism of ZnL for PVC was explored through experiments focusing on HCl absorption and active chlorine substitution. The results demonstrated that ZnL could replace active chlorine on the PVC molecule and absorb HCl gas. Finally, auxiliary heat stabilizers such as pentaerythritol (Pe), dibenzoyl methane (DBM), and epoxidized soybean oil (ESBO) were added to ZnL/CaSt2 to evaluate their synergistic effects. It was found that ESBO in PVC exhibited the best synergistic effect with ZnL/CaSt2 and was superior to those observed with DBM and Pe. When the ratio of ZnL/CaSt2/ESBO was set at 0.6/2.4/0.9, PVC demonstrated the optimal thermal stability performance. Full article
(This article belongs to the Special Issue Recent Advances in Flame-Retardant Polymeric Materials)
Show Figures

Figure 1

Back to TopTop