Sign in to use this feature.

Years

Between: -

Subjects

remove_circle_outline
remove_circle_outline
remove_circle_outline
remove_circle_outline
remove_circle_outline
remove_circle_outline
remove_circle_outline
remove_circle_outline
remove_circle_outline

Journals

remove_circle_outline
remove_circle_outline
remove_circle_outline
remove_circle_outline
remove_circle_outline
remove_circle_outline
remove_circle_outline
remove_circle_outline
remove_circle_outline
remove_circle_outline
remove_circle_outline

Article Types

Countries / Regions

remove_circle_outline
remove_circle_outline
remove_circle_outline
remove_circle_outline

Search Results (631)

Search Parameters:
Keywords = 1.5 °C mitigation pathway

Order results
Result details
Results per page
Select all
Export citation of selected articles as:
16 pages, 3003 KB  
Article
Effects of Light Irradiation Conditions on Nitrogen and Phosphorus Removal in Microalgae–Bacteria Biofilm Systems Treating Low-Carbon-to-Nitrogen Wastewater
by Zi Huang, Lei Hu, Qi Liu, Wentao Wang, Weijia Zhao, Tengyi Zhu and Qingan Meng
Water 2025, 17(23), 3426; https://doi.org/10.3390/w17233426 - 2 Dec 2025
Abstract
The influence of light on nutrient removal in microalgae–bacteria biofilm systems containing polyphosphate-accumulating organisms (PAOs) remains unclear under low-carbon-to-nitrogen (C/N) ratio wastewater. This study investigated the effects of different light energy density (Es, 16.23–1101.61 J/gVSS) on the system performance and microbial community of [...] Read more.
The influence of light on nutrient removal in microalgae–bacteria biofilm systems containing polyphosphate-accumulating organisms (PAOs) remains unclear under low-carbon-to-nitrogen (C/N) ratio wastewater. This study investigated the effects of different light energy density (Es, 16.23–1101.61 J/gVSS) on the system performance and microbial community of a phototrophic simultaneous nitrification–denitrification phosphorus removal biofilm (P-SNDPRB) system treating wastewater with C/N ratios of 3.19–3.92. At Es below 367.22 J/gVSS, denitrification was the main nitrogen removal pathway, exceeding 82% total nitrogen removal. With increasing Es, nitrogen assimilation increased, while total nitrogen removal declined, remaining above 65%. Phosphorus removal was dependent on phosphorus-accumulating metabolism, achieving exceeding 90% phosphorus removal at Es below 367.22 J/gVSS. However, effluent phosphorus concentrations exceeded 0.5 mg/L at higher Es due to elevated glycogen-accumulating organism (GAO) activity and photoinhibition. Excessive light induced reactive oxygen species accumulation, inhibiting cellular activity and causing bacterial death in flocs. In contrast, the biofilm mitigated light stress, preserving the activity of PAOs, GAOs, ammonia-oxidizing bacteria, and nitrite-oxidizing bacteria across different Es levels. These findings demonstrate that P-SNDPRB systems exhibit resilience to fluctuating light conditions, enabling effective nutrient removal in low-C/N wastewater and offering insights into optimizing light management for microalgae-assisted treatment processes. Full article
(This article belongs to the Special Issue Environmental Fate and Transport of Organic Pollutants in Water)
Show Figures

Graphical abstract

14 pages, 7287 KB  
Article
The Conversion of Syngas to Long-Chain α-Olefins over Rh-Promoted CoMnOx Catalyst
by Yuting Dai, Xuemin Cao, Fei Qian, Xia Li, Li Zhang, Peng He, Zhi Cao and Chang Song
Catalysts 2025, 15(12), 1122; https://doi.org/10.3390/catal15121122 - 1 Dec 2025
Abstract
The direct synthesis of long-chain α-olefins from syngas offers a strategically vital pathway for producing high-value chemicals from alternative carbon resources. However, achieving high selectivity toward C5+ olefins remains challenging due to competing paraffin formation and difficulties in precisely regulating chain growth [...] Read more.
The direct synthesis of long-chain α-olefins from syngas offers a strategically vital pathway for producing high-value chemicals from alternative carbon resources. However, achieving high selectivity toward C5+ olefins remains challenging due to competing paraffin formation and difficulties in precisely regulating chain growth kinetics. To mitigate these critical challenges, a series of Rh-promoted Co-Mn catalysts supported on SiO2 were synthesized using a carbon-mediated impregnation strategy for the direct conversion of syngas to long-chain α-olefins (C5+). The introduction of Rh significantly enhanced both catalytic activity and C5+ olefin selectivity. The optimal 1.1 wt% Rh-loaded catalyst achieved 24.6% CO conversion and 46.0% total olefin selectivity, with 34.2% of the selectivity toward C5+ olefins, while maintaining low CH4 (6.2%) and CO2 (<1%) selectivity. Comprehensive characterization techniques, including XRD, H2-TPR, XPS, and TEM/HAADF-STEM, revealed that the carbon-mediated method facilitated the formation of highly dispersed Co3O4 nanoparticles with abundant oxygen vacancies and strengthened the Co-MnOx interface. Rh promotion modulated the cobalt speciation (Co0/Co2+), improved reducibility, and enhanced the metal-support interaction. This promoted chain growth and olefin desorption while suppressing over-hydrogenation. This study demonstrates the efficacy of Rh promotion and carbon mediation in designing high-performance Fischer-Tropsch catalysts for selective α-olefin synthesis, offering new insights into the design of efficient metal-oxide interfacial catalysts. Full article
(This article belongs to the Special Issue Feature Papers in "Industrial Catalysis" Section, 2nd Edition)
Show Figures

