-
Small Molecule Compounds Inhibit Varicella-Zoster Virus Replication by Targeting the Portal Protein–Capsid Interface -
Interferons Inhibit Ebola Virus Infection of Human Keratinocytes -
NSC95397 Is a Novel HIV-1 Latency-Reversing Agent -
Intersegment Recombination During Influenza A Virus Replication Gives Rise to a Novel Class of Defective Viral Genomes
Journal Description
Viruses
Viruses
is a peer-reviewed, open access journal of virology, published monthly online by MDPI. The Spanish Society for Virology (SEV), Canadian Society for Virology (CSV), Italian Society for Virology (SIV-ISV), Australasian Virology Society (AVS), Brazilian Society for Virology (BSV) and Global Virus Network (GVN) are affiliated with Viruses and their members receive a discount on the article processing charges.
- Open Access— free for readers, with article processing charges (APC) paid by authors or their institutions.
- High Visibility: indexed within Scopus, SCIE (Web of Science), PubMed, MEDLINE, PMC, Embase, PubAg, and other databases.
- Journal Rank: JCR - Q2 (Virology) / CiteScore - Q1 (Virology/Infectious Diseases)
- Rapid Publication: manuscripts are peer-reviewed and a first decision is provided to authors approximately 17.2 days after submission; acceptance to publication is undertaken in 2.7 days (median values for papers published in this journal in the second half of 2025).
- Recognition of Reviewers: reviewers who provide timely, thorough peer-review reports receive vouchers entitling them to a discount on the APC of their next publication in any MDPI journal, in appreciation of the work done.
- Companion journal: Zoonotic Diseases.
Impact Factor:
3.5 (2024);
5-Year Impact Factor:
3.7 (2024)
Latest Articles
Generation of a Bivalent Recombinant Vaccine Conferring Dual Protection Against Potyvirus and Orthotospovirus in Cucurbits
Viruses 2026, 18(2), 250; https://doi.org/10.3390/v18020250 (registering DOI) - 15 Feb 2026
Abstract
Climate warming has facilitated the expansion of insect vectors and plant viral pathogens, leading to increased incidence of viral diseases in crops. Cucurbit crops, including cucumber (Cucumis sativus), melon (Cucumis melo), squash (Cucurbita pepo), and watermelon (
[...] Read more.
Climate warming has facilitated the expansion of insect vectors and plant viral pathogens, leading to increased incidence of viral diseases in crops. Cucurbit crops, including cucumber (Cucumis sativus), melon (Cucumis melo), squash (Cucurbita pepo), and watermelon (Citrullus lanatus), are of major economic importance worldwide, but their production is severely threatened by viral infections. Among the most damaging viruses are zucchini yellow mosaic virus (ZYMV; genus Potyvirus), transmitted by aphids, and melon yellow spot virus (MYSV; genus Orthotospovirus), transmitted by thrips, both of which cause significant yield losses in Asia, including Taiwan. Previously, an attenuated ZYMV mutant, ZAC, was shown to confer effective cross-protection against ZYMV in several cucurbit species. In the present study, we engineered a recombinant virus, ZAC-MYnp, by inserting the nucleocapsid protein (NP) open reading frame of MYSV into the ZAC genome. ZAC-MYnp retained the attenuated phenotype of ZAC and remained effective in protecting against ZYMV infection, with protection rates of 70.4% and 87.0% in zucchini and muskmelon plants, respectively. In addition, under both mechanical and thrips-mediated challenge conditions, ZAC-MYnp significantly reduced MYSV symptom severity in muskmelon, with a protection rate of 66.7% and a protective efficacy of 79.0%, respectively. These results demonstrate that ZAC-derived recombinant viruses can function as a bivalent viral vaccine, offering dual protection against an aphid-borne potyvirus and a thrips-borne orthotospovirus. Our study highlights the feasibility of using a bivalent recombinant vaccine to manage two distinct insect-borne viruses in cucurbit crops.
Full article
(This article belongs to the Special Issue Application of Genetically Engineered Plant Viruses)
►
Show Figures
Open AccessSystematic Review
Transcriptomic Profile of Glioblastoma Cells Infected with Zika Virus: A Systematic Review and Pathway Analysis
by
Diego Menezes, Clarisse Rezende Reis, Izabela Mamede, Victor Emmanuel Viana Geddes, Renan Pedra de Souza and Renato Santana Aguiar
Viruses 2026, 18(2), 249; https://doi.org/10.3390/v18020249 (registering DOI) - 15 Feb 2026
Abstract
Glioblastoma (GBM) is an aggressive tumor with limited therapeutic options. Zika virus (ZIKV) has demonstrated activity against GBM; however, the cellular pathways behind this interaction remain unclear. We systematically reviewed open-access primary studies assessing differentially expressed genes (DEGs) in GBM models infected with
[...] Read more.
Glioblastoma (GBM) is an aggressive tumor with limited therapeutic options. Zika virus (ZIKV) has demonstrated activity against GBM; however, the cellular pathways behind this interaction remain unclear. We systematically reviewed open-access primary studies assessing differentially expressed genes (DEGs) in GBM models infected with wild-type or engineered ZIKV using transcriptomic approaches (inclusion criteria); reviews, restricted-access studies, commentaries, preprints, abstracts, and articles lacking data or not meeting these conditions were excluded (PROSPERO CRD420251077092). We performed a pathway analysis of reported DEGs. PubMed and Google Scholar were searched up to 5 March 2025; 139 records were identified and 5 met the eligibility criteria. Risk of bias was evaluated using an adapted ToxRTool for in vitro experiments and the SYRCLE RoB tool for in vivo models. Altogether, 4360 genes were reported as upregulated and 2072 as downregulated; 12 genes (DNAJB9, SESN2, PMAIP1, PPP1R15A, KLF4, ATF3, IFNB1, IFNL1, ANKRD33B, ZC3HAV1, OASL, and CCL5) were consistently upregulated, none were consistently downregulated. Pathway analysis of the studies providing complete DEG lists identified 23 commonly enriched pathways mostly related to interferon signaling. These findings may help guide future research in this field; nevertheless, methodological heterogeneity limits comparability, reinforcing the need for standardized protocols. Funding: ITpS, CNPq, and FAPEMIG.
Full article
(This article belongs to the Section General Virology)
►▼
Show Figures

