You are currently viewing a new version of our website. To view the old version click .
Pharmacoepidemiology
  • Feature Paper
  • Review
  • Open Access

9 October 2025

Pharmacoepidemiological Data on Drug–Herb Interactions: Serotonin Syndrome, Arrhythmias and the Emerging Role of Artificial Intelligence

,
,
,
and
1
Department of Social Medicine, School of Medicine, University of Crete, 70013 Heraklion, Greece
2
Computational Bio-Medicine Laboratory, Institute of Computer Science, Foundation for Research and Technology—Hellas, 70013 Heraklion, Greece
3
Community Pharmacists Association of Heraklion, 71201 Heraklion, Greece
4
Department of Immunology & Histocompatibility, School of Medicine, University of Thessaly, 41222 Larissa, Greece
This article belongs to the Special Issue Exploring Herbal Medicine: Applying Epidemiology Principles

Abstract

Herbal medicinal products are increasingly used alongside conventional medicines, raising the risk of potential interactions such as pharmacodynamic drug–herb interactions (PD-DHIs) that can cause serious adverse drug reactions (ADRs). This review aims to present available pharmacological, clinical and pharmacoepidemiological literature regarding potential DHIs associated with serotonin syndrome or cardiac arrhythmias. Furthermore, it assesses the current evidence using the Oxford Centre for Evidence-Based Medicine (CEBM) 2009 framework. Serotonin syndrome most often results from combining serotonergic herbs (e.g., St. John’s wort) with antidepressants like serotonin reuptake inhibitors (SSRIs), as supported by repeated case reports and mechanistic plausibility (CEBM Level 3, Grade C). Other herbs such as black cohosh, ginseng, Syrian rue, turmeric, rhodiola, ashwagandha, and L-tryptophan/5-HTP have been linked to serotonin syndrome when used with SSRIs, serotonin-norepinephrine reuptake inhibitors (SNRIs), or monoamine oxidase inhibitors (MAOIs), but evidence is limited (Levels 4–5, Grade D). For cardiac arrhythmias, PD-DHIs arise when herbs interact with drugs that alter cardiac electrophysiology—such as QT-prolonging agents, psychotropics, antiarrhythmics or digoxin—thereby amplifying arrhythmogenic risk. Ephedra with sympathomimetics is strongly associated with arrhythmias (Level 2–3, Grade B). Licorice may potentiate digoxin and QT-prolonging drugs via hypokalemia (Level 4, Grade C). Other related PD-DHIs include aconite with antiarrhythmics, bitter orange or caffeine with QT-prolonging psychotropics, yohimbine with cardiovascular agents, and aloe or senna with digoxin. Overall, the evidence for PD-DHIs varies from moderate to weak but large-scale pharmacoepidemiological data is scarce. Future approaches, including artificial intelligence with explainable machine learning and network pharmacology, may integrate mechanistic, clinical, and real-world data to improve early detection or prediction of PD-DHIs. However, several specific challenges must be addressed. Therefore, it is crucial for healthcare providers in both clinical and community settings to increase their awareness of these interactions and ADRs to ensure the safe use of herbal remedies alongside conventional therapies.

1. Introduction

The global use of herbal supplements has increased markedly over the past few decades, driven by growing public interest in complementary and alternative medicine, perceptions of safety and naturalness, and adherence to cultural or traditional practices [1]. Herbal products are commonly consumed for health promotion, disease prevention, or symptom management and are widely accessible without prescription. However, their concurrent use with conventional medicines raises significant safety concerns due to the potential for drug–herb interactions (DHIs), which can result in altered pharmacokinetics or pharmacodynamics, reduced therapeutic efficacy, or the occurrence of serious adverse effects [2,3].
Unlike conventional medicines, herbal products are complex mixtures of bioactive constituents. Their interactions with drugs may occur at multiple levels of drug disposition—absorption, distribution, metabolism, and excretion (ADME)—or through modulation of drug targets and physiological systems [4,5,6,7]. Pharmacokinetic (PK) interactions are commonly mediated through modulation of cytochrome P450 enzymes (e.g., CYP3A4, CYP2D6), drug transporters such as P-glycoprotein, or phase II conjugation pathways. The variability in herbal product composition—resulting from differences in plant species, cultivation conditions, harvesting time, extraction techniques, and lack of standardization—further complicates the predictability and reproducibility of DHIs [8].
Among these, PK-based DHIs are well-studied and well-documented in the literature, particularly with regard to herbs such as Hypericum perforatum (St. John’s Wort, SJW), Ginkgo biloba, and grapefruit juice [9,10,11,12]. These can profoundly affect the bioavailability and clearance of substrate drugs through induction or inhibition of metabolic enzymes. In contrast, pharmacodynamic (PD) DHIs remain underexplored, owing to their greater mechanistic complexity. PD interactions typically involve additive, synergistic, or antagonistic effects at the level of receptors, enzymes, ion channels, or signaling pathways. These effects may arise via primary mechanisms (e.g., two agents acting on the same receptor) or secondary mechanisms (e.g., modulation of downstream biological cascades or compensatory physiological systems). The absence of validated biomarkers, limited standardization of herbal preparations, and lack of mechanistic clarity further impede the systematic evaluation of PD-DHIs, despite their potential to provoke clinically significant outcomes. A particularly important category of PD interactions—both drug–drug and drug–herb—involves those that can precipitate serotonin syndrome or cardiac arrhythmias. These conditions are potentially life-threatening and may be difficult to identify in routine clinical practice, especially in the context of self-medication with herbal products. Especially for the latter, their detection and management become particularly challenging when herbal products are involved. Patients often do not disclose their use of herbal supplements, and healthcare providers may not routinely inquire [13,14,15]. Furthermore, herbal products are omitted from pre-marketing studies, pharmacovigilance systems, and randomized clinical trials, leading to a substantial gap in safety data. Regulatory agencies such as the U.S. Food and Drug Administration (FDA), the European Medicines Agency (EMA), and China’s National Medical Products Administration (NMPA) have initiated efforts to incorporate herbal safety data into broader pharmacovigilance frameworks [16,17,18,19,20,21,22,23]. However, the classification of herbal remedies or supplements rather than drugs, along with significant heterogeneity in national regulations and limited requirements for safety evaluation, continues to challenge systematic risk assessment.
Pharmacoepidemiological research is instrumental in filling this knowledge gap. It leverages post-marketing surveillance data, real-world evidence, spontaneous adverse event reports, and observational study designs to detect, characterize, and quantify the public health impact of DHIs. Pharmacovigilance data consistently indicate that while herbal medicinal products are widely used, their safety profiles remain poorly characterized and frequently underreported [24]. The existing framework was originally designed for conventional medicines and when these approaches are used to assess the safety of herbal medicines, they face specific challenges as mentioned earlier, including the complex herbal formulations, product diversity with different herbs, dose variability among products or use patterns, lack of standardization protocols, and underreporting of self-use by patients [25,26]. Previous systematic analysis highlighted cardiovascular adverse effects, including arrhythmias, hypertension, and myocardial infarction, associated particularly with aconite, ephedra, and licorice, though incidence rates could not be reliably estimated due to limited evidence [27]. Subsequent regional or broader longitudinal studies reveal important ADR cases with confounders to be common such as chronic conditions, polypharmacy or unregistered and adultery supplements while also posing the challenges of underreporting, inadequate quality control, and weak regulatory frameworks as persistent issues [28,29,30,31,32,33,34,35]. A recent meta-analysis estimated adverse event reporting rates for herbal supplements ranging from 0.03% to 29.84%, with a median of 1.42% [36]. Therefore, it is critical to assess published and emerging data in order to enhance our understanding of the potential ADRs associated with herbal remedies. This is particularly important for complex scenarios such as PD-DHIs, where intricate mechanisms may be involved and establishing a direct association between herbal product use and ADRs arising from PD-DHIs is particularly challenging. This review aims to synthesize available literature data regarding pharmacological mechanisms and clinical evidence of DHIs specifically associated with serotonin syndrome and cardiac arrhythmias. By mapping available data across evidence hierarchies—from randomized clinical trials to case reports and experimental studies—we seek to identify high-risk herbal supplements, implicated drug classes, and clinical consequences. Finally, we explore how artificial intelligence (AI) tools can facilitate the extrapolation of experimental and real-world data to improve the early detection, interpretation, and management of DHI risks in both clinical and regulatory contexts.

2. Literature Search and Evidence Grading

This review adopted a narrative approach to synthesize available evidence on PD-DHIs associated with serotonin syndrome and cardiac arrhythmias, with a focus on pharmacoepidemiological insights. Literature searches were performed in MEDLINE, Cochrane Library, and Google Scholar, using combinations of terms such as “serotonin syndrome,” “arrhythmia,” “QT prolongation,” “herbal medicine,” “drug–herb interaction,” “artificial intelligence,” and “machine learning.” Searches were complemented by targeted queries for specific herbs (e.g., Hypericum perforatum, Ginkgo biloba, Panax ginseng, Glycyrrhiza glabra, berberine, L-tryptophan). To incorporate real-world data, we also reviewed signals from the FDA Adverse Event Reporting System (FAERS). Evidence from case reports, observational studies, experimental findings, clinical trials, systematic reviews, and regulatory documents was included if relevant to the clinical and mechanistic understanding of DHIs. Preference was given to reports highlighting pharmacological plausibility, clinical outcomes, or regulatory considerations. The strength of evidence was interpreted according to the Oxford Centre for Evidence-Based Medicine (CEBM) 2009 framework [37]. In this respect associations supported by systematic reviews, randomized controlled trials, or high-quality cohort data (Levels 1–2) were considered strong and correspond to Grades A–B recommendations. Evidence derived from case–control studies, case series, or regulatory reports (Levels 3–4) was regarded as moderate, aligning with a Grade C recommendation. Finally, associations based solely on mechanistic reasoning, in vitro findings, or isolated case reports without replication (Level 5) were classified as weak and correspond to a Grade D recommendation. PD-DHIs association with serotonin syndrome or cardiac arrhythmias This grading allowed us to distinguish well-documented risks from more speculative interactions where clinical confirmation remains limited. The review also discusses how AI-driven methods may complement current evidence by integrating pharmacovigilance, clinical, and experimental data to improve early detection of DHIs.

2.1. Herbal Products That Are Associated with Serotonin Syndrome

Serotonin syndrome is an iatrogenic, potentially life-threatening condition characterized by excessive serotonergic activity in the central nervous system [38,39]. It was first described in 1960, when elevated CNS serotonin was linked to restlessness, sweating, mental impairment, ataxia, and hyperreflexia in hypertensive patients treated with MAOIs and L-tryptophan which was later named “serotonin syndrome” [40,41]. The condition is most commonly triggered by drugs that increase serotonin levels, such as selective serotonin reuptake inhibitors (SSRIs), serotonin–norepinephrine reuptake inhibitors (SNRIs), monoamine oxidase inhibitors (MAOIs), and certain opioids (e.g., tramadol, fentanyl). Clinically significant cases most often involve SSRIs or SNRIs combined with MAOIs, but other implicated agents include tricyclic antidepressants, opioids, antibiotics (e.g., linezolid), antiemetics (e.g., ondansetron, metoclopramide), antimigraine drugs (triptans), stimulants (amphetamines, cocaine), and over-the-counter medicines such as dextromethorphan [42,43,44,45,46,47,48,49]. At the molecular level, overstimulation of 5-HT1A and 5-HT2A receptors in the brainstem and spinal cord leads to the characteristic triad of symptoms often diagnosed using the Hunter serotonin toxicity criteria: neuromuscular excitation (e.g., tremor, clonus, hyperreflexia), autonomic instability (e.g., hypertension, tachycardia, hyperthermia), and altered mental status (e.g., agitation, confusion) [38,39,46,50]. These features do not always appear simultaneously, and severity ranges from mild to life-threatening, depending on the number and intensity of symptoms [42]. Mild-to-moderate cases may present with restlessness, sweating, and tachycardia, whereas severe cases can progress to hyperthermia, seizures, rhabdomyolysis, acidosis, disseminated intravascular coagulation, hepatitis, coma, and death [46,48]. Although hospitalization is rarely required and most mild cases resolve within 24 h, recovery can take 3–4 days or longer, and initially mild presentations may suddenly deteriorate [42,46,48,50].
Despite the increasing number of drugs associated with the risk for serotonin syndrome and the incidence rates estimate a prevalence of 12% among psychiatric inpatients on serotonergic therapy [44,51]. Risk factors include polypharmacy, especially antidepressant–analgesic combinations and higher rates have been observed in older adults, males, and with certain drug classes such as MAOIs and SSRIs [45,52]. Fatal cases are typically marked by rapid onset, hyperthermia, seizures, and elevated creatine kinase [53]. Nonetheless, the risk of serotonin syndrome with some combinations may be lower than once feared: for example, the concomitant use of triptans with SSRIs or SNRIs was associated with a low incidence (0.6–2.3 cases per 10,000 person-years), challenging the FDA’s 2006 advisory on this condition [54].
Because serotonin syndrome often arises from PD interactions that directly or indirectly modify serotonin levels, the same concern extends beyond prescription medicines. In this context, potential PD-DHIs should not be overlooked [55]. Herbal remedies (e.g., St. John’s wort, ginseng, Syrian rue, turmeric) or other dietary supplements (L-tryptophan or 5-HT) that increase serotonin levels in the synaptic cleft can also cause serotonin syndrome, particularly when combined with other serotonergic drugs [44,46,55,56]. Figure 1 illustrates an overview of the underlying mechanisms and potential herbal compounds that may contribute to serotonin syndrome, while Table 1 summarizes associated mechanisms and drug–herb combinations that may potentiate the risk.
Figure 1. Schematic representation of serotonergic neurotransmission, highlighting the underlying mechanisms involved in serotonin syndrome. The diagram illustrates serotonin biosynthesis and release, reuptake via the serotonin transporter (SERT), postsynaptic serotonin receptors (5-HT receptors), and potential herbal compounds implicated in serotonin modulation along with potential interacting drugs. Exception is Rhodiola which its potential DHIs are related to PK-mechanisms and modulation of Cytochrome P450 (CYP).
Table 1. Herbal remedies associated with serotonin syndrome and level of evidence.