Graphical abstract

28 pages, 3947 KB  
Article
Integrated Genetic Characterization and Quantitative Risk Assessment of Cephalosporin- and Ciprofloxacin-Resistant Salmonella in Pork from Thailand
by Thawanrut Kiatyingangsulee, Si Thu Hein, Rangsiya Prathan, Songsak Srisanga, Saharuetai Jeamsripong and Rungtip Chuanchuen
Antibiotics 2025, 14(12), 1198; https://doi.org/10.3390/antibiotics14121198 - 27 Nov 2025
Viewed by 84
Abstract
Background/Objectives: This study assessed the risk associated with third-generation cephalosporin- and fluoroquinolone-resistant Salmonella from pork consumption by integrating phenotypic resistance profiles with genetic data to characterize the risks and transmission pathways. Methods: Salmonella were isolated from raw pork meat samples ( [...] Read more.
Background/Objectives: This study assessed the risk associated with third-generation cephalosporin- and fluoroquinolone-resistant Salmonella from pork consumption by integrating phenotypic resistance profiles with genetic data to characterize the risks and transmission pathways. Methods: Salmonella were isolated from raw pork meat samples (n = 793) collected from fresh markets and hypermarkets across Bangkok during 2021–2022, of which 150 were extended-spectrum β-lactamase (ESBL)-producing and 31 were fluoroquinolone-resistant isolates. Phenotypic and genotypic resistance profiles were characterized. Quantitative antimicrobial resistance risk assessment (AMR RA) was conducted using a dose–response model. Results: Salmonella spp. was detected in 42.75% of pork samples, with a higher prevalence in fresh markets (75.5%) than in hypermarket samples and with concentrations ranging from 1.3 to 180 MPN/g. Twenty-eight percent of isolates were ESBL producers, with ciprofloxacin and levofloxacin resistance observed in 5.3% and 3.0%, respectively. The blaCTX-M55 genes were located on conjugative plasmids. Whole genome sequencing revealed both vertical and horizontal gene transfer. IncHI2/N and IncC plasmids shared conserved backbones and resistance gene architectures, indicating horizontal dissemination of resistance genes. Phylogenomics suggested possible clonal transmission among pigs, pork, and humans. AMR RA estimated 88,194 annual illness cases per 100,000 people from ESBL-producing Salmonella and 61,877 from ciprofloxacin-resistant strain, compared with 95,328 cases predicted by QMRA from Salmonella contamination. Cooking pork at ≥64 °C for 3 min eliminated the risk in all scenarios. Sensitivity analysis identified initial contamination level and cooking temperature as key determinants. Conclusions: Raw pork meat consumption represents the highest risk, which can be mitigated by thorough cooking (>64 °C, ≥3 min), while integrating genomic data enhances AMR hazard identification, source attribution, and exposure assessment. Therefore, promoting well-cooked meat consumption and safe cooking practices, alongside the use of AMR genetic data to inform targeted interventions, is recommended. Full article
Show Figures