Figure 1
Open AccessCommunication
Exposure Without Active Infection: Surveillance of Influenza A Viruses and Coronaviruses in Antarctic Seabirds
by
Jennifer Oliveira Melo, Leonardo Corrêa da Silva Junior, Martha Lima Brandão, Bruno Rocha Pribul, Luciana Trilles, Roberto do Val Vilela, Dilmara Reischak, Marilda M. Siqueira, Paola Cristina Resende and Maria Ogrzewalska
Viruses 2026, 18(2), 248; https://doi.org/10.3390/v18020248 (registering DOI) - 15 Feb 2026
Abstract
Understanding the circulation of influenza A viruses and other respiratory pathogens in Antarctic wildlife is essential for anticipating outbreaks and evaluating potential impacts on vulnerable populations. During the austral summer of December 2024 and January 2025, we conducted viral surveillance in six bird
[...] Read more.
Understanding the circulation of influenza A viruses and other respiratory pathogens in Antarctic wildlife is essential for anticipating outbreaks and evaluating potential impacts on vulnerable populations. During the austral summer of December 2024 and January 2025, we conducted viral surveillance in six bird species breeding at Lions Rump, King George Island, South Shetland Islands, Antarctica. A total of 199 individuals were sampled, including Pygoscelis papua (gentoo penguin; n = 81), Pygoscelis adeliae (Adélie penguin; n = 79), Pygoscelis antarcticus (chinstrap penguin; n = 34), Stercorarius antarcticus (brown skua; n = 2), Chionis albus (snowy sheathbill; n = 2), and Eudyptes chrysolophus (macaroni penguin; n = 1). All cloacal and oropharyngeal swabs tested negative for influenza A viruses and coronaviruses by RT-PCR. Blood samples from 177 birds were screened by enzyme-linked immunosorbent assay, which detected influenza A virus antibodies in 20 individuals (11.3%). Hemagglutination inhibition assays identified subtypes H6 and H11 in two penguins and H1, H5, H6, and H9 in one skua. These findings reveal no evidence of active viral infection during the sampling period but provide serological evidence of past exposure in seabird populations at Lions Rump. Continued surveillance is essential to characterize viral dynamics in Antarctic ecosystems and to support early detection and preparedness for potential incursions of emerging high-pathogenicity influenza A viruses.
Full article
(This article belongs to the Section Animal Viruses)
►▼
Show Figures