2.1.1. St. John’s Wort (Hypericum perforatum)

St. John’s wort (SJW) is among the most common herbal remedies with well-established efficacy against mild-to-moderate depression [10]. Of its many components, hyperforin is primarily responsible for its antidepressant effect, inhibiting the reuptake of neurotransmitters (serotonin, norepinephrine, and dopamine) at synapses [10,11,12]. SJW shows the greatest number of DHIs among herbal products, which can be PK and/or PD. The latter mostly occur when SJW is combined with drugs that enhance serotonergic neurotransmission. For example, serotonin syndrome has been reported with coadministration of SJW and SSRIs or 5-HT receptor agonists [57].
Case series have shown that SJW interacts with SSRIs such as paroxetine, sertraline, venlafaxine, and nefazodone through a pharmacodynamic mechanism, as both agents inhibit serotonin reuptake. This interaction has caused typical symptoms of central serotonergic syndrome (mental status changes, tremors, autonomic and gastrointestinal disturbances, headache, myalgia, and hyperkinesia), especially in elderly patients [57,74]. A case of mania was also reported in a 28-year-old man after 5 weeks of combined SJW and sertraline 50 mg/day [74]. Buspirone (a 5-HT1A receptor agonist) may also interact with SJW, producing synergy and enhancing serotonin’s pharmacological effect. Probable serotonin syndrome occurred in a 27-year-old woman treated with both agents for generalized anxiety disorder [58]. Additionally, a 42-year-old woman developed hypomania after adding SJW and Ginkgo biloba to an existing fluoxetine–buspirone regimen [59]. Another episode of serotonin syndrome with rhabdomyolysis occurred in a 28-year-old woman taking eletriptan, fluoxetine, and SJW. The syndrome developed three days after eletriptan administration for migraine, while she had been on fluoxetine for a year and SJW for a month [60]. Apart from cases related to potential PD-DHIs, there are case reports also of toxicity from high-dosing of SJW that resulted in serotonin syndrome or psychosis [61].
Regarding FAERS data there are 34 cases (15.9% of 214 in total reports) of serotonin syndrome from 1997 till 2025 considering SJW. Overall, the association of St. John’s wort with serotonin syndrome is supported by multiple case series, recurrent case reports, and pharmacovigilance data (34 cases in FAERS). The consistency of these reports across different settings increases clinical confidence that could propose a CEBM Level 3 evidence, aligning with a Grade C recommendation. This underscores the importance of carefully evaluating patients’ health status before initiating any treatment involving SJW.

2.1.2. Black Cohosh

Black cohosh (Cimicifuga racemosa), often promoted for relief of menopausal complaints such as hot flashes and night sweats, is thought to exert its effects primarily through serotonergic modulation rather than by mimicking estrogen. Triterpene glycosides, including actein and cimicifugoside, are the primary active compounds in black cohosh extracts and have been identified as partial agonists for specific serotonin receptors, including 5-HT1A, 5-HT1D, and 5-HT7. This serotonergic activity is a hypothesized mechanism for how black cohosh helps relieve menopausal symptoms, although other potential mechanisms, such as estrogen modulation and antioxidant effects, are also being studied. This pharmacological profile makes it an appealing choice for women who wish to avoid, or are unsuitable for, hormone replacement therapy. Although some clinical investigations have reported meaningful symptom improvement, particularly in vasomotor disturbances, findings across studies remain variable and inconclusive regarding both benefit and safety [62]. Importantly, concurrent use with antidepressants has been associated with serotonergic adverse effects attributed to agonistic action of black cohosh’s triterpene glycosides on the 5-HT receptors [75]. In one published case from 2024, a woman taking two different antidepressants developed serotonin syndrome accompanied by rhabdomyolysis after ingesting black cohosh supplements [63]. Till today pharmacovigilance databases (FAERs and Eudravigilance) do not provide any data. The serotonergic activity of triterpene glycosides and the few published case reports provide only CEBM Level 4–5 evidence (single cases, mechanistic plausibility), corresponding to a Grade D recommendation. The absence of pharmacovigilance signals further underscores the limited strength of evidence but prompts for vigilance from healthcare providers.

2.1.3. Ginseng (Panax ginseng)

Ginseng is a traditional Chinese medicinal plant used in dietary supplements for its beneficial effects on brain function (antioxidant, anti-aging, neuroprotective, anxiolytic, and memory-enhancing actions). These effects are mediated by ginsenosides, which can increase monoamine biosynthesis, including serotonin. Serotonin syndrome has been reported in patients taking ginseng with SSRIs or SNRIs such as escitalopram, fluoxetine, or paroxetine [64]. Despite the underlying pharmacological mechanisms and case reports, pharmacovigilance data are absent for serotonin syndrome. Overall, evidence is limited to isolated case reports and pharmacological plausibility, with no pharmacovigilance support. This represents CEBM Level 4–5 evidence, which translates into a Grade D recommendation due to the lack of consistent real-world data.

2.1.4. Syrian Rue (Peganum harmala)

Peganum harmala is a traditional medicinal plant whose main active constituents are β-carboline alkaloids (harmine, harmaline, harmaline, harmalol, harmol, tetrahydroharmine) [76]. Serotonin syndrome occurred in a 42-year-old man on chronic quetiapine and fluoxetine therapy after taking Peganum harmala for hemorrhoids [65]. Symptoms (nausea, vomiting, sweating, tremor) progressed within hours to confusion with visual hallucinations and disorientation. This reaction was likely due to monoamine oxidase A (MAO-A) inhibition by harmine and harmaline, increasing serotonin levels in the CNS in the presence of fluoxetine [66]. Additional contributing factors may include tetrahydroharmine, which inhibits serotonin reuptake (synergy with fluoxetine), and CYP2D6 inhibition by Peganum harmala, for which fluoxetine is a substrate. Currently, no relative reports in FAERS databases exist for Syrian Rue which limits the strength of association. and reflects a CEBM Level 4–5 evidence and a Grade D recommendation.

2.1.5. Turmeric (Curcuma longa)

Turmeric, used as a food additive and dietary supplement, exhibits serotonergic effects by inhibiting MAO-A. This inhibition slows the breakdown of serotonin in the presynaptic neuron, increasing its levels and promoting greater release into the synaptic cleft [55]. Its main active compound, curcumin, has demonstrated antidepressant effects, attributed to increased serotonin and dopamine release [77,78]. Hence, when combined with other antidepressants, curcumin can further elevate brain serotonin levels [78]. In one study, patients on serotonergic drugs and herbal supplements faced an increased risk of serotonin syndrome during surgeries involving the opioid fentanyl [55]. For example, a 72-year-old man on fluoxetine and turmeric developed serotonin syndrome with loss of consciousness and generalized seizures after receiving two 50 μg doses of fentanyl for bone marrow biopsy. Fluoxetine inhibits serotonin reuptake, increasing its synaptic concentration, while curcumin inhibits MAO-A, preventing serotonin breakdown. Fentanyl further enhances serotonergic effects by promoting serotonin release and weakly inhibiting reuptake. The potential of turmeric to produce serotonin syndrome has been documented in 30 reports (10.2% of 294 total reports) for a period from 2015 to 2021 in FAERS. The presence of mechanistic studies and isolated clinical cases supported by FAERS reports suggest for CEBM Level 4 (case reports and regulatory reports), corresponding to a Grade C recommendation for turmeric.

2.1.6. Rhodiola Rosea

Rhodiola (Rhodiola rosea), a traditional medicinal plant widely used in northern Europe in Russia and Scandinavia, is valued for its adaptogenic properties—enhancing the body’s resistance to stress and modulating nervous system activity [79]. Its pharmacological properties attributed to compounds such as monoterpenic alcohols and glycosides, flavonoids, proanthocyanidins, and cyanogenic glycosides. It can enhance serotonin, dopamine, and other neurotransmitters, while modulating stress-response pathways involving protein kinases (p-JNK) and heat shock proteins (Hsp70, FoxO/DAF-16) [80]. Rhodiola also inhibits cytochrome P450 isoenzymes (e.g., CYP2C9, CYP1A2, CYP2C19, CYP2D6, CYP3A4), potentially reducing the metabolism of antidepressants, thereby intensifying their effects, and raising the risk of serotonin syndrome [81,82]. Cases of pharmacokinetic or pharmacodynamic interactions have been observed with Rhodiola rosea. One reported instance involved a 68-year-old woman with recurrent moderate depressive disorder with somatic features, who developed tremors, restlessness, and autonomic disturbances after combining Rhodiola rosea with paroxetine, suggesting a possible serotonergic syndrome [67]. Despite the pharmacological properties of rhodiola, till today no reports have been provided in FAERS databases. Since clinical documentation is sparse, rhodiola risk for serotonin syndrome represents CEBM Level 5 evidence, corresponding to a Grade D recommendation.

2.1.7. Ginkgo Biloba

Ginkgo biloba is derived from the leaves of a tree native to China. While its seeds are considered a delicacy in some regions, they can be toxic in large amounts. The leaf extract has been used in traditional Chinese medicine for thousands of years to alleviate various symptoms, including memory loss, anxiety, asthma, diabetes, and erectile dysfunction. Despite its widespread use in both Eastern and Western medicine, robust clinical evidence supporting its efficacy remains limited [83,84,85].
The extract contains two main groups of active compounds: terpene lactones (notably ginkgolides and diterpenes) and flavone glycosides (including ginkgetin, bilobetin, and sciadopitysin). Preclinical studies demonstrate that standardized Ginkgo biloba extract (EGb761) modulates several neurotransmitter systems and brain structures. EGb761 reduces stress-induced corticosterone secretion by downregulating adrenal peripheral benzodiazepine receptors and reversibly inhibits monoamine oxidase in the brain, affecting serotonin and dopamine uptake. It also exhibits mild anticholinesterase activity, enhancing cholinergic transmission.
Due to its inhibitory properties on MAO, concomitant use of Ginkgo biloba with serotonergic antidepressants, such as selective serotonin reuptake inhibitors (SSRIs), may increase the risk of serotonin toxicity and serotonin syndrome, highlighting important safety considerations. Although sufficient clinical evidence is not available, there are 4 reports (0.4% of 989 reports) in FAERS database from 2018 to 2025 [68,69,70]. Overall, mechanistic plausibility exists through MAO inhibition, but the few pharmacovigilance reports place gingko biloba in CEBM Level 4–5 evidence, aligned with a Grade D recommendation

2.1.8. Ashwagandha (Withania somnifera)

Withania somnifera, or ashwagandha, is an adaptogenic shrub used in traditional Ayurvedic and Unani medicine to enhance resilience to stress and promote sleep [86,87]. It is often used to reduce anxiety and has shown potential as an adjunct to selective serotonin reuptake inhibitors (SSRIs) in treating generalized anxiety disorder [88]. Its pharmacological activity is due to steroidal lactones (withanolides) and alkaloids. Withanolides are ergostane-based compounds including withaferin A and various derivatives, while alkaloids such as withanine and somniferine contribute to its effects. Flavonoids like quercetin are also present [89,90]. Ashwagandha modulates serotonin by interacting with serotonin receptors and transport proteins, mimicking SSRI effects at moderate doses by increasing serotonin. However, higher doses may reduce serotonin, potentially worsening mood disorders.
DHIs analyses suggest potential adverse effects when ashwagandha is co-administered with antidepressants [91]. Reboxetine can cause testicular pain and ejaculatory dysfunction; sertraline is linked to severe diarrhea; escitalopram co-use has resulted in myalgia, gastrointestinal symptoms, restless legs syndrome, and cough; and paroxetine may cause generalized myalgia and ocular symptoms. A recent case report document serotonin syndrome when ashwagandha is combined with SSRIs such as escitalopram [71]. Ashwagandha inhibits also CYP3A4 and CYP2D6 enzymes, thus has the potential to lead in increased concentrations and side effects of antidepressants metabolized by these pathways [91]. This raises safety concerns, especially for elderly patients and those on multiple medications. Long-term safety data on ashwagandha are limited, and lack of standardization in formulations complicates consistent clinical outcomes. This can also explain the absence of reports regarding the herb in FAERS databases. This corresponds to CEBM Level 5 evidence, yielding a Grade D recommendation till additional data is available. Hence, caution is advised when using ashwagandha supplements, particularly alongside serotonergic drugs and providers should remain vigilant for any associated adverse event.

2.1.9. L-Tryptophan and 5-HTP

L-tryptophan is an essential amino acid obtained from dietary proteins. While daily needs are about 5 mg/kg, some individuals consume much larger amounts (up to 4–5 g/day) via supplements, often to improve mood or sleep [92]. Serotonin is synthesized from L-tryptophan via two reactions: hydroxylation by tryptophan hydroxylase to L-5-hydroxytryptophan, then decarboxylation to serotonin [92,93]. Increased L-tryptophan intake can raise endogenous serotonin levels, triggering the syndrome [92]. When L-tryptophan is combined with MAOIs, adverse effects can range from mild (drowsiness, ataxia, muscle spasms) to more severe (nausea, hyperreflexia). In contrast, coadministration with tricyclic antidepressants produces minimal or no adverse effects [38,92,93]. 5-HTP itself can be obtained directly from dietary supplements, often extracted from the seeds of Griffonia simplicifolia. By bypassing the initial hydroxylation step, 5-HTP supplementation may lead to a more direct increase in serotonin production. Both increased L-tryptophan and 5-HTP intake can elevate endogenous serotonin levels. This prompts for caution in individuals concurrently using serotonergic medications SSRIs, TCAs and MAOIs. Case reports in the literature describe serotonin syndrome-like toxic reactions when L-tryptophan was co-administered with fluoxetine [72]. Additionally, there are reports in which serotonin syndrome is presented clinically as status epilepticus following the combined use of tranylcypromine or clomipramine with L-tryptophan [73]. Despite the straightforward association of 5-HTP with serotonin syndrome, no relative reports can be retrieved from FAERS database. However, given the mechanistic plausibility and the presence of several case reports in patients combining 5-HTP with antidepressants they constitute CEBM Level 4 evidence, which corresponds to a Grade C recommendation for L-tryptophan or 5-HTP supplements.

