Next Issue
Volume 6, December
Previous Issue
Volume 6, October
 
 

Eng, Volume 6, Issue 11 (November 2025) – 49 articles

Cover Story (view full-size image): Eng is an international, peer-reviewed, open access journal on all areas of engineering, published monthly online by MDPI.
  • Issues are regarded as officially published after their release is announced to the table of contents alert mailing list.
  • You may sign up for e-mail alerts to receive table of contents of newly released issues.
  • PDF is the official format for papers published in both, html and pdf forms. To view the papers in pdf format, click on the "PDF Full-text" link, and use the free Adobe Reader to open them.
Order results
Result details
Section
Select all
Export citation of selected articles as:
22 pages, 6278 KB  
Article
Design and Experimental Study of Full-Process Automatic Anti-Corrosion Joint-Coating Equipment
by Changjiang Wang, Jianxin Yang, Hehe Wang, Guangpeng Ji and Shimin Zhang
Eng 2025, 6(11), 331; https://doi.org/10.3390/eng6110331 - 19 Nov 2025
Viewed by 373
Abstract
Pipeline joint coating is key to maintaining the integrity and service life of oil and gas pipelines. This study presents a novel full-process automatic joint-coating system, comprising a modular design of a universal chassis and four operational modules: abrasive blasting, medium-frequency heating, primer [...] Read more.
Pipeline joint coating is key to maintaining the integrity and service life of oil and gas pipelines. This study presents a novel full-process automatic joint-coating system, comprising a modular design of a universal chassis and four operational modules: abrasive blasting, medium-frequency heating, primer spraying, and heat-shrink-tape wrapping. The innovation lies in its axial obstacle-crossing mechanism, automated opening/closing device, and circumferential rotation system, enabling semi-automated joint-coating operations with the potential for full automation in future iterations. Finite element simulations confirmed the structural strength and safety margins of critical components under operational loads. Experimental validation demonstrated that pre-heating to 120 °C via 5 kHz heating took only 2 min (versus 3 min at 4 kHz and over 5 min at 3 kHz) and that primer-spraying parameters (nozzle height/travel speed) produced uniform coating thickness above 400 µm. Adhesion tests at pipe temperatures above 200 °C and rolling speeds ≤ 16 mm/s consistently exceeded 100 N/cm, while speeds above 20 mm/s caused defects. The system therefore offers a reliable engineering solution for high-efficiency, reproducible pipeline joint-coating operations. Full article
Show Figures

Figure 1

16 pages, 6270 KB  
Article
Analysis on Hydrocarbon Charging Process in the Belts of Antiformal Negative Flower Structures in the Southwestern Sag of Dongpu Depression, Bohai Bay Basin, North China
by Xiaoshui Mu, Xu Chen, Honghan Chen, Ji Cheng, Fang He, Tianjiao Huang, Bowei Lü and Jiayi Jiang
Eng 2025, 6(11), 330; https://doi.org/10.3390/eng6110330 - 19 Nov 2025
Viewed by 261
Abstract
The antiformal negative flower structure of the Shahejie Formation in the Southwest Sag of Dongpu Depression is the main target of rolling exploration evaluation, but there is limited understanding of its hydrocarbon accumulation events. In this study, firstly, based on the high-resolution 3D [...] Read more.
The antiformal negative flower structure of the Shahejie Formation in the Southwest Sag of Dongpu Depression is the main target of rolling exploration evaluation, but there is limited understanding of its hydrocarbon accumulation events. In this study, firstly, based on the high-resolution 3D seismic data, the planar and profile features of antiformal negative flower structures have been depicted, and their forming mechanism has been described by cooperating with regional structural stress field evolution analysis. Meanwhile, systematic analysis of fluid inclusions has been employed to determine hydrocarbon charging events and ages in the antiformal negative flower structures. The key findings are as follows: (1) The antiformal negative flower structure in the Southwest Sag formed through three evolutionary stages: rifting at NW 282°–SE 102° (Sha-4 to Sha-3 Members), trans tensional development at NW 350°–SE 170° (Sha-2 Member to Dongying Formation), and collapse (Guantao to Minghuazhen Formations). (2) Three hydrocarbon charging events in the antiformal negative flower structure belt were categorized into two episodes, occurring, respectively, during the structure formation stage (33.3–27.3 Ma, reversing stage of Sha-2 Member to Dongying Formation) and collapse stage (9.9–4.3 Ma, new structural movement). (3) The three sets of source rocks (from strong rifting), fault-related migration pathways and traps in belts, and post-rifting regional cover exhibit a favorable temporal–spatial matching relationship, which forms a key hydrocarbon migration-accumulation site and favorable exploration target in the sag’s uplifts. Full article
(This article belongs to the Section Chemical, Civil and Environmental Engineering)
Show Figures

