Sign in to use this feature.

Years

Between: -

Subjects

remove_circle_outline
remove_circle_outline
remove_circle_outline
remove_circle_outline
remove_circle_outline

Journals

Article Types

Countries / Regions

Search Results (2)

Search Parameters:
Authors = Elliott R. Dossou-Yovo

Order results
Result details
Results per page
Select all
Export citation of selected articles as:
Article
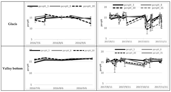
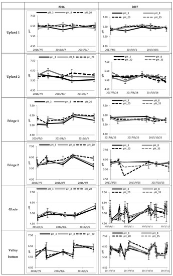
Spatial and Temporal Variability of Soil Redox Potential, pH and Electrical Conductivity across a Toposequence in the Savanna of West Africa
Agronomy 2020, 10(11), 1787; https://doi.org/10.3390/agronomy10111787 - 15 Nov 2020
Cited by 6 | Viewed by 2032
Abstract
Soil redox potential is an important factor affecting soil functioning. Yet, very few agronomy studies included soil redox potential in relation to soil processes. The objective of this study was to evaluate the spatial and temporal variation in soil redox potential and to [...] Read more.
Soil redox potential is an important factor affecting soil functioning. Yet, very few agronomy studies included soil redox potential in relation to soil processes. The objective of this study was to evaluate the spatial and temporal variation in soil redox potential and to determine the soil parameters affecting its variation. Soil redox potential, soil moisture, soil temperature, pH and bulk electrical conductivity were measured in upland rice fields during two growing seasons at six positions along an upland–lowland continuum, including two positions at the upland, two at the fringe and two at the lowlands in central Côte d’Ivoire (West Africa). The measurements were made at the following soil depths: 3, 8, 20 and 35 cm. Soil redox potential varied between 500 and 700 mV at the upland positions, 400 and 700 mV at the fringe positions and 100 and 750 mV at the lowland positions, and increased with soil depth. Variations in soil redox potential were driven by soil moisture, bulk electrical conductivity and soil organic carbon. We concluded that for proper interpretation of soil redox potential, sampling protocols should systematically include soil pH, moisture and bulk electrical conductivity measurements. Full article
(This article belongs to the Section Soil and Plant Nutrition)
Show Figures

Figure 1

Article
Predictors of Drought in Inland Valley Landscapes and Enabling Factors for Rice Farmers’ Mitigation Measures in the Sudan-Sahel Zone
Sustainability 2019, 11(1), 79; https://doi.org/10.3390/su11010079 - 24 Dec 2018
Cited by 10 | Viewed by 3064
Abstract
Drought is a noteworthy cause of low agricultural profitability and of crop production vulnerability, yet in numerous countries of Africa little to no consideration has been paid to readiness for drought calamity, particularly to spatial evaluation and indicators of drought occurrence. In this [...] Read more.
Drought is a noteworthy cause of low agricultural profitability and of crop production vulnerability, yet in numerous countries of Africa little to no consideration has been paid to readiness for drought calamity, particularly to spatial evaluation and indicators of drought occurrence. In this study, biophysical and socio-economic data, farmers’ community surveys and secondary data from remote sensing on soil characteristics and water demand were used to evaluate the predictors of drought in inland valley rice-based production systems and the factors affecting farmers’ mitigation measures. The study intervened in three West African countries located in the Sudan-Sahel zone, viz. Burkina Faso, Mali and Nigeria. Significant drying trends occurred at latitudes below 11°30′ whilst significant wetting trends were discerned at latitude above 11°30′. Droughts were more frequent and had their longest duration in the states of Niger and Kaduna located in Nigeria and in western Burkina Faso during the period 1995–2014. Among 21 candidate predictors, average annual standardized precipitation evapotranspiration index and duration of groundwater availability were the most important predictors of drought occurrence in inland valleys rice based-production systems. Land ownership and gender affected the commitment of rice farmers to use any mitigation measure against drought. Drought studies in inland valleys should include climatic water balance and groundwater data. Securing property rights and focusing on women’s association would improve farmers’ resilience and advance drought mitigation measures. Full article
Show Figures

Figure 1

Back to TopTop