Optical and Morphological Characterization of Nanoscale Oxides Grown in Low-Energy H+-Implanted c-Silicon
Abstract
1. Introduction
2. Materials and Methods
2.1. Sample Preparation
2.2. Measurement Methods
2.2.1. Spectroscopic Ellipsometry
2.2.2. Electroreflectance Spectroscopy
2.2.3. Atomic Force Microscopy
3. Results and Discussion
3.1. UV-Vis SE Data Analysis
3.2. Electroreflectance Spectroscopy
3.3. IRSE Data Analysis
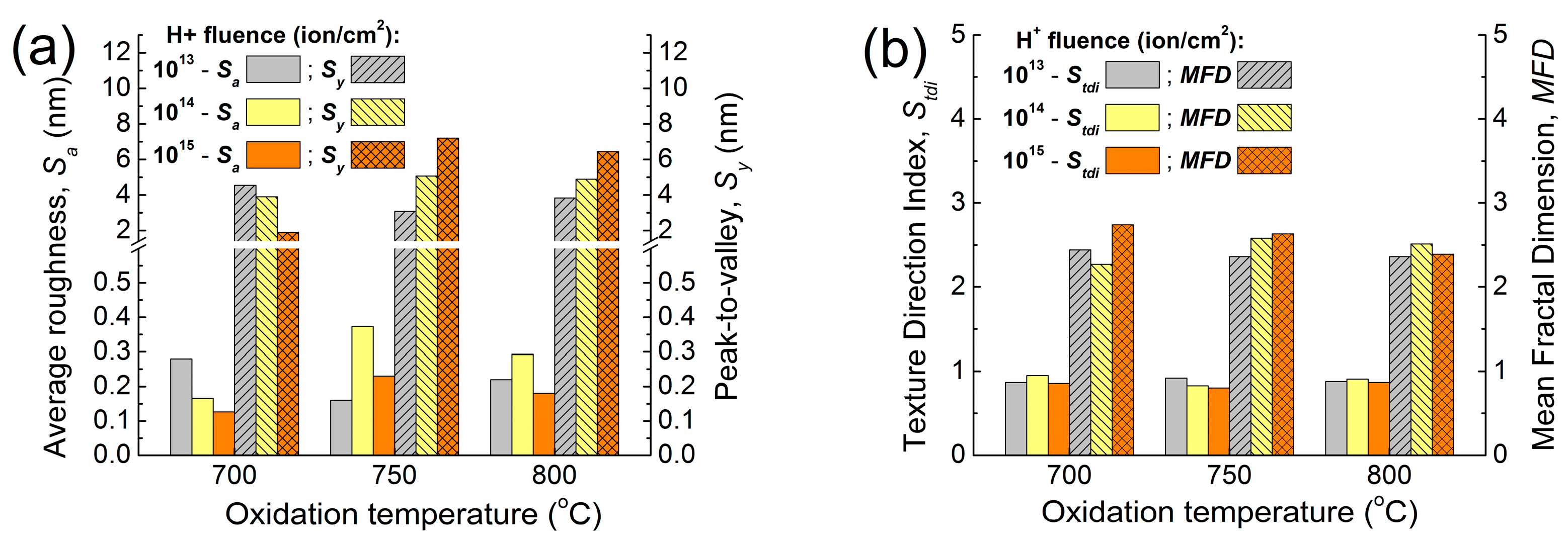
3.4. AFM Imaging
4. Conclusions
Author Contributions
Funding
Institutional Review Board Statement
Informed Consent Statement
Data Availability Statement
Acknowledgments
Conflicts of Interest
References
- Menon, S.; Stecki, C.; Song, J.; Pecht, M. Optimization of PHM System for Electronic Assemblies Using Maintenance Aware Design Environment Software. In Proceedings of the 14th Australian International Aerospace Congress, Melbourne, VIC, Australia, 28 February–3 March 2011. [Google Scholar]
- Available online: https://www.Semitracks.Com/Newsletters/May/2021-May-Newsletter.Pdf (accessed on 22 April 2024).