Figure 1

30 pages, 2863 KB  
Article
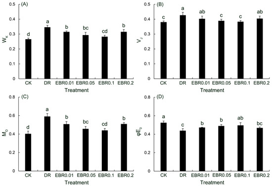
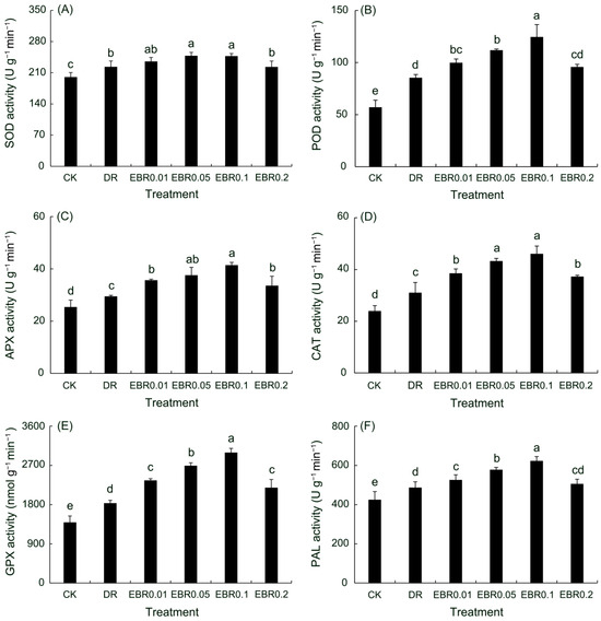
2,4-Epibrassinolide Enhances Drought Tolerance in Prunella vulgaris by Improving Photosynthesis, Redox Homeostasis, and Secondary Metabolism
by Qingshan Chang, Yiming Sun, Hairui Yao, Biao Zhang, Lixia Zhang, Zi Wang, Qiaoming Zhang, Sudan Chen, Rongrong Liu, Wenxin Chang, Xiaohui Wang, Yiqi Zheng and Xiaogai Hou
Plants 2025, 14(23), 3587; https://doi.org/10.3390/plants14233587 - 25 Nov 2025
Viewed by 262
Abstract
As a species of significant traditional medicinal importance, Prunella vulgaris is severely limited by drought stress, given its high sensitivity to this environmental constraint. 24-epibrassinolide (EBR) has shown promise in enhancing plant stress resilience and secondary metabolite production, yet its efficacy in mitigating [...] Read more.
As a species of significant traditional medicinal importance, Prunella vulgaris is severely limited by drought stress, given its high sensitivity to this environmental constraint. 24-epibrassinolide (EBR) has shown promise in enhancing plant stress resilience and secondary metabolite production, yet its efficacy in mitigating drought effects on P. vulgaris requires further elucidation. In this study, foliar application of EBR (0, 0.01, 0.05, 0.1, 0.2 μmol·L−1) was applied to drought-stressed P. vulgaris seedlings (maintained at 60% ± 5% field capacity, FC, for 20 days during the flowering stage; control at 75% ± 5% FC). The results showed that drought inhibited the growth and development of P. vulgaris. Compared with the control group, malondialdehyde, hydrogen peroxide, and superoxide anion increased by 77.82%, 27.47%, and 44.95%, respectively. The total chlorophyll content and the coordination between photosystem I and photosystem II decreased by 42.33% and 46.62%, respectively. Additionally, the net photosynthetic rate and biomass of P. vulgaris significantly decreased by 45.12% and 34.66%, respectively. In contrast, the 0.1 μmol·L−1 EBR significantly enhanced the antioxidant and osmoregulation systems. Compared with drought stress treatment, the activities of SOD, POD, CAT, APX and GPX increased by 10.78%, 45.86%, 48.44%, 40.58% and 63.37%, respectively; soluble sugar, soluble protein and proline contents increased by 53.38%, 29.09% and 45.95%, respectively; and malondialdehyde, hydrogen peroxide and superoxide anion levels decreased by 28.37%, 15.77% and 25.73%, respectively. Total chlorophyll content, photosystem coordination and net photosynthetic rate increased by 55.68%, 43.08% and 45.88%, respectively, along with a significant 42.23% increase in total biomass. Furthermore, EBR upregulated the transcription levels of key phenylpropanoid pathway genes and elevated secondary metabolite contents. The expression of Pv4CL, PvC4H, PvPAL and PvTAT increased by 26.97%, 90.42%, 35.52% and 84.35%, respectively. Accordingly, total phenolic content, caffeic acid, ferulic acid, rosmarinic acid and hyperoside increased by 36.44%, 121.01%, 100.27%, 72.38% and 80.77%, respectively. Lower EBR concentrations (0.01 μmol·L−1) had no significant effect on most indices, while 0.2 μmol L−1 EBR showed weakened effects. In summary, under 60% ± 5% field capacity (FC) drought, 2,4-epibrassinolide (EBR) enhances drought adaptation, medicinal yield, and quality of P. vulgaris, with 0.1 μmol L−1 EBR as the optimal concentration. This improvement is driven by enhanced antioxidant capacity, optimized photosynthesis, promoted root–shoot growth, and activated biosynthesis of medicinal compounds. Full article
(This article belongs to the Section Crop Physiology and Crop Production)
Show Figures

