Prognostic Value of 18F-FDG PET/CT Volume-Based Metabolic Parameters in Patients with Node-Negative Stage II Esophageal Squamous Cell Carcinoma
Abstract
:1. Introduction
2. Results
2.1. Patient Characteristics
2.2. Comparison of Serum SCC-Ag Level and 18F-FDG PET/CT-Derived Metabolic Parameters in the Demised versus Stable Prognostic Groups Patients with Stage II ESCC
| Parameter | Demised (n = 8) | Stable (n = 10) | p Value |
|---|---|---|---|
| SUVmax | 20.36 ± 12.64 | 11.59 ± 5.71 | 0.101 |
| SUVmean | 10.70 ± 5.62 | 6.82 ± 3.05 | 0.109 |
| MTV | 24.42 ± 18.26 | 7.59 ± 8.39 | 0.038 * |
| TLG | 311.53 ± 362.47 | 48.79 ± 47.96 | 0.036 * |
| SCC-Ag | 4.29 ± 4.24 | 1.17 ± 0.52 | 0.034 * |
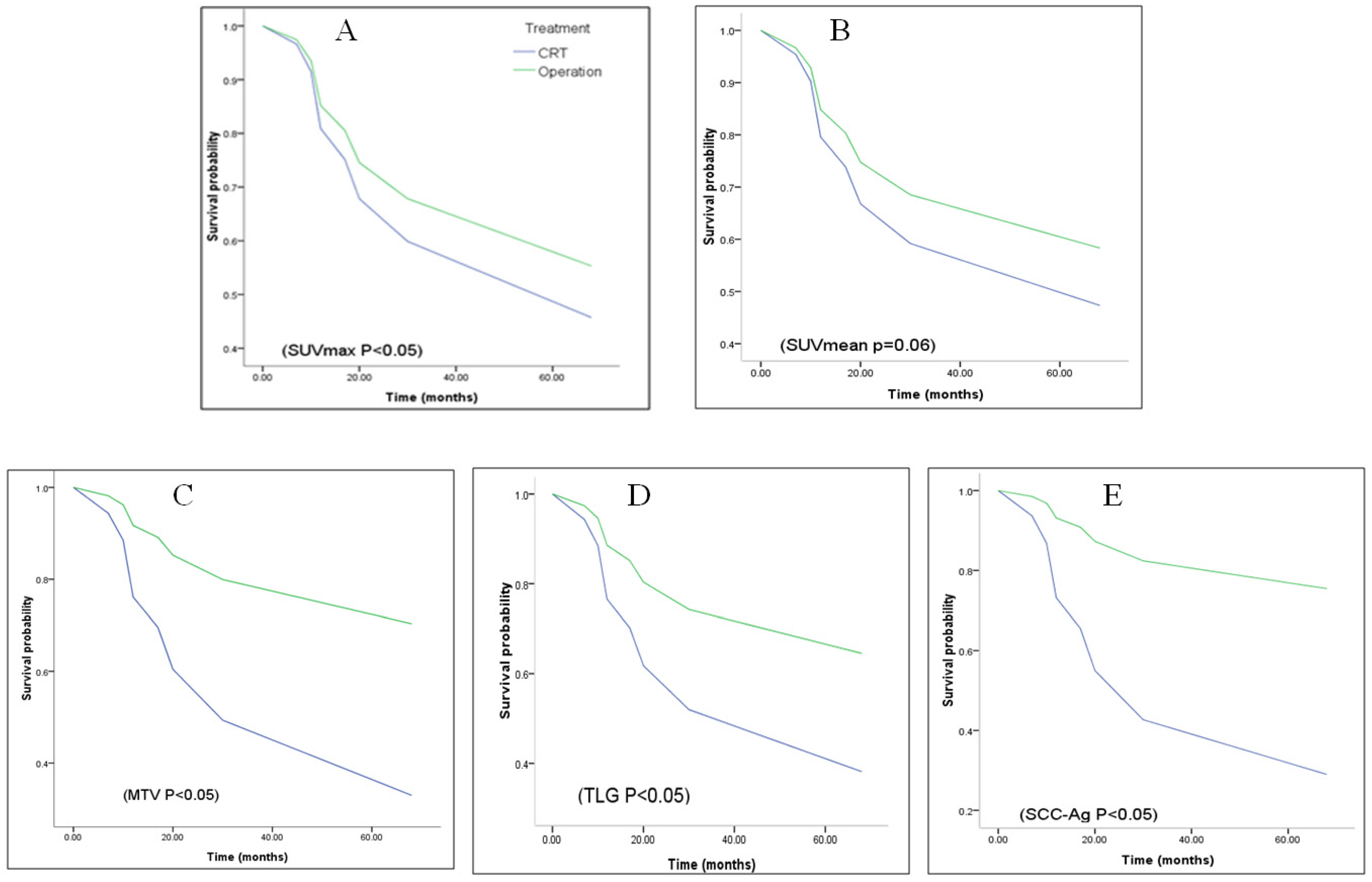
2.3. Comparison of Serum SCC-Ag Level and 18F-FDG PET/CT-Derived Metabolic Parameters in Surgery versus CRT Patient Groups Patients with Stage II ESCC ESCC
2.4. Relationships between Serum SCC-Ag Level and 18F-FDG PET/CT-Derived Metabolic Parameters with Overall Survival (OS) in ESCC Staging II Patients
3. Discussion
4. Materials and Methods
4.1. Patients
4.2. 18F-FDG PET/CT Imaging
4.3. Imaging Analysis
4.4. Statistical Analysis
5. Conclusions
Author Contributions
Funding
Institutional Review Board Statement
Informed Consent Statement
Data Availability Statement
Acknowledgments
Conflicts of Interest
References
- Uhlenhopp, D.J.; Then, E.O.; Sunkara, T.; Gaduputi, V. Epidemiology of esophageal cancer: Update in global trends, etiology and risk factors. Clin. J. Gas. 2020, 13, 1010–1021. [Google Scholar] [CrossRef]
- Lu, H.H.; Chiu, N.C.; Tsai, M.H. Prognostic significance of pretreatment staging with 18F-FDG PET in esophageal cancer: A nationwide population-based study. Clin. Nucl. Med. 2021, 46, 647–653. [Google Scholar] [CrossRef] [PubMed]
- Gholipour, C.; Shalchi, R.A.; Abbasi, M. A histopathological study of esophageal cancer on the western side of the Caspian littoral from 1994 to 2003. Dis. Esophagus 2008, 21, 322–327. [Google Scholar] [CrossRef]
- Huang, F.L.; Yu, S.J. Esophageal cancer: Risk factors, genetic association, and treatment. Asian J. Surg. 2018, 41, 210–215. [Google Scholar] [CrossRef] [PubMed]
- Watanabe, M.; Otake1, R.; Kozuki1, R.; Toihata1, T.; Takahashi1, K.; Okamura1, A.; Imamura1, Y. Recent progress in multidisciplinary treatment for patients with esophageal cancer. Surg. Today 2020, 50, 12–20. [Google Scholar] [CrossRef] [Green Version]