Figure 1

37 pages, 4851 KB  
Review
Engineering Parameter Design for CO2 Geological Storage: Research Progress and Case Analyses
by Hangyu Liu, Wei Lian, Jun Li and Yanxian Wu
Eng 2025, 6(11), 329; https://doi.org/10.3390/eng6110329 - 18 Nov 2025
Viewed by 434
Abstract
Carbon Capture and Storage (CCS) is a critical technology for promoting carbon reduction and achieving the carbon neutrality goal. As a vital component of CCS projects, the injection process makes it especially important to clarify wellsite layout methods, wellbore parameters, and injection parameters [...] Read more.
Carbon Capture and Storage (CCS) is a critical technology for promoting carbon reduction and achieving the carbon neutrality goal. As a vital component of CCS projects, the injection process makes it especially important to clarify wellsite layout methods, wellbore parameters, and injection parameters for the safe and efficient storage of CO2. This article presents a survey of engineering parameter design in typical domestic and international comprehensively compares and analyzes multi-dimensional parameters under different storage conditions such as saline aquifers and basalt, and clarifies the basic adaptation logic that storage types determine engineering parameters, the requirement that engineering designs should be formulated according to reservoir characteristics, and the need for dynamic adjustment of engineering parameters based on actual conditions. Meanwhile, the paper identifies various challenges, including geological hazards in wellsite selection, wellbore corrosion risks, loss of control over injection pressure, and storage safety, corrosion risks, and CO2 leakage risks caused by thermodynamic phase transitions. It puts forward suggestions such as risk prevention and control strategies, wellbore integrity guarantee systems, injection optimization methods, and leakage prevention and control systems, providing a basis for the engineering design and safety assessment of CCS projects. Full article
(This article belongs to the Special Issue Geological Storage and Engineering Application of Gases)
Show Figures

Figure 1

21 pages, 38319 KB  
Article
Enhancing Electrical Conductivity of Commercially Pure Aluminium via Deep Cryogenic Treatment and Subsequent Annealing
by Dhandapani Chirenjeevi Narashimhan and Arul Sanjivi
Eng 2025, 6(11), 328; https://doi.org/10.3390/eng6110328 - 17 Nov 2025
Viewed by 334
Abstract
Aluminium is widely used in electrical and structural applications; however, its lower electrical conductivity compared to copper limits broader adoption in high-performance systems. Deep cryogenic treatment (DCT) and DCT followed by annealing (DCT+A) have recently appeared as promising techniques to refine microstructures and [...] Read more.
Aluminium is widely used in electrical and structural applications; however, its lower electrical conductivity compared to copper limits broader adoption in high-performance systems. Deep cryogenic treatment (DCT) and DCT followed by annealing (DCT+A) have recently appeared as promising techniques to refine microstructures and enhance functional properties in metallic materials. In this study, commercially pure aluminium was subjected to DCT and DCT+A with soaking hours of 6, 12, 18, and 24 at −196 °C. The results revealed that both DCT-12 and DCT+A-12 treatments produced significant grain refinement. XRD confirmed the smallest crystallite size (32.39 nm) and maximum dislocation density (9.53 × 1014 m−2) in DCT-12, while extended soaking of 18 h facilitated recovery, yielding larger crystallite sizes (52.82 nm), reduced density, and microstrain. EBSD analysis showed texture strengthening in the (100) and (111) planes and a notable transition from HAGB to LAGB fractions. TEM and Raman analysis further confirmed defect recovery and phonon coherence at longer soaking hours. Electrical conductivity and mobility were enhanced across all treated specimens, with peak values seen for DCT-18 (4.91 × 107 S/m, 50.8 cm2/V·s) and DCT+A-18 (4.52 × 107 S/m, 46.9 cm2/V·s). These findings confirm that 18 h of soaking is optimal, particularly when combined with annealing, and yields a stable microstructure, improved electron transport, and superior conductivity. Full article
(This article belongs to the Topic Surface Engineering and Micro Additive Manufacturing)
Show Figures