Figure 1
Open AccessPerspective
SARS-CoV-2 Persistence and the Gut Microbiota: New Insights into Long COVID Pathogenesis
by
Sofia De Stefanis, Francesca Colavita, Fabrizio Maggi and Manuela Antonioli
Viruses 2026, 18(2), 247; https://doi.org/10.3390/v18020247 (registering DOI) - 14 Feb 2026
Abstract
In December 2019, the world experienced the emergence of a new virus, SARS-CoV-2, which caused the 2020 pandemic. SARS-CoV-2 causes COVID-19, primarily affecting the respiratory system, as well as the gastrointestinal tract. Remarkably, one in eight COVID-19 patients develops Long COVID, which is
[...] Read more.
In December 2019, the world experienced the emergence of a new virus, SARS-CoV-2, which caused the 2020 pandemic. SARS-CoV-2 causes COVID-19, primarily affecting the respiratory system, as well as the gastrointestinal tract. Remarkably, one in eight COVID-19 patients develops Long COVID, which is linked to SARS-CoV-2 persistence in the gastrointestinal tract, resulting in chronic inflammation and microbiota dysregulation. Given that gut microbiota dysbiosis plays a pivotal role in antiviral defense and gastrointestinal conditions, here we examine emerging evidence on how persistent SARS-CoV-2 infection may contribute to the aetiology of enteric disorders. In particular, we emphasise the intricate connection between chronic inflammation caused by persistent SARS-CoV-2 infection (e.g., irritable bowel syndrome and inflammatory bowel disease) and the possible development of diseases such as Crohn’s disease and ulcerative colitis.
Full article
(This article belongs to the Special Issue Molecular Mechanisms and Clinical Manifestations of Persistent Viral Infections)
Open AccessReview
Dissecting Cell Death Pathways in Influenza A Virus Infection: Comparative Insights from Human Models
by
Ngoc Mai Khoi Nguyen, Alison C. West, Rebecca L. Ambrose and Michelle D. Tate
Viruses 2026, 18(2), 246; https://doi.org/10.3390/v18020246 (registering DOI) - 14 Feb 2026
Abstract
Influenza A virus remains a major global health threat, causing annual epidemics and occasional pandemics. Programmed cell death, including apoptosis, pyroptosis, and necroptosis, with emerging evidence for ferroptosis, plays a dual role in influenza pathogenesis, both limiting viral replication and contributing to immunopathology.
[...] Read more.
Influenza A virus remains a major global health threat, causing annual epidemics and occasional pandemics. Programmed cell death, including apoptosis, pyroptosis, and necroptosis, with emerging evidence for ferroptosis, plays a dual role in influenza pathogenesis, both limiting viral replication and contributing to immunopathology. Most mechanistic insights have been derived from murine genetic models, which have been invaluable for establishing causal roles of these pathways. However, murine models and cancer-derived cell lines differ significantly from human physiology. This review systematically compares influenza-induced programmed cell death across human-relevant platforms, including primary cells, immortalized non-cancerous lines, co-cultures, organoids, and precision-cut lung slices. The increasing complexity of these models reveals distinct aspects of pathway activation, bystander effects, cell-type vulnerability, and spatial dynamics. We highlight critical divergences between model systems, identify gaps in comparative analyses across viral strains and experimental platforms, and outline future directions leveraging advanced model systems, multi-omics, and functional genomics to enhance translational relevance and guide the development of host-directed therapies.
Full article
(This article belongs to the Section Human Virology and Viral Diseases)
Open AccessArticle
ERVWE1 Impairs Mitochondrial Homeostasis and Promotes Neuronal Apoptosis via the miR-27b-3p/BNIP3 Axis in Schizophrenia
by
Yaru Su, Kexin Zhao, Mengqi Zhang, Jiahang Zhang, Zhao Lv, Fangyi Hou, Xu Zhang, Zhao Zhang and Fan Zhu
Viruses 2026, 18(2), 245; https://doi.org/10.3390/v18020245 (registering DOI) - 14 Feb 2026
Abstract
Schizophrenia is a severe neurodevelopmental disorder with a complex and largely unresolved pathogenesis. Accumulating evidence indicates that mitochondrial dysfunction is a consistent pathological hallmark of schizophrenia, suggesting that impaired mitochondrial homeostasis may represent a convergent mechanism underlying disease vulnerability. BCL2/adenovirus E1B 19 kDa
[...] Read more.
Schizophrenia is a severe neurodevelopmental disorder with a complex and largely unresolved pathogenesis. Accumulating evidence indicates that mitochondrial dysfunction is a consistent pathological hallmark of schizophrenia, suggesting that impaired mitochondrial homeostasis may represent a convergent mechanism underlying disease vulnerability. BCL2/adenovirus E1B 19 kDa interacting protein 3 (BNIP3) is a critical regulator of mitochondrial integrity and apoptosis. However, its role in schizophrenia has not yet been elucidated. Human endogenous retroviruses W family envelope (ERVWE1) has been implicated as a potential risk factor in schizophrenia, but the molecular mechanisms by which it contributes to neuronal pathology remain poorly understood. In this study, we investigated whether ERVWE1 induces mitochondrial dysfunction and neuronal apoptosis through the regulation of BNIP3. Bioinformatic analysis of the public dataset GSE53987 revealed significantly elevated BNIP3 expression in the brain tissues of patients with schizophrenia, accompanied by enrichment of mitochondria-related pathways. Consistently, BNIP3 expression was also increased in the peripheral blood of schizophrenia patients and positively correlated with ERVWE1 levels. Mechanistically, ERVWE1 upregulated BNIP3 expression by suppressing miR-27b-3p, a microRNA that directly targets BNIP3. The resulting increase in BNIP3 led to marked mitochondrial structural and functional impairment, characterized by reduced mitochondrial aspect ratio, enhanced mitochondria permeability transition pore (mPTP) opening, and decreased mitochondrial DNA (mtDNA) copy number. These mitochondrial defects subsequently triggered cytochrome c release into the cytosol, activating the intrinsic mitochondrial apoptotic pathway. Collectively, this study provides the first evidence that the ERVWE1/miR-27b-3p/BNIP3 axis contributes to mitochondrial dysfunction and neuronal apoptosis in schizophrenia. Our findings identify a previously unrecognized molecular pathway linking endogenous retroviral activity to mitochondrial pathology, offering novel insights into the mechanisms and potential therapeutic targets for schizophrenia.
Full article
(This article belongs to the Section Human Virology and Viral Diseases)
►▼
Show Figures

Figure 1
Open AccessReview
Hepatitis D Virus: Enigmas and Gaps of Knowledge
by
Flor H. Pujol, Rossana Celeste Jaspe, Armando Andres Roca Suarez, Enkhtuul Batbold, Fabien Zoulim, Barbara Testoni and Isabelle Chemin
Viruses 2026, 18(2), 244; https://doi.org/10.3390/v18020244 (registering DOI) - 14 Feb 2026
Abstract
Hepatitis D virus (HDV) is a very peculiar virus that shares many characteristics with plant viroids. One of its unique characteristics is the requirement for the presence of a helper virus for its replication, and in particular enveloping its virion, a role often
[...] Read more.
Hepatitis D virus (HDV) is a very peculiar virus that shares many characteristics with plant viroids. One of its unique characteristics is the requirement for the presence of a helper virus for its replication, and in particular enveloping its virion, a role often played by the hepatitis B virus (HBV). Infection with HDV is frequently associated with more severe disease, which may present with fulminant hepatitis or a more rapid progression to cirrhosis and hepatocellular carcinoma (HCC), when compared to HBV mono-infection. HDV exhibits many peculiarities and enigmas, which have led to it being considered a neglected virus. This review aims to identify the most important gaps in knowledge and peculiarities in the study of this enigmatic virus, from virology to clinical implications.
Full article
(This article belongs to the Special Issue Advancing Hepatitis Elimination: HBV, HDV, and HCV)
►▼
Show Figures