- Wilson, M.; Rosato, E.L.; Chojnacki, K.A.; Chervoneva, I.; Kairys, J.C.; Cohn, H.E.; Rosato, F.E.; Berger, A.C. Prognostic significance of lymph node metastases and ratio in esophageal cancer. J. Surg. Res. 2008, 146, 11–15. [Google Scholar] [CrossRef] [Green Version]
- Altini, C.; Niccoli Asabella, A.; Lavelli, V.; Bianco, G.; Ungaro, A.; Pisani, A.; Merenda, N.; Ferrari, C.; Rubini, G. Role of 18F-FDG PET/CT in comparison with CECT for whole-body assessment of patients with esophageal cancer. Recenti. Prog. Med. 2019, 110, 144–150. [Google Scholar]
- Swisher, S.G.; Erasmus, J.; Maish, M.; Correa, A.M.; Macapinlac, H.; Ajani, J.A.; Cox, J.D.; Komaki, R.R.; Hong, D.; Lee, H.K.; et al. 2-Fluoro-2-deoxy-D-glucose positron emission tomography imaging is predictive of pathologic response and survival after preoperative chemoradiation in patients with esophageal carcinoma. Cancer 2004, 101, 1776–1785. [Google Scholar] [CrossRef] [PubMed]
- Flamen, P.; Van Cutsem, E.; Lerut, A.; Cambier, J.P.; Haustermans, K.; Bormans, G.; De Leyn, P.; Van Raemdonck, D.; De Wever, W.; Ectors, N.; et al. Positron-emission tomography for assessment of the response to induction radiochemotherapy in locally advanced oesophageal cancer. Ann. Oncol. 2002, 13, 361–368. [Google Scholar] [CrossRef]
- Wan, L.; Gao, Y.; Gu, J.; Chi, H.; Wang, Z.; Hu, Q.; Jia, J.; Liu, T.; Li, B.; Teng, J.; et al. Total metabolic lesion volume of lymph nodes measured by 18F-FDG PET/CT: A new predictor of macrophage activation syndrome in adult-onset Still’s disease. Arthritis Res. Ther. 2021, 23, 97. [Google Scholar] [CrossRef]
- Tosi, D.; Pieropan, S.; Cattoni, M.; Bonitta, G.; Franzi, S.; Mendogni, P.; Imperatori, A.; Rotolo, N.; Castellani, M.; Cuzzocrea, M.; et al. Prognostic value of 18F-FDG PET/CT metabolic parameters in surgically treated stage I lung adenocarcinoma patients. Clin. Nucl. Med. 2021, 46, 621–626. [Google Scholar] [CrossRef]
- Polverari, G.; Ceci, F.; Bertaglia, V.; Reale, M.L.; Rampado, O.; Gallio, E.; Passera, R.; Liberini, V.; Scapoli, P.; Arena, V.; et al. (18)F-FDG PET parameters and radiomics features analysis in advanced NSCLC treated with immunotherapy as predictors of therapy response and survival. Cancers 2020, 12, 1163. [Google Scholar] [CrossRef]
- Creff, G.; Devillers, A.; Depeursinge, A.; Palard-Novello, X.; Acosta, O.; Jegoux, F.; Castelli, J. Evaluation of the prognostic value of FDG PET/CT parameters for patients with surgically treated head and neck cancer: A systematic review. JAMA Otolaryngol. Head Neck Surg. 2020, 146, 471–479. [Google Scholar] [CrossRef] [PubMed]