Figure 1

15 pages, 9271 KB  
Article
Wear Features of Nickel-Based Superalloy ZhS6U and Commercial Pure Titanium During Dry Friction in a Pin-on-Disc Scheme
by Alexander Eliseev, Andrey Filippov, Kseniya Osipovich and Alihan Amirov
Eng 2025, 6(11), 327; https://doi.org/10.3390/eng6110327 - 12 Nov 2025
Viewed by 278
Abstract
Extreme working conditions place high demands on material properties. For example, tools for friction stir welding of titanium alloys must be highly wear-resistant, have high strength at high temperatures, and also have high adhesion properties. These requirements complicate the selection of materials for [...] Read more.
Extreme working conditions place high demands on material properties. For example, tools for friction stir welding of titanium alloys must be highly wear-resistant, have high strength at high temperatures, and also have high adhesion properties. These requirements complicate the selection of materials for tool manufacturing. One of the possible solutions is heat-resistant nickel superalloys, such as the ZhS6U alloy. However, since these alloys have not been commonly used in friction pairs, they have hardly been studied in the context of friction. This work experimentally investigates the friction and wear characteristics of the nickel alloy ZhS6U and commercial pure titanium under dry friction in a pin-on-disc scheme. The research found that during friction, an oxidized mechanically mixed transfer layer is composed of wear products, and it can reduce the friction coefficient. Only adhesive wear was observed in the selected range of sliding speeds (0.46 m/s–1.84 m/s). It was found that the values of the friction coefficient, the mass loss of the titanium disc, and the width and depth of the friction track correlate with each other—as the speed increases, they first increase to a maximum value and then decrease. Minimal disc wear was observed at a speed of 0.46 m/s. The maximum friction coefficient was 0.79 and was observed at a sliding speed of 0.92 m/s. It was also found that the friction surface area is linearly dependent on the sliding speed, and the wear rate of the pins increases with increasing sliding speed according to an exponential law. Full article
(This article belongs to the Section Materials Engineering)
Show Figures

Figure 1

31 pages, 1285 KB  
Review
Optical Flow-Based Algorithms for Real-Time Awareness of Hazardous Events
by Stiliyan Kalitzin, Simeon Karpuzov and George Petkov
Eng 2025, 6(11), 326; https://doi.org/10.3390/eng6110326 - 12 Nov 2025
Viewed by 495
Abstract
Safety and security are major priorities in modern society. Especially for vulnerable groups of individuals, such as the elderly and patients with disabilities, providing a safe environment and adequate alerting for debilitating events and situations can be critical. Wearable devices can be effective [...] Read more.
Safety and security are major priorities in modern society. Especially for vulnerable groups of individuals, such as the elderly and patients with disabilities, providing a safe environment and adequate alerting for debilitating events and situations can be critical. Wearable devices can be effective but require frequent maintenance and can be obstructive or stigmatizing. Video monitoring by trained operators solves those issues but requires human resources, time and attention and may present certain privacy issues. We propose optical flow-based automated approaches for a multitude of situation awareness and event alerting challenges. The core of our method is an algorithm providing the reconstruction of global movement parameters from video sequences. This way, the computationally most intensive task is performed once and the output is dispatched to a variety of modules dedicated to detecting adverse events such as convulsive seizures, falls, apnea and signs of possible post-seizure arrests. The software modules can operate separately or in parallel as required. Our results show that the optical flow-based detectors provide robust performance and are suitable for real-time alerting systems. In addition, the optical flow reconstruction is applicable to real-time tracking and stabilizing video sequences. The proposed system is already functional and undergoes field trials for cases of epileptic patients. Full article
(This article belongs to the Special Issue Interdisciplinary Insights in Engineering Research)
Show Figures