Graphical abstract
Open AccessReview
The Inevitable Relationship Between Viruses and RNA Modifications Revealed Through Adenovirus Research
by
Shuichi Hashimoto, Fumiaki Uchiumi, Hideaki Furuya and Radhakrishnan Padmanabhan
Viruses 2026, 18(2), 243; https://doi.org/10.3390/v18020243 (registering DOI) - 14 Feb 2026
Abstract
Over the past two decades, it has become clear that gene expression in eukaryotic cells is regulated by diverse RNA molecules. In this process, new RNAs have been discovered, and the roles of their modified molecules have been progressively elucidated. In this review,
[...] Read more.
Over the past two decades, it has become clear that gene expression in eukaryotic cells is regulated by diverse RNA molecules. In this process, new RNAs have been discovered, and the roles of their modified molecules have been progressively elucidated. In this review, we first describe how RNA and its modifications function in virus-infected cells. We use adenovirus and several other viruses as models during the early stages of infection, which we believe determines the fate of infected cells. Next, we reviewed the process of identifying the early mRNA transcription initiation sites in adenovirus-infected cells. The results showed that the transcription initiation sites for the E1 and E4 mRNAs—known as adenovirus oncogenes—are highly complex. The same level of complexity in transcription initiation sites has been suggested for oncogenes in several other DNA tumor viruses, including SV40, polyomavirus, and papillomavirus. It is now understood that the transcription of the early adenovirus mRNA involves alternative splicing, rather than constitutive splicing, as we previously demonstrated. Furthermore, recent research indicates that the abnormal alternative splicing of intracellular mRNA may induce cellular carcinogenesis. Finally, we discuss whether alternative splicing plays a role in the carcinogenic effects of DNA tumor viruses, such as adenovirus. Additionally, we discuss that alternative splicing plays a crucial role in adenovirus replication.
Full article
(This article belongs to the Section Human Virology and Viral Diseases)
►▼
Show Figures

Figure 1
Open AccessSystematic Review
Fetal and Neonatal Immune Response to Congenital Cytomegalovirus (cCMV) Infection: A Systematically Conducted Scoping Review
by
Chrysanthi-Eleni Loizou, Antonios Gkantaras, Sofia Karagiannidou, Garyfallia Syridou, Despoina Gkentzi, Vassiliki Papaevangelou and Evangelia Farmaki
Viruses 2026, 18(2), 242; https://doi.org/10.3390/v18020242 (registering DOI) - 14 Feb 2026
Abstract
Congenital Cytomegalovirus (cCMV) infection is associated with numerous long-term sequelae. This scoping review consolidates existing evidence on fetal and neonatal immune response to cCMV and their potential relevance to clinical outcomes. A systematic search was conducted in the PubMed database. Observational studies were
[...] Read more.
Congenital Cytomegalovirus (cCMV) infection is associated with numerous long-term sequelae. This scoping review consolidates existing evidence on fetal and neonatal immune response to cCMV and their potential relevance to clinical outcomes. A systematic search was conducted in the PubMed database. Observational studies were eligible when full text was available in English and data for immune response (innate, humoral, cellular) and/or immune-related biomarkers (cytokines and molecular markers) were provided. Thirty-four studies were included. CMV-infected fetuses mount robust γδ and CD8+ T-cell responses from the second trimester of pregnancy, with the transcriptomic and cytokine profile of their amniotic fluid revealing upregulation of IFN-γ-inducible genes and cytokines. cCMV-infected neonates mount oligoclonal γδ T-cell responses and functional NK and CD8+ T-cell responses, although data on the latter’s association with symptoms at birth are contradictory. Conversely, CD4+ T-cell responses are impaired, irrespective of symptoms. T cell exhaustion is an emerging finding with unclear implications on long-term outcome. Despite shared transcriptomic profiles between symptomatic and asymptomatic neonates, a 16-gene classifier biosignature has been identified for late-onset sensorineural hearing loss. In conclusion, immune response to cCMV is characterized by a Th1 signature, with T cell exhaustion being an emerging finding warranting further investigation.
Full article
(This article belongs to the Special Issue Congenital Cytomegalovirus Infection, 3rd Edition)
►▼
Show Figures

Figure 1
Open AccessBrief Report
Epstein–Barr Virus Infection Is Associated with an Elevated Tumor–Stroma Ratio and Older Age in Oral Squamous Cell Carcinoma
by
Eris Nurul Rahmadhini, Irna Sufiawati, Hasrayati Agustina, Okky Husain, Seto Adiantoro Sadputranto and Adi Idris
Viruses 2026, 18(2), 241; https://doi.org/10.3390/v18020241 (registering DOI) - 14 Feb 2026
Abstract
Epstein–Barr virus (EBV) is an oncogenic virus implicated in several epithelial malignancies; however, its role in the tumor microenvironment of oral squamous cell carcinoma (OSCC) remains unclear. This study investigated the association between EBV infection and clinicopathological and microenvironmental features of OSCC. A
[...] Read more.
Epstein–Barr virus (EBV) is an oncogenic virus implicated in several epithelial malignancies; however, its role in the tumor microenvironment of oral squamous cell carcinoma (OSCC) remains unclear. This study investigated the association between EBV infection and clinicopathological and microenvironmental features of OSCC. A cross-sectional analysis was conducted on 62 archived OSCC biopsy specimens. EBV was detected using polymerase chain reaction (PCR), and clinical data were obtained from medical records. Tumor–stroma ratio (TSR), perineural invasion (PNI), lymphovascular invasion (LVI), and histological differentiation were assessed microscopically, while tumor-infiltrating lymphocytes (TILs) were quantified using ImageJ software version 1.54j (National Institutes of Health, Bethesda, MD, USA). EBV DNA was identified in 43.5% of cases. EBV positivity was significantly associated with older age (p = 0.046), especially among patients aged 60 years or older. All EBV-positive tumors exhibited a high tumor–stroma ratio, which was significantly associated with EBV status (p = 0.031). No significant associations were observed between EBV status and sex, tumor site, clinical stage, TILs, PNI, LVI, or histological differentiation. These findings indicate that EBV-positive OSCC is characterized by distinct microenvironmental features, particularly an elevated tumor–stroma ratio, and suggest a potential role for EBV status in microenvironmental profiling and prognostic stratification.
Full article
(This article belongs to the Section General Virology)
►▼
Show Figures