2.1.10. Berberine

Berberine is widely promoted as a botanical supplement for managing metabolic disorders, particularly type 2 diabetes, hyperlipidemia, and obesity, due to its glucose-lowering and lipid-regulating properties. Beyond its metabolic benefits, preclinical studies suggest that berberine also exerts antidepressant-like effects by modulating neurotransmitter levels, including serotonin in the brain through MAO-A inhibition [94,95]. In addition, berberine is an inhibitor of key drug-metabolizing cytochrome P450 enzymes (notably CYP2D6, CYP2C9, and CYP3A4) [96]. Similar inhibitory activity has been reported for goldenseal (Hydrastis canadensis), another berberine-rich herbal product [6]. Since many antidepressants, including SSRIs and SNRIs, are CYP2D6 or CYP3A4 substrates, berberine may elevate their plasma concentrations and thereby intensify their pharmacological effects. This dual action raises the theoretical risk that concurrent use of berberine with SSRIs, SNRIs, MAO inhibitors, or other serotonergic agents such as triptans could result in excessive serotonergic activity. However, to date, no confirmed clinical cases of serotonin syndrome attributable to berberine have been documented. Likewise, while berberine’s CYP2D6 inhibition could interfere with the metabolism of agents such as fluoxetine, duloxetine, tramadol, and other antidepressants, published case reports remain absent While no clinical serotonin syndrome cases from berberine are known, and no reports in FAERS and Eudravigilance, berberine’s MAO-A inhibitory properties and its CYP3A4/CYP2D6 inhibition could theoretically precipitate serotonin toxicity when combined with other serotonergic drugs. In light of these mechanistic insights, healthcare professionals are advised to exercise caution when evaluating patients who use berberine alongside serotonergic medications, until sufficient clinical evidence becomes available.

2.2. Herbal Products Associated with Cardiac Arrhythmias

Cardiac arrhythmias, including QT prolongation, torsade de pointes (TdP), and ventricular tachycardia, may result from drug-induced disturbances in cardiac electrophysiology [97]. The most well-established mechanism involves blockade of the rapid component of the delayed rectifier potassium current (I_Kr), encoded by the human Ether-à-go-go-Related Gene (hERG). Inhibition of hERG channels delays repolarization and prolongs action potential duration, thereby increasing the risk of arrhythmogenic afterdepolarizations [98]. Additional mechanisms include myocardial heterogeneity, drug interactions, genetic polymorphisms, electrolyte disturbances, modulation of potassium (K+), sodium (Na+), or calcium (Ca2+) channels, interference with sympathetic tone, and the influence of aging or comorbidities [99,100]. When herbal constituents act synergistically or antagonistically with drugs affecting cardiac repolarization, the risk of life-threatening arrhythmias can be significantly increased [101]. Drug-induced arrhythmias are a recognized clinical challenge, precipitated by a wide range of pharmacological agents [97]. These disturbances—ranging from QT interval prolongation and TdP to bradyarrhythmias and atrial fibrillation—result from altered ion channel function, imbalances in calcium handling, or autonomic dysregulation [99,102]. Established risk factors include older age, female sex, structural heart disease, electrolyte abnormalities, genetic predisposition, and comorbid conditions such as cancer, all of which heighten susceptibility to arrhythmogenic triggers [103,104]. While antiarrhythmics, antimicrobials, psychotropics, and certain analgesics are frequently implicated, herbal supplements have also emerged as potential contributors, either independently or through interactions with prescribed medicines [101,105,106].
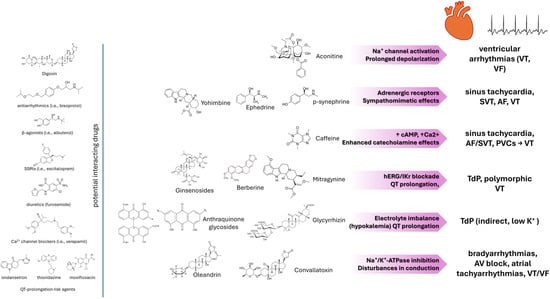
Herbal products can disrupt cardiac rhythm by modulating ion channels, interfering with repolarization, or potentiating the effects of cardioactive drugs such as cardiac glycosides (Figure 2) [106]. For example, licorice may enhance proarrhythmogenic effects or alter action potential parameters, while ephedra and bitter orange exert sympathomimetic stimulation that can precipitate tachyarrhythmias or hypertensive crises. Evidence remains limited underscoring the need for clinical vigilance (Table 2). Presentations may include palpitations, chest pain, syncope, dizziness, or sudden cardiac arrest (particularly in ventricular tachycardia), accompanied by electrocardiographic findings such as QT prolongation, bidirectional ventricular tachycardia, or Brugada-like patterns.
Figure 2. Proposed mechanisms by which herbal compounds may precipitate cardiac arrhythmias along with potential interacting drugs. These mechanisms converge on distinct electrophysiological substrates that may trigger ventricular arrhythmias such as VT (ventricular tachycardia), VF (ventricular fibrillation), TdP (torsades de pointes), SVT (supraventricular tachycardia), AF (atrial fibrillation), PVCs (premature ventricular contractions), and varying degrees of AV block (atrioventricular block). (K+: potassium).
Table 2. Herbal remedies related to elevated risk for cardiac arrhythmia when combined with certain medications and level of evidence.

2.2.1. Aconite

Despite their high risk for toxicity, aconite-containing preparations (Aconitum spp., e.g., Chuanwu in traditional Chinese medicine) as herbal medicines have been used for pain relief, specifically for conditions like neuralgia, muscular rheumatism, and arthritis as well as for skin conditions, paralysis, and even toothache [136,137,138]. Aconite remedies contain potent diterpenoid alkaloids such as aconitine, which bind voltage-gated sodium channels in the open state, delaying inactivation and prolonging depolarization. This produces triggered activity, slowing conduction, and malignant ventricular arrhythmias, including bidirectional and polymorphic ventricular tachycardia (VT) [139,140,141,142]. Regarding epidemiological occurrence consistent case reports suggest a robust mechanistic plausibility of aconite toxicity through the heart. Numerous toxicology series from China and other regions report fatalities following ingestion of improperly processed roots or tinctures, with electrocardiographic features resembling digitalis toxicity [107,108,109,110,111]. Despite toxicology reports in China, FAERS does not include any reports regarding arrythmia for aconite products. Taken together, recurrent case series and toxicology reports provide consistent clinical documentation and mechanistic plausibility, corresponding to CEBM 2–3 evidence and a Grade B recommendation.

2.2.2. Licorice

Licorice (Glycyrrhiza glabra) has been traditionally used for various ailments such as respiratory issues like coughs and bronchitis, digestive problems such as heartburn and ulcers, and skin conditions like eczema. Moreover, it has been explored for its potential anti-inflammatory, antimicrobial, and antiviral properties [143]. Licorice contains glycyrrhizin, which inhibits 11β-hydroxysteroid dehydrogenase type 2 (11β-HSD2), causing apparent mineralocorticoid excess, sodium retention, K+ wasting, and hypertension. Hypokalemia prolongs repolarization and can trigger TdP or polymorphic VT, particularly in patients on QT-prolonging drugs or digoxin [143,144,145]. Multiple consistent case reports describe life-threatening arrhythmic “electrical storms” or relative heart events after licorice consumption suggesting a strong pathophysiological rationale [112,113,114,115]. FAERS database does not provide any arrhythmia reports but there are 31 reports of hypokalemia (43.06% of 72 total reports) for licorice. Hence, caution should be advised from healthcare providers for patients with cardiovascular conditions already taking medications that prolong the QT interval or taking digoxin to avoid consuming excessive amounts of licorice preparations. This combination of robust mechanistic plausibility and recurrent case reports aligns with CEBM Level 4 evidence and a Grade C recommendation.

2.2.3. Ephedra

Ephedra (Ephedra sinica, “Ma Huang”) has long been used for its stimulant and antiasthmatic effects and, more recently, gained popularity in Western countries as a weight loss aid and bodybuilding supplement [146,147]. Its use, however, has been strongly associated with serious cardiovascular complications for dietary supplements containing ephedra alkaloids [148,149]. Ephedra and other ephedrine alkaloid-containing herbs, such as Sida species, produce sympathomimetic effects through both direct and indirect adrenergic agonism [150]. These mechanisms elevate heart rate, increase myocardial oxygen demand, enhance automaticity, and promote afterdepolarizations, thereby predisposing individuals to supraventricular tachycardias, ventricular arrhythmias, and sudden cardiac death [116]. Epidemiological studies, regulatory reviews, and pharmacovigilance reports in the early 2000s documented substantial cardiovascular morbidity and mortality linked to ephedra use [117,118]. FAERS search for standalone products also resulted in one case of arrhythmia but also additional heart-related cases (heart rate increase, syncope, etc.) Based on multiple case series, consistent pharmacovigilance data, and strong mechanistic evidence, the overall level of evidence supporting this association corresponds to CEBM Levels 2–3 evidence and a Grade B recommendation which also led the FDA to ban ephedra products in 2004 [151,152].

2.2.4. Bitter Orange

Bitter orange (Citrus aurantium) has been used as a flavoring and acidifying agent in food. As a source of flavonoid-type compounds with diverse biological effects it has been researched for diverse biological activities, including anticancer, antianxiety, antibacterial, antioxidant, antidiabetic, and metabolic syndrome-modulating effects. Its principal protoalkaloid, p-synephrine, is structurally related to ephedrine and interacts variably with α- and β-adrenergic receptors [153]. Although less potent than ephedrine, p-synephrine can raise heart rate and blood pressure and has been implicated—often in combination with caffeine-containing supplements—in tachyarrhythmias, hypertension, and myocardial infarction [119,120]. FAERS search did not provide any data or reports. The association between synephrine and cardiovascular adverse events is supported by consistent mechanistic plausibility without excluding confounding factors and relies primarily on case reports, resulting in a low CEBM Level 4–5 evidence and a Grade D recommendation [120,121]. Patients receiving cardiovascular medications, especially those with hypertension or arrhythmia, should be counseled to avoid or strictly limit bitter orange due to its potential to counteract therapeutic goals.

2.2.5. Kratom

Kratom (Mitragyna speciosa), is often used for pain relief and to aid opioid withdrawal. It contains alkaloids such as mitragynine, which act on μ-opioid receptors and modulate several ion channels, with possible hERG potassium channel blockade [154,155,156]. Clinical case reports and poison-control center data describe QT prolongation, ventricular tachyarrhythmias, and Brugada-like electrocardiographic changes, in some cases unmasking latent channelopathies. Mechanistic data, although preliminary, suggest both direct electrophysiological effects and indirect risks from concomitant drug use [122,123,124,125]. FAERS search did not provide any data. Given the mechanistic plausibility and multiple case reports but absence of robust controlled studies or pharmacovigilance reports, the overall level of evidence represents CEBM Level 4–5 evidence and a Grade D recommendation. However, given the underlying mechanisms healthcare professionals should be vigilant and advise patients with cardiac disease or those on antiarrhythmic or QT-prolonging drugs to avoid kratom, as it may amplify arrhythmic risk.

2.2.6. Yohimbine

Yohimbine (Pausinystalia yohimbe) is, an α2-adrenergic antagonist, enhances sympathetic outflow and norepinephrine release, which has led to its promotion for erectile dysfunction, athletic performance, weight loss, and mood enhancement [157,158]. Excessive intake, however, can precipitate sinus tachycardia, supraventricular arrhythmias, atrial flutter, and—in susceptible individuals—tachycardia-mediated cardiomyopathy. Case reports, some of those fatal, describe arrhythmias that are resolved after discontinuing yohimbine [126,127,128]. The link between yohimbine use and these cardiovascular effects is mechanistically plausible but documented primarily in isolated clinical reports, corresponding to a very low certainty of evidence of CEBM Level 4–5 and a Grade D recommendation [159]. However, given the underlying pharmacological action and intended use, clinicians should warn patients taking cardiovascular medications—particularly those with structural heart disease—that yohimbine’s stimulatory effects may provoke dangerous rhythm disturbances.

2.2.7. Berberine

Berberine itself affects cardiac electrophysiology and can precipitate arrhythmias, especially when combined with other cardiotoxic drugs. It has negative chronotropic and anti-arrhythmic actions, mediated by blockade of cardiac K+ channels including hERG channel and M2 receptor activation [160]. In vitro studies have shown that berberine directly degrades/inhibits hERG, prolonging QT. A recent case report described an event of symptomatic sinus bradycardia with junctional rhythm from berberine that resolved after drug withdrawal highlighting its bradyarrhythmic potential [129]. An additional case study described the case of a 56-year-old woman with acquired long QT syndrome, TdP, and syncope following the excessive use (up to 6 times recommended dose) of herbal supplements of hemp oil (cannabinoid derivatives) along with berberine [129]. These data reveal the proarrhythmic effect of berberine suggesting caution in use. Importantly, DHIs can greatly amplify these risks. Co-incubation in HEK293 cells stably expressing hERG gene and HepG2 cells with macrolide antibiotics (azithromycin, clarithromycin) produced additive hERG block and CYP3A4 inhibition: the berberine + macrolide combination suppressed hERG currents far more than either agent alone [161]. Similarly, berberine combined with simvastatin or atorvastatin caused enhanced hERG current inhibition and CYP3A4 blockade compared to each drug alone [162]. In practice, this means berberine use with any QT-prolonging or hERG-blocking drug (e.g., certain antiarrhythmics, antihistamines, macrolides, azoles)—or with drugs highly dependent on CYP3A4 metabolism—may trigger TdP or other arrhythmias. While mechanistic and case evidence are compelling, epidemiological confirmation is lacking, with no relevant reports in FAERS, placing berberine at CEBM Level 4 evidence with a Grade C recommendation. Given berberine’s promotion as a plant-derived adjunct for managing dysglycemia, dyslipidemia, and weight control, and till sufficient safety data emerge, healthcare professionals should remain vigilant for potential arrhythmias or other related ADR.

2.2.8. Ginseng (Panax ginseng)

Ginseng has been identified as a potential cause of Long QT Syndrome (LQTS), particularly when consumed in large quantities. Ginsenosides, the active compounds in ginseng, are suspected to be responsible for these cardiac effects, possibly through interactions with hERG channels, as in vivo studies have shown [163]. This is further supported by a case report of a woman who developed severe LQTS and torsade de pointes after consuming large amounts of ginseng daily for several months [130]. To date, evidence linking ginseng to arrhythmias remains tentative, and direct causality has not been firmly established, as ginseng may also exert cardioprotective effects. Moreover, FAERS data do not provide any reports of potential arrhythmia. Despite the mechanistic insights, the limited cases reflect a CEBM Level 4–5 of evidence and a grade E recommendation. However, patients with underlying cardiovascular or renal conditions, or those taking medications that predispose arrhythmia, should exercise caution when using ginseng.