Figure 1

15 pages, 299 KB  
Article
Optical Implementation of Integer Division Using Interlaced Line Masks
by Mario J. Pinheiro
Eng 2025, 6(11), 325; https://doi.org/10.3390/eng6110325 - 12 Nov 2025
Viewed by 239
Abstract
We propose a novel optical method for performing integer division N÷D, based on the superposition of two transmissive masks: a dividend mask (G1) encoding N lines, and a completer mask (G2) providing blocks of D sites. The combined pattern is [...] Read more.
We propose a novel optical method for performing integer division N÷D, based on the superposition of two transmissive masks: a dividend mask (G1) encoding N lines, and a completer mask (G2) providing blocks of D sites. The combined pattern is read in blocks, yielding quotient q and remainder r directly. This Interlaced Line Divider (ILD) provides a hardware-level analog computation of Euclidean division, with potential applications in cryptography, optical sensing, and unconventional computing. Full article
Show Figures

Figure 1

18 pages, 3360 KB  
Article
Fourth-Order Numerical Derivation as Being an Inverse Force Problem of Beam Equations
by Chein-Shan Liu and Chih-Wen Chang
Eng 2025, 6(11), 324; https://doi.org/10.3390/eng6110324 - 11 Nov 2025
Viewed by 350
Abstract
Besides the closed-form expansion coefficients of a weak-form numerical differentiator (WFND), we introduce a cubic boundary shape function with the aid of two parameters for reducing the boundary errors of fourth-order numerical derivatives to zero. So that the accuracy of numerical derivatives obtained [...] Read more.
Besides the closed-form expansion coefficients of a weak-form numerical differentiator (WFND), we introduce a cubic boundary shape function with the aid of two parameters for reducing the boundary errors of fourth-order numerical derivatives to zero. So that the accuracy of numerical derivatives obtained by the new WFND can be improved significantly. The fourth-order numerical derivation can be modeled as a linear beam equation subjecting to specified boundary conditions and displacements to recover an unknown forcing term. By means of boundary shape functions, two numerical collocation methods automatically satisfying the boundary conditions are developed. For a simply supported linear Euler–Bernoulli beam with an elastic foundation, the unknown spatially–temporally dependent force is retrieved. The displacement at a final time and strain on the right-boundary of the beam are over-specified to recover the external force using the method of superposition of boundary shape functions (MSBSF). When the displacement is determined to satisfy the prescribed right-boundary strain, we can recover an unknown spatially–temporally dependent force by inserting the displacement into the linear beam equation. An embedded method (EM) is developed to transform the linear beam model into a vibrating linear beam equation, and then we can develop a robust technique to compute the fourth-order derivative of noisy data by using the EM and MSBSF. The four proposed methods for evaluating the fourth-order derivatives of noisy data are efficient and accurate. Full article
Show Figures

Figure 1

30 pages, 3885 KB  
Article
Dynamic Pressure Awareness and Spatiotemporal Collaborative Optimization Scheduling for Microgrids Driven by Flexible Energy Storage
by Hao Liu, Li Di, Yu-Rong Hu, Jian-Wei Ma, Jian Zhao, Xiao-Zhao Wei, Ling Miao and Jing-Yuan Yin
Eng 2025, 6(11), 323; https://doi.org/10.3390/eng6110323 - 11 Nov 2025
Viewed by 308
Abstract
Under the dual carbon goals, microgrids face significant challenges in managing multi-energy flow coupling and maintaining operational robustness with high renewable energy penetration. This paper proposes a novel dynamic pressure-aware spatiotemporal optimization dispatch strategy. The strategy is centered on intelligent energy storage and [...] Read more.
Under the dual carbon goals, microgrids face significant challenges in managing multi-energy flow coupling and maintaining operational robustness with high renewable energy penetration. This paper proposes a novel dynamic pressure-aware spatiotemporal optimization dispatch strategy. The strategy is centered on intelligent energy storage and enables proactive energy allocation for critical pressure moments. We designed and validated the strategy under an ideal benchmark scenario with perfect foresight of the operational cycle. This approach demonstrates its maximum potential for spatiotemporal coordination. On this basis, we propose a Multi-Objective Self-Adaptive Hybrid Enzyme Optimization (MOSHEO) algorithm. The algorithm introduces segmented perturbation initialization, nonlinear search mechanisms, and multi-source fusion strategies. These enhancements improve the algorithm’s global exploration and convergence performance. Specifically, in the ZDT3 test, the IGD metric improved by 7.7% and the SP metric was optimized by 63.4%, while the best HV value of 0.28037 was achieved in the UF4 test. Comprehensive case studies validate the effectiveness of the proposed approach under this ideal setting. Under normal conditions, the strategy successfully eliminates power and thermal deficits of 1120.00 kW and 124.46 kW, respectively, at 19:00. It achieves this through optimal quota allocation, which involved allocating 468.19 kW of electricity at 13:00 and 65.78 kW of thermal energy at 18:00. Under extreme weather, the strategy effectively converts 95.87 kW of electricity to thermal energy at 18:00. This conversion addresses a 444.46 kW thermal deficit. Furthermore, the implementation reduces microgrid cluster trading imbalances from 1300 kW to zero for electricity and from 400 kW to 176.34 kW for thermal energy, significantly enhancing system economics and multi-energy coordination efficiency. This research provides valuable insights and methodological support for advanced microgrid optimization by establishing a performance benchmark, with future work focusing on integration with forecasting techniques. Full article
(This article belongs to the Section Electrical and Electronic Engineering)
Show Figures