- Ikeda, S.; Ohta, H.; Miura, H.; Hagiwara, Y. Mechanical Stress Control in a VLSI-Fabrication Process: A Method for Obtaining the Relation between Stress Levels and Stress-Induced Failures. IEEE Trans. Semicond. Manuf. 2003, 16, 696–703. [Google Scholar] [CrossRef]
- Leroy, B. Stresses and silicon interstitials during the oxidation of a silicon substrate. Philos. Mag. B 1987, 55, 159–199. [Google Scholar] [CrossRef]
- Fitch, J.T.; Bjorkman, C.H.; Lucovsky, G.; Pollak, F.H.; Yin, X. Intrinsic Stress and Stress Gradients at the SiO2/Si Interface in Structures Prepared by Thermal Oxidation of Si and Subjected to Rapid Thermal Annealing. J. Vac. Sci. Technol. B Microelectron. Process. Phenom. 1989, 7, 775–781. [Google Scholar] [CrossRef]
- Lane, C.H. Stress at the Si—SiO2 interface and its relationship to interface states. IEEE Trans. Electron Devices 1968, 15, 998–1003. [Google Scholar] [CrossRef]
- Szekeres, A. Stress in The SiO2/Si Structures Formed by Thermal Oxidation. In Fundamental Aspects of Ultrathin Dielectrics on Si-Based Devices; Springer: Dordrecht, The Netherlands, 1998; pp. 65–78. [Google Scholar]
- Li, Z.; Chen, F. Ion Beam Modification of Two-Dimensional Materials: Characterization, Properties, and Applications. Appl. Phys. Rev. 2017, 4, 011103. [Google Scholar] [CrossRef]
- Gupta, D. Plasma Immersion Ion Implantation (PIII) Process-Physics and Technology. Int. J. Adv. Technol. 2011, 2, 471–490. [Google Scholar]
- Tomozawa, M. Water Diffusion in Silica Glass and Wet Oxidation of Si: An Interpretation for the High Speed of Wet Oxidation. J. Electrochem. Soc. 2011, 158, G115. [Google Scholar] [CrossRef]
- Mott, N.F. On the oxidation of silicon. Philos. Mag. B 1987, 55, 117–129. [Google Scholar] [CrossRef]
- Mott, N.F.; Rigo, S.; Rochet, F.; Stoneham, A.M. Oxidation of silicon. Philos. Mag. B 1989, 60, 189–212. [Google Scholar] [CrossRef]
- Szekeres, A.; Alexandrova, S.; Petrik, P.; Fodor, B.; Bakalova, S. Ellipsometric Study of Crystalline Silicon Hydrogenated by Plasma Immersion Ion Implantation. Appl. Surf. Sci. 2013, 281, 105–108. [Google Scholar] [CrossRef]
- Volkert, C.A. Stress and Plastic Flow in Silicon during Amorphization by Ion Bombardment. J. Appl. Phys. 1991, 70, 3521–3527. [Google Scholar] [CrossRef]
- Kern, W.; Puotinen, D. Cleaning Solutions Based on Hydrogen Peroxide for Use in Silicon Semiconductor Technology. RCA Rev. 1970, 31, 187–206. [Google Scholar]
- Daunois, A.; Aspnes, D.E. Electroreflectance and Ellipsometry of Silicon from 3 to 6 EV. Phys. Rev. B 1978, 18, 1824–1839. [Google Scholar] [CrossRef]
- Misiewicz, J.; Sitarek, P.; Sęk, G. Photoreflectance Spectroscopy of Low-Dimensional Semiconductor Structures. Opto-Electron. Rev. 2000, 8, 1–24. [Google Scholar]
- Irene, E.A.; Ghez, R. Thermal Oxidation of Silicon: New Experimental Results and Models. Appl. Surf. Sci. 1987, 30, 1–16. [Google Scholar] [CrossRef]
- Fargeix, A.; Ghibaudo, G. Densification of Thermal SiO2 Due to Intrinsic Oxidation Stressing. J. Phys. D Appl. Phys. 1984, 17, 2331–2336. [Google Scholar] [CrossRef]