2.2.9. Caffeine in Herbal Remedies

Herbal remedies used as stimulants (e.g., Guarana, black tea, green coffee, yerba mate) owe their action to their caffeine content. Pharmacologically, caffeine blocks the effects of adenosine and stimulates the central nervous system and the heart, leading to increased heart rate and potentially a stronger heartbeat [164]. This effect can be beneficial for alertness and physical performance but may also cause palpitations or other heart rhythm issues in some individuals. The risk is further increased when caffeine-containing preparations are combined with medications that prolong the QT interval, enhance sympathetic tone, or affect cardiac conduction, such as certain antibiotics, antidepressants, and antiarrhythmics. In these cases, overlapping mechanisms—particularly enhanced catecholamine release and altered calcium handling—can predispose supraventricular tachycardia, atrial fibrillation, or even ventricular arrhythmias. From 1999 to 2025 there are 37 cases of arrhythmia (0.77% of 4819 reports from 1999 to 2025) in FAERS database for caffeine (not counting combinations with other medicines, i.e., acetaminophen). Although moderate consumption is regarded as safe, case reports and pharmacovigilance signals document episodes of clinically significant arrhythmias, including atrial fibrillation and ventricular tachycardia, following excessive intake of stimulant herbal products or coffee, especially in young adults consuming high doses of caffeine energy drinks [131,165,166]. Caffeine has a CEBM level 4 evidence and a Grade C recommendation as to arrhythmias.

2.2.10. Aloe and Senna Products

Laxative herbal remedies such as aloe vera and senna exert their action primarily through anthraquinone glycosides, which stimulate colonic motility and fluid secretion [167]. Chronic or excessive use can cause significant loss of K+, leading to hypokalemia [168]. Low serum K+ disrupts cardiac repolarization and increases susceptibility to arrhythmias, particularly when combined with QT-prolonging or digoxin-like drugs. This risk is clinically relevant because hypokalemia potentiates digoxin toxicity and enhances the proarrhythmic effects of antiarrhythmics, diuretics, and certain psychotropics. Case reports and clinical observations have documented severe electrolyte disturbances and arrhythmic events in patients with prolonged senna or aloe use, especially in co-administration with digoxin [132]. FAERS database search returns 6 reports of arrhythmia for senna (0.66% of 927 reports in total from 1969 to 2025) but no data for aloe except for one case of heart failure. The available evidence, based on consistent pathophysiology and case reports, corresponds to CEBM Level 4 evidence and a Grade C recommendation.

2.2.11. Herbs with Cardiac Glycosides or Cardiotonic Compounds

Herbs containing cardiac glycosides or related cardiotonic agents may precipitate serious toxicities, particularly arrhythmias. Among the best-known examples is oleander (Nerium oleander), an ornamental plant valued for its evergreen foliage and colorful flowers. Oleander is rich in glycosides such as oleandrin, which inhibit Na+/K+-ATPase, raising intracellular calcium concentrations and predisposing to arrhythmogenic events. Both accidental and intentional ingestion of oleander continue to account for notable morbidity and mortality worldwide [133,169,170,171]. Another example is Lily of the valley (Convallaria majalis), which contains convallatoxin, convallarin, and convallamarin. These compounds act in a digitalis-like manner via Na+/K+-ATPase inhibition, producing toxic cardiac effects. Most published cases of poisoning arise from accidental ingestion [134]. Night-blooming cereus has historically been used as a “heart tonic” for chest pain and cardiovascular support. Its alkaloids and possible other vasoactive constituents may influence cardiac function, although published evidence is limited. Nonetheless, the possibility of pharmacodynamic drug–herb interactions (PD-DHIs) with glycosides, ACE inhibitors, beta-blockers, calcium-channel blockers, or antiarrhythmics is clinically relevant, and concurrent use should be avoided [106]. Evodia rutaecarpa demonstrates complex cardiovascular actions, attributed to evodiamine and related compounds. These include positive inotropic and chronotropic effects, vasodilation, and antiplatelet properties. However, certain constituents, such as dehydroevodiamine and hortiamine, inhibit hERG potassium channels, prolonging cardiac action potential duration and conferring proarrhythmic potential. Although clinical case reports remain scarce, experimental studies indicate cardiotoxicity [135,172]. Overall, herbs with cardiotonic or glycoside-like activity should be used with extreme caution, particularly in patients receiving cardiovascular drugs, as co-administration may significantly increase the risk of life-threatening cardiac events. Collectively, these reports provide mechanistic plausibility and repeated case documentation, aligning with a CEBM Level 3 evidence and a Grade C recommendation.

3. AI-Driven Approaches Drug–Herb Interactions Epidemiology

Artificial intelligence (AI) and machine learning (ML) can assist in advancing our understanding of DHIs, particularly in high-risk outcomes such as serotonin syndrome and drug-induced arrhythmias. Traditional pharmacovigilance approaches rely heavily on spontaneous reports and retrospective reviews, often detecting problems only after they become clinically significant. In contrast, AI-driven approaches can augment pharmacovigilance analysis by integrating mechanistic, clinical, and epidemiological data to proactively identify and quantify potential risks even before widespread harm occurs (Figure 3 and Table 3) [173,174,175,176,177].
Figure 3. Integrative artificial intelligence (AI) framework for predicting serotonin syndrome and cardiac arrhythmia risks from herbal supplements. General and patient-specific data can be integrated to generate alerts for potential ADRs.
Table 3. AI and XAI outputs for Predicting and Managing DHIs Risks in serotonin syndrome and arrhythmias. The table presents examples of herbal remedies, their active constituents, the primary mechanisms associated with increased risk (indicated by →), relevant AI data sources used for risk prediction, and the potential clinical outputs generated through AI and explainable AI (XAI) systems.
By combining chemical structures, pharmacokinetics, molecular pathways, pharmacogenomics, and adverse event reports, ML models can link herbal constituents to drug targets such as CYP2D6, CYP3A4, serotonin transporters, or cardiac ion channels. This allows prioritization of drug–herb combinations with a high potential for serotonin toxicity or arrhythmogenic effects. From a mechanistic perspective, AI models can integrate cheminformatics data such as SMILES, a machine-readable representation of molecular structure to network pharmacology knowledge graphs (i.e., networks linking herbs, compounds, and targets) and make predictions that can be cross validated against real-world clinical outcomes thereby uncovering “hidden” risks—such as synergistic serotonergic effects or arrhythmia—that may be missed in traditional analyses [178,179,180,181,182,183]. These approaches, though not yet applied to herbal products, indicate how analogous frameworks could eventually be adapted to assess pharmacodynamic DHIs, provided challenges such as variable herbal composition, heterogeneous reporting, and limited clinical data are addressed.
On the epidemiological front, AI can mine electronic health records (EHRs), pharmacovigilance systems (FAERS, EudraVigilance), and even patient-generated data from social media to detect early safety signals [184,185,186,187,188]. Natural language processing (NLP) enables rapid extraction of case reports or clinical notes, while patient-level features such as age, comorbidities, and polypharmacy allow personalized risk stratification [189]. For example, ML models could estimate that elderly patients on SSRIs and black cohosh carry a two- to threefold increased risk of serotonin syndrome compared to the general population. Importantly, such tools can be embedded at the point of dispensing to support healthcare providers, including community pharmacists. If a patient requests SJW while taking an SSRI, the system could flag the interaction and provide interpretable context from case reports, FAERS, and CYP data to guide counseling. Similarly, AI could highlight TdP risk in patients combining licorice with QT-prolonging drugs or forecast emerging threats such as kratom and berberine by integrating social media, pharmacovigilance, and pharmacology data. These systems can be further incorporated into tools that empower patients towards improved interventions and healthcare provision in community level [190,191].
A particularly valuable feature of AI-enhanced pharmacoepidemiology could be predictive “what-if” simulations [192,193,194]. By integrating real-time supplement market trends and online discussion monitoring, models can forecast the interaction landscape of newly popular herbal products—such as kratom, adaptogens, berberine, etc.—before sufficient ADE reports accumulate. This capacity is especially critical for outcomes like serotonin syndrome or TdP, where early warnings may prevent harm.
Explainable AI (XAI) may soon become a necessary component of pharmacoepidemiology. XAI further enhances clinical utility by showing why an algorithm predicts elevated risk—for example, highlighting serotonin reuptake inhibition in SJW and SSRI, or sodium channel activation in aconite with antiarrhythmics [195,196]. XAI can provide transparency on why an algorithm predicts that a given drug–herb combination may be of risk for a specific patient or group of patients. Such interpretability enables pharmacists and clinicians not only to be alerted to risks but also to integrate predictions with their own expertise, fostering trust and informed decision-making.
However, challenges remain, including variable herbal product composition, under-reporting of supplement use, heterogeneous documentation, and the computational demands of real-time data integration [7,173]. In addition, healthcare providers, especially those within communities, need training to interpret model explanations, assess their validity, and integrate them into patient counseling [197,198]. Moreover, substantial computational power is still required to process and integrate multi-source, high-dimensional clinical, molecular, and real-world data in real time to model potential risk scenarios. Addressing these barriers will require standardized data frameworks, interdisciplinary collaboration, and continuous feedback between developers, epidemiologists, and clinicians. Nonetheless, AI—particularly when augmented by XAI—offers a scalable strategy to strengthen pharmacovigilance. For serotonin syndrome and arrhythmias, integrating transparent, interpretable models into healthcare workflows could significantly enhance early detection, risk stratification, and patient safety in integrative medicine.

4. Conclusions

Herbal products and DHIs associated with serotonin syndrome and cardiac arrhythmias, although relatively uncommon, pose significant clinical concerns. Some interactions are supported by sufficient evidence, such as serotonin syndrome from St. John’s wort combined with SSRIs or arrhythmias linked to ephedra with sympathomimetic drugs. Other interactions—such as black cohosh, ginseng, Syrian rue, turmeric, rhodiola, ashwagandha, or L-tryptophan/5-HTP with serotonergic drugs, and licorice, aloe, or senna with cardiac medications—have limited clinical evidence or have not been consistently observed in large-scale real-world studies. A key limitation in DHIs research is the variability of self-administered products, including inconsistent dosing and differing formulations, which can affect the clinical relevance of observed data. Clinicians and community healthcare providers, such as pharmacists, should routinely assess patients’ use of herbal and dietary supplements, particularly when prescribing serotonergic or QT-prolonging drugs and when dispensing these medications, respectively. Monitoring for serotonin toxicity is recommended when patients use serotonergic drugs in combination with herbs that may trigger serotonin syndrome, while check electrolytes and perform ECGs are advised when cardiac medications are combined with hypokalemia-inducing or stimulant herbs. Considering the often self-care practices, patient education on potential interactions and prompt adverse event reporting is essential. Regarding AI-based tools such as XAI or generative AI models, they may support DHI risk prediction, but should complement clinical judgment rather than replace it. Pharmacoepidemiological efforts should focus on strengthening data collection across electronic health records, pharmacovigilance databases, and supplement registries, with standardized reporting of herbal product type, dosage, and co-medications. Large-scale studies are needed to determine whether the absence of reported adverse events reflects true safety or underreporting. Regulatory strategies for harmonized labeling, integration of DHIs into clinical guidelines as well as in electronic prescribing systems, and oversight of product quality remain critical. Combining vigilant clinical practice, enhanced real-world evidence, and robust regulation will support the safe integration of herbal and conventional therapies and improve understanding of PD-DHIs.

Author Contributions

Conceptualization M.S. and E.K.S., methodology, M.S., investigation E.B., S.-N.P. and A.F.; writing—original draft presentation E.B., S.-N.P. and A.F.; writing—review and editing, M.S., visualization, M.S.; supervision, M.S. and E.K.S. All authors have read and agreed to the published version of the manuscript.

Funding

This research is part of the Educational Program “Advanced Education in Pharmaceutical Sciences and Community Pharmacy” implemented by the Center for Training and Lifelong Learning (CTLL) of the University of Crete in collaboration of the School of Medicine of the UoC with the Community Pharmacists Association of Heraklion and supported by the Special Research Account of the UoC (KA 11903).

Institutional Review Board Statement

Not applicable.

Data Availability Statement

No new data was created.

Acknowledgments

The authors would like to acknowledge the members of the Center for Training and Lifelong Learning (CTLL) at the University of Crete, and specifically CTLL’s director, Aikaterini Tsalimi, in addition to the administrative staff members Konstantina Pirgiotaki and Maria Partali, for their relentless efforts in the administration and implementation of the program.

Conflicts of Interest

The authors declare no conflicts of interest.

Abbreviations

The following abbreviations are used in this manuscript
ADRAdverse drug reaction
AIArtificial Intelligence
CNSCentral Nervous System
CYPCytochrome P450
DBDatabase
DHIsDrug–herb interactions
EHRElectronic Health Record
EGb761Standardized Ginkgo biloba Extract
FAERSFDA Adverse Event Reporting System
LQTSLong QT Syndrome
MAOIMonoamine Oxidase Inhibitor
MLMachine Learning
NLPNatural Language Processing
PDPharmacodynamic
PKPharmacokinetic
QT Interval on Electrocardiogram (related to repolarization
SNRISerotonin–Norepinephrine Reuptake Inhibitor
SSRISelective Serotonin Reuptake Inhibitor
TdPTorsades de Pointes
TCMTraditional Chinese Medicine
VTVentricular Tachycardia
XAI Explainable Artificial Intelligence