Figure 1

18 pages, 4660 KB  
Article
Lycopene and SKQ1 Improve Boar Sperm Quality During 17 °C Storage via the AMPK/Nrf2 Pathway
by Miaolian Peng, Pengyao Wang, Yongchang Lu, Xiaoliang Wang, Xianwei Zhang, Ruhai Xu, Ting Gu, Gengyuan Cai, Zhenfang Wu, Lihe Dai and Linjun Hong
Antioxidants 2025, 14(12), 1391; https://doi.org/10.3390/antiox14121391 - 21 Nov 2025
Viewed by 511
Abstract
During the storage of boar sperm at 17 °C, reactive oxygen species (ROS) are continuously generated. Excessive ROS can disrupt the mitochondrial redox balance and cause sperm damage. In this study, boar semen was diluted with solutions containing different concentrations of the natural [...] Read more.
During the storage of boar sperm at 17 °C, reactive oxygen species (ROS) are continuously generated. Excessive ROS can disrupt the mitochondrial redox balance and cause sperm damage. In this study, boar semen was diluted with solutions containing different concentrations of the natural antioxidant lycopene (1, 5, 10, 20, 40, 80 μM) or the mitochondria-targeted antioxidant SKQ1 (1, 5, 10, 25, 50, 70 nM), and sperm vitality was assessed throughout storage at 17 °C. Based on the screening results, the optimal concentrations were selected for combined application to investigate their effects on sperm quality and potential synergistic interactions. The results demonstrated that sperm motility was significantly higher in the 20 μM lycopene and 50 nM SKQ1 treatment groups compared to the control (p < 0.05). The combined treatment of 20 μM lycopene and 25 nM SKQ1 exhibited a synergistic effect, significantly improving sperm vitality, acrosome and membrane integrity, superoxide dismutase (SOD), glutathione peroxidase (GSP), adenosine triphosphate (ATP) levels (p < 0.05). Meanwhile, ROS and malondialdehyde (MDA) levels were significantly reduced (p < 0.05). Metabolomics analysis identified 52 differential metabolites (p < 0.05), including ABC transporters, corticosterone, and palmitic acid. KEGG pathway enrichment analysis revealed that these metabolites were mainly associated with steroid hormone biosynthesis, ABC transporters, and AMPK signaling pathways (p < 0.05), most of which were related to sperm cell energy metabolism and signal transduction. Furthermore, treatment with antioxidants significantly increased p-AMPK and Nrf2 expression in sperm cells (p < 0.05). These findings suggest that the combination of lycopene and SKQ1 improves boar sperm quality during 17 °C storage by enhancing energy metabolism and mitigating oxidative stress, potentially through the activation of the AMPK/Nrf2 pathway. Full article
(This article belongs to the Section Health Outcomes of Antioxidants and Oxidative Stress)
Show Figures

Figure 1

21 pages, 3548 KB  
Article
Anti-Inflammatory and Antioxidant Mechanisms of Dendrobium moschatum Polysaccharide in Intestinal Epithelial Cells via TLR4-NF-κB and Nrf2 Signaling Pathways
by Ji Chen, Chunyan Ma, Xu Mo, Linhong Li, Lijuan Wu, Chaowen Zhang, Rui Li, Yuanfeng Zou, Fan Liu and Mengliang Tian
Antioxidants 2025, 14(11), 1384; https://doi.org/10.3390/antiox14111384 - 20 Nov 2025
Viewed by 550
Abstract
Dendrobium moschatum neutral polysaccharide (DMP-NP) was isolated using a water extraction–ethanol precipitation method, followed by purification with DEAE-cellulose anion-exchange resin and a dextran gel column. The resulting DMP-NP1 exhibited a weight-average molecular weight of 16.23 kDa. The molar ratio of monosaccharides was as [...] Read more.
Dendrobium moschatum neutral polysaccharide (DMP-NP) was isolated using a water extraction–ethanol precipitation method, followed by purification with DEAE-cellulose anion-exchange resin and a dextran gel column. The resulting DMP-NP1 exhibited a weight-average molecular weight of 16.23 kDa. The molar ratio of monosaccharides was as follows: glucose–mannose–galactose–fucose–rhamnose = 78.54:19.11:1.59:0.53:0.23, with a glucose-to-mannose ratio of 4.1:1. Infrared spectroscopic analysis revealed characteristic carbohydrate absorption peaks and confirmed the presence of pyranosidic linkages. NMR analysis revealed that DMP-NP1 possesses a backbone mainly formed by 1→4 glycosidic linkages, a small number of 1→6 branches, and O-acetyl substitutions at the C2 and C3 positions of mannose residues. In vitro experiments demonstrated that treatment with 0–20 μg/mL (0–1.23 μM) DMP-NP significantly enhanced the activities of catalase (CAT) and superoxide dismutase (SOD) in IPEC-J2 cells, along with upregulation of the corresponding antioxidant genes. Concurrently, DMP-NP reduced the secretion of key pro-inflammatory cytokines, including TNF-α, IL-1β, and IL-6, and downregulated the expression of genes associated with both antioxidant and inflammatory signaling pathways. Collectively, these findings indicate that DMP-NP not only prevents but also ameliorates LPS-induced inflammatory injury in intestinal epithelial cells, thereby providing a basis for the application of DMP-NP in intestinal inflammation mitigation. Full article
(This article belongs to the Section Health Outcomes of Antioxidants and Oxidative Stress)
Show Figures