- Irene, E.A.; Tierney, E.; Angilello, J. A Viscous Flow Model to Explain the Appearance of High Density Thermal SiO2 at Low Oxidation Temperatures. J. Electrochem. Soc. 1982, 129, 2594–2597. [Google Scholar] [CrossRef]
- Taniguchi, K.; Tanaka, M.; Hamaguchi, C.; Imai, K. Density Relaxation of Silicon Dioxide on (100) Silicon during Thermal Annealing. J. Appl. Phys. 1990, 67, 2195–2198. [Google Scholar] [CrossRef]
- Jellison, G.E. Optical Functions of Silicon Determined by Two-Channel Polarization Modulation Ellipsometry. Opt. Mater. 1992, 1, 41–47. [Google Scholar] [CrossRef]
- Nguyen, N.V.; Chandler-Horowitz, D.; Amirtharaj, P.M.; Pellegrino, J.G. Spectroscopic Ellipsometry Determination of the Properties of the Thin Underlying Strained Si Layer and the Roughness at SiO2/Si Interface. Appl. Phys. Lett. 1994, 64, 2688–2690. [Google Scholar] [CrossRef]
- Seraphin, B.O. Electroreflectance in Surface Physics. J. Phys. Colloq. 1970, 31, C1-123–C1-134. [Google Scholar] [CrossRef]
- Karachevtseva, L. Quantum-Sized Effects in Oxidized Silicon Structures with Surface II-VI Nanocrystals. Semicond. Phys. Quantum Electron. Optoelectron. 2014, 17, 168–173. [Google Scholar] [CrossRef]
- Zamchiy, A.O.; Baranov, E.A.; Merkulova, I.E.; Khmel, S.Y.; Maximovskiy, E.A. Determination of the Oxygen Content in Amorphous SiOx Thin Films. J. Non. Cryst. Solids 2019, 518, 43–50. [Google Scholar] [CrossRef]
- Marra, D.C.; Edelberg, E.A.; Naone, R.L.; Aydil, E.S. Silicon Hydride Composition of Plasma-Deposited Hydrogenated Amorphous and Nanocrystalline Silicon Films and Surfaces. J. Vac. Sci. Technol. A Vac. Surf. Film. 1998, 16, 3199–3210. [Google Scholar] [CrossRef]
- Hsieh, Y.L.; Kau, L.H.; Huang, H.J.; Lee, C.C.; Fuh, Y.K.; Li, T.T. In Situ Plasma Monitoring of PECVD Nc-Si:H Films and the Influence of Dilution Ratio on Structural Evolution. Coatings 2018, 8, 238. [Google Scholar] [CrossRef]
- Carneiro, J.O.; Machado, F.; Rebouta, L.; Vasilevskiy, M.I.; Lanceros-Méndez, S.; Teixeira, V.; Costa, M.F.; Samantilleke, A.P. Compositional, Optical and Electrical Characteristics of SiOx Thin Films Deposited by Reactive Pulsed DC Magnetron Sputtering. Coatings 2019, 9, 468. [Google Scholar] [CrossRef]
- Theil, J.A.; Tsu, D.V.; Watkins, M.W.; Kim, S.S.; Lucovsky, G. Local Bonding Environments of Si–OH Groups in SiO2 Deposited by Remote Plasma-Enhanced Chemical Vapor Deposition and Incorporated by Postdeposition Exposure to Water Vapor. J. Vac. Sci. Technol. A Vac. Surf. Film. 1990, 8, 1374–1381. [Google Scholar] [CrossRef]
- Lehmann, A.; Schumann, L.; Hübner, K. Optical Phonons in Amorphous Silicon Oxides. I. Calculation of the Density of States and Interpretation of LO-TO Splittings of Amorphous SiO2. Phys. Status Solidi 1983, 117, 689–698. [Google Scholar] [CrossRef]
- Martinet, C.; Devine, R.A.B. Comparison of Experimental and Calculated TO and LO Oxygen Vibrational Modes in Thin SiO2 Films. J. Non. Cryst. Solids 1995, 187, 96–100. [Google Scholar] [CrossRef]