References

  1. Ekor, M. The Growing Use of Herbal Medicines: Issues Relating to Adverse Reactions and Challenges in Monitoring Safety. Front. Pharmacol. 2014, 4, 177. [Google Scholar] [CrossRef] [PubMed]
  2. Izzo, A.A.; Hoon-Kim, S.; Radhakrishnan, R.; Williamson, E.M. A Critical Approach to Evaluating Clinical Efficacy, Adverse Events and Drug Interactions of Herbal Remedies. Phytother. Res. 2016, 30, 691–700. [Google Scholar] [CrossRef]
  3. Izzo, A.A. Interactions between Herbs and Conventional Drugs: Overview of the Clinical Data. Med. Princ. Pr. 2012, 21, 404–428. [Google Scholar] [CrossRef]
  4. Brantley, S.J.; Argikar, A.A.; Lin, Y.S.; Nagar, S.; Paine, M.F. Herb-Drug Interactions: Challenges and Opportunities for Improved Predictions. Drug Metab. Dispos. 2014, 42, 301–317. [Google Scholar] [CrossRef]
  5. Choi, J.G.; Eom, S.M.; Kim, J.; Kim, S.H.; Huh, E.; Kim, H.; Lee, Y.; Lee, H.; Oh, M.S. A Comprehensive Review of Recent Studies on Herb-Drug Interaction: A Focus on Pharmacodynamic Interaction. J. Altern. Complement. Med. 2016, 22, 262–279. [Google Scholar] [CrossRef]
  6. Williamson, E.M.; Driver, S.; Baxter, K. Stockley’s Herbal Medicines Interactions: A Guide to the Interactions of Herbal Medicines, Dietary Supplements, and Nutraceuticals with Conventional Medicines; Pharmaceutical Press: London, UK, 2009; 423p. [Google Scholar]
  7. Choi, Y.H.; Chin, Y.W. Multifaceted Factors Causing Conflicting Outcomes in Herb-Drug Interactions. Pharmaceutics 2020, 13, 43. [Google Scholar] [CrossRef]
  8. Vizirianakis, I.S.; Spanakis, M.; Termentzi, A.; Niopas, I.; Kokkalou, E. Clinical and Pharmacogenomic Assessment of Herb-Drug Interactions to Improve Drug Delivery and Pharmacovigilance. In Plants in Traditional and Modern Medicine: Chemistry and Activity; Kokkalou, E., Ed.; Transworld Research Network: Kerala, India, 2010; ISBN 978-81-7895-432-5. [Google Scholar]
  9. Kirby, B.J.; Unadkat, J.D. Grapefruit Juice, a Glass Full of Drug Interactions? Clin. Pharmacol. Ther. 2007, 81, 631–633. [Google Scholar] [CrossRef] [PubMed]
  10. Di Carlo, G.; Borrelli, F.; Ernst, E.; Izzo, A.A. St John’s Wort: Prozac from the Plant Kingdom. Trends Pharmacol. Sci. 2001, 22, 292–297. [Google Scholar] [CrossRef]
  11. Soleymani, S.; Bahramsoltani, R.; Rahimi, R.; Abdollahi, M. Clinical Risks of St John’s Wort (Hypericum perforatum) Co-Administration. Expert. Opin. Drug Metab. Toxicol. 2017, 13, 1047–1062. [Google Scholar] [CrossRef] [PubMed]
  12. Chrubasik-Hausmann, S.; Vlachojannis, J.; McLachlan, A.J. Understanding Drug Interactions with St John’s Wort (Hypericum perforatum L.): Impact of Hyperforin Content. J. Pharm. Pharmacol. 2019, 71, 129–138. [Google Scholar] [CrossRef]
  13. Kennedy, J.; Wang, C.C.; Wu, C.H. Patient Disclosure about Herb and Supplement Use among Adults in the US. Evid. Based Complement. Altern. Med. 2007, 5, 451. [Google Scholar] [CrossRef]
  14. Dores, A.R.; Peixoto, M.; Castro, M.; Sá, C.; Carvalho, I.P.; Martins, A.; Maia, E.; Praça, I.; Marques, A. Knowledge and Beliefs about Herb/Supplement Consumption and Herb/Supplement–Drug Interactions among the General Population, Including Healthcare Professionals and Pharmacists: A Systematic Review and Guidelines for a Smart Decision System. Nutrients 2023, 15, 2298. [Google Scholar] [CrossRef]
  15. Spanakis, M.; Melissourgaki, M.; Lazopoulos, G.; Patelarou, A.E.; Patelarou, E. Prevalence and Clinical Significance of Drug–Drug and Drug–Dietary Supplement Interactions among Patients Admitted for Cardiothoracic Surgery in Greece. Pharmaceutics 2021, 13, 239. [Google Scholar] [CrossRef]
  16. Song, H.; Pei, X.; Liu, Z.; Shen, C.; Sun, J.; Liu, Y.; Zhou, L.; Sun, F.; Xiao, X. Pharmacovigilance in China: Evolution and Future Challenges. Br. J. Clin. Pharmacol. 2023, 89, 510–522. [Google Scholar] [CrossRef]
  17. Gilbert, N. Regulations: Herbal Medicine Rule Book. Nature 2011, 480, S98–S99. [Google Scholar] [CrossRef] [PubMed]
  18. Khoobchandani, M. Unveiling the Complexity of Herbal Medicine: Safety, Toxicity, and Regulatory Challenges. In Medicinal Applications of Phytopharmaceuticals; Springer: Cham, Switzerland, 2024; pp. 269–282. [Google Scholar] [CrossRef]
  19. Hassen, G.; Belete, G.; Carrera, K.G.; Iriowen, R.O.; Araya, H.; Alemu, T.; Solomon, N.; Bam, D.S.; Nicola, S.M.; Araya, M.E.; et al. Clinical Implications of Herbal Supplements in Conventional Medical Practice: A US Perspective. Cureus 2022, 14, e26893. [Google Scholar] [CrossRef] [PubMed]
  20. Teng, L.; Zu, Q.; Li, G.; Yu, T.; Job, K.M.; Yang, X.; Di, L.; Sherwin, C.M.; Enioutina, E.Y. Herbal Medicines: Challenges in the Modern World. Part 3. China and Japan. Expert. Rev. Clin. Pharmacol. 2016, 9, 1225–1233. [Google Scholar] [CrossRef]
  21. Qu, L.; Zou, W.; Wang, Y.T.; Wang, M. European Regulation Model for Herbal Medicine: The Assessment of the EU Monograph and the Safety and Efficacy Evaluation in Marketing Authorization or Registration in Member States. Phytomedicine 2018, 42, 219–225. [Google Scholar] [CrossRef] [PubMed]
  22. Calixto, J.B. Efficacy, Safety, Quality Control, Marketing and Regulatory Guidelines for Herbal Medicines (Phytotherapeutic Agents). Braz. J. Med. Biol. Res. 2000, 33, 179–189. [Google Scholar] [CrossRef]
  23. Pharmacovigilance of Herbal Medicines: Current State and Future Directions. Drug-Saf. 2006, 29, 341–370. [CrossRef]
  24. Barnes, J. Pharmacovigilance of Herbal Medicines: A UK Perspective. Drug-Saf. 2003, 26, 829–851. [Google Scholar] [CrossRef] [PubMed]
  25. Nirmal, S.A.; Pal, S.C.; Mandal, S.C.; Mandal, S.C. Pharmacovigilance of Herbal Medicines. Pharma. Times 2014, 46, 19–22. [Google Scholar]
  26. Shaw, D.; Graeme, L.; Pierre, D.; Elizabeth, W.; Kelvin, C. Pharmacovigilance of Herbal Medicine. J. Ethnopharmacol. 2012, 140, 513–518. [Google Scholar] [CrossRef]
  27. Ernst, E. Cardiovascular Adverse Effects of Herbal Medicines: A Systematic Review of the Recent Literature. Can. J. Cardiol. 2003, 19, 818–827. [Google Scholar]
  28. Sartori, D.; Aronson, J.K.; Brand, J.S.; Gauffin, O.; Hedfors Vidlin, S.; Norén, G.N.; Onakpoya, I.J. Signals of Adverse Reactions to Herbal Medicines: Evidence and Document Analysis Based on a Scoping Review. Drug-Saf. 2025, 1–14. [Google Scholar] [CrossRef] [PubMed]
  29. Lim, X.Y.; Ram, S.; Scahill, S.; Barnes, J. A Scoping Review of Published Literature on the Contributions of the Natural Health Products (NHPs) Industry to Pharmacovigilance for NHPs. Drug Saf. 2025, 1–28. [Google Scholar] [CrossRef]
  30. Shaikh Abdul Rahman, S.; Aziz, Z. Complementary and Alternative Medicine: Pharmacovigilance in Malaysia and Predictors of Serious Adverse Reactions. J. Clin. Pharm. Ther. 2020, 45, 946–958. [Google Scholar] [CrossRef] [PubMed]
  31. Choudhury, A.; Singh, P.A.; Bajwa, N.; Dash, S.; Bisht, P. Pharmacovigilance of Herbal Medicines: Concerns and Future Prospects. J. Ethnopharmacol. 2023, 309, 116383. [Google Scholar] [CrossRef]
  32. Mssusa, A.K.; Holst, L.; Maregesi, S.; Kagashe, G. Pharmacovigilance Systems for Safety Monitoring of Herbal Medicines: Assessment of the National Regulatory Authority, Manufacturers and Marketing Authorisation Holders in Tanzania. J. Pharm. Policy Pr. 2024, 18, 2438223. [Google Scholar] [CrossRef]
  33. Jacobsson, I.; Jönsson, A.K.; Gerdén, B.; Hägg, S. Spontaneously Reported Adverse Reactions in Association with Complementary and Alternative Medicine Substances in Sweden. Pharmacoepidemiol. Drug Saf. 2009, 18, 1039–1047. [Google Scholar] [CrossRef]
  34. Patel, D.N.; Low, W.L.; Tan, L.L.; Tan, M.M.B.; Zhang, Q.; Low, M.Y.; Chan, C.L.; Koh, H.L. Adverse Events Associated with the Use of Complementary Medicine and Health Supplements: An Analysis of Reports in the Singapore Pharmacovigilance Database from 1998 to 2009. Clin. Toxicol. 2012, 50, 481–489. [Google Scholar] [CrossRef]
  35. van Hunsel, F.P.A.M.; van der Kooi, D.; van de Koppel, S.; Kroes, B.H.; Woerdenbag, H.J. Analysis of Reports on Adverse Drug Reactions Related to Herbal Medicinal Products and Herbal Supplements in the Netherlands Received by the National Pharmacovigilance Centre Lareb. Drug Saf. 2022, 45, 651–661. [Google Scholar] [CrossRef]
  36. Kongkaew, C.; Anh Phan, D.T.; Janusorn, P.; Mongkhon, P. Estimating Adverse Events Associated With Herbal Medicines Using Pharmacovigilance Databases: Systematic Review and Meta-Analysis. JMIR Public. Health Surveill. 2024, 10, e63808. [Google Scholar] [CrossRef]
  37. Oxford Centre for Evidence-Based Medicine: Levels of Evidence (March 2009)—Centre for Evidence-Based Medicine (CEBM), University of Oxford. Available online: https://www.cebm.ox.ac.uk/resources/levels-of-evidence/oxford-centre-for-evidence-based-medicine-levels-of-evidence-march-2009 (accessed on 20 September 2025).
  38. Francescangeli, J.; Karamchandani, K.; Powell, M.; Bonavia, A. The Serotonin Syndrome: From Molecular Mechanisms to Clinical Practice. Int. J. Mol. Sci. 2019, 20, 2288. [Google Scholar] [CrossRef]
  39. Poian, L.R.; Chiavegatto, S. Serotonin Syndrome: The Role of Pharmacology in Understanding Its Occurrence. Cureus 2023, 15, e38897. [Google Scholar] [CrossRef] [PubMed]
  40. Oates, J.A.; Sjoerdsma, A. Neurologic Effects of Tryptophan in Patients Receiving a Monoamine Oxidase Inhibitor. Neurology 1960, 10, 1076–1078. [Google Scholar] [CrossRef]
  41. Gerson, S.C.; Baldessarini, R.J. Motor Effects of Serotonin in the Central Nervous System. Life Sci. 1980, 27, 1435–1451. [Google Scholar] [CrossRef] [PubMed]
  42. Maitland, S.; Baker, M. Serotonin Syndrome. Drug Ther. Bull. 2022, 60, 88–91. [Google Scholar] [CrossRef] [PubMed]
  43. Volpi-Abadie, J.; Kaye, A.M.; Kaye, A.D. Serotonin Syndrome. Ochsner J. 2013, 13, 533. [Google Scholar] [CrossRef]
  44. Badar, A. Serotonin Syndrome: An Often-Neglected Medical Emergency. J. Fam. Community Med. 2024, 31, 1–8. [Google Scholar] [CrossRef]
  45. Elli, C.; Novella, A.; Pasina, L. Serotonin Syndrome: A Pharmacovigilance Comparative Study of Drugs Affecting Serotonin Levels. Eur. J. Clin. Pharmacol. 2024, 80, 231–237. [Google Scholar] [CrossRef]
  46. Sun-Edelstein, C.; Tepper, S.J.; Shapiro, R.E. Drug-Induced Serotonin Syndrome: A Review. Expert. Opin. Drug Saf. 2008, 7, 587–596. [Google Scholar] [CrossRef] [PubMed]
  47. Quinn, D.K.; Stern, T.A. Linezolid and Serotonin Syndrome. Prim. Care Companion J. Clin. Psychiatry 2009, 11, 353. [Google Scholar] [CrossRef] [PubMed]
  48. Bartlett, D. Drug-Induced Serotonin Syndrome. Crit. Care Nurse 2017, 37, 49–54. [Google Scholar] [CrossRef]
  49. Drug-Induced Serotonin Syndrome. Available online: https://www.uspharmacist.com/article/drug-induced-serotonin-syndrome (accessed on 12 August 2025).
  50. Foong, A.L.; Grindrod, K.A.; Patel, T.; Kellar, J. Demystifying Serotonin Syndrome (or Serotonin Toxicity). Can. Fam. Physician 2018, 64, 720. [Google Scholar]
  51. Di Salvo, G.; Porceddu, G.; Perotti, C.; Maina, G.; Rosso, G. Prevalence and Correlates of Serotonin Syndrome in Real-World Inpatients. J. Clin. Psychopharmacol. 2024, 44, 25–29. [Google Scholar] [CrossRef]