- Mantziari, S.; Pomoni, A.; Prior, J.O.; Winiker, M.; Allemann, P.; Demartines, N.; Schäfer, M. 18F- FDG PET/CT-derived parameters predict clinical stage and prognosis of esophageal cancer. BMC Med. Imaging 2020, 20, 7. [Google Scholar] [CrossRef] [PubMed] [Green Version]
- Fu, J.; Wang, W.; Wang, Y.; Liu, C.; Wang, P. The role of squamous cell carcinoma antigen (SCC Ag) in outcome prediction after concurrent chemoradiotherapy and treatment decisions for patients with cervical cancer. Radiat Oncol. 2019, 14, 146. [Google Scholar] [CrossRef] [PubMed] [Green Version]
- Cerfolio, R.J.; Bryant, A.S. Maximum standardized uptake values on positron emission tomography of esophageal cancer predicts stage, tumor biology, and survival. Ann. Thorac Surg. 2006, 82, 391–394. [Google Scholar] [CrossRef]
- Lee, S.; Choi, Y.; Park, G.; Jo, S.; Lee, S.S.; Park, J.; Shim, H.Y. 18F-FDG PET/CT Parameters for predicting prognosis in esophageal cancer patients treated with concurrent chemoradiotherapy. Technol. Cancer Res. Treat. 2021, 20, 1–7. [Google Scholar] [CrossRef]
- Eude, F.; Toledano, M.N.; Vera, P.; Tilly, H.; Mihailescu, S.; Becker, S. Reproducibility of baseline tumour metabolic volume measurements in diffuse large B-cell lymphoma: Is there a superior method? Metabolites 2021, 11, 72. [Google Scholar] [CrossRef] [PubMed]
- Kandeel, A.; Saied, M.; Aldaly, M.; Darwish, H.; Alsayed, Y. Impact of 18F-2-fluoro-2-deoxy-D-glucose PET/computerized tomography on the initial staging and changing the management intent in head and neck squamous cell carcinoma. Nucl. Med. Commun. 2021, 42, 216–224. [Google Scholar] [CrossRef]
- Okamura, A.; Matsuda, S.; Mayanagi, S.; Kanamori, J.; Imamura, Y.; Irino, T.; Kawakubo, H.; Mine, S.; Takeuchi, H.; Kitagawa, Y.; et al. Clinical significance of pretherapeutic serum squamous cell carcinoma antigen level in patients with neoadjuvant chemotherapy for esophageal squamous cell carcinoma. Ann. Surg Oncol. 2021, 28, 1209–1216. [Google Scholar] [CrossRef] [PubMed]
- Wang, C.; Zhao, K.; Hu, S.; Huang, Y.; Ma, L.; Song, Y.; Li, M. A predictive model for treatment response in patients with locally advanced esophageal squamous cell carcinoma after concurrent chemoradiotherapy: Based on SUVmean and NLR. BMC Cancer 2020, 20, 544. [Google Scholar] [CrossRef] [PubMed]
- Wang, X.Y.; Zhao, Y.F.; Liu, Y.; Yang, Y.K.; Wu, N. Prognostic value of metabolic variables of [18F]FDG PET/CT in surgically resected stage I lung adenocarcinoma. Medicine 2017, 96, e7941. [Google Scholar] [CrossRef]
