Serum Long Non-Coding RNAs PVT1, HOTAIR, and NEAT1 as Potential Biomarkers in Egyptian Women with Breast Cancer
Abstract
1. Introduction
2. Subjects and Methods
2.1. Subjects
2.2. Blood Sample Handling
2.3. Serum lncRNA Assay
2.3.1. LncRNA Extraction
2.3.2. Reverse Transcription
2.3.3. Quantitative Real-Time Polymerase Chain Reaction
2.4. Determination of Serum PAI-1 and OPN Levels by ELISA
2.5. Statistical Analysis
3. Results
3.1. Demographic and Clinical Features of the Breast Cancer, Fibroadenoma Patients, and Controls
3.2. Serum Expression Levels of lncRNAs PVT1, HOTAIR, NEAT1, and MALAT1
3.3. Serum PAI-1 and OPN Levels
3.4. Correlation Analysis between the Serum Levels of PVT1, HOTAIR, NEAT1, MALAT1, PAI-1, and OPN in the Breast Cancer Patients
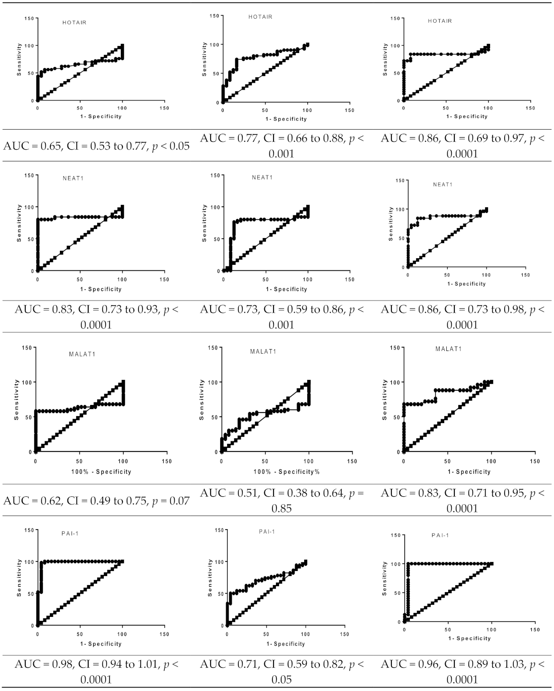
3.5. Evaluation of the Diagnostic Accuracy PVT1, HOTAIR, NEAT1, MALAT1, PAI-1, and OPN Serum Levels
3.6. Logistic Regression Analysis
3.7. Power Analysis
4. Discussion
Supplementary Materials
Author Contributions
Funding
Institutional Review Board Statement
Informed Consent Statement
Data Availability Statement
Acknowledgments
Conflicts of Interest
References
- Bray, F.; Ferlay, J.; Soerjomataram, I.; Siegel, R.L.; Torre, L.A.; Jemal, A. Global Cancer Statistics 2018: GLOBOCAN Estimates of Incidence and Mortality Worldwide for 36 Cancers in 185 Countries. CA cancer J. Clin. 2018, 68, 394–424. [Google Scholar] [CrossRef]
- Massarweh, S.A.; Sledge, G.W.; Miller, D.P.; McCullough, D.; Petkov, V.I.; Shak, S. Molecular Characterization and Mortality From Breast Cancer in Men. J. Clin. Oncol. 2018, 36, 1396–1404. [Google Scholar] [CrossRef]
- Ibrahim, A.S.; Khaled, H.M.; Mikhail, N.N.H.; Baraka, H.; Kamel, H. Cancer Incidence in Egypt: Results of the National Population-Based Cancer Registry Program. J. Cancer Epidemiol. 2014, 2014, 437971. [Google Scholar] [CrossRef]
- Zeeneldin, A.A.; Ramadan, M.; Elmashad, N.; Fakhr, I.; Diaa, A.; Mosaad, E. Breast cancer laterality among Egyptian patients and its association with treatments and survival. J. Egypt. Natl. Canc. Inst. 2013, 25, 199–207. [Google Scholar] [CrossRef]
- Omar, S.; Khaled, H.; Gaafar, R.; Zekry, A.; Eissa, S. Breast cancer in Egypt: A review of disease presentation and detection strategies. East. Mediterr. Health J. 2003, 9, 448–463. [Google Scholar] [PubMed]
- Feng, Y.; Spezia, M.; Huang, S.; Yuan, C.; Zeng, Z.; Zhang, L.; Ji, X.; Liu, W.; Huang, B.; Luo, W.; et al. Breast cancer development and progression: Risk factors, cancer stem cells, signaling pathways, genomics, and molecular pathogenesis. Genes Dis. 2018, 5, 77–106. [Google Scholar] [CrossRef]
- Mavaddat, N.; Antoniou, A.C.; Easton, D.F.; Garcia-Closas, M. Genetic susceptibility to breast cancer. Mol. Oncol. 2010, 4, 174–191. [Google Scholar] [CrossRef] [PubMed]
- Asaga, S.; Kuo, C.; Nguyen, T.; Terpenning, M.; Giuliano, A.E.; Hoon, D.S.B. Direct serum assay for microRNA-21 concentrations in early and advanced breast cancer. Clin. Chem. 2011, 57, 84–91. [Google Scholar] [CrossRef] [PubMed]
- Pisano, E.D.; Gatsonis, C.; D, P.; Hendrick, E.; Yaffe, M.; Baum, J.K.; Acharyya, S.; Conant, E.F.; Fajardo, L.L.; Bassett, L.; et al. Benign Breast Disease and the Risk of Breast Cancer. N. Engl. J. Med. 2005, 535, 1773–1784. [Google Scholar] [CrossRef]
- El-Wakeel, H.; Umpleby, H.C. Systematic review of fibroadenoma as a risk factor for breast cancer. The Breast 2003, 12, 302–307. [Google Scholar] [CrossRef]
- Mikkelsen, T.S.; Ku, M.; Jaffe, D.B.; Issac, B.; Lieberman, E.; Giannoukos, G.; Alvarez, P.; Brockman, W.; Kim, T.K.; Koche, R.P.; et al. Genome-wide maps of chromatin state in pluripotent and lineage-committed cells. Nature 2007, 448, 553–560. [Google Scholar] [CrossRef] [PubMed]