Figure 1
Open AccessArticle
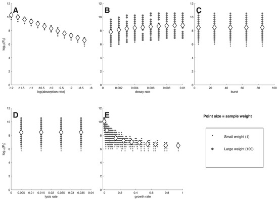
Modeling the Phage Properties Best for Therapy
by
James J. Bull, Gurneet Kaur and Stephen M. Krone
Viruses 2026, 18(2), 240; https://doi.org/10.3390/v18020240 - 13 Feb 2026
Abstract
The phages used to treat bacterial infections in phage therapy are commonly chosen based on their abilities to form plaques on the infecting bacterium–on host range. In practice, phage therapy is not always successful, leaving room for improvement. Here, we use computational models
[...] Read more.
The phages used to treat bacterial infections in phage therapy are commonly chosen based on their abilities to form plaques on the infecting bacterium–on host range. In practice, phage therapy is not always successful, leaving room for improvement. Here, we use computational models to investigate whether some standard phage properties (burst size, lysis rate, adsorption rate constant, intrinsic decay rate, and growth rate) might serve as predictors of treatment success. As our measure of treatment success, we deviate from many other approaches by calculating the number of phages needed to suppress bacterial densities 100-fold in the short term, given that the patient’s immune system is expected to regain control once bacterial numbers are reduced. Numerical analysis of single-phage trials across 2400 combinations of phage phenotypes reveals that, on average, adsorption rate constant and growth rate provide the most useful predictive values, decay rate provides some value, whereas burst size and lysis time offer essentially little or no value. Bacterial density is especially informative of the number of phages required for treatment. There is nonetheless often considerable variation around average behavior for a single phenotype. These results raise the possibility that the adsorption rate constant and growth rate may be especially important in phage therapy performance for both high and low bacterial densities. Given that therapeutic phages are often evolved in vitro for broad host ranges rather than for individual hosts, it should be considered that selection for broad host range may have a downside of compromising adsorption to and growth rate on individual bacterial hosts.
Full article
(This article belongs to the Section Bacterial Viruses)
►▼
Show Figures

Figure 1
Open AccessSystematic Review
Effect of Direct-Acting Antiviral Therapy on Glycemic Control in Patients with Chronic Hepatitis C and Type 2 Diabetes: A Systematic Review and Meta-Analysis
by
Jing-Hong Hu, Ming-Ling Chang, Ming-Shyan Lin, Tung-Jung Huang and Yung-Yu Hsieh
Viruses 2026, 18(2), 239; https://doi.org/10.3390/v18020239 - 13 Feb 2026
Abstract
The eradication of hepatitis C virus (HCV) with interferon-free direct-acting antivirals (DAAs) has transformed the management of chronic HCV infection. Chronic HCV infection is associated with an increased risk of type 2 diabetes mellitus (T2DM) and poor glycemic control. However, the magnitude and
[...] Read more.
The eradication of hepatitis C virus (HCV) with interferon-free direct-acting antivirals (DAAs) has transformed the management of chronic HCV infection. Chronic HCV infection is associated with an increased risk of type 2 diabetes mellitus (T2DM) and poor glycemic control. However, the magnitude and consistency of improvement in glycated hemoglobin (HbA1c) after DAA-induced sustained virologic response (SVR) in patients with established T2DM remain unclear. We conducted a systematic review and meta-analysis of six cohort studies comprising 2805 patients. Overall, DAA therapy was associated with a significant reduction in HbA1c after SVR, with a pooled random-effect mean difference of −0.45% (95% CI −0.74% to −0.16%; I2 = 97.8%). This effect is highly heterogeneous but suggests that HCV may be a modifiable contributor to chronic hyperglycemia. These findings highlight the need for close glucose monitoring and individualized adjustment of antidiabetic therapy after SVR to optimize metabolic outcomes.
Full article
(This article belongs to the Section Viral Immunology, Vaccines, and Antivirals)
►▼
Show Figures

Figure 1
Open AccessReview
Organoids Gone Viral: A Comprehensive Review on Human Organoid Models to Study Viral Pathogenesis
by
N. S. Suneesh, Parikshit Bagchi and Anupam Mukherjee
Viruses 2026, 18(2), 238; https://doi.org/10.3390/v18020238 (registering DOI) - 13 Feb 2026
Abstract
Organoid technology has transformed experimental virology by offering physiologically relevant 3D human models that bridge the gap between conventional 2D cell cultures and complex in vivo systems. Derived from pluripotent or adult stem cells, organoids self-organize into multicellular structures that recapitulate native tissue
[...] Read more.
Organoid technology has transformed experimental virology by offering physiologically relevant 3D human models that bridge the gap between conventional 2D cell cultures and complex in vivo systems. Derived from pluripotent or adult stem cells, organoids self-organize into multicellular structures that recapitulate native tissue architecture and function, enabling more accurate modeling of host–virus interactions and disease mechanisms. This review outlines the evolution and application of organoid-based systems across neural, intestinal, hepatic, pulmonary, and renal tissues for studying a broad range of human viruses that remain a public health burden. These models can reproduce viral tropism, immune signaling, and host variability, offering new molecular insights into infection dynamics. Integration with single-cell transcriptomics, CRISPR editing, and antiviral screening has expanded the translational utility of organoids, establishing them as a powerful platform for antiviral discovery, vaccine testing, and precision medicine.
Full article
(This article belongs to the Special Issue Host Cell-Virus Interaction, 4th Edition)
►▼
Show Figures