- Duk, J.M.; van Voorst Vader, P.C.; ten Hoor, K.A.; Hollema, H.; Doeglas, H.M.; de Bruijn, H.W. Elevated levels of squamous cell carcinoma antigen in patients with a benign disease of the skin. Cancer 1989, 64, 1652–1656. [Google Scholar] [CrossRef]
- Jao, M.S.; Chang, T.C.; Chang, H.P.; Wu, T.I.; Chao, A.; Lai, C.H. Long-term follow up of cervical cancer patients with unexplained squamous cell carcinoma antigen elevation after post-therapy surveillance using positron emission tomography. J. Obstet. Gynaecol. Res. 2010, 36, 1003–1008. [Google Scholar] [CrossRef] [PubMed]
- Cases, A.; Filella, X.; Molina, R.; Ballesta, A.M.; Lopez-Pedret, J.; Revert, L. Tumor markers in chronic renal failure and hemodialysis patients. Nephron 1991, 57, 183–186. [Google Scholar] [CrossRef] [PubMed]
- Tamandl, D.; Ta, J.; Schmid, R.; Preusser, M.; Paireder, M.; Schoppmann, S.F.; Haug, A.; Ba-Ssalamah, A. Prognostic value of volumetric PET parameters in unresectable and metastatic esophageal cancer. Eur. J. Radiol. 2016, 85, 540–545. [Google Scholar] [CrossRef] [PubMed]
- Hatt, M.; le Pogam, A.; Visvikis, D.; Pradier, O.; le Rest, C.C. Impact of partial-volume effect correction on the predictive and prognostic value of baseline 18F-FDG PET images in esophageal cancer. J. Nucl. Med. 2012, 53, 12–20. [Google Scholar] [CrossRef] [Green Version]
- Han, S.; Kim, Y.J.; Woo, S.; Suh, C.H.; Lee, J.J. Prognostic value of volumetric parameters of pretreatment 18F-FDG PET/CT in esophageal cancer: A systematic review and meta-analysis. Clin. Nucl. Med. 2018, 43, 887–894. [Google Scholar] [CrossRef]


| Patient Characteristics | Number (%) or Mean (SD) |
|---|---|
| Demographic characteristics | |
| Age (year) | 62 (49–83) |
| Male | 18 (100%) |
| Smoking | 14 (77.8%) |
| Alcohol consumption | 12 (69.4%) |
| Clinical characteristics | |
| T stage | |
| T2 | 7 (38.9%) |
| T3 | 11 (61.1%) |
| Treatment | |
| CRT only | 11 (61.1%) |
| Operation only | 6 (33.3%) |
| CRT + operation | 2 (11.1%) |
| Parameter | ρ/p Value | SUVmax | SUVmean | MTV | TLG |
|---|---|---|---|---|---|
| SUVmax | ρ | / | 0.962 | 0.483 | 0.682 |
| p Value | / | 0.000 | 0.042 | 0.002 | |
| SUVmean | / | 0.527 | 0.733 | ||
| / | 0.025 | 0.001 | |||
| MTV | / | 0.922 | |||
| / | 0 | ||||
| TLG | / | ||||
| / | |||||
| SCC-Ag | 0.646 | 0.607 | 0.737 | 0.843 | |
| 0.004 | 0.008 | 0.000 | 0.000 |
| Parameter | Mean rank (Demised, n = 8) | Mean rank (Stable, n = 10) | Z Value | p Value |
|---|---|---|---|---|