- Djebali, S.; Davis, C.A.; Merkel, A.; Dobin, A.; Lassmann, T.; Mortazavi, A.; Tanzer, A.; Lagarde, J.; Lin, W.; Schlesinger, F.; et al. Landscape of transcription in human cells. Nature 2012, 489, 101–108. [Google Scholar] [CrossRef] [PubMed]
- Iyer, M.K.; Niknafs, Y.S.; Malik, R.; Singhal, U.; Sahu, A.; Hosono, Y.; Barrette, T.R.; Prensner, J.R.; Evans, J.R.; Zhao, S.; et al. The landscape of long noncoding RNAs in the human transcriptome. Nat. Genet. 2015, 47, 199–208. [Google Scholar] [CrossRef] [PubMed]
- Jia, H.; Osak, M.; Bogu, G.K.; Stanton, L.W.; Johnson, R.; Lipovich, L. Genome-wide computational identification and manual annotation of human long noncoding RNA genes. Rna 2010, 16, 1478–1487. [Google Scholar] [CrossRef]
- Ponting, C.P.; Oliver, P.L.; Reik, W. Evolution and functions of long noncoding RNAs. Cell 2009, 136, 629–641. [Google Scholar] [CrossRef]
- Ruiz-Orera, J.; Messeguer, X.; Subirana, J.A.; Alba, M.M. Long non-coding RNAs as a source of new peptides. Elife 2014, 3, 1–24. [Google Scholar] [CrossRef] [PubMed]
- Guh, C.Y.; Hsieh, Y.H.; Chu, H.P. Functions and properties of nuclear lncRNAs-from systematically mapping the interactomes of lncRNAs. J. Biomed. Sci. 2020, 27, 1–14. [Google Scholar] [CrossRef]
- Rashid, F.; Shah, A.; Shan, G. Long Non-coding RNAs in the Cytoplasm. Genomics Proteomics Bioinforma. 2016, 14, 73–80. [Google Scholar] [CrossRef]
- Guan, Y.; Kuo, W.L.; Stilwell, J.L.; Takano, H.; Lapuk, A.V.; Fridlyand, J.; Mao, J.H.; Yu, M.; Miller, M.A.; Santos, J.L.; et al. Amplification of PVT1 contributes to the pathophysiology of ovarian and breast cancer. Clin. Cancer Res. 2007, 13, 5745–5755. [Google Scholar] [CrossRef]
- Zhang, L.; Song, X.; Wang, X.; Xie, Y.; Wang, Z.; Xu, Y.; You, X.; Liang, Z.; Cao, H. Circulating DNA of HOTAIR in serum is a novel biomarker for breast cancer. Breast Cancer Res. Treat. 2015, 152, 199–208. [Google Scholar] [CrossRef]
- Lo, P.-K.; Zhang, Y.; Wolfson, B.; Gernapudi, R.; Yao, Y.; Duru, N.; Zhou, Q. Dysregulation of the BRCA1/long non-coding RNA NEAT1 signaling axis contributes to breast tumorigenesis. Oncotarget 2016, 7, 65067–65089. [Google Scholar] [CrossRef]
- Huang, N.; Chi, Y.; Xue, J.; Liu, M.; Huang, S.; Mo, M.; Zhou, S.; Wu, J. Long noncoding RNA metastasis associated in lung adenocarcinoma transcript 1 ( MALAT1 ) interacts with estrogen receptor and predicted poor survival in breast cancer. Oncotarget 2016, 7, 37957–37965. [Google Scholar] [CrossRef]
- Neve, R.M.; Chin, K.; Fridlyand, J.; Yeh, J.; Baehner, F.L.; Fevr, T.; Clark, L.; Bayani, N.; Coppe, J.P.; Tong, F.; et al. A collection of breast cancer cell lines for the study of functionally distinct cancer subtypes. Cancer Cell 2006, 10, 515–527. [Google Scholar] [CrossRef] [PubMed]
- Adamo, A.; Atashpaz, S.; Germain, P.L.; Zanella, M.; D’Agostino, G.; Albertin, V.; Chenoweth, J.; Micale, L.; Fusco, C.; Unger, C.; et al. 7q11.23 dosage-dependent dysregulation in human pluripotent stem cells affects transcriptional programs in diseaserelevant lineages. Nat. Genet. 2015, 47, 132–141. [Google Scholar] [CrossRef] [PubMed]
- Huang, Y.; Wu, W.; Nie, M.; Li, C.; Wang, L. SMAD7 polymorphisms and colorectal cancer risk: A metaanalysis of case-control studies. Oncotarget 2016, 7, 75561–75570. [Google Scholar] [CrossRef]
- Huang, C.C.; Chiang, C.K.; Lin, Z.H.; Lee, K.H.; Chang, H.T. Bioconjugated gold nanodots and nanoparticles for protein assays based on photoluminescence quenching. Anal. Chem. 2008, 80, 1497–1504. [Google Scholar] [CrossRef] [PubMed]
- Placencio, V.R.; DeClerck, Y.A. Plasminogen activator inhibitor-1 in cancer: Rationale and insight for future therapeutic testing. Cancer Res. 2015, 75, 2969–2974. [Google Scholar] [CrossRef]