- Tan, C.Z. Determination of Refractive Index of Silica Glass for Infrared Wavelengths by IR Spectroscopy. J. Non. Cryst. Solids 1998, 223, 158–163. [Google Scholar] [CrossRef]
- Kitamura, R.; Pilon, L.; Jonasz, M. Optical Constants of Silica Glass from Extreme Ultraviolet to Far Infrared at near Room Temperature. Appl. Opt. 2007, 46, 8118. [Google Scholar] [CrossRef]
- Revesz, A.G. The Defect Structure of Vitreous SiO2 Films on Silicon. I. Structure of Vitreous SiO2 and the Nature of the Si-O Bond. Phys. Status Solidi 1980, 57, 235–243. [Google Scholar] [CrossRef]
- Lisovskii, I.P.; Litovchenko, V.G.; Lozinskii, V.B.; Frolov, S.I.; Flietner, H.; Fussel, W.; Schmidt, E.G. IR Study of Short-Range and Local Order in SiO2 and SiOx Films. J. Non. Cryst. Solids 1995, 187, 91–95. [Google Scholar] [CrossRef]
- De Los Arcos, T.; Müller, H.; Wang, F.; Damerla, V.R.; Hoppe, C.; Weinberger, C.; Tiemann, M.; Grundmeier, G. Review of Infrared Spectroscopy Techniques for the Determination of Internal Structure in Thin SiO2 Films. Vib. Spectrosc. 2021, 114, 103256. [Google Scholar] [CrossRef]
- Lisovsky, I.P.; Lytovchenko, V.G.; Mazunov, D.O.; Szekeres, A. IR-Spectroscopy Analysis of the Structure and Composition of the Si-O Phase in Ultrathin (10-15 nm) SiO2 Films. Ukr. J. Phys. 2005, 50, 78–83. [Google Scholar]
- Anastasescu, M.; Stoica, M.; Gartner, M.; Bakalova, S.; Szekeres, A.; Alexandrova, S. Surface Morphology of RF Plasma Immersion H+ Ion Implanted and Oxidized Si(100) Surface. J. Phys. Conf. Ser. 2014, 514, 012036. [Google Scholar] [CrossRef]
- Szekeres, A.; Alexandrova, S.; Terziyska, P.; Anastasescu, M.; Stoica, M.; Gartner, M. Study of Silicon Surface Layers Modified by Hydrogen Plasma Immersion Ion Implantation and Oxidation. J. Phys. Conf. Ser. 2020, 1492, 012056. [Google Scholar] [CrossRef]
- Image Analysis Software for Microscopy. Available online: https://www.imagemet.com/ (accessed on 25 April 2024).













| H+ Fluence (ion/cm2) | Tox (°C) | Refractive Index, n at λ = 633 nm | Oxide Density, ρ (g/cm3) | Oxide Stress, σ (109 N/m2) |
|---|---|---|---|---|
| - | 700 | 1.511 | 2.411 | 5.67 |
| 1013 | 700 | 1.471 | 2.250 | 1.22 |
| 1014 | 700 | 1.477 | 2.275 | 1.89 |
| 1015 | 700 | 1.501 | 2.366 | 4.56 |
| - | 750 | 1.510 | 2.406 | 5.56 |
| 1013 | 750 | 1.473 | 2.257 | 1.44 |
| 1014 | 750 | 1.471 | 2.250 | 1.22 |
| 1015 | 750 | 1.493 | 2.240 | 3.67 |
| - | 800 | 1.467 | 2.232 | 0.78 |
| 1013 | 800 | 1.457 | 2.192 | 0.33 |
| 1014 | 800 | 1.459 | 2.199 | 0.11 |
| 1015 | 800 | 1.462 | 2.214 | 0.22 |
| Standard dry oxidation * | 700 | 1.475 | 2.265 | 1.67 |
| 750 | 1.473 | 2.257 | 1.44 | |
| 800 | 1.472 | 2.253 | 1.33 | |
| 1000 | 1.465 | 2.224 | 0.56 |
| H+ Fluence (ion/cm2) | Tox (°C) | Polarity of Lineshape | Transition Energy, E1 (eV) | Si Stress Level, σ (108 N/m2) | Broadening Parameter, Γ (meV) |
|---|---|---|---|---|---|
| - | 700 | “+” | 3.397 | 6.44 | 95 |
| 1013 | 700 | “+” | 3.398 | 6.16 | 110 |
| 1014 | 700 | “+” | 3.406 | 3.92 | 120 |
| 1015 | 700 | “−” | 3.390 | 8.40 | 110 |