  52. Rai, S.; Yusof, A.; Rais, A.; Burton, R.; Rauf, A.; Ramesh, Y.; Stock Barnet, L.; Mental, H.N.; Trust, H. An Audit on Prescribing Practice and Risk of Serotonin Syndrome among Patients with Chronic Pain. BJPsych Open 2021, 7, S152. [Google Scholar] [CrossRef]
  53. Prakash, S.; Rathore, C.; Rana, K.; Prakash, A. Fatal Serotonin Syndrome: A Systematic Review of 56 Cases in the Literature. Clin. Toxicol. 2021, 59, 89–100. [Google Scholar] [CrossRef]
  54. Orlova, Y.; Rizzoli, P.; Loder, E. Association of Coprescription of Triptan Antimigraine Drugs and Selective Serotonin Reuptake Inhibitor or Selective Norepinephrine Reuptake Inhibitor Antidepressants with Serotonin Syndrome. JAMA Neurol. 2018, 75, 566–572. [Google Scholar] [CrossRef]
  55. Warner, M.E.; Naranjo, J.; Pollard, E.M.; Weingarten, T.N.; Warner, M.A.; Sprung, J. Serotonergic Medications, Herbal Supplements, and Perioperative Serotonin Syndrome. Can. J. Anesth. 2017, 64, 940–946. [Google Scholar] [CrossRef]
  56. Prakash, S.; Rathore, C.; Rana, K.; Patel, H. Antiepileptic Drugs and Serotonin Syndrome- A Systematic Review of Case Series and Case Reports. Seizure 2021, 91, 117–131. [Google Scholar] [CrossRef]
  57. Borrelli, F.; Izzo, A.A. Herb-Drug Interactions with St John’s Wort (Hypericum perforatum): An Update on Clinical Observations. AAPS J. 2009, 11, 710–727. [Google Scholar] [CrossRef]
  58. Dannawi, M. Possible Serotonin Syndrome after Combination of Buspirone and St John’s Wort. J. Psychopharmacol. 2002, 16, 401. [Google Scholar] [CrossRef] [PubMed]
  59. Spinella, M.; Eaton, L.A. Hypomania Induced by Herbal and Pharmaceutical Psychotropic Medicines Following Mild Traumatic Brain Injury. Brain Inj. 2002, 16, 359–367. [Google Scholar] [CrossRef] [PubMed]
  60. Bonetto, N.; Santelli, L.; Battistin, L.; Cagnin, A. Serotonin Syndrome and Rhabdomyolysis Induced by Concomitant Use of Triptans, Fluoxetine and Hypericum. Cephalalgia 2007, 27, 1421–1423. [Google Scholar] [CrossRef]
  61. Joshi, K.G.; Faubion, M.D. Mania and Psychosis Associated with St. John’s Wort and Ginseng. Psychiatry 2005, 2, 56. [Google Scholar] [PubMed]
  62. Hedaoo, K.; Badge, A.K.; Tiwade, Y.R.; Bankar, N.J.; Mishra, V.H. Exploring the Efficacy and Safety of Black Cohosh (Cimicifuga Racemosa) in Menopausal Symptom Management. J. Midlife Health 2024, 15, 5–11. [Google Scholar] [CrossRef]
  63. Dernbach, M.R.; Carpenter, J.E.; Shah, N.; Carter, G.B. Black Cohosh Interactions with Prescription Medications Associated with Serotonin Toxicity and Rhabdomyolysis: A Case Report. J. Emerg. Med. 2024, 66, e592–e596. [Google Scholar] [CrossRef]
  64. Naoi, M.; Maruyama, W.; Nagai, M.S. Ginseng and Ginsenosides in Depression. In NeuroPsychopharmacotherapy; Springer: Cham, Switzerland, 2020; pp. 1–17. [Google Scholar] [CrossRef]
  65. Bakim, B.; Sertcelik, S.; Tankaya, O. A Case of Serotonin Syndrome with Antidepressant Treatment and Concomitant Use of Herbal Remedy Peganum harmala. Klin. Psikofarmakol. Bul. 2012, 22, 359–361. [Google Scholar] [CrossRef]
  66. Herraiz, T.; González, D.; Ancín-Azpilicueta, C.; Arán, V.J.; Guillén, H. β-Carboline Alkaloids in Peganum harmala and Inhibition of Human Monoamine Oxidase (MAO). Food Chem. Toxicol. 2010, 48, 839–845. [Google Scholar] [CrossRef]
  67. Maniscalco, I.; Toffol, E.; Giupponi, G.; Conca, A. The Interaction of Rhodiola Rosea and Antidepressants. A Case Report. Neuropsychiatrie 2015, 29, 36–38. [Google Scholar] [CrossRef] [PubMed]
  68. Kreijkamp-Kaspers, S.; McGuire, T.; Bedford, S.; Loadsman, P.; Pirotta, M.; Moses, G.; van Driel, M. Your Questions about Complementary Medicines Answered: Gingko Biloba. Aust. Fam. Physician 2015, 44, 373–374. [Google Scholar] [PubMed]
  69. Gregory, P.J. Seizure Associated with Ginkgo Biloba? Ann. Intern. Med. 2001, 134, 344. [Google Scholar] [CrossRef]
  70. Kupiec, T.; Raj, V. Fatal Seizures Due to Potential Herb-Drug Interactions with Ginkgo Biloba. J. Anal. Toxicol. 2005, 29, 755–758. [Google Scholar] [CrossRef]
  71. Hanly-Jorda, F.M.; Bilik, S.M.; Patel, N.; Bilik, A.J. Serotonin Syndrome Induced by the Pharmacological Interaction of Withania somnifera and Escitalopram: A Case Report (P12-2.009). Neurology 2025, 104, 2600. [Google Scholar] [CrossRef]
  72. Steiner, W.; Fontaine, R. Toxic Reaction Following the Combined Administration of Fluoxetine and L-Tryptophan: Five Case Reports. Biol. Psychiatry 1986, 21, 1067–1071. [Google Scholar] [CrossRef]
  73. Ambarapu, S.; Tilwe, K.; Pandit, R.A.; Gaikwad, B.V.; Meshram, H.M.; Choudhary, J.; Chaudhari, R. Serotonin Syndrome Masquerading as Status Epilepticus Following Ingestion of Tranylcypromine and Clomipramine and L-Tryptophan: A Case Report. Ann. Indian Acad. Neurol. 2022, 25, 960. [Google Scholar] [CrossRef]
  74. Hammerness, P.; Basch, E.; Ulbricht, C.; Barrette, E.P.; Foppa, I.; Basch, S.; Bent, S.; Boon, H.; Ernst, E. St. John’s Wort: A Systematic Review of Adverse Effects and Drug Interactions for the Consultation Psychiatrist. Psychosomatics 2003, 44, 271–282. [Google Scholar] [CrossRef]
  75. Burdette, J.E.; Liu, J.; Chen, S.N.; Fabricant, D.S.; Piersen, C.E.; Barker, E.L.; Pezzuto, J.M.; Mesecar, A.; Van Breemen, R.B.; Farnsworth, N.R.; et al. Black Cohosh Acts as a Mixed Competitive Ligand and Partial Agonist of the Serotonin Receptor. J. Agric. Food Chem. 2003, 51, 5661–5670. [Google Scholar] [CrossRef]
  76. Moloudizargari, M.; Mikaili, P.; Aghajanshakeri, S.; Asghari, M.; Shayegh, J. Pharmacological and Therapeutic Effects of Peganum harmala and Its Main Alkaloids. Pharmacogn. Rev. 2013, 7, 199–212. [Google Scholar] [CrossRef] [PubMed]
  77. Mohammadzadeh, R.; Fathi, M.; Pourseif, M.M.; Omidi, Y.; Farhang, S.; Barzegar Jalali, M.; Valizadeh, H.; Nakhlband, A.; Adibkia, K. Curcumin and Nano-Curcumin Applications in Psychiatric Disorders. Phytother. Res. 2024, 38, 4240–4260. [Google Scholar] [CrossRef]
  78. Lopresti, A.L.; Maes, M.; Maker, G.L.; Hood, S.D.; Drummond, P.D. Curcumin for the Treatment of Major Depression: A Randomised, Double-Blind, Placebo Controlled Study. J. Affect. Disord. 2014, 167, 368–375. [Google Scholar] [CrossRef] [PubMed]
  79. Khanum, F.; Bawa, A.S.; Singh, B. Rhodiola Rosea: A Versatile Adaptogen. Compr. Rev. Food Sci. Food Saf. 2005, 4, 55–62. [Google Scholar] [CrossRef]
  80. Chiang, H.M.; Chen, H.C.; Wu, C.S.; Wu, P.Y.; Wen, K.C. Rhodiola Plants: Chemistry and Biological Activity. J. Food Drug Anal. 2015, 23, 359. [Google Scholar] [CrossRef]
  81. Thu, O.K.; Spigset, O.; Nilsen, O.G.; Hellum, B. Effect of Commercial Rhodiola Rosea on CYP Enzyme Activity in Humans. Eur. J. Clin. Pharmacol. 2016, 72, 295–300. [Google Scholar] [CrossRef]
  82. Spanakis, M.; Vizirianakis, I.S.; Batzias, G.; Niopas, I. Pharmacokinetic Interaction between Losartan and Rhodiola Rosea in Rabbits. Pharmacology 2013, 91, 112–116. [Google Scholar] [CrossRef] [PubMed]
  83. Ginkgo; National Institute of Diabetes and Digestive and Kidney Diseases: Bethesda, MD, USA, 2018.
  84. Mei, N.; Guo, X.; Ren, Z.; Kobayashi, D.; Wada, K.; Guo, L. Review of Ginkgo Biloba-Induced Toxicity, from Experimental Studies to Human Case Reports. J. Env. Sci. Health C Env. Carcinog. Ecotoxicol. Rev. 2017, 35, 1. [Google Scholar] [CrossRef] [PubMed]
  85. Paliwal, A.; Pandey, P.; Pant, K.; Singh, M.K.; Chaudhary, V.; Gour, J.K.; Nigam, A.K.; Sinha, V.B. Ginkgo Biloba. In Naturally Occurring Chemicals Against Alzheimer’s Disease; Academic Press: Cambridge, MA, USA, 2023; pp. 199–215. [Google Scholar] [CrossRef]
  86. Wiciński, M.; Fajkiel-Madajczyk, A.; Sławatycki, J.; Szambelan, M.; Szyperski, P.; Wojciechowski, P.; Wójcicki, J.; Gawryjołek, M. Ashwagandha (Withania somnifera) and Its Effects on Well-Being—A Review. Nutrients 2025, 17, 2143. [Google Scholar] [CrossRef]
  87. Speers, A.B.; Cabey, K.A.; Soumyanath, A.; Wright, K.M. Effects of Withania somnifera (Ashwagandha) on Stress and the Stress-Related Neuropsychiatric Disorders Anxiety, Depression, and Insomnia. Curr. Neuropharmacol. 2021, 19, 1468. [Google Scholar] [CrossRef]
  88. Majeed, M.; Nagabhushanam, K.; Murali, A.; Vishwanathan, D.T.; Mamidala, R.V.; Mundkur, L. A Standardized Withania somnifera (Linn.) Root Extract with Piperine Alleviates the Symptoms of Anxiety and Depression by Increasing Serotonin Levels: A Double-Blind, Randomized, Placebo-Controlled Study. J. Integr. Complement. Med. 2024, 30, 459–468. [Google Scholar] [CrossRef]
  89. Bashir, A.; Nabi, M.; Tabassum, N.; Afzal, S.; Ayoub, M. An Updated Review on Phytochemistry and Molecular Targets of Withania somnifera (L.) Dunal (Ashwagandha). Front. Pharmacol. 2023, 14, 1049334. [Google Scholar] [CrossRef]
  90. Gaurav, H.; Yadav, D.; Maurya, A.; Yadav, H.; Yadav, R.; Shukla, A.C.; Sharma, M.; Gupta, V.K.; Palazon, J. Biodiversity, Biochemical Profiling, and Pharmaco-Commercial Applications of Withania somnifera: A Review. Molecules 2023, 28, 1208. [Google Scholar] [CrossRef]
  91. Siwek, M.; Woroń, J.; Wrzosek, A.; Gupało, J.; Chrobak, A.A. Harder, Better, Faster, Stronger? Retrospective Chart Review of Adverse Events of Interactions between Adaptogens and Antidepressant Drugs. Front. Pharmacol. 2023, 14, 1271776. [Google Scholar] [CrossRef]
  92. Fernstrom, J.D. Effects and Side Effects Associated with the Non-Nutritional Use of Tryptophan by Humans. J. Nutr. 2012, 142, 2236S–2244S. [Google Scholar] [CrossRef]
  93. Maffei, M.E. 5-Hydroxytryptophan (5-HTP): Natural Occurrence, Analysis, Biosynthesis, Biotechnology, Physiology and Toxicology. Int. J. Mol. Sci. 2020, 22, 181. [Google Scholar] [CrossRef]
  94. Kulkarni, S.K.; Dhir, A. On the Mechanism of Antidepressant-like Action of Berberine Chloride. Eur. J. Pharmacol. 2008, 589, 163–172. [Google Scholar] [CrossRef]
  95. Kong, L.D.; Cheng, C.H.K.; Tan, R.X. Monoamine Oxidase Inhibitors from Rhizoma of Coptis Chinensis. Planta Med. 2001, 67, 74–76. [Google Scholar] [CrossRef] [PubMed]
  96. Guo, Y.; Chen, Y.; Tan, Z.R.; Klaassen, C.D.; Zhou, H.H. Repeated Administration of Berberine Inhibits Cytochromes P450 in Humans. Eur. J. Clin. Pharmacol. 2011, 68, 213. [Google Scholar] [CrossRef] [PubMed]
  97. Tisdale, J.E.; Chung, M.K.; Campbell, K.B.; Hammadah, M.; Joglar, J.A.; Leclerc, J.; Rajagopalan, B. Drug-Induced Arrhythmias: A Scientific Statement from the American Heart Association. Circulation 2020, 142, E214–E233. [Google Scholar] [CrossRef]
  98. Witchel, H.J. Drug-Induced HERG Block and Long QT Syndrome. Cardiovasc. Ther. 2011, 29, 251–259. [Google Scholar] [CrossRef]
  99. Ponte, M.L.; Keller, G.A.; Girolamo, G. Di Mechanisms of Drug Induced QT Interval Prolongation. Curr. Drug Saf. 2009, 5, 44–53. [Google Scholar] [CrossRef]
  100. Go, C.; Kim, S.; Kim, Y.; Sunwoo, Y.; Eom, S.H.; Yun, J.; Shin, S.; Choi, Y.J. A Real-World Data Driven Pharmacovigilance Investigation on Drug-Induced Arrhythmia Using KAERS DB, a Korean Nationwide Adverse Drug Reporting System. Pharmaceuticals 2023, 16, 1612. [Google Scholar] [CrossRef]