Graphical abstract

19 pages, 3694 KB  
Article
The Ionic and Metabolic Response Mechanisms of Kochia scoparia in Response to Saline–Alkaline Stress
by Xueyan Lu, Hui Fang, Qi Chen and Ying Zhang
Plants 2025, 14(22), 3540; https://doi.org/10.3390/plants14223540 - 20 Nov 2025
Viewed by 245
Abstract
Saline–alkaline stress is a critical environmental issue that limits plant growth and crop production. With the expansion of salinized land, investigating the response mechanisms of plants to salt–alkali stress is crucial. Integrated ionomic and metabolomic analyses were employed to investigate the response mechanisms [...] Read more.
Saline–alkaline stress is a critical environmental issue that limits plant growth and crop production. With the expansion of salinized land, investigating the response mechanisms of plants to salt–alkali stress is crucial. Integrated ionomic and metabolomic analyses were employed to investigate the response mechanisms of Kochia scoparia in our studies. Compared with the halophyte Suaeda salsa, K. scoparia exhibits distinct ionic and metabolic strategies for coping with saline–alkaline stress. Ca, Mg, and B were significantly accumulated in K. scoparia to alleviate ion toxicity and oxidative damage and to maintain cellular stability at the ionic element level. Sugars, alcohols, esters, and phenolic compounds were found to play key roles in resisting saline–alkaline stress at the metabolic level. Among these, sugars, alcohols, and esters were mainly involved in mitigating salt stress. Targeted metabolomic analysis indicated that certain phenolic compounds—namely C6C1-compounds (p-hydroxybenzoic, gallic, vanillic, salicylic, and syringic acids), C6C3 (caffeic acid, p-coumaric, p-hydroxycinnamic, cinnamic, and ferulic acids), and C6C3C6 (naringenin, quercetin, genistein, petunidin, and luteolin)—were significantly accumulated in K. scoparia. These compounds help mitigate saline–alkaline stress by enhancing reactive oxygen species (ROS) scavenging, modulating signaling pathways, reprogramming the osmoprotectant metabolism, and remodeling cell wall defense. This study elucidates the advantages and mechanistic of K. scoparia’s tolerance to saline–alkaline stress, providing a theoretical foundation for the repair and utilization of saline–alkaline soils. Full article
(This article belongs to the Special Issue Plant Functioning Under Abiotic Stress)
Show Figures

Figure 1

20 pages, 10240 KB  
Article
GV1001, an hTERT-Derived Peptide, Prevents Cisplatin-Induced Nephrotoxicity by Preserving Mitochondrial Function
by Wei Chen, Cheyenne Beheshtian, Seojin Kim, Reuben Kim, Sangjae Kim and No-Hee Park
Cells 2025, 14(22), 1818; https://doi.org/10.3390/cells14221818 - 19 Nov 2025
Viewed by 370
Abstract
GV1001, a multifunctional peptide, has shown numerous biomedical activities, including antioxidant, anti-inflammatory, anti-Alzheimer’s, and anti-atherosclerotic effects, and protects mitochondria from cytotoxic agents. Cisplatin is a widely used chemotherapeutic agent against cancers, but its clinical utility is limited by nephrotoxicity driven by mitochondrial dysfunction [...] Read more.
GV1001, a multifunctional peptide, has shown numerous biomedical activities, including antioxidant, anti-inflammatory, anti-Alzheimer’s, and anti-atherosclerotic effects, and protects mitochondria from cytotoxic agents. Cisplatin is a widely used chemotherapeutic agent against cancers, but its clinical utility is limited by nephrotoxicity driven by mitochondrial dysfunction in renal epithelial cells. Here, we investigated whether GV1001 protected against cisplatin-induced nephrotoxicity (CIN) in vivo and preserved mitochondrial integrity in human renal epithelial cells in vitro. In mice, GV1001 substantially mitigated CIN by significantly reducing histological damage, kidney injury marker expression, macrophage infiltration, endothelial-to-mesenchymal transition, inflammation, and apoptosis. In cultured renal epithelial cells, GV1001 maintained mitochondrial membrane potential, preserved ATP production, and prevented mitochondrial membrane peroxidation possibly by binding to cardiolipin. GV1001 also reduced the level of reactive oxygen species (ROS), suppressed cytochrome c release into the cytosol, and inhibited activation of apoptosis-related pathways elicited by cisplatin. Collectively, these findings demonstrated that GV1001 might protect kidney from cisplatin through maintaining mitochondrial structure and function and suppressing downstream injury cascades in renal epithelial cells. By directly targeting the mitochondrial mechanisms underlying cisplatin toxicity, GV1001 represents as a promising therapeutic strategy to mitigate CIN and improve the safety of cisplatin-based chemotherapy. Full article
Show Figures

Figure 1

13 pages, 550 KB  
Review
The cGAS–STING Pathway in Dementia: An Emerging Mechanism of Neuroinflammation
by Young Min, Yoon-Seob Lee, Juwon Lee, Da-Young Keum, Joo-Young Gwag, Sung-Min Jeon, Heejin Jo and Sung-Ung Kang
Brain Sci. 2025, 15(11), 1241; https://doi.org/10.3390/brainsci15111241 - 19 Nov 2025
Viewed by 442
Abstract
Dementia is a growing global health concern in aging societies, leading to a progressive decline in cognitive function that severely impairs daily life. Despite the growing burden, effective preventive and therapeutic strategies remain elusive, emphasizing the urgent need for novel interventions. Recent advances [...] Read more.
Dementia is a growing global health concern in aging societies, leading to a progressive decline in cognitive function that severely impairs daily life. Despite the growing burden, effective preventive and therapeutic strategies remain elusive, emphasizing the urgent need for novel interventions. Recent advances underscore the pivotal role of neuroinflammation in dementia pathogenesis, particularly in Alzheimer’s disease (AD). Chronic activation of central nervous system immune cells, particularly microglia, exacerbates neurodegeneration and establishes a self-perpetuating cycle of inflammation and cognitive decline. This review focuses on emerging research exploring the cGAS-STING pathway’s role in dementia, examining its potential as a diagnostic and therapeutic target. The cGAS-STING pathway, integral to innate immune responses, may contribute to the chronic neuroinflammation seen in neurodegenerative diseases. By targeting this pathway, new strategies could mitigate the inflammatory processes that drive neuronal loss, offering a promising avenue for therapeutic development in dementia. Full article
Show Figures