- Qiu, J.J.; Lin, Y.Y.; Ye, L.C.; Ding, J.X.; Feng, W.W.; Jin, H.Y.; Zhang, Y.; Li, Q.; Hua, K.Q. Overexpression of long non-coding RNA HOTAIR predicts poor patient prognosis and promotes tumor metastasis in epithelial ovarian cancer. Gynecol. Oncol. 2014, 134, 121–128. [Google Scholar] [CrossRef] [PubMed]
- Kogo, R.; Shimamura, T.; Mimori, K.; Kawahara, K.; Imoto, S.; Sudo, T.; Tanaka, F.; Shibata, K.; Suzuki, A.; Komune, S.; et al. Long noncoding RNA HOTAIR regulates polycomb-dependent chromatin modification and is associated with poor prognosis in colorectal cancers. Cancer Res. 2011, 71, 6320–6326. [Google Scholar] [CrossRef] [PubMed]
- Niinuma, T.; Suzuki, H.; Nojima, M.; Nosho, K.; Yamamoto, H.; Takamaru, H.; Yamamoto, E.; Maruyama, R.; Nobuoka, T.; Miyazaki, Y.; et al. Upregulation of miR196a and HOTAIR drive malignant character in gastrointestinal stromal tumors. Cancer Res. 2012, 72, 1126–1136. [Google Scholar] [CrossRef]
- Yang, G.; Zhang, S.; Gao, F.; Liu, Z.; Lu, M.; Peng, S.; Zhang, T.; Zhang, F. Osteopontin enhances the expression of HOTAIR in cancer cells via IRF1. Biochim. Biophys. Acta Gene Regul. Mech. 2014, 1839, 837–848. [Google Scholar] [CrossRef]
- Chakraborty, G.; Jain, S.; Behera, R.; Ahmed, M.; Sharma, P.; Kumar, V.; Kundu, G.C. The multifaceted roles of osteopontin in cell signaling, tumor progression and angiogenesis. Curr. Mol. Med. 2006, 6, 819–830. [Google Scholar] [CrossRef]
- Liang, J.; Xu, L.; Zhou, F.; Liu, A.; Ge, H.; Chen, Y.; Tu, M. MALAT1/miR-127-5p regulates osteopontin (OPN)-mediated proliferation of human chondrocytes through PI3K/Akt pathway. J. Cell. Biochem. 2017, 119, 431–439. [Google Scholar] [CrossRef] [PubMed]
- Wang, Q.; Wang, W.; Zhang, F.; Deng, Y.; Long, Z. NEAT1/miR-181c Regulates Osteopontin (OPN)-Mediated Synoviocyte Proliferation in Osteoarthritis. J. Cell. Biochem. 2017, 10, 1–10. [Google Scholar] [CrossRef] [PubMed]
- Ghaforui-Fard, S.; Taheri, M. Nuclear Enriched Abundant Transcript 1 (NEAT1): A long non-coding RNA with diverse functions in tumorigenesis. Biomed. Pharmacother. 2019, 111, 51–59. [Google Scholar] [CrossRef]
- Toraih, E.A.; Ellawindy, A.; Fala, S.Y.; Al Ageeli, E.; Gouda, N.S.; Fawzy, M.S.; Hosny, S. Oncogenic long noncoding RNA MALAT1 and HCV-related hepatocellular carcinoma. Biomed. Pharmacother. 2018, 102, 653–669. [Google Scholar] [CrossRef]
- Wu, Y.; Yang, L.; Zhao, J.; Li, C.; Nie, J.; Liu, F.; Zhuo, C.; Zheng, Y.; Li, B.; Wang, Z.; et al. Nuclear-enriched abundant transcript 1 as a diagnostic and prognostic biomarker in colorectal cancer. Mol. Cancer 2015, 14, 1–12. [Google Scholar] [CrossRef]
- Singletary, S.E.; Connolly, J.L. Breast Cancer Staging: Working With the Sixth Edition of the AJCC Cancer Staging Manual. CA. Cancer J. Clin. 2006, 56, 37–47. [Google Scholar] [CrossRef]
- Le Doussal, V.; Tubiana-Hulin, M.; Friedman, S.; Hacene, K.; Spyratos, F.; Brunet, M. Prognostic Value of Histologic Grade Nuclear Components of Scarff - Bloom - Richardson (SBR). Cancer 1989, 1, 1914–1921. [Google Scholar]
- Shaker, O.G.; Senousy, M.A. Association of SNP-SNP Interactions Between RANKL, OPG, CHI3L1, and VDR Genes With Breast Cancer Risk in Egyptian Women. Clin. Breast Cancer 2019, 19, e220–e238. [Google Scholar] [CrossRef]
- Stefansson, O.A.; Moran, S.; Gomez, A.; Sayols, S.; Arribas-Jorba, C.; Sandoval, J.; Hilmarsdottir, H.; Olafsdottir, E.; Tryggvadottir, L.; Jonasson, J.G.; et al. A DNA methylation-based definition of biologically distinct breast cancer subtypes. Mol. Oncol. 2015, 9, 555–568. [Google Scholar] [CrossRef]
- Mercer, T.R.; Dinger, M.E.; Mattick, J.S. Long non-coding RNAs: Insights into functions. Nat. Rev. Genet. 2009, 10, 155–159. [Google Scholar] [CrossRef]