Figure 1
Open AccessArticle
Computational Validation of a Clinical Decision Support Algorithm for LAI-PrEP Bridge Period Navigation at UNAIDS PrEP Target Scale (21.2 Million Individuals)
by
Adrian Charles Demidont
Viruses 2026, 18(2), 237; https://doi.org/10.3390/v18020237 - 13 Feb 2026
Abstract
Long-acting injectable HIV pre-exposure prophylaxis (LAI-PrEP) demonstrates superior efficacy to oral PrEP but faces a critical implementation challenge: 47% of patients fail to receive their first injection during the “bridge period” between prescription and initiation. We developed a clinical decision support tool with
[...] Read more.
Long-acting injectable HIV pre-exposure prophylaxis (LAI-PrEP) demonstrates superior efficacy to oral PrEP but faces a critical implementation challenge: 47% of patients fail to receive their first injection during the “bridge period” between prescription and initiation. We developed a clinical decision support tool with an external configuration architecture synthesizing evidence from major LAI-PrEP trials (HPTN 083, HPTN 084, PURPOSE) and implementation studies. The tool provides population-specific risk stratification, barrier identification, and evidence-based intervention recommendations from a library of 21 interventions with mechanism diversity scoring to prevent redundant recommendations. We conducted progressive validation on four scales: 1000 (functional), 1,000,000 (large-scale), 10,000,000 (ultra-large-scale) and 21,200,000 patients (UNAIDS PrEP target), with comprehensive unit testing achieving a test pass rate of 100% (18/18 edge cases). Progressive validation demonstrated convergence and increasing precision: 1K (±2.6 pp), 1M (±0.09 pp), 10M (±0.028 pp), and 21.2M (±0.018 pp). At UNAIDS 2025 PrEP target (21.2 million) scale, the tool predicted baseline bridge period success rate of 23.96% (95% CI: 23.94–23.98%), with evidence-based interventions improving success to 43.50% (95% CI: 43.48–43.52%)—an absolute improvement of 19.54 pp (or 81.6% relative improvement), representing 4.1 million additional successful transitions globally. Population disparities were substantial: People who inject drugs (PWID) showed 10.36% baseline success versus 33.11% for men who have sex with men (MSM)—a 22.75 pp gap. Regional disparities were equally significant: Sub-Saharan Africa (serving 62% of global patients) achieved 21.69% baseline versus 29.33% in Europe/Central Asia—a 7.64 pp gap. However, evidence-based interventions disproportionately benefited vulnerable populations. PWID experienced +265% relative improvement, and adolescents experienced +147% relative improvement, demonstrating that systematic implementation support can narrow rather than widen health equity gaps at UNAIDS 2025 PrEP target (21.2 million) scale. The tool demonstrates predictive validity with policy-grade statistical precision. Using published epidemiologic parameters (HIV incidence 2–5% among indicated users, LAI-PrEP efficacy 96%), our model translates the 4.1 million additional successful transitions into approximately 80,000–100,000 prevented HIV infections annually (midpoint: 100,000), corresponding to an estimated USD 40 billion in averted lifetime treatment costs.
Full article
(This article belongs to the Special Issue Long-Acting Antiretrovirals)
►▼
Show Figures

Graphical abstract
Open AccessArticle
A Prediction Model for Uncoating Receptor Usage in Human Enteroviruses Based on Amino Acid Sequences and a Naive Bayes Algorithm
by
Yongtao Jia, Zhenyu Xie, Guoying Zhu and Changzheng Dong
Viruses 2026, 18(2), 236; https://doi.org/10.3390/v18020236 - 13 Feb 2026
Abstract
This study constructed a bioinformatics prediction algorithm for human enterovirus uncoating receptors based on amino acid sequences and physicochemical properties. Based on the availability of uncoating receptor information and three-dimensional (3D) structural data, human enterovirus serotypes were classified into training, validation, and prediction
[...] Read more.
This study constructed a bioinformatics prediction algorithm for human enterovirus uncoating receptors based on amino acid sequences and physicochemical properties. Based on the availability of uncoating receptor information and three-dimensional (3D) structural data, human enterovirus serotypes were classified into training, validation, and prediction datasets. Using amino acid sequences of receptor-binding sites and their physicochemical properties as model features, a prediction model was constructed using the Naive Bayes algorithm and bioinformatic network analysis method. The results showed that both the training and validation datasets achieved a prediction accuracy of 100%. Among the 56 serotypes in the prediction dataset, the vast majority utilized seven known types of uncoating receptors (e.g., SCARB2, CAR, and ICAM-1), while a minority of serotypes may share the same novel, unknown receptor. This study indicates that uncoating receptors can be accurately predicted based on the amino acid sequences and physicochemical properties of human enteroviruses. Furthermore, the three-dimensional structural features at receptor-binding sites can be reflected through corresponding amino acid sequences and their physicochemical properties. This study facilitates a more in-depth investigations of enterovirus pathogenic mechanisms and provides important insights for the development of vaccines and antiviral drugs.
Full article
(This article belongs to the Special Issue Coxsackieviruses, Polioviruses and Associated Diseases (Second Edition))
►▼
Show Figures