Figure 1

19 pages, 2014 KB  
Article
Therapeutic Impact of Vericiguat on Ventricular Remodeling in a Pressure-Overload Heart Failure Model
by Wen-Rui Hao, Chun-Chao Chen, Fu-An Li, Huan-Yuan Chen, Ju-Chi Liu, Tzu-Hurng Cheng and Jin-Jer Chen
Life 2025, 15(11), 1763; https://doi.org/10.3390/life15111763 - 18 Nov 2025
Viewed by 265
Abstract
Pressure-overload-induced heart failure is characterized by pathological ventricular remodeling, including hypertrophy and fibrosis, which compromise cardiac function and worsen outcomes. Vericiguat, a soluble guanylate cyclase (sGC) stimulator, has shown therapeutic promise in heart failure with reduced ejection fraction (HFrEF). This study evaluated its [...] Read more.
Pressure-overload-induced heart failure is characterized by pathological ventricular remodeling, including hypertrophy and fibrosis, which compromise cardiac function and worsen outcomes. Vericiguat, a soluble guanylate cyclase (sGC) stimulator, has shown therapeutic promise in heart failure with reduced ejection fraction (HFrEF). This study evaluated its antihypertrophic, antifibrotic, and metabolic effects in a murine pressure-overload model. Male C57BL/6 mice (~25 g) underwent transverse aortic constriction (TAC) and received oral Vericiguat (10 mg/kg/day) for 14 days. Cardiac hypertrophy was assessed by gross morphology and heart weight; fibrosis was quantified using Masson’s trichrome and Picrosirius red staining. Collagen deposition and wall stress indices were measured by image analysis. Proteomic profiling of fibroblast- and myocyte-enriched tissues identified differentially expressed proteins (DEPs) across metabolic, structural, mitochondrial, and signaling pathways. Vericiguat significantly reduced heart weight and attenuated TAC-induced hypertrophy. Histological staining revealed marked reductions in myocardial fibrosis and collagen accumulation in the Vericiguat-treated TAC group compared to untreated TAC controls. Quantitative analysis demonstrated improved wall stress indices. Proteomic data showed consistent modulation of DEPs, with restoration of mitochondrial and energy-regulating proteins suppressed by TAC, indicating enhanced bioenergetic support. Collectively, Vericiguat mitigates pressure-overload-induced remodeling through coordinated antihypertrophic, antifibrotic, and metabolic reprogramming mechanisms. These findings support its potential as a therapeutic strategy for heart failure and warrant further clinical investigation. Full article
(This article belongs to the Special Issue Advanced Heart Failure and Transplant Cardiology)
Show Figures

Figure 1

18 pages, 4881 KB  
Article
Lactobacillus plantarum 17-5 Alleviates Escherichia coli Mastitis by Inhibiting the cGAS-STING Pathway
by Jia-Ze Han, Meng-Meng Li, Xiao-Wen Yu, Rui-Ning Zhang, Qian Zou, Jun-Chi Deng, Fa-Jian Zhao, Han-Qing Li, Ke Li and Zhen-Gui Yan
Animals 2025, 15(22), 3305; https://doi.org/10.3390/ani15223305 - 16 Nov 2025
Cited by 1 | Viewed by 305
Abstract
Escherichia coli (E. coli) is a major etiological agent of clinical bovine mastitis. This study evaluated the therapeutic potential of Lactobacillus plantarum 17-5 (LP) against E. coli-induced mastitis via clinical, animal, and cellular models. In a trial with mastitic [...] Read more.
Escherichia coli (E. coli) is a major etiological agent of clinical bovine mastitis. This study evaluated the therapeutic potential of Lactobacillus plantarum 17-5 (LP) against E. coli-induced mastitis via clinical, animal, and cellular models. In a trial with mastitic dairy cows, dietary LP significantly reduced systemic inflammatory markers (IL-6, IL-1β, TNF-α) by 2–3-fold (p < 0.05) and milk somatic cell count by 7-fold (p < 0.05). 16S rRNA sequencing revealed these improvements were associated with substantial gut microbiota restructuring, suggesting a link between gut microbial balance and mammary health via the gut–mammary axis. In a murine model, LP mitigated mammary inflammatory injury (histopathology) and restored tight junction integrity while reducing apoptosis (western blot, p < 0.05). In bovine mammary epithelial cells (BMECs), LP suppressed the cGAS-STING pathway, inhibiting NF-κB P65 phosphorylation and downstream pro-inflammatory cytokine production (p < 0.05). Collectively, LP alleviates E. coli-associated mastitis by modulating gut microbiota through the gut–mammary axis and directly inhibiting the cGAS-STING/NF-κB axis, supported by multi-model evidence. Full article
(This article belongs to the Section Veterinary Clinical Studies)
Show Figures