- Ding, J.; Li, D.; Gong, M.; Wang, J.; Huang, X.; Wu, T.; Wang, C. Expression and clinical significance of the long non-coding RNA PVT1 in human gastric cancer. Onco. Targets Ther. 2014, 7, 1625–1630. [Google Scholar] [CrossRef]
- Yang, J.P.; Yang, X.J.; Xiao, L.; Wang, Y. Long noncoding RNA PVT1 as a novel serum biomarker for detection of cervical cancer. Eur. Rev. Med. Pharmacol. Sci. 2016, 20, 3980–3986. [Google Scholar]
- Meyer, K.B.; Maia, A.T.; O’Reilly, M.; Ghoussaini, M.; Prathalingam, R.; Porter-Gill, P.; Ambs, S.; Prokunina-Olsson, L.; Carroll, J.; Ponder, B.A.J. A functional variant at a prostate cancer predisposition locus at 8q24 is associated with PVT1 expression. PLoS Genet. 2011, 7, e1002165. [Google Scholar] [CrossRef]
- Borg, Å.; Baldetorp, B.; Fernö, M.; Olsson, H.; Sigurdsson, H. c-myc amplification is an independent prognostic factor in postmenopausal breast cancer. Int. J. Cancer 1992, 51, 687–691. [Google Scholar] [CrossRef]
- Alvarez, M.L.; DiStefano, J.K. Functional characterization of the plasmacytoma variant translocation 1 gene (PVT1) in diabetic nephropathy. PLoS One 2011, 6, e18671. [Google Scholar] [CrossRef]
- Yıldırım, M.E.; Karakus, S.; Kurtulgan, H.K.; Kılıcgun, H.; Ersan, S.; Bakır, S. The Association of Plasminogen Activator Inhibitor Polymorphism with the Formation and the Grade of Endometrial Cancer. Biochem. Genet. 2017, 55, 314–321. [Google Scholar] [CrossRef]
- Nielsen, H.J.; Christensen, I.J.; Scrensen, S.; Moesgaard, F.; Brtinner, N. Preoperative Plasma Plasminogen Activator Inhibitor Type- 1 and Serum C-Reactive Protein Levels in Patients With Colorectal Cancer. Ann. Surg. Oncol. 2000, 7, 617–623. [Google Scholar] [CrossRef]
- Iwadate, Y.; Hayama, M.; Adachi, A.; Matsutani, T. High Serum Level of Plasminogen Activator Inhibitor-1 Predicts Histological Grade of Intracerebral Gliomas. Anticancer Res. 2008, 28, 415–418. [Google Scholar]
- Lampelj, M.; Arko, D.; Cas-Sikosek, N.; Kavalar, R.; Ravnik, M.; Jezersek-Novakovic, B.; Dobnik, S.; Dovnik, N.F.; Takac, I. Urokinase plasminogen activator (uPA) and plasminogen activator inhibitor type-1 (PAI-1) in breast cancer-correlation with traditional prognostic factors. Radiol. Oncol. 2015, 49, 357–364. [Google Scholar] [CrossRef]
- Zemzoum, I.; Kates, R.E.; Ross, J.S.; Dettmar, P.; Dutta, M.; Henrichs, C.; Yurdseven, S.; Höfler, H.; Kiechle, M.; Schmitt, M.; et al. Invasion factors uPA/PAI-1 and HER2 status provide independent and complementary information on patient outcome in node-negative breast cancer. J. Clin. Oncol. 2003, 21, 1022–1028. [Google Scholar] [CrossRef]
- Eljuga, D.; Razumovic, J.J.; Bulic, K.; Petrovecki, M.; Draca, N.; Bulic, S.O. Prognostic importance of PAI-1 in node negative breast cancer patients-Results after 10 years of follow up. Pathol. Res. Pract. 2011, 207, 290–294. [Google Scholar] [CrossRef] [PubMed]
- Cufer, T.; Vrhovec, I.; Borštnar, S. Prognostic significance of plasminogen activator inhibitor-1 in breast cancer, with special emphasis on locoregional recurrence-free survival. Int. J. Biol. Markers 2002, 17, 33–41. [Google Scholar] [CrossRef] [PubMed]
- Chisholm, K.M.; Wan, Y.; Li, R.; Montgomery, K.D.; Chang, H.Y.; West, R.B. Detection of Long Non-Coding RNA in Archival Tissue: Correlation with Polycomb Protein Expression in Primary and Metastatic Breast Carcinoma. PLoS ONE 2012, 7, e47998. [Google Scholar] [CrossRef]
- Gupta, R.A.; Shah, N.; Wang, K.C.; Kim, J.; Horlings, H.M.; Wong, D.J.; Tsai, M.C.; Hung, T.; Argani, P.; Rinn, J.L.; et al. Long non-coding RNA HOTAIR reprograms chromatin state to promote cancer metastasis. Nature 2010, 464, 1071–1076. [Google Scholar] [CrossRef]