Figure 1
Open AccessReview
Anelloviruses: From General Biology to Their Role as Biomarkers of Immune Competence in HIV Infection
by
Alina R. Nokhova, Kirill A. Elfimov, Alexander M. Shestopalov, Natalya M. Gashnikova and Olga G. Kurskaya
Viruses 2026, 18(2), 235; https://doi.org/10.3390/v18020235 - 13 Feb 2026
Abstract
Viruses of the family Anelloviridae represent a predominant component of the human virome across various anatomical sites, yet their clinical significance remains poorly understood. This review summarizes current data on the dynamics and functional interactions of anelloviruses with the immune system in the
[...] Read more.
Viruses of the family Anelloviridae represent a predominant component of the human virome across various anatomical sites, yet their clinical significance remains poorly understood. This review summarizes current data on the dynamics and functional interactions of anelloviruses with the immune system in the context of human immune deficiency virus (HIV) infection. Existing studies indicate that an individual’s complement of anelloviruses (their “anellome”) serves as a highly sensitive indicator of immunocompetence. In the absence of antiretroviral therapy (ART), the viral load and taxonomic diversity of anelloviruses (genera Alphatorquevirus, Betatorquevirus, and Gammatorquevirus) demonstrate a rapid increase, correlating with HIV viral load, a decline in CD4+ T-lymphocyte count, and the CD4/CD8 ratio, reflecting weakened immune surveillance. Upon initiation of antiretroviral therapy (ART), a decrease in anellovirus viral load is observed; however, it likely does not revert to the pre-HIV infection baseline. At the same time, a high baseline level of Torque teno virus (TTV) is associated with incomplete immune recovery and the risk of ART non-response. Anelloviruses exhibit a dual role as both activators of the immune system (via APOBEC3, antibody production, and pro-inflammatory cytokines resulting from Toll-like receptor (TLR) activation) and disruptors of certain signaling pathways (through micro-RNAs and proteins encoded by ORF2). Thus, monitoring the anellome represents a promising non-invasive approach for assessing immune status, risk stratification, and personalizing therapy in patients with HIV infection. Future research should focus on the practical application of anellovirus viral load and diversity as markers of immune status and on clarifying the consequences of the aggregate interaction between HIV modulator proteins and anelloviruses during co-infection.
Full article
(This article belongs to the Special Issue Advancing Research of Anelloviruses, Second Edition)
►▼
Show Figures

Figure 1
Open AccessArticle
Development of a Complementation Assay to Monitor Pan-Coronavirus 3C-like Protease Activity
by
Akhil Chameettachal, Alice Duchon, Matthew A. Brown, Jonathan M. O. Rawson, Vinay K. Pathak and Wei-Shau Hu
Viruses 2026, 18(2), 234; https://doi.org/10.3390/v18020234 - 12 Feb 2026
Abstract
Coronaviruses pose a global pandemic threat, making development of a pan-coronavirus inhibitor crucial for preparedness and containment in the event of a new coronavirus outbreak. The 3C-like protease (3CLpro) is a key target for antiviral development, as it is essential for
[...] Read more.
Coronaviruses pose a global pandemic threat, making development of a pan-coronavirus inhibitor crucial for preparedness and containment in the event of a new coronavirus outbreak. The 3C-like protease (3CLpro) is a key target for antiviral development, as it is essential for viral replication and conserved across human coronaviruses. We previously developed an assay to monitor SARS-CoV-2 3CLpro activity in cells. This assay uses a single vector that coexpresses the 3CLpro enzyme and the reporter, which consists of two luciferase fragments linked by a 3CLpro cleavage site. Cleavage of this site by 3CLpro decreases luciferase activity, whereas inhibition of 3CLpro increases the luciferase activity. Here, we adapted this assay to examine 3CLpro activity from six other human coronaviruses: SARS-CoV, MERS-CoV, HCoV-NL63, HCoV-229E, HCoV-OC43, and HCoV-HKU1. We further determined the effects of different cleavage sites to improve the signal-to-background ratio. The Nsp4-Nsp5 site and super-active substrate (SAS) resulted in the largest dynamic range for most coronaviruses in our assay. Using the broad-spectrum 3CLpro inhibitor GC376, we observed increased reporter activity, indicating the assay’s efficacy for identifying inhibitors across multiple coronaviruses. The adaptation and improvement of the assay can facilitate the development of inhibitors against 3CLpro from multiple or novel coronaviruses.
Full article
(This article belongs to the Section Human Virology and Viral Diseases)
►▼
Show Figures

Figure 1
Open AccessReview
Recent Progress in Structures and Functions of Hepatitis C Virus NS3/4A Proteins
by
Keyang Huang, Manfeng Zhang, Yihua Huang and Zhongzhou Chen
Viruses 2026, 18(2), 233; https://doi.org/10.3390/v18020233 - 12 Feb 2026
Abstract
Hepatitis C virus (HCV) chronically infects over 50 million people worldwide and poses a significant risk to global health. The HCV NS3/4A complex, a bifunctional enzyme comprising a protease and a helicase domain, is indispensable for viral replication and immune evasion, making it
[...] Read more.
Hepatitis C virus (HCV) chronically infects over 50 million people worldwide and poses a significant risk to global health. The HCV NS3/4A complex, a bifunctional enzyme comprising a protease and a helicase domain, is indispensable for viral replication and immune evasion, making it a pivotal target for direct-acting antiviral agents (DAAs). Here, we summarize its structural features, functional mechanisms, and implications in drug design and protein engineering (e.g., nanopore sequencing applications). The NS3 protease domain is activated by the NS4A cofactor, which mediates viral polyprotein processing and relies on a zinc-binding site for structural stability. The C-terminal helicase domain catalyzes ATP-dependent 3′→5′ unwinding, and allosteric crosstalk between the protease and helicase domains dynamically modulates the enzymatic activity, balancing unwinding velocity and processivity. Beyond supporting viral replication, NS3/4A cleaves MAVS to abolish RIG-I/MDA5 signaling but spares TRIF, leaving TLR3-mediated immunity intact; it also modulates host lipid and iron metabolism, contributing to HCV pathogenesis. Notably, structural and functional studies of NS3/4A lay a solid theoretical foundation for developing novel therapeutic strategies. Currently, DAAs targeting NS3/4A have achieved high sustained virologic response rates; however, resistance-associated substitutions remain a major clinical challenge, particularly in genotype 3 infections. Emerging therapeutic strategies targeting NS3/4A include allosteric inhibition and proteolysis-targeting chimeras (PROTACs)-mediated degradation.
Full article
(This article belongs to the Section Human Virology and Viral Diseases)
►▼
Show Figures