| - | 750 | “+” | 3.399 | 5.88 | 95 |
| 1013 | 750 | “+” | 3.408 | 3.36 | 100 |
| 1014 | 750 | “+” | 3.409 | 3.08 | 115 |
| 1015 | 750 | “−” | 3.392 | 7.84 | 125 |
| H+ Fluence (ion/cm2) | Tox (°C) | Peak Position (cm−1) | |||||||||||
|---|---|---|---|---|---|---|---|---|---|---|---|---|---|
| In the ε2 Spectrum | In the Im(−1/ε) Spectrum | ||||||||||||
| 0 | 700 | 444 | 460 | 805 | 1073 | 1074 | 1169 | 504 | 813 | 1157 | 1182 | 1240 | 1254 |
| 750 | 422 | 458 | 805 | 1073 | 1093 | 1202 | 503 | 814 | 1156 | 1178 | 1237 | 1253 | |
| 800 | - | 460 | 805 | 1075 | 1077 | 1205 | 508 | 815 | - | 1180 | 1245 | 1254 | |
| 1013 | 700 | 408 | 462 | 805 | 1061 | 1070 | 1205 | 508 | 813 | 1129 | 1195 | 1246 | 1255 |
| 750 | 440 | 460 | 805 | 1045 | 1074 | 1176 | 508 | 816 | 1172 | 1178 | 1232 | 1252 | |
| 800 | 438 | 460 | 805 | 1046 | 1075 | 1175 | 507 | 815 | 1168 | 1192 | 1245 | 1255 | |
| 1014 | 700 | 446 | 471 | 805 | 1062 | 1063 | 1216 | 506 | 813 | 1114 | 1192 | 1245 | 1255 |
| 750 | 440 | 460 | 805 | 1048 | 1074 | 1177 | 508 | 816 | 1166 | 1190 | 1243 | 1254 | |
| 800 | 427 | 458 | 805 | 1073 | 1077 | 1179 | 509 | 817 | 1171 | 1188 | 1243 | 1255 | |
| 1015 | 700 | 455 | 465 | 805 | 1056 | 1069 | 1210 | 506 | 813 | 1128 | 1182 | 1236 | 1253 |
| 750 | 442 | 459 | 805 | 1048 | 1074 | 1178 | 508 | 816 | 1163 | 1184 | 1238 | 1253 | |
Disclaimer/Publisher’s Note: The statements, opinions and data contained in all publications are solely those of the individual author(s) and contributor(s) and not of MDPI and/or the editor(s). MDPI and/or the editor(s) disclaim responsibility for any injury to people or property resulting from any ideas, methods, instructions or products referred to in the content. |
© 2024 by the authors. Licensee MDPI, Basel, Switzerland. This article is an open access article distributed under the terms and conditions of the Creative Commons Attribution (CC BY) license (https://creativecommons.org/licenses/by/4.0/).
Share and Cite
Szekeres, A.; Alexandrova, S.; Anastasescu, M.; Stroescu, H.; Gartner, M.; Petrik, P. Optical and Morphological Characterization of Nanoscale Oxides Grown in Low-Energy H+-Implanted c-Silicon. Micro 2024, 4, 426-441. https://doi.org/10.3390/micro4030027
Szekeres A, Alexandrova S, Anastasescu M, Stroescu H, Gartner M, Petrik P. Optical and Morphological Characterization of Nanoscale Oxides Grown in Low-Energy H+-Implanted c-Silicon. Micro. 2024; 4(3):426-441. https://doi.org/10.3390/micro4030027
Chicago/Turabian StyleSzekeres, Anna, Sashka Alexandrova, Mihai Anastasescu, Hermine Stroescu, Mariuca Gartner, and Peter Petrik. 2024. "Optical and Morphological Characterization of Nanoscale Oxides Grown in Low-Energy H+-Implanted c-Silicon" Micro 4, no. 3: 426-441. https://doi.org/10.3390/micro4030027
APA StyleSzekeres, A., Alexandrova, S., Anastasescu, M., Stroescu, H., Gartner, M., & Petrik, P. (2024). Optical and Morphological Characterization of Nanoscale Oxides Grown in Low-Energy H+-Implanted c-Silicon. Micro, 4(3), 426-441. https://doi.org/10.3390/micro4030027