- Wang, W.; He, X.; Zheng, Z.; Ma, X.; Hu, X.; Wu, D.; Wang, M. Serum HOTAIR as a novel diagnostic biomarker for esophageal squamous cell carcinoma. Mol. Cancer 2017, 16, 75. [Google Scholar] [CrossRef] [PubMed]
- Zhang, D.; Zhou, X.H.; Zhang, J.; Zhou, Y.X.; Ying, J.; Wu, G.Q.; Qian, J.H. Propofol promotes cell apoptosis via inhibiting HOTAIR mediated mTOR pathway in cervical cancer. Biochem. Biophys. Res. Commun. 2015, 468, 561–567. [Google Scholar] [CrossRef]
- Kim, J.O.; Jun, H.H.; Kim, E.J.; Lee, J.Y.; Park, H.S.; Ryu, C.S.; Kim, S.; Oh, D.; Kim, J.W.; Kim, N.K. Genetic Variants of HOTAIR Associated With Colorectal Cancer Susceptibility and Mortality. Front. Oncol. 2020, 10, 1–10. [Google Scholar] [CrossRef]
- Chen, F.J.; Sun, M.; Li, S.Q.; Wu, Q.Q.; Ji, L.; Liu, Z.L.; Zhou, G.Z.; Cao, G.; Jin, L.; Xie, H.W.; et al. Upregulation of the long non-coding rna hotair promotes esophageal squamous cell carcinoma metastasis and poor prognosis. Mol. Carcinog. 2013, 52, 908–915. [Google Scholar] [CrossRef] [PubMed]
- Li, X.; Wu, Z.; Mei, Q.; Li, X.; Guo, M.; Fu, X.; Han, W. Long non-coding RNA HOTAIR, a driver of malignancy, predicts negative prognosis and exhibits oncogenic activity in oesophageal squamous cell carcinoma. Br. J. Cancer 2013, 109, 2266–2278. [Google Scholar] [CrossRef]
- Sørensen, K.P.; Thomassen, M.; Tan, Q.; Bak, M.; Cold, S.; Burton, M.; Larsen, M.J.; Kruse, T.A. Long non-coding RNA HOTAIR is an independent prognostic marker of metastasis in estrogen receptor-positive primary breast cancer. Breast Cancer Res. Treat. 2013, 142, 529–536. [Google Scholar] [CrossRef]
- Xue, X.; Yang, Y.A.; Zhang, A.; Fong, K.W.; Kim, J.; Song, B.; Li, S.; Zhao, J.C.; Yu, J. LncRNA HOTAIR enhances ER signaling and confers tamoxifen resistance in breast cancer. Oncogene 2016, 35, 2746–2755. [Google Scholar] [CrossRef]
- Guo, S.; Chen, W.; Luo, Y.; Ren, F.; Zhong, T.; Rong, M.; Dang, Y.; Feng, Z.; Chen, G. Clinical implication of long non-coding RNA NEAT1 expression in hepatocellular carcinoma patients. Int. J. Clin. Exp. Pathol. 2015, 8, 5395–5402. [Google Scholar] [PubMed]
- Fouad, N.A.; Shaker, O.G.; Mohamed, E.A.; Elsayed, H.S.; Hussein, H.A.; Ahmed, N.A.; Amin, A.A. Diagnostic potential of metastasis-associated-lung-adenocarcinoma- transcript-1 ( MALAT-1 ) and TNF a and hnRNPL related immunoregulatory long noncoding RNA ( THRIL ) in systemic lupus erythematosus patients: Relation to disease activity. Egypt. Rheumatol. 2018, 1, 1–5. [Google Scholar] [CrossRef]
- Xu, S.; Sui, S.; Zhang, J.; Bai, N.; Shi, Q.; Zhang, G.; Gao, S. Downregulation of long noncoding RNA MALAT1 induces epithelial-to-mesenchymal transition via the PI3KAKT pathway in breast cancer. Int. J. Clin. Exp. Pathol. 2015, 8, 4881–4891. [Google Scholar]
- Zhang, M.; Wu, W.B.; Wang, Z.W.; Wang, X.H. lncRNA NEAT1 is closely related with progression of breast cancer via promoting proliferation and EMT. Eur. Rev. Med. Pharmacol. Sci. 2017, 21, 1020–1026. [Google Scholar]
- Yu, X.; Li, Z.; Zheng, H.; Chan, M.T.V.; Ka, W.; Wu, K. NEAT1: A novel cancer-related long non- -coding RNA. Cell Prolif. 2017, 1, 1–6. [Google Scholar] [CrossRef]
- Clemson, C.M.; Hutchinson, J.N.; Sara, S.A.; Ensminger, A.W.; Fox, A.H.; Chess, A.; Lawrence, J.B. An Architectural Role for a Nuclear Noncoding RNA: NEAT1 RNA Is Essential for the Structure of Paraspeckles. Mol. Cell 2009, 33, 717–726. [Google Scholar] [CrossRef]
- Chen, L.L.; Carmichael, G.G. Altered Nuclear Retention of mRNAs Containing Inverted Repeats in Human Embryonic Stem Cells: Functional Role of a Nuclear Noncoding RNA. Mol. Cell 2009, 35, 467–478. [Google Scholar] [CrossRef]
- Nakagawa, S.; Shimada, M.; Yanaka, K.; Mito, M.; Arai, T.; Takahashi, E.; Fujita, Y.; Fujimori, T.; Standaert, L.; Marine, J.C.; et al. The lncRNA Neat1 is required for corpus luteum formation and the establishment of pregnancy in a subpopulation of mice. Development 2014, 141, 4618–4627. [Google Scholar] [CrossRef] [PubMed]