Figure 1

17 pages, 1050 KB  
Article
Forest-to-Tea Conversion Intensifies Microbial Phosphorus Limitation and Enhances Oxidative Enzyme Pathways
by Chumin Huang, Shun Zou, Yang Chen and Xianjun Jiang
Agronomy 2025, 15(11), 2615; https://doi.org/10.3390/agronomy15112615 - 14 Nov 2025
Viewed by 333
Abstract
Tea plantations are one of the most intensive land-use systems in subtropical China, but the long-term effects on soil microbial functioning remain insufficiently understood. This study combined extracellular enzyme activity, ecoenzymatic stoichiometry, and partial least squares path modeling (PLS-PM) to assess the impacts [...] Read more.
Tea plantations are one of the most intensive land-use systems in subtropical China, but the long-term effects on soil microbial functioning remain insufficiently understood. This study combined extracellular enzyme activity, ecoenzymatic stoichiometry, and partial least squares path modeling (PLS-PM) to assess the impacts of forest-to-tea conversion and plantation age on microbial nutrient acquisition and metabolic limitations. The results showed that tea plantations had significantly higher activities of carbon (C)-, nitrogen (N)-, and phosphorus (P)-acquiring hydrolases compared to adjacent pine forests, and oxidase activity increased significantly with plantation age, reaching a fivefold higher level in the oldest plantation. Soil acidification, decreased soil organic carbon, and shifts in microbial composition (decline in bacteria and actinomycetes, increase in fungi) were the main drivers of these changes. The study indicates that tea planting intensifies microbial limitations on carbon and phosphorus and shifts microbial metabolism toward oxidative pathways, which may destabilize soil carbon pools and reduce long-term fertility. These findings highlight the importance of balanced nutrient management in tea plantation practices. However, the study is limited by the short duration of field sampling. Future research should focus on long-term monitoring to better understand the sustained impacts of tea cultivation on soil microbial functions and explore the role of different management practices in mitigating these effects. Full article
(This article belongs to the Section Agricultural Biosystem and Biological Engineering)
Show Figures

Figure 1

19 pages, 7376 KB  
Article
Toxicological Impacts and Mechanistic Insights of Bisphenol a on Clear Cell Renal Cell Carcinoma Progression: A Network Toxicology, Machine Learning and Molecular Docking Study
by Jie Chen, Biao Ran, Bo Chen, Jingxing Bai, Shibo Jian, Yin Huang, Jiahao Yang, Jinze Li, Zeyu Chen, Qiang Wei, Jianzhong Ai, Liangren Liu and Dehong Cao
Biomedicines 2025, 13(11), 2778; https://doi.org/10.3390/biomedicines13112778 - 13 Nov 2025
Viewed by 518
Abstract
Background: Clear cell renal cell carcinoma (ccRCC) is a prevalent urological malignancy, accounting for approximately 1.6% of all cancer-related deaths in 2022. While endocrine-disrupting chemicals (EDCs) have been implicated as risk factors for ccRCC, the toxicological profiles and immune mechanisms underlying Bisphenol A [...] Read more.
Background: Clear cell renal cell carcinoma (ccRCC) is a prevalent urological malignancy, accounting for approximately 1.6% of all cancer-related deaths in 2022. While endocrine-disrupting chemicals (EDCs) have been implicated as risk factors for ccRCC, the toxicological profiles and immune mechanisms underlying Bisphenol A (BPA) exposure in ccRCC progression remain inadequately understood. Materials and Methods: Protein–protein interaction (PPI) analysis and visualization were performed on overlapping genes between ccRCC and BPA exposure. This was followed by Gene Ontology (GO) and Kyoto Encyclopedia of Genes and Genomes (KEGG) enrichment analyses to elucidate potential underlying mechanisms. Subsequently, 108 distinct machine learning algorithm combinations were evaluated to identify the optimal predictive model. An integrated CoxBoost and Ridge regression model was constructed to develop a prognostic signature, the performance of which was rigorously validated across two independent external datasets. Finally, molecular docking analyses were employed to investigate interactions between key genes and BPA. Results: A total of 114 overlapping targets associated with both ccRCC and BPA were identified. GO and KEGG analyses revealed enrichment in cancer-related pathways, including pathways in cancer, endocrine resistance, PD-L1 expression and PD-1 checkpoint signaling, T-cell receptor signaling, endocrine function, and immune responses. Machine learning algorithm selection identified the combined CoxBoost-Ridge approach as the optimal predictive model (achieving a training set concordance index (C-index) of 0.77). This model identified eight key genes (CHRM3, GABBR1, CCR4, KCNN4, PRKCE, CYP2C9, HPGD, FASN), which were the top-ranked by coefficient magnitude in the prognostic model. The prognostic signature demonstrated robust predictive performance in two independent external validation cohorts (C-index = 0.74 in cBioPortal; C-index = 0.81 in E-MTAB-1980). Furthermore, molecular docking analyses predicted strong binding affinities between BPA and these key targets (Vina scores all <−6.5 kcal/mol), suggesting a potential mechanism through which BPA may modulate their activity to promote renal carcinogenesis. Collectively, These findings suggested potential molecular mechanisms that may underpin BPA-induced ccRCC progression, generating hypotheses for future experimental validation. Conclusions: These findings enhance our understanding of the molecular mechanisms by which BPA induces ccRCC and highlight potential targets for therapeutic intervention, particularly in endocrine and immune-related pathways. This underscores the need for collaborative efforts to mitigate the impact of environmental toxins like BPA on public health. Full article
(This article belongs to the Section Cancer Biology and Oncology)
Show Figures