Figure 1
Open AccessArticle
Metavirome Detection and Analysis of Viruses Present in Diseased Pumpkin in Shandong, China
by
Kaijie Shang, Shenglin Luan, Qian Zhao, Xuli Gao, Weiqin Zhao, Xi Duan, Lehao Li, Wenbao Liu and Weihua Zhang
Viruses 2026, 18(2), 232; https://doi.org/10.3390/v18020232 - 12 Feb 2026
Abstract
Viral diseases pose a serious threat to pumpkin cultivation, which is an important cucurbitaceous vegetable crop. Recently, multi-virus mixed infections in plants have been continuously detected and reported. However, studies on mixed virus infections in pumpkins are limited. Through metavirome and polymerase chain
[...] Read more.
Viral diseases pose a serious threat to pumpkin cultivation, which is an important cucurbitaceous vegetable crop. Recently, multi-virus mixed infections in plants have been continuously detected and reported. However, studies on mixed virus infections in pumpkins are limited. Through metavirome and polymerase chain reaction (PCR) analysis, we found that pumpkins exhibiting severe viral symptoms were co-infected with squash leaf curl China virus and tomato leaf curl New Delhi virus. Transcriptome analysis revealed that 2927 genes were upregulated, and 2273 were downregulated in virus-infected pumpkin plants, compared to the gene expression in healthy pumpkin plants. Cluster analysis showed that the expression of genes related to RNA silencing and the salicylic acid resistance pathway was higher in virus-infected pumpkin plants than in healthy pumpkin plants. Furthermore, quantitative real-time PCR confirmed that the expression pattern of genes related to RNA silencing and the salicylic acid resistance pathway aligned with the transcriptome sequencing results. Our findings provide a reference for investigating the mechanism of mixed infections by these two viruses to aid in the prevention and control of viral diseases in pumpkins.
Full article
(This article belongs to the Special Issue Plant Virus Spillovers)
►▼
Show Figures

Figure 1
Open AccessReview
Long Non-Coding RNAs Can Govern the Antiviral Immune Response Through Interferon-Mediated Mechanisms in Respiratory Tract
by
Alexey Lozhkov, Alexey Skvortsov, Valeria Kirenskaya and Andrey Vasin
Viruses 2026, 18(2), 231; https://doi.org/10.3390/v18020231 - 12 Feb 2026
Abstract
Many long non-coding RNAs (lncRNAs) are able to control interferon-dependent innate immune responses and the susceptibility to influenza infection. These lncRNAs are primarily regulated through the RIG-I/IFN-β/IFNAR1 pathway and can be considered as interferon-stimulated genes with either antiviral or proviral functions. In this
[...] Read more.
Many long non-coding RNAs (lncRNAs) are able to control interferon-dependent innate immune responses and the susceptibility to influenza infection. These lncRNAs are primarily regulated through the RIG-I/IFN-β/IFNAR1 pathway and can be considered as interferon-stimulated genes with either antiviral or proviral functions. In this review we observe the current knowledge of type I and III interferon signaling regulation and discuss the present data on specific lncRNAs, which are involved in the interferon response. The available data on mechanisms of lncRNA induction and action are summarized. Also, the brief overview of genes coding for lncRNAs involved in interferon expression regulation is presented with a focus on the evolutionary conservation of these regulatory molecules. The lncRNAs belong to various classes: antisense, bidirectional, intronic, or intergenic RNAs. Research of lncRNAs is an extremely promising scientific area. Deeper understanding of lncRNA functions may result in the development of new approaches to influenza infection treatment, as well as advanced understanding of the disease pathogenesis. Further bioinformatic analysis of lncRNAs is required to reveal putative common mechanisms of lncRNA action.
Full article
(This article belongs to the Section Viral Immunology, Vaccines, and Antivirals)
►▼
Show Figures

Graphical abstract
Journal Menu
► ▼ Journal Menu-
- Viruses Home
- Aims & Scope
- Editorial Board
- Reviewer Board
- Topical Advisory Panel
- Instructions for Authors
- Special Issues
- Topics
- Sections & Collections
- Article Processing Charge
- Indexing & Archiving
- Editor’s Choice Articles
- Most Cited & Viewed
- Journal Statistics
- Journal History
- Journal Awards
- Society Collaborations
- Conferences
- Editorial Office
Journal Browser
► ▼ Journal BrowserHighly Accessed Articles
Latest Books
E-Mail Alert
News
Topics
Conferences
Special Issues
Special Issue in
Viruses
Evolution and Adaptation of Avian Viruses
Guest Editors: Giovanni Franzo, Matteo LegnardiDeadline: 28 February 2026
Special Issue in
Viruses
Diversity and Evolution of Viruses in Ecosystem 2025
Guest Editor: René KalliesDeadline: 28 February 2026
Special Issue in
Viruses
Young Investigators in Plant Virology
Guest Editors: Xudong Fan, Grazia LicciardelloDeadline: 28 February 2026
Special Issue in
Viruses
Foot-and-Mouth Disease Virus
Guest Editors: Satya Parida, Zhidong Zhang, Madhanmohan MuthukrishnanDeadline: 28 February 2026
Topical Collections
Topical Collection in
Viruses
Poxviruses
Collection Editors: Giliane de Souza Trindade, Galileu Barbosa Costa, Flavio Guimaraes da Fonseca
Topical Collection in
Viruses
Efficacy and Safety of Antiviral Therapy
Collection Editors: Giordano Madeddu, Andrea De Vito, Agnese Colpani