- Zeng, C.; Xu, Y.; Xu, L.; Yu, X.; Cheng, J.; Yang, L.; Chen, S.; Li, Y. Inhibition of long non-coding RNA NEAT1 impairs myeloid differentiation in acute promyelocytic leukemia cells. BMC Cancer 2014, 14, 1–7. [Google Scholar] [CrossRef]
- Chakravarty, D.; Sboner, A.; Nair, S.S.; Giannopoulou, E.; Li, R.; Hennig, S.; Mosquera, J.M.; Pauwels, J.; Park, K.; Kossai, M.; et al. The oestrogen receptor alpha-regulated lncRNA NEAT1 is a critical modulator of prostate cancer. Nat. Commun. 2014, 5, 1–16. [Google Scholar] [CrossRef] [PubMed]
- Ma, Y.; Liu, L.; Yan, F.; Wei, W.; Deng, J.; Sun, J. Enhanced expression of long noncoding RNA NEAT1 is associated with the progression of gastric adenocarcinomas. World J. Surg. Oncol. 2016, 14, 1–6. [Google Scholar] [CrossRef] [PubMed]
- Idogawa, M.; Nakase, H.; Sasaki, Y.; Tokino, T. Prognostic Effect of Long Noncoding RNA NEAT1 Expression Depends on p53 Mutation Status in Cancer. J. Oncol. 2019, 2019, 1–7. [Google Scholar]
- Ji, P.; Diederichs, S.; Wang, W.; Böing, S.; Metzger, R.; Schneider, P.M.; Tidow, N.; Brandt, B.; Buerger, H.; Bulk, E.; et al. MALAT-1, a novel noncoding RNA, and thymosin β4 predict metastasis and survival in early-stage non-small cell lung cancer. Oncogene 2003, 22, 8031–8041. [Google Scholar] [CrossRef] [PubMed]
- Okugawa, Y.; Toiyama, Y.; Hur, K.; Toden, S.; Saigusa, S.; Tanaka, K.; Inoue, Y.; Mohri, Y.; Kusunoki, M.; Richard Boland, C.; et al. Metastasis-associated long non-coding RNA drives gastric cancer development and promotes peritoneal metastasis. Carcinogenesis 2014, 35, 2731–2739. [Google Scholar] [CrossRef]
- Han, Y.; Liu, Y.; Nie, L.; Gui, Y.; Cai, Z. Inducing cell proliferation inhibition, apoptosis, and motility reduction by silencing long noncoding ribonucleic acid metastasis-associated lung adenocarcinoma transcript 1 in urothelial carcinoma of the bladder. Urology 2013, 81, 209.e1–209.e7. [Google Scholar] [CrossRef]
- Jiao, F.; Hu, H.; Yuan, C.; Wang, L.; Jiang, W.; Jin, Z.; Guo, Z.; Wang, L. Elevated expression level of long noncoding RNA MALAT-1 facilitates cell growth, migration and invasion in pancreatic cancer. Oncol. Rep. 2014, 32, 2485–2492. [Google Scholar] [CrossRef] [PubMed]
- Feng, T.; Shao, F.; Wu, Q.; Zhang, X.; Xu, D. miR-124 downregulation leads to breast cancer progression via LncRNA-MALAT1 regulation and CDK4 / E2F1 signal activation. Oncotarget 2016, 7, 16205–16216. [Google Scholar] [CrossRef]
- Puthanveetil, P.; Chen, S.; Feng, B.; Gautam, A.; Chakrabarti, S. Long non-coding RNA MALAT1 regulates hyperglycaemia induced inflammatory process in the endothelial cells. J. Cell. Mol. Med. 2015, 19, 1418–1425. [Google Scholar] [CrossRef] [PubMed]
- Ibrahim, T.; Leong, I.; Sanchez-Sweatman, O.; Khokha, R.; Sodek, J.; Tenenbaum, H.C.; Ganss, B.; Cheifetz, S. Expression of bone sialoprotein and osteopontin in breast cancer bone metastases. Clin. Exp. Metastasis 2000, 18, 253–260. [Google Scholar] [CrossRef] [PubMed]
- Rodrigues, L.R.; Teixeira, J.A.; Schmitt, F.L.; Paulsson, M.; Lindmark-Mänsson, H. The role of osteopontin in tumor progression and metastasis in breast cancer. Cancer Epidemiol. Biomarkers Prev. 2007, 16, 1087–1097. [Google Scholar] [CrossRef]



| Gene Name | Forward Primer | Reverse Primer |
|---|---|---|
| PVT1 | 5′-TGAGAACTGTCCTTACGTGACC-3′ | 5′-AGAGCACCAAGACTGGCTCT-3′ |
| NEAT1 | 5′-TGGCTAGCTCAGGGCTTCAG-3′ | 5′-TCTCCTTGCCAAGCTTCCTTC-3 |
| MALAT1 | 5′-CTTCCCTAGGGGATTTCAGG-3′ | 5′-TAGTTGGCATCAAGGCACTG-3′ |
| HOTAIR | 5′-GGAAAGATCCAAATGGGACCA-3′ | 5′-CTAGGAATCAGCACGAAGCAAA-3′ |
| GAPDH | 5′-CTGACTTCAACAGCGACACC-3′ | 5′-TAGCCAAATTCGTTGTCATACC-3′ |