Figure 1

15 pages, 2052 KB  
Article
Protective Effects of Quinic Acid Against Disuse-Induced Skeletal Muscle Atrophy via Regulation of Inflammation and Oxidative Stress
by Mi-Bo Kim, Hyerin Lee, Junhui Kang, Bohkyung Kim and Jae-Kwan Hwang
Foods 2025, 14(22), 3833; https://doi.org/10.3390/foods14223833 - 9 Nov 2025
Viewed by 371
Abstract
Disuse-induced muscle atrophy (DMA), commonly resulting from immobilization, is driven by chronic inflammation and oxidative stress, which disrupts the balance between protein synthesis and degradation. Quinic acid (QA), a natural compound with known antioxidant and anti-inflammatory properties, was investigated for its potential to [...] Read more.
Disuse-induced muscle atrophy (DMA), commonly resulting from immobilization, is driven by chronic inflammation and oxidative stress, which disrupts the balance between protein synthesis and degradation. Quinic acid (QA), a natural compound with known antioxidant and anti-inflammatory properties, was investigated for its potential to counteract muscle atrophy. Using a DMA-induced immobilization model in male C57BL/6N (8 weeks) mice, we found that oral QA administration significantly restored the weight and cross-sectional area of atrophic muscles and improved muscle function, as measured by grip strength and treadmill performance. QA also reduced the expression of pro-inflammatory cytokines (Tnf, Il6, and Myostatin) and E3 ubiquitin ligases (Trim63 and Fbxo32), while increasing antioxidant enzyme levels and serum IL-15 in DMA. In tumor necrosis factor-α-stimulated L6 myotubes, QA reversed inflammation- and oxidative stress-induced gene changes, suppressed NF-ĸB activation, and downregulated protein degradation pathways mediated by FoxO3α. Furthermore, QA restored the expression of myogenesis-related genes and reactivated PI3K/Akt and mTOR/p70S6K/4EBP1 signaling pathways, enhancing protein synthesis. Collectively, our findings demonstrate that QA mitigates immobilization-induced muscle atrophy by modulating inflammation, oxidative stress, and key anabolic and catabolic signaling pathways. These results suggest that QA is a promising functional compound for preserving skeletal muscle health under conditions of disuse. Full article
(This article belongs to the Special Issue Functional Foods for Health Promotion and Disease Prevention)
Show Figures

Figure 1

9 pages, 1065 KB  
Proceeding Paper
Analyzing Winter Snow Cover Dynamics and Climate Change Projection Using Remote Sensing Products in the Almond-Growing Region of Neelum Watershed, Pakistan
by Waseem Iqbal, Muhammad Saqlain, Omer Farooq, Saima Qureshi, Muhammad Naveed Anjum, Muhammad Suleman, Zainab Ali, Saif Ullah, Sajjad Bashir and Ghulam Rasool
Biol. Life Sci. Forum 2025, 51(1), 2; https://doi.org/10.3390/blsf2025051002 - 7 Nov 2025
Viewed by 286
Abstract
This study analyses the dynamics of snow cover in the Neelum Watershed of Pakistan and the expected changes in temperature and precipitation. Google Earth Engine was used to analyze the variability of winter snow cover with the help of MODIS 8-day data from [...] Read more.
This study analyses the dynamics of snow cover in the Neelum Watershed of Pakistan and the expected changes in temperature and precipitation. Google Earth Engine was used to analyze the variability of winter snow cover with the help of MODIS 8-day data from 2000 to 2020. Two model combinations totaling five CMIP6 General Circulation Models were used to interpret future climate projections based on three Shared Socioeconomic Pathways (SSP2-4.5, SSP3-7.0, and SSP5-8.5) for 2021–2050. The modified Mann–Kendall test was used to identify trends, and the Theil–Sen estimator was used to analyze the impact. The results demonstrate that the extent of snow-covered area increased significantly between 2000 and 2020, and approximately 6448.83 km2 (approximately 87% of the watershed) was covered by snow in winter. All SSP scenarios indicated positive trends in winter precipitation with average rates of 1.87, 0.44, and 0.80 mm/yr under SSP2-4.5, SSP3-7.0, and SSP5-8.5. In all the scenarios, the minimum temperature (0.0405 °C yr−1) and maximum temperature (0.0305 °C yr−1) are consistently growing, as per temperature predictions. These projected changes indicate the danger of more frequent extreme weather events that will put a strain on the region’s ecosystems, agriculture, and hydropower operations. The findings offer the necessary information to inform strategies regarding climate adaptation and mitigation in the Neelum River basin. Full article
Show Figures

Figure 1

Back to TopTop