  101. Sultan, S.; Viqar, M.; Ali, R.; Tajik, A.J.; Jahangir, A. Essentials of Herb-Drug Interactions in the Elderly With Cardiovascular Disease. J. Patient Cent. Res. Rev. 2015, 2, 174–191. [Google Scholar] [CrossRef]
  102. Li, M.; Ramos, L.G. Drug-Induced QT Prolongation And Torsades de Pointes. Pharm. Ther. 2017, 42, 473. [Google Scholar]
  103. Vlachos, K.; Georgopoulos, S.; Efremidis, M.; Sideris, A.; Letsas, K.P. An Update on Risk Factors for Drug-Induced Arrhythmias. Expert. Rev. Clin. Pharmacol. 2016, 9, 117–127. [Google Scholar] [CrossRef]
  104. Guo, H.; Li, P.; Guo, D.; Gao, A.; Zhao, P.; Fu, A.; Li, C.; Lu, J. Analysis of Clinical Characteristics and Automatic Monitoring of Drug-Induced Arrhythmias in 167,546 Inpatients. Eur. J. Clin. Pharmacol. 2023, 79, 759–765. [Google Scholar] [CrossRef] [PubMed]
  105. Izzo, A.A.; Di Carlo, G.; Borrelli, F.; Ernst, E. Cardiovascular Pharmacotherapy and Herbal Medicines: The Risk of Drug Interaction. Int. J. Cardiol. 2005, 98, 1–14. [Google Scholar] [CrossRef]
  106. Beik, A.; Joukar, S.; Najafipour, H. A Review on Plants and Herbal Components with Antiarrhythmic Activities and Their Interaction with Current Cardiac Drugs. J. Tradit. Complement. Med. 2020, 10, 275–287. [Google Scholar] [CrossRef] [PubMed]
  107. Arai, R.; Murata, N.; Kinoshita, K.; Okumura, Y. Cardiotoxicity of Aconite Poisoning Evaluated by Multimodalities. Circ. Cardiovasc. Imaging 2022, 15, E014143. [Google Scholar] [CrossRef]
  108. Bonanno, G.; Ippolito, M.; Moscarelli, A.; Misseri, G.; Caradonna, R.; Accurso, G.; Cortegiani, A.; Giarratano, A. Accidental Poisoning with Aconitum: Case Report and Review of the Literature. Clin. Case Rep. 2020, 8, 696. [Google Scholar] [CrossRef] [PubMed]
  109. Wood, C.; Coulson, J.; Thompson, J.; Bonner, S. An Intentional Aconite Overdose: A Case Report. J. Crit. Care Med. 2020, 6, 124. [Google Scholar] [CrossRef]
  110. Jesrani, G.; Kaur, A.; Gupta, M.; Gupta, H. Acute Poisoning of Aconitum: A Case Report and Resuscitative Emergency Management with Amiodarone. Med. J. Dr. D.Y. Patil. Vidyapeeth 2022, 15, 791–794. [Google Scholar] [CrossRef]
  111. Tak, S.; Lakhotia, M.; Gupta, A.; Sagar, A.; Bohra, G.; Bajari, R. Aconite Poisoning with Arrhythmia and Shock. Indian Heart J. 2016, 68, S207–S209. [Google Scholar] [CrossRef] [PubMed]
  112. Bettini, L.; Parent, T.; Serratrice, J. Licorice Consumption Causing Severe Hypokalemia-Induced Paresis. Med. Case Rep. Study Protoc. 2022, 3, e0177. [Google Scholar] [CrossRef]
  113. Mehrtash, B.; Siahpoosh, M.B.; Hajikarimi, M. Licorice and Arrhythmia: A Case Report. Tradit. Integr. Med. 2017, 2, 78–82. [Google Scholar]
  114. Han, E.J.; Park, J.S. Lethal Arrhythmia Induced by Licorice. J. Korean Med. Sci. 2023, 38, e107. [Google Scholar] [CrossRef]
  115. De Klerk, G.J.; Nieuwenhuis, M.G.; Beutler, J.J. Lesson of the Week: Hypokalaemia and Hypertension Associated with Use of Liquorice Flavoured Chewing Gum. BMJ 1997, 314, 731. [Google Scholar] [CrossRef]
  116. Andraws, R.; Chawla, P.; Brown, D.L. Cardiovascular Effects of Ephedra Alkaloids: A Comprehensive Review. Prog. Cardiovasc. Dis. 2005, 47, 217–225. [Google Scholar] [CrossRef]
  117. Chen-Scarabelli, C.; Hughes, S.E.; Landon, G.; Rowley, P.; Allebban, Z.; Lawson, N.; Saravolatz, L.; Gardin, J.; Latchman, D.; Scarabelli, T.M. A Case of Fatal Ephedra Intake Associated with Lipofuscin Accumulation, Caspase Activation and Cleavage of Myofibrillary Proteins. Eur. J. Heart Fail. 2005, 7, 927–930. [Google Scholar] [CrossRef]
  118. Samenuk, D.; Link, M.S.; Homoud, M.K.; Contreras, R.; Theohardes, T.C.; Wang, P.J.; Estes, N.A.M. Adverse Cardiovascular Events Temporally Associated with Ma Huang, an Herbal Source of Ephedrine. Mayo Clin. Proc. 2002, 77, 12–16. [Google Scholar] [CrossRef]
  119. Stohs, S.J.; Preuss, H.G.; Shara, M. The Safety of Citrus Aurantium (Bitter Orange) and Its Primary Protoalkaloid p-Synephrine. Phytother. Res. 2011, 25, 1421–1428. [Google Scholar] [CrossRef]
  120. Nykamp, D.L.; Fackih, M.N.; Compton, A.L. Possible Association of Acute Lateral-Wall Myocardial Infarction and Bitter Orange Supplement. Ann. Pharmacother. 2004, 38, 812–816. [Google Scholar] [CrossRef]
  121. de Jonge, M.L.L.; Kieviet, L.C.; Sierts, M.; Egberink, L.B.; van der Heyden, M.A.G. Review of Case Reports on Adverse Events Related to Pre-Workout Supplements Containing Synephrine. Cardiovasc. Toxicol. 2023, 23, 1. [Google Scholar] [CrossRef]
  122. Anwar, M.; Law, R.; Schier, J. Notes from the Field: Kratom (Mitragyna Speciosa) Exposures Reported to Poison Centers—United States, 2010–2015. MMWR Morb. Mortal. Wkly. Rep. 2019, 65, 748–749. [Google Scholar] [CrossRef]
  123. Leong Bin Abdullah, M.F.I.; Singh, D. The Adverse Cardiovascular Effects and Cardiotoxicity of Kratom (Mitragyna Speciosa Korth.): A Comprehensive Review. Front. Pharmacol. 2021, 12, 726003. [Google Scholar] [CrossRef] [PubMed]
  124. Miller, A.H.F.; Krotulski, A.J.; Walton, S.E.; Dulaney, A.R.; Frolichstein, A.P.; Dusek, H.L.; Murphy, C. Kratom Cardiotoxicity: Reversible Brugada Pattern and QTc Prolongation. JACC Case Rep. 2025, 30, 1–6. [Google Scholar] [CrossRef]
  125. Jain, V.; Lloyd, M.S. A Kratomic Bomb: Cardiotoxicities From Mitragyna Speciosa Extract. JACC Case Rep. 2025, 30, 103110. [Google Scholar] [CrossRef]
  126. Drevin, G.; Palayer, M.; Compagnon, P.; Zabet, D.; Jousset, N.; Briet, M.; Abbara, C. A Fatal Case Report of Acute Yohimbine Intoxication. Forensic Toxicol. 2020, 38, 287–291. [Google Scholar] [CrossRef]
  127. Zhu, L.; Han, X.; Zhu, J.; Du, L.; Liu, L.; Gong, W. Severe Acute Intoxication with Yohimbine: Four Simultaneous Poisoning Cases. Forensic Sci. Int. 2021, 320, 110705. [Google Scholar] [CrossRef]
  128. Anderson, C.; Anderson, D.; Harre, N.; Wade, N. Case Study: Two Fatal Case Reports of Acute Yohimbine Intoxication. J. Anal. Toxicol. 2013, 37, 611–614. [Google Scholar] [CrossRef]
  129. Déléaval, M.; Burri, H.; Bakelants, E. Harmless Herbs? A Case Report of Acquired Long QT Syndrome and Torsades de Pointes in a Patient Taking Herbal Supplements. HeartRhythm Case Rep. 2022, 8, 309. [Google Scholar] [CrossRef]
  130. Torbey, E.; Abi Rafeh, N.; Khoueiry, G.; Kowalski, M.; Bekheit, S. Ginseng: A Potential Cause of Long QT. J. Electrocardiol. 2011, 44, 357–358. [Google Scholar] [CrossRef] [PubMed]
  131. Lévy, S.; Santini, L.; Capucci, A.; Oto, A.; Santomauro, M.; Riganti, C.; Raviele, A.; Cappato, R. European Cardiac Arrhythmia Society Statement on the Cardiovascular Events Associated with the Use or Abuse of Energy Drinks. J. Interv. Card. Electrophysiol. 2019, 56, 99–115. [Google Scholar] [CrossRef] [PubMed]
  132. Digoxin/Aloe Vera Interaction. React. Wkly. 2020, 1823, 145. [CrossRef]
  133. Sacco, M.A.; Gualtieri, S.; Princi, A.; Tarallo, A.P.; Verrina, M.C.; Tarda, L.; Calanna, L.; Gratteri, S.; Aquila, I. Human Deaths Related to Oleander Poisoning: A Review of the Literature. Toxins 2025, 17, 115. [Google Scholar] [CrossRef] [PubMed]
  134. Alexandre, J.; Foucault, A.; Coutance, G.; Scanu, P.; Milliez, P. Digitalis Intoxication Induced by an Acute Accidental Poisoning by Lily of the Valley. Circulation 2012, 125, 1053–1055. [Google Scholar] [CrossRef]
  135. Yang, W.; Ma, L.; Li, S.; Cui, K.; Lei, L.; Ye, Z. Evaluation of the Cardiotoxicity of Evodiamine In Vitro and In Vivo. Molecules 2017, 22, 943. [Google Scholar] [CrossRef]
  136. Senthilkumaran, S.; Ramachandran, M.; Thirumalaikolundusubramanian, P. Plant Toxins and the Heart. In Heart Toxins; Academic Press: Cambridge, MA, USA, 2015; pp. 151–174. [Google Scholar] [CrossRef]
  137. Hao, D.C.; Gu, X.-J.; Xiao, P.G. Chemical and Biological Studies of Aconitum Pharmaceutical Resources. In Medicinal Plants: Chemistry, Biology and Omics; Elsevier: Amsterdam, The Netherlands, 2015; pp. 253–292. [Google Scholar] [CrossRef]
  138. Singhuber, J.; Zhu, M.; Prinz, S.; Kopp, B. Aconitum in Traditional Chinese Medicine-A Valuable Drug or an Unpredictable Risk? J. Ethnopharmacol. 2009, 126, 18–30. [Google Scholar] [CrossRef]
  139. Karturi, S.P.; Gudmundsson, H.; Akhtar, M.; Jahangir, A.; Choudhuri, I. Spectrum of Cardiac Manifestations from Aconitine Poisoning. HeartRhythm Case Rep. 2016, 2, 415. [Google Scholar] [CrossRef]
  140. Ravikanth, G.; Rao, B.H.; Azam, M.S. Aconite Toxicity Presenting as Electrical Storm: A Diagnostic and Therapeutic Challenge*. Indian J. Clin. Cardiol. 2023, 4, 133–135. [Google Scholar] [CrossRef]
  141. Dhesi, P.; Ng, R.; Shehata, M.M.; Shah, P.K. Ventricular Tachycardia after Ingestion of Ayurveda Herbal Antidiarrheal Medication Containing Aconitum. Arch. Intern. Med. 2010, 170, 303–305. [Google Scholar] [CrossRef] [PubMed]
  142. Chan, T.Y.K. Aconite Poisoning Presenting as Hypotension and Bradycardia. Hum. Exp. Toxicol. 2009, 28, 795–797. [Google Scholar] [CrossRef]
  143. Wahab, S.; Annadurai, S.; Abullais, S.S.; Das, G.; Ahmad, W.; Ahmad, M.F.; Kandasamy, G.; Vasudevan, R.; Ali, M.S.; Amir, M. Glycyrrhiza Glabra (Licorice): A Comprehensive Review on Its Phytochemistry, Biological Activities, Clinical Evidence and Toxicology. Plants 2021, 10, 2751. [Google Scholar] [CrossRef]
  144. Sontia, B.; Mooney, J.; Gaudet, L.; Touyz, R.M. Pseudohyperaldosteronism, Liquorice, and Hypertension. J. Clin. Hypertens. 2008, 10, 153. [Google Scholar] [CrossRef]
  145. Farese, R.V.; Biglieri, E.G.; Shackleton, C.H.L.; Irony, I.; Gomez-Fontes, R. Licorice-Induced Hypermineralocorticoidism. N. Engl. J. Med. 1991, 325, 1223–1227. [Google Scholar] [CrossRef] [PubMed]
  146. Shekelle, P.G.; Hardy, M.L.; Morton, S.C.; Maglione, M.; Mojica, W.A.; Suttorp, M.J.; Rhodes, S.L.; Jungvig, L.; Gagné, J. Efficacy and Safety of Ephedra and Ephedrine for Weight Loss and Athletic Performance: A Meta-Analysis. JAMA 2003, 289, 1537–1545. [Google Scholar] [CrossRef]
  147. Vogel, J.H.K.; Bolling, S.F.; Costello, R.B.; Guarneri, E.M.; Krucoff, M.W.; Longhurst, J.C.; Olshansky, B.; Pelletier, K.R.; Tracy, C.M.; Vogel, R.A.; et al. Integrating Complementary Medicine Into Cardiovascular Medicine: A Report of the American College of Cardiology Foundation Task Force on Clinical Expert Consensus Documents (Writing Committee to Develop an Expert Consensus Document on Complementary and Integrative Medicine). J. Am. Coll. Cardiol. 2005, 46, 184–221. [Google Scholar] [CrossRef] [PubMed]
  148. Takemoto, H.; Takahashi, J.; Hyuga, S.; Odaguchi, H.; Uchiyama, N.; Maruyama, T.; Yamashita, T.; Hyuga, M.; Oshima, N.; Amakura, Y.; et al. Ephedrine Alkaloids-Free Ephedra Herb Extract, EFE, Has No Adverse Effects Such as Excitation, Insomnia, and Arrhythmias. Biol. Pharm. Bull. 2018, 41, 247–253. [Google Scholar] [CrossRef] [PubMed]
  149. Haller, C.A.; Benowitz, N.L. Adverse Cardiovascular and Central Nervous System Events Associated with Dietary Supplements Containing Ephedra Alkaloids. N. Engl. J. Med. 2000, 343, 1833–1838. [Google Scholar] [CrossRef]
  150. Ma, G.; Bavadekar, S.A.; Davis, Y.M.; Lalchandani, S.G.; Nagmani, R.; Schaneberg, B.T.; Khan, I.A.; Feller, D.R. Pharmacological Effects of Ephedrine Alkaloids on Human A1- and A2-Adrenergic Receptor Subtypes. J. Pharmacol. Exp. Ther. 2007, 322, 214–221. [Google Scholar] [CrossRef]