| Parameter | Control n = 25 | Fibroadenoma n = 25 | Breast Cancer n = 50 | p-Value | |
|---|---|---|---|---|---|
| Age | 35.32 ± 2.39 | 34.16 ± 3.00 | 53.30 ± 1.03 | <0.0001 * | |
| Family History | Yes | - | 5 | 28 | <0.0001 * |
| No | 25 | 20 | 22 | ||
| Menstrual History | Premenopausal | 20 | 20 | 13 | <0.0001 * |
| Postmenopausal | 5 | 5 | 37 | ||
| Diabetes Mellitus | Yes | 0 | 0 | 10 | <0.0001 * |
| No | 25 | 25 | 40 | ||
| Hypertension | Yes | 0 | 2 | 10 | <0.0001 * |
| No | 25 | 23 | 40 | ||
| Tumor Size (cm) | <5 | - | - | 30 | - |
| >5 | - | - | 20 | ||
| Tumor Type | Invasive ductal carcinoma | - | - | 46 | - |
| Invasive lobular carcinoma | - | - | 4 | ||
| Tumor Grade | G I, II | - | - | 40 | - |
| G III | - | - | 10 | ||
| Tumor-Node-Metastasis (TNM) Classification | |||||
| Tumor Stage | T2 | - | 30 | - | |
| T3, T4 | - | - | 20 | ||
| Lymph Node | N1 | - | - | 8 | - |
| N2 | - | - | 28 | - | |
| N3 | - | - | 14 | - | |
| ER and PR | Positive | - | - | 8 | - |
| Negative | - | - | 42 | ||
| LncRNA | Control | Fibroadenoma | Breast Cancer | p-Value |
|---|---|---|---|---|
| PVT1 | 0.97 (0.815–1.296) | 1.47 a* (0.108–7.0920) | 2.54 a* (0.731–8.884) | 0.03 |
| HOTAIR | 1.01 (0.815–1.218) | 0.31 a*** (0.116–0.553) | 1.80 a*,b*** (0.509–3.727) | <0.0001 |
| NEAT1 | 1.01 (0.867–1.1360 | 1.27 a* (0.770–1.612) | 0.11 a***,b*** (0.0770–0.191) | <0.0001 |
| MALAT1 | 1.01 (0.783–1.266) | 0.53 a*** (0.299–0.840) | 0.37 (0.109–2.0780) | 0.01 |
| Parameter | PVT1 | HOTAIR | NEAT1 | MALAT1 | PAI-1 | OPN | |
|---|---|---|---|---|---|---|---|
| Age | <50 | 4.89 | 0.45 | 1.26 | 0.10 | 21.94 ± 14.18 | 35.15 ± 11.68 |
| >50 | 2.12 | 0.31 | 1.95 | 0.11 | 29 ± 18.68 | 53.49 ± 27.26 | |
| p | 0.21 | 0.85 | 0.58 | 0.72 | 0.15 | 0.019 * | |
| Family History | Yes | 2.78 | 0.33 | 1.64 | 0.12 | 25.22 ± 19.39 | 51.34 ± 26.78 |
| No | 2.34 | 0.70 | 2.13 | 0.11 | 21.91 ± 9.67 | 44.55 ± 23.15 | |
| p | 0.92 | 0.38 | 0.39 | 0.86 | 0.46 | 0.35 | |
| Diabetes Mellitus | Yes | 2.07 | 0.10 | 1.35 | 0.10 | 27.78 ± 2.12 | 45.71 ± 22.49 |
| No | 3.27 | 0.49 | 1.88 | 0.11 | 22.76 ± 14.13 | 49.02 ± 26.09 | |
| p | 0.49 | 0.01 * | 0.35 | 0.56 | 0.37 | 0.7147 | |
| Hypertension | Yes | 2.07 | 0.16 | 1.87 | 0.10 | 20.84 ± 11.28 | 47.92 ± 21.76 |
| No | 3.27 | 0.43 | 1.77 | 0.11 | 24.49 ± 16.8 | 48.46 ± 26.27 | |
| p | 0.44 | 0.10 | 0.78 | 0.53 | 0.51 | 0.95 | |
| Liver | Normal | 3.31 | 0.19 | 0.82 | 0.08 | 31.81 ± 21.6 | 53.12 ± 26.35 |
| Fatty liver | 2.54 | 0.69 | 1.88 | 0.12 | 22.23 ± 14.29 | 47.45 ± 25.23 | |
| p | 0.96 | 0.08 | 0.17 | 0.24 | 0.11 | 0.57 | |
| Tumor Size | >5 | 2.91 | 0.46 | 2.40 | 0.10 | 22.58 ± 10.75 | 51.33 ± 27.80 |
| <5 | 2.27 | 0.29 | 1.20 | 0.15 | 25.54 ± 2.15 | 43.89 ± 20.66 | |
| p | 0.29 | 0.77 | 0.033 * | 0.08 | 0.52 | 0.31 | |
| Tumor Type | Invasive ductal carcinoma | 2.54 | 0.34 | 1.80 | 0.11 | 22.68 ± 13.58 | 49.91±25.71 |
| Invasive lobular carcinoma | 4.77 | 0.59 | 2.03 | 0.14 | 36.29 ± 3.3 | 30.49 ± 3.598 | |
| p | 0.92 | 0.46 | 0.8204 | 0.24 | 0.09 | 0.14 | |
| Tumor Grade | G I, II | 2.78 | 0.36 | 1.88 | 0.10 | 23.55 ± 13.79 | 46.37 ± 22.6 |
| G III | 2.39 | 0.42 | 1.06 | 0.12 | 24.63 ± 2.31 | 56.28 ± 2 | |
| p | 0.39 | 0.84 | 0.79 | 0.84 | 0.84 | 0.27 | |
| Tumor Stage | T2 | 2.90 | 046 | 1.20 | 0.09 | 22.58 ± 10.75 | 51.33 ± 27.8 |
| T3, T4 | 2.26 | 0.29 | 2.40 | 0.14 | 25.54 ± 2.15 | 43.89 ± 20.66 | |
| P | 0.29 | 0.77 | 0.033 * | 0.08 | 0.52 | 0.31 | |
| Lymph Node | N1 | 2.85 | 0.16 | 1.12 | 0.09 | 22.82 ± 9.733 | 50.64 ± 17.2 |
| N2 | 2.39 | 0.40 | 1.842 | 0.12 | 25.28 ± 18.67 | 42.34 ± 23.37 | |
| N3 | 2.91 | 0.38 | 2.231 | 0.09 | 21.27±12.46 | 59.08 ± 13 | |
| P | 0.88 | 0.61 | 0.22 | 0.32 | 0.74 | 0.12 | |