Figure 1

21 pages, 9058 KB  
Article
Polyformaldehyde Fiber Shotcrete Bending Fracture Test and Finite Element Simulation Research
by Yuelong Zheng, Guangjin Wang, Bing Zhao, Menglai Wang, Yanlin Li, Shujian Li, Mingli Yuan, Mingqiang Wang and Yubo Ma
Eng 2025, 6(11), 322; https://doi.org/10.3390/eng6110322 - 11 Nov 2025
Viewed by 283
Abstract
As a support material for mine roadways, shotcrete (SC) exhibits performance limitations in extreme deep-mining environments characterized by high stress and water seepage. Polyoxymethylene (POM) fiber, with its properties of high strength, high modulus, and corrosion resistance, holds potential for application in surrounding [...] Read more.
As a support material for mine roadways, shotcrete (SC) exhibits performance limitations in extreme deep-mining environments characterized by high stress and water seepage. Polyoxymethylene (POM) fiber, with its properties of high strength, high modulus, and corrosion resistance, holds potential for application in surrounding rock support of deep roadways. To investigate the effect of POM fiber on the flexural performance of shotcrete, four-point bending tests were conducted on fiber-reinforced concrete specimens with different fiber lengths and dosages. Combined with ABAQUS numerical simulation, damage simulation analysis was performed on each group of specimens, and the stress propagation state of the fibers was tracked. The results show that the flexural strength of polyoxymethylene fiber shotcrete (PFS) increases with the increase in fiber length and dosage, and the influence of fiber dosage is more significant. POM fiber can effectively inhibit the crack development of shotcrete, enhancing its crack resistance and residual strength. The load-deflection curves indicate that PFS exhibits excellent fracture toughness, with the P9L42 group showing the highest flexural strength improvement, reaching an increase of 94%. The numerical simulation results are in good agreement with the experimental conditions, accurately reflecting the damage state and load-deflection response of each group of concrete specimens. Based on the above research, POM fiber is more conducive to meeting the stability requirements of roadway surrounding rock support, providing a scientific basis for the application of PFS in mine roadway surrounding rock support. Full article
Show Figures