  151. Zell-Kanter, M.; Quigley, M.A.; Leikin, J.B. Reduction in Ephedra Poisonings after FDA Ban. N. Engl. J. Med. 2015, 372, 2172–2174. [Google Scholar] [CrossRef] [PubMed]
  152. Soni, M.G.; Carabin, I.G.; Griffiths, J.C.; Burdock, G.A. Safety of Ephedra: Lessons Learned. Toxicol. Lett. 2004, 150, 97–110. [Google Scholar] [CrossRef]
  153. Fugh-Berman, A.; Myers, A. Citrus Aurantium, an Ingredient of Dietary Supplements Marketed for Weight Loss: Current Status of Clinical and Basic Research. Exp. Biol. Med. 2004, 229, 698–704. [Google Scholar] [CrossRef]
  154. Alford, A.S.; Moreno, H.L.; Benjamin, M.M.; Dickinson, C.F.; Hamann, M.T. Exploring the Therapeutic Potential of Mitragynine and Corynoxeine: Kratom-Derived Indole and Oxindole Alkaloids for Pain Management. Pharmaceuticals 2025, 18, 222. [Google Scholar] [CrossRef]
  155. Karunakaran, T.; Ngew, K.Z.; Zailan, A.A.D.; Mian Jong, V.Y.; Abu Bakar, M.H. The Chemical and Pharmacological Properties of Mitragynine and Its Diastereomers: An Insight Review. Front. Pharmacol. 2022, 13, 805986. [Google Scholar] [CrossRef]
  156. Tay, Y.L.; Teah, Y.F.; Chong, Y.M.; Jamil, M.F.A.; Kollert, S.; Adenan, M.I.; Wahab, H.A.; Döring, F.; Wischmeyer, E.; Tan, M.L. Mitragynine and Its Potential Blocking Effects on Specific Cardiac Potassium Channels. Toxicol. Appl. Pharmacol. 2016, 305, 22–39. [Google Scholar] [CrossRef]
  157. Nowacka, A.; Śniegocka, M.; Śniegocki, M.; Ziółkowska, E.; Bożiłow, D.; Smuczyński, W. Multifaced Nature of Yohimbine—A Promising Therapeutic Potential or a Risk? Int. J. Mol. Sci. 2024, 25, 12856. [Google Scholar] [CrossRef]
  158. Tam, S.W.; Worcel, M.; Wyllie, M. Yohimbine: A Clinical Review. Pharmacol. Ther. 2001, 91, 215–243. [Google Scholar] [CrossRef] [PubMed]
  159. EFSA Panel on Food Additives and Nutrient Sources Added to Food (ANS). Scientific Opinion on the Evaluation of the Safety in Use of Yohimbe (Pausinystalia Yohimbe (K. Schum.) Pierre Ex Beille). EFSA J. 2013, 11, 3302. [Google Scholar] [CrossRef]
  160. Cannillo, M.; Frea, S.; Fornengo, C.; Toso, E.; Mercurio, G.; Battista, S.; Gaita, F. Berberine behind the Thriller of Marked Symptomatic Bradycardia. World J. Cardiol. 2013, 5, 261. [Google Scholar] [CrossRef]
  161. Zhi, D.; Feng, P.F.; Sun, J.L.; Guo, F.; Zhang, R.; Zhao, X.; Li, B.X. The Enhancement of Cardiac Toxicity by Concomitant Administration of Berberine and Macrolides. Eur. J. Pharm. Sci. 2015, 76, 149–155. [Google Scholar] [CrossRef]
  162. Feng, P.; Zhao, L.; Guo, F.; Zhang, B.; Fang, L.; Zhan, G.; Xu, X.; Fang, Q.; Liang, Z.; Li, B. The Enhancement of Cardiotoxicity That Results from Inhibiton of CYP 3A4 Activity and HERG Channel by Berberine in Combination with Statins. Chem. Biol. Interact. 2018, 293, 115–123. [Google Scholar] [CrossRef] [PubMed]
  163. Liu, L.; Hu, J.; Mao, Q.; Liu, C.; He, H.; Hui, X.; Yang, G.; Qu, P.; Lian, W.; Duan, L.; et al. Functional Compounds of Ginseng and Ginseng-Containing Medicine for Treating Cardiovascular Diseases. Front. Pharmacol. 2022, 13, 1034870. [Google Scholar] [CrossRef] [PubMed]
  164. Turnbull, D.; Rodricks, J.V.; Mariano, G.F.; Chowdhury, F. Caffeine and Cardiovascular Health. Regul. Toxicol. Pharmacol. 2017, 89, 165–185. [Google Scholar] [CrossRef]
  165. Cannon, M.E.; Cooke, C.T.; McCarthy, J.S. Caffeine-Induced Cardiac Arrhythmia: An Unrecognised Danger of Healthfood Products. Med. J. Aust. 2001, 174, 520–521. [Google Scholar] [CrossRef]
  166. Trabulo, D.; Marques, S.; Pedroso, E. Caffeinated Energy Drink Intoxication. BMJ Case Rep. 2011. [Google Scholar] [CrossRef] [PubMed]
  167. Sánchez, M.; González-Burgos, E.; Iglesias, I.; Gómez-Serranillos, M.P. Pharmacological Update Properties of Aloe Vera and Its Major Active Constituents. Molecules 2020, 25, 1324. [Google Scholar] [CrossRef]
  168. Khan, S.; Khan, S.U. Adverse Drug Event of Hypokalaemia-Induced Cardiotoxicity Secondary to the Use of Laxatives: A Systematic Review of Case Reports. J. Clin. Pharm. Ther. 2020, 45, 927–936. [Google Scholar] [CrossRef]
  169. Anandhi, D.; Prakash Raju, K.; Basha, M.; Pandit, V. Acute Myocardial Infarction in Yellow Oleander Poisoning. J. Postgrad. Med. 2018, 64, 123–126. [Google Scholar] [CrossRef]
  170. Khan, I.; Kant, C.; Sanwaria, A.; Meena, L. Acute Cardiac Toxicity of Nerium Oleander/Indicum Poisoning (Kaner) Poisoning. Heart Views 2010, 11, 115. [Google Scholar] [CrossRef]
  171. Al, B.; Yarbil, P.; Dogan, M.; Kabul, S.; Yildirim, C. A Case of Non-Fatal Oleander Poisoning. BMJ Case Rep. 2010. [Google Scholar] [CrossRef] [PubMed]
  172. Sun, Q.; Xie, L.; Song, J.; Li, X. Evodiamine: A Review of Its Pharmacology, Toxicity, Pharmacokinetics and Preparation Researches. J. Ethnopharmacol. 2020, 262, 113164. [Google Scholar] [CrossRef] [PubMed]
  173. Spanakis, M.; Tzamali, E.; Tzedakis, G.; Koumpouzi, C.; Pediaditis, M.; Tsatsakis, A.; Sakkalis, V. Artificial Intelligence Models and Tools for the Assessment of Drug–Herb Interactions. Pharmaceuticals 2025, 18, 282. [Google Scholar] [CrossRef] [PubMed]
  174. Price, J. Drug–Drug Interactions: A Pharmacovigilance Road Less Traveled. Clin. Ther. 2023, 45, 94–98. [Google Scholar] [CrossRef]
  175. Lavertu, A.; Vora, B.; Giacomini, K.M.; Altman, R.; Rensi, S. A New Era in Pharmacovigilance: Toward Real-World Data and Digital Monitoring. Clin. Pharmacol. Ther. 2021, 109, 1197–1202. [Google Scholar] [CrossRef] [PubMed]
  176. Hauben, M. Artificial Intelligence and Data Mining for the Pharmacovigilance of Drug–Drug Interactions. Clin. Ther. 2023, 45, 117–133. [Google Scholar] [CrossRef]
  177. Salas, M.; Petracek, J.; Yalamanchili, P.; Aimer, O.; Kasthuril, D.; Dhingra, S.; Junaid, T.; Bostic, T. The Use of Artificial Intelligence in Pharmacovigilance: A Systematic Review of the Literature. Pharm. Med. 2022, 36, 295–306. [Google Scholar] [CrossRef]
  178. Panossian, A. Trends and Pitfalls in the Progress of Network Pharmacology Research on Natural Products. Pharmaceuticals 2025, 18, 538. [Google Scholar] [CrossRef]
  179. Berger, S.I.; Iyengar, R. Network Analyses in Systems Pharmacology. Bioinformatics 2009, 25, 2466–2472. [Google Scholar] [CrossRef]
  180. Łapińska, N.; Pacławski, A.; Szlęk, J.; Mendyk, A. SerotoninAI: Serotonergic System Focused, Artificial Intelligence-Based Application for Drug Discovery. J. Chem. Inf. Model. 2024, 64, 2150–2157. [Google Scholar] [CrossRef]
  181. Culbertson, V.L.; Rahman, S.E.; Bosen, G.C.; Caylor, M.L.; Xu, D. Use of a Bioinformatics-Based Toxicity Scoring System to Assess Serotonin Burden and Predict Population-Level Adverse Drug Events from Concomitant Serotonergic Drug Therapy. Pharmacother. J. Hum. Pharmacol. Drug Ther. 2019, 39, 171–181. [Google Scholar] [CrossRef]
  182. Vilar, S.; Lorberbaum, T.; Hripcsak, G.; Tatonetti, N.P. Improving Detection of Arrhythmia Drug-Drug Interactions in Pharmacovigilance Data through the Implementation of Similarity-Based Modeling. PLoS ONE 2015, 10, e0129974. [Google Scholar] [CrossRef] [PubMed]
  183. Varshneya, M.; Mei, X.; Sobie, E.A. Combining Systems Pharmacology Modeling with Machine Learning to Identify Sub-Populations at Risk of Arrhythmia. Biophys. J. 2019, 116, 230a. [Google Scholar] [CrossRef]
  184. Beam, A.L.; Kohane, I.S. Big Data and Machine Learning in Health Care. JAMA-J. Am. Med. Assoc. 2018, 319, 1317–1318. [Google Scholar] [CrossRef] [PubMed]
  185. Nagar, A.; Gobburu, J.; Chakravarty, A. Artificial Intelligence in Pharmacovigilance: Advancing Drug Safety Monitoring and Regulatory Integration. Ther. Adv. Drug Saf. 2025, 16, 20420986251361436. [Google Scholar] [CrossRef]
  186. Kompa, B.; Hakim, J.B.; Palepu, A.; Kompa, K.G.; Smith, M.; Bain, P.A.; Woloszynek, S.; Painter, J.L.; Bate, A.; Beam, A.L. Artificial Intelligence Based on Machine Learning in Pharmacovigilance: A Scoping Review. Drug Saf. 2022, 45, 477. [Google Scholar] [CrossRef]
  187. Hauben, M.; Hartford, C.G. Artificial Intelligence in Pharmacovigilance: Scoping Points to Consider. Clin. Ther. 2021, 43, 372–379. [Google Scholar] [CrossRef]
  188. Basile, A.O.; Yahi, A.; Tatonetti, N.P. Artificial Intelligence for Drug Toxicity and Safety. Trends Pharmacol. Sci. 2019, 40, 624–635. [Google Scholar] [CrossRef] [PubMed]
  189. Spanakis, M. In Silico Pharmacology for Evidence-Based and Precision Medicine. Pharmaceutics 2023, 15, 1014. [Google Scholar] [CrossRef]
  190. Spanakis, M.; Sfakianakis, S.; Kallergis, G.; Spanakis, E.G.; Sakkalis, V. PharmActa: Personalized Pharmaceutical Care EHealth Platform for Patients and Pharmacists. J. Biomed. Inf. 2019, 100, 103336. [Google Scholar] [CrossRef]
  191. Spanakis, M.; Sfakianakis, S.; Sakkalis, V.; Spanakis, E.G. PharmActa: Empowering Patients to Avoid Clinical Significant Drug-Herb Interactions. Medicines 2019, 6, 26. [Google Scholar] [CrossRef]
  192. Anagnostopoulos, C.; Van Der Schaar, M.; Collet, J.P.; Vecino, R.H. Real-World Data and Causal Machine Learning to Enhance Drug Development. Ther. Innov. Regul. Sci. 2025, 1–10. [Google Scholar] [CrossRef]
  193. Choi, E.; Oh, J.; Lee, S.; Mahmood, S.; Hasan, R.; Hussain, S.; Adhikari, R. An Interpretable and Generalizable Machine Learning Model for Predicting Asthma Outcomes: Integrating AutoML and Explainable AI Techniques. World 2025, 6, 15. [Google Scholar] [CrossRef]
  194. Dickerman, B.A.; Hernán, M.A. Counterfactual Prediction Is Not Only for Causal Inference. Eur. J. Epidemiol. 2020, 35, 615–617. [Google Scholar] [CrossRef] [PubMed]
  195. Hulsen, T. Explainable Artificial Intelligence (XAI): Concepts and Challenges in Healthcare. AI 2023, 4, 652–666. [Google Scholar] [CrossRef]
  196. Ward, I.R.; Wang, L.; Lu, J.; Bennamoun, M.; Dwivedi, G.; Sanfilippo, F.M. Explainable Artificial Intelligence for Pharmacovigilance: What Features Are Important When Predicting Adverse Outcomes? Comput. Methods Programs Biomed. 2021, 212, 106415. [Google Scholar] [CrossRef]
  197. Russell, R.G.; Lovett Novak, L.; Patel, M.; Garvey, K.V.; Craig, K.J.T.; Jackson, G.P.; Moore, D.; Miller, B.M. Competencies for the Use of Artificial Intelligence-Based Tools by Health Care Professionals. Acad. Med. 2023, 98, 348–356. [Google Scholar] [CrossRef] [PubMed]
  198. Spanakis, M.; Papadimitriou, S.; Skountakis, A.; Vamvakaki, M.; Charalampopoulos, I.; Gravanis, A. Empowering Community Pharmacists for Next-Generation Therapeutics: Assessing Knowledge Needs and Implementing Educational Solutions. Res. Soc. Adm. Pharm. 2025, 21, e4. [Google Scholar] [CrossRef]
Disclaimer/Publisher’s Note: The statements, opinions and data contained in all publications are solely those of the individual author(s) and contributor(s) and not of MDPI and/or the editor(s). MDPI and/or the editor(s) disclaim responsibility for any injury to people or property resulting from any ideas, methods, instructions or products referred to in the content.

Article Metrics

Citations

Article Access Statistics

Multiple requests from the same IP address are counted as one view.