| SUVmax | 12 | 7.5 | −1.78 | 0.083 |
| SUVmean | 11.63 | 7.8 | −1.51 | 0.146 |
| MTV | 13.13 | 6.6 | −2.57 | 0.009 ** |
| TLG | 13.38 | 6.4 | −2.75 | 0.006 ** |
| SCC-Ag | 12.25 | 7.3 | −1.96 | 0.055 |
| Variable | Hazard Ratio (95% CI) | p Value |
|---|---|---|
| Univariate analysis | ||
| SUVmax | 1.112 (1.019–1.213) | 0.017 |
| SUVmean | 1.173 (0.995–1.383) | 0.057 |
| MTV | 1.035 (1.004–1.067) | 0.029 |
| TLG | 1.002 (1.000–1.003) | 0.043 |
| SCC-Ag | 1.127 (1.030–1.437) | 0.021 |
| Multivariate analysis | ||
| SUVmax | 0.126 (1.023–1.248) | 0.016 |
| SUVmean | 1.211 (0.992–1.478) | 0.06 |
| MTV | 1.053 (1.007–1.101) | 0.024 |
| TLG | 1.002 (1.000–1.005) | 0.043 |
| SCC-Ag | 1.368 (1.040–1.2799) | 0.025 |
Publisher’s Note: MDPI stays neutral with regard to jurisdictional claims in published maps and institutional affiliations. |
© 2021 by the authors. Licensee MDPI, Basel, Switzerland. This article is an open access article distributed under the terms and conditions of the Creative Commons Attribution (CC BY) license (https://creativecommons.org/licenses/by/4.0/).
Share and Cite
Shen, D.H.-Y.; Chan, H.-P.; Tsai, F.-R.; Hu, C.; Chen, A.Y.-N.; Chan, H.-Y.; Lee, C.-H.; Chuang, K.-P.; Yang, M.-H.; Tyan, Y.-C. Prognostic Value of 18F-FDG PET/CT Volume-Based Metabolic Parameters in Patients with Node-Negative Stage II Esophageal Squamous Cell Carcinoma. Metabolites 2022, 12, 7. https://doi.org/10.3390/metabo12010007
Shen DH-Y, Chan H-P, Tsai F-R, Hu C, Chen AY-N, Chan H-Y, Lee C-H, Chuang K-P, Yang M-H, Tyan Y-C. Prognostic Value of 18F-FDG PET/CT Volume-Based Metabolic Parameters in Patients with Node-Negative Stage II Esophageal Squamous Cell Carcinoma. Metabolites. 2022; 12(1):7. https://doi.org/10.3390/metabo12010007
Chicago/Turabian StyleShen, Daniel Hueng-Yuan, Hung-Pin Chan, Fu-Ren Tsai, Chin Hu, Allan Yi-Nan Chen, Hung-Yen Chan, Che-Hsin Lee, Kuo-Pin Chuang, Ming-Hui Yang, and Yu-Chang Tyan. 2022. "Prognostic Value of 18F-FDG PET/CT Volume-Based Metabolic Parameters in Patients with Node-Negative Stage II Esophageal Squamous Cell Carcinoma" Metabolites 12, no. 1: 7. https://doi.org/10.3390/metabo12010007
APA StyleShen, D. H.-Y., Chan, H.-P., Tsai, F.-R., Hu, C., Chen, A. Y.-N., Chan, H.-Y., Lee, C.-H., Chuang, K.-P., Yang, M.-H., & Tyan, Y.-C. (2022). Prognostic Value of 18F-FDG PET/CT Volume-Based Metabolic Parameters in Patients with Node-Negative Stage II Esophageal Squamous Cell Carcinoma. Metabolites, 12(1), 7. https://doi.org/10.3390/metabo12010007