Figure 1

16 pages, 2327 KB  
Article
Influence of Rail Temperature on Braking Efficiency in Railway Vehicles
by Diego Rivera-Reyes, Tania Elizabeth Sandoval-Valencia and Juan Carlos Jáuregui-Correa
Eng 2025, 6(11), 321; https://doi.org/10.3390/eng6110321 - 11 Nov 2025
Viewed by 290
Abstract
Railway braking efficiency hinges on the thermomechanical conditions at the wheel-rail interface. Frictional heating during operation causes significant temperature fluctuations, directly impacting braking performance in rail vehicles. Evaluating these effects is important for developing infrastructure and components adapted to environmental conditions. Several studies [...] Read more.
Railway braking efficiency hinges on the thermomechanical conditions at the wheel-rail interface. Frictional heating during operation causes significant temperature fluctuations, directly impacting braking performance in rail vehicles. Evaluating these effects is important for developing infrastructure and components adapted to environmental conditions. Several studies have explored the influence of temperature on components such as the brake disc or the wheel; little attention has been paid to the thermal conditions of the rail itself. This paper examines the effect of rail temperature on the braking behavior and energy consumption of a railway vehicle. Using a 1:20 railway track, rail segments were subjected to four temperatures (28.5 °C, 40.0 °C, 49.9 °C, 71.0 °C) by heating with Nichrome wire, and tests were performed at three speeds (0.75, 1.00, and 1.30 m/s). The results show that higher rail temperatures improve wheel-rail adhesion up to an optimum point (40.0 °C), beyond which performance deteriorates. In contrast, tests at 71.0 °C showed reduced braking efficiency, despite lower electrical current peaks, indicating a non-linear thermal response. Full article
(This article belongs to the Special Issue Interdisciplinary Insights in Engineering Research)
Show Figures

Figure 1

22 pages, 6508 KB  
Article
Calculation and Intelligent Prediction of Long-Term Subgrade Settlement on Soft Soil Interlayer Foundations Under Secondary Consolidation in the Yellow River Floodplain
by Yong Lu, Ang Zheng, Xianjin Xu, Tao Lei, Zihan Sang, Lei Zhang, Zhaoyun Sun, Zhanyong Yao and Kai Yao
Eng 2025, 6(11), 320; https://doi.org/10.3390/eng6110320 - 10 Nov 2025
Viewed by 279
Abstract
Highways constructed on stratified foundations with thick soft soil interlayers in the Yellow River floodplain of Shandong Province have experienced long-term settlement. However, accurately predicting subgrade settlement caused by the secondary consolidation of soft soils remains a major engineering challenge. In this study, [...] Read more.
Highways constructed on stratified foundations with thick soft soil interlayers in the Yellow River floodplain of Shandong Province have experienced long-term settlement. However, accurately predicting subgrade settlement caused by the secondary consolidation of soft soils remains a major engineering challenge. In this study, PLAXIS 3D numerical simulation was combined with a neural network model to predict the long-term temporal and spatial settlement behavior of highway subgrades. The results show that the soft soil creep (SSC) constitutive model better represents the consolidation process of the soft soil interlayer than the soft soil (SS) model. A decrease in permeability will prolong the dissipation time of excess pore water pressure and the settlement stabilization time, leading to an increase in the proportion of post-construction settlement in the total settlement. The final settlement increases linearly with the thickness of the soft soil interlayer and embankment height, while it decreases following a power-law function with increasing interlayer burial depth. By comprehensively considering the combined effects of multiple factors, a genetic algorithm–optimized backpropagation neural network (GA-BP) model was developed. The testing dataset achieved a root mean square error (RMSE) of 0.01488 m, a mean absolute percentage error (MAPE) of 7.0562%, and a coefficient of determination (R2) of 0.9706, demonstrating the model’s ability to achieve intelligent full-period and full-section settlement prediction for subgrades with soft soil interlayers. Overall, this study developed an intelligent framework for predicting long-term settlement in subgrades with soft soil interlayers, offering practical guidance for evaluation and timely settlement control. Full article
(This article belongs to the Special Issue Advanced Numerical Simulation Techniques for Geotechnical Engineering)
Show Figures