| ER and PR | Positive | 3.12 | 0.23 | 1.26 | 0.11. | 28.73 ± 2.37 | 30 ± 7.18 |
| Negative | 2.54 | 0.42 | 1.88 | 0.11 | 22.82 ± 14.02 | 51.85 ± 25.95 | |
| P | 0.93 | 0.46 | 0.68 | 0.81 | 0.33 | 0.023 * | |
| Control | Fibroadenoma | Breast Cancer | p-Value | |
|---|---|---|---|---|
| PAI-1 | 3.93 ± 3.37 | 14.38 ± 3.60 a *** | 23.76 ± 15.81 a***,b* | <0.0001 |
| OPN | 24.91 ± 6.93 | 27.64 ± 8.702 | 48.35 ± 25.23 a*,b* | <0.0001 |
| Correlation Analysis | PVT1 | HOTAIR | NEAT1 | MALAT1 | PAI-1 | OPN |
|---|---|---|---|---|---|---|
| PVT1 | r = 0.17 p = 0.23 | r = 0.27 p = 0.05 | r = 0.18 p = 0.18 | r = 0.06 p = 0.67 | r = 0.19 p = 0.18 | |
| HOTAIR | r = 0.34 p = 0.01 * | r = 0.51 p = 0.0001 *** | r = −0.29 p = 0.04 * | r = 0.013 p = 0.92 | ||
| NEAT1 | r = 0.27 p = 0.05 | r = −0.24 p = 0.0926 | r = −0.12 p = 0.38 | |||
| MALAT1 | r = −0.30 p = 0.02 * | r = 0.14 p = 0.32 | ||||
| PAI-1 | r = 0.002 p = 0.98 | |||||
| OPN |
| Parameter (Control) | Coefficient (β) | SE | Wald (x2) | p-Value | Odds Ratio | 95% CI |
|---|---|---|---|---|---|---|
| Univariate Analysis | ||||||
| PVT1 | 0.62 | 0.26 | 5.63 | 0.018 * | 1.86 | 1.11–3.12 |
| HOTAIR | 0.58 | 0.26 | 5.04 | 0.02 * | 1.79 | 1.07–3.00 |
| NEAT1 | 0.01 | 0.12 | 0.002 | 0.967 | 0.99 | 0.775–1.27 |
| MALAT1 | 0.16 | 0.12 | 1.70 | 0.192 | 1.17 | 0.92–1.50 |
| PAI-1 | 0.63 | 0.16 | 14.67 | 0.0008 ** | 1.88 | 1.36–2.59 |
| OPN | 0.15 | 0.04 | 13.86 | 0.001 ** | 1.07 | 1.07–1.26 |
| Multivariate Analysis | ||||||
| PAI-1 | 0.44 | 0.15 | 7.99 | 0.01 * | 1.56 | 1.14–2.12 |
| Parameter (Fibroadenoma) | Coefficient (β) | SE | Wald (x2) | p-Value | Odds Ratio | 95% CI |
|---|---|---|---|---|---|---|
| Univariate Analysis | ||||||
| PVT 1 | 0.04 | 0.04 | 0.70 | 0.40 | 1.04 | 0.94–1.14 |
| HOTAIR | 1.03 | 0.35 | 8.67 | 0.003 * | 2.80 | 1.41–5.57 |
| NEAT1 | 0.11 | 0.15 | 0.54 | 0.45 | 1.12 | 0.82–1.53 |
| MALAT1 | 0.37 | 0.260 | 2.09 | 0.14 | 1.45 | 0.87–2.42 |
| PAI-1 | 0.13 | 0.04 | 7.60 | 0.006 * | 1.14 | 1.03–1.25 |
| OPN | 0.08 | 0.03 | 7.66 | 0.006 * | 1.09 | 1.02–1.15 |
| Multivariate Analysis | ||||||
| HOTAIR | 1.35 | 0.47 | 8.19 | 0.004 * | 3.88 | 1.53–9.81 |
| PAI-1 | 0.19 | 0.07 | 6.49 | 0.01 * | 1.21 | 1.04–1.40 |
| OPN | 0.12 | 0.05 | 6.76 | 0.009 * | 1.13 | 1.03–1.25 |
Publisher’s Note: MDPI stays neutral with regard to jurisdictional claims in published maps and institutional affiliations. |
© 2021 by the authors. Licensee MDPI, Basel, Switzerland. This article is an open access article distributed under the terms and conditions of the Creative Commons Attribution (CC BY) license (http://creativecommons.org/licenses/by/4.0/).
Share and Cite
El-Fattah, A.A.A.; Sadik, N.A.H.; Shaker, O.G.; Mohamed Kamal, A.; Shahin, N.N. Serum Long Non-Coding RNAs PVT1, HOTAIR, and NEAT1 as Potential Biomarkers in Egyptian Women with Breast Cancer. Biomolecules 2021, 11, 301. https://doi.org/10.3390/biom11020301
El-Fattah AAA, Sadik NAH, Shaker OG, Mohamed Kamal A, Shahin NN. Serum Long Non-Coding RNAs PVT1, HOTAIR, and NEAT1 as Potential Biomarkers in Egyptian Women with Breast Cancer. Biomolecules. 2021; 11(2):301. https://doi.org/10.3390/biom11020301
Chicago/Turabian StyleEl-Fattah, Amal Ahmed Abd, Nermin Abdel Hamid Sadik, Olfat Gamil Shaker, Amal Mohamed Kamal, and Nancy Nabil Shahin. 2021. "Serum Long Non-Coding RNAs PVT1, HOTAIR, and NEAT1 as Potential Biomarkers in Egyptian Women with Breast Cancer" Biomolecules 11, no. 2: 301. https://doi.org/10.3390/biom11020301
APA StyleEl-Fattah, A. A. A., Sadik, N. A. H., Shaker, O. G., Mohamed Kamal, A., & Shahin, N. N. (2021). Serum Long Non-Coding RNAs PVT1, HOTAIR, and NEAT1 as Potential Biomarkers in Egyptian Women with Breast Cancer. Biomolecules, 11(2), 301. https://doi.org/10.3390/biom11020301