Figure 1

22 pages, 2265 KB  
Article
A Secure and Robust Multimodal Framework for In-Vehicle Voice Control: Integrating Bilingual Wake-Up, Speaker Verification, and Fuzzy Command Understanding
by Zhixiong Zhang, Yao Li, Wen Ren and Xiaoyan Wang
Eng 2025, 6(11), 319; https://doi.org/10.3390/eng6110319 - 10 Nov 2025
Viewed by 646
Abstract
Intelligent in-vehicle voice systems face critical challenges in robustness, security, and semantic flexibility under complex acoustic conditions. To address these issues holistically, this paper proposes a novel multimodal and secure voice-control framework. The system integrates a hybrid dual-channel wake-up mechanism, combining a commercial [...] Read more.
Intelligent in-vehicle voice systems face critical challenges in robustness, security, and semantic flexibility under complex acoustic conditions. To address these issues holistically, this paper proposes a novel multimodal and secure voice-control framework. The system integrates a hybrid dual-channel wake-up mechanism, combining a commercial English engine (Picovoice) with a custom lightweight ResNet-Lite model for Chinese, to achieve robust cross-lingual activation. For reliable identity authentication, an optimized ECAPA-TDNN model is introduced, enhanced with spectral augmentation, sliding window feature fusion, and an adaptive threshold mechanism. Furthermore, a two-tier fuzzy command matching algorithm operating at character and pinyin levels is designed to significantly improve tolerance to speech variations and ASR errors. Comprehensive experiments on a test set encompassing various Chinese dialects, English accents, and noise environments demonstrate that the proposed system achieves high performance across all components: the wake-up mechanism maintains commercial-grade reliability for English and provides a functional baseline for Chinese; the improved ECAPA-TDNN attains low equal error rates of 2.37% (quiet), 5.59% (background music), and 3.12% (high-speed noise), outperforming standard baselines and showing strong noise robustness against the state of the art; and the fuzzy matcher boosts command recognition accuracy to over 95.67% in quiet environments and above 92.7% under noise, substantially outperforming hard matching by approximately 30%. End-to-end tests confirm an overall interaction success rate of 93.7%. This work offers a practical, integrated solution for developing secure, robust, and flexible voice interfaces in intelligent vehicles. Full article
(This article belongs to the Section Electrical and Electronic Engineering)
Show Figures

Figure 1

34 pages, 8847 KB  
Article
Machine Learning-Based Virtual Sensor for Bottom-Hole Pressure Estimation in Petroleum Wells
by Mateus de Araujo Fernandes, Eduardo Gildin and Marcio Augusto Sampaio
Eng 2025, 6(11), 318; https://doi.org/10.3390/eng6110318 - 6 Nov 2025
Viewed by 725
Abstract
Monitoring bottom-hole pressure (BHP) is critical for reservoir management and flow assurance, especially in offshore fields where challenging conditions and production losses are more impactful. However, reliability issues and high installation costs of Permanent Downhole Gauges (PDGs) often limit access to this vital [...] Read more.
Monitoring bottom-hole pressure (BHP) is critical for reservoir management and flow assurance, especially in offshore fields where challenging conditions and production losses are more impactful. However, reliability issues and high installation costs of Permanent Downhole Gauges (PDGs) often limit access to this vital data. Soft sensors offer a cost-effective and reliable alternative, serving as backups or replacements for physical sensors. This study proposes a novel data-driven methodology for estimating flowing BHP using wellhead and topside measurements from plant monitoring systems. The framework employs ensemble methods combined with clustering techniques to partition datasets, enabling tailored supervised training for diverse production conditions. Aggregating results from sub-models enhances performance, even with simpler machine learning algorithms. We evaluated Linear Regression, Neural Networks, and Gradient Boosting (XGBoost and LightGBM) as base models. A case study of a Brazilian Pre-Salt offshore oilfield, using data from 60 wells across nine platforms, demonstrated the methodology’s effectiveness. Error metrics remained consistently below 2% across varying production conditions and reservoir lifecycle stages, confirming its reliability. This solution provides a practical, economical alternative for studies and monitoring in wells lacking PDG data, improving operational efficiency and supporting reservoir management decisions. Full article
(This article belongs to the Section Chemical, Civil and Environmental Engineering)
Show Figures

Figure 1

31 pages, 2036 KB  
Article
Predictive Model of Electrical Resistivity in Sandy, Silty and Clayey Soils Using Gravimetric Moisture Content
by Cesar Augusto Navarro Rubio, Mario Trejo Perea, Hugo Martínez Ángeles, José Gabriel Ríos Moreno, Roberto Valentín Carrillo-Serrano and Saúl Obregón-Biosca
Eng 2025, 6(11), 317; https://doi.org/10.3390/eng6110317 - 6 Nov 2025
Viewed by 561
Abstract
Soil electrical resistivity is a fundamental parameter in various geotechnical, agricultural, environmental, and engineering applications, as it directly depends on the soil’s moisture content and physical properties. Understanding this relationship is crucial for improving the safety and efficiency of electrical installations. This study [...] Read more.
Soil electrical resistivity is a fundamental parameter in various geotechnical, agricultural, environmental, and engineering applications, as it directly depends on the soil’s moisture content and physical properties. Understanding this relationship is crucial for improving the safety and efficiency of electrical installations. This study analyzes the relationship between soil electrical resistivity and gravimetric moisture content in three soil types, sandy, clayey, and silty, with the aim of comparing the performance of different predictive models under controlled laboratory conditions. Seven fitting models were evaluated, Logarithmic Spline, Radial Basis Function (RBF), Locally Estimated Scatterplot Smoothing (LOESS), Least Absolute Shrinkage and Selection Operator (LASSO), Ridge Regression (RIDGE), Power Law and a segmented equation, using metrics such as Root Mean Square Error (RMSE), Mean Absolute Error (MAE), Mean Absolute Percentage Error (MAPE) and coefficient of determination R2 . The Spline and RBF models showed excellent accuracy and near-zero errors in all soils, although their applicability is limited by the lack of an explicit formulation and by the fact that, as interpolation methods, they do not guarantee predictive capacity outside the experimental dataset. Therefore, their use should be restricted to controlled laboratory conditions, as field variability factors can significantly alter soil resistivity responses. Among the explicit models, the Segmented Equation obtained a MAPE of 6.14% (sandy), 15.1% (clayey), and 13.16% (silty), with R2 values of 0.91, 0.93, and 0.89, respectively, demonstrating good performance and functionality. The Power Law model, although showing an R2 close to 0.96, presented significant overestimations, especially in silty soils (MAPE > 187%). The LASSO model yielded inconsistent predictions with percentage errors exceeding 120% in silty soils. In conclusion, nonparametric models provide excellent accuracy, while the segmented equation stands out as the best explicit alternative for estimating resistivity with reasonable precision. Full article
(This article belongs to the Section Chemical, Civil and Environmental Engineering)
Show Figures

Figure 1

20 pages, 2161 KB  
Review
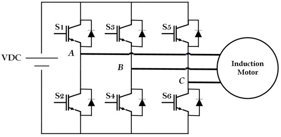
A Survey on Topologies and Modulation Strategies of Dual Inverters in Industrial Applications
by Erick Zain Adame Najera, Susana Estefany De León Aldaco, Jesus Aguayo Alquicira, Ricardo Eliu Lozoya-Ponce, José Ángel Pecina-Sánchez and Samuel Portillo Contreras
Eng 2025, 6(11), 316; https://doi.org/10.3390/eng6110316 - 6 Nov 2025
Viewed by 484
Abstract
Inverters have played a fundamental role in the development of energy conversion, especially in industrial applications. Over time, new architectures have been developed to optimize performance and reduce energy losses. Among the alternatives are dual inverters, which offer greater control flexibility, improve output [...] Read more.
Inverters have played a fundamental role in the development of energy conversion, especially in industrial applications. Over time, new architectures have been developed to optimize performance and reduce energy losses. Among the alternatives are dual inverters, which offer greater control flexibility, improve output wave quality, and, most importantly, have a greater impact on reducing energy consumption. Therefore, this study aims to systematically review and classify the main dual inverter topologies and modulation strategies, evaluating their advantages, limitations, and potential applications in industrial systems. Full article
(This article belongs to the Topic Advanced Integrated Circuit Design and Application)
Show Figures

Figure 1

22 pages, 2382 KB  
Article
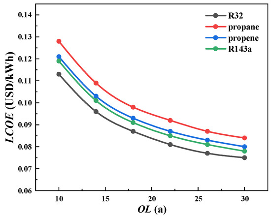
Performance and Economic Analysis of an Absorption Heat Transformer-Assisted LNG Cold Energy Power Generation System
by Xinyu Lang, Yanqin Mao, Zuqiang Li and Liang Cai
Eng 2025, 6(11), 315; https://doi.org/10.3390/eng6110315 - 5 Nov 2025
Viewed by 345
Abstract
Against the backdrop of increasing global LNG trade and the growing demand for efficient cold energy recovery, this study addresses the limitations of LNG cold energy power generation systems in onshore LNG-receiving terminals by innovatively integrating a Type II Absorption Heat Transformer (AHT) [...] Read more.
Against the backdrop of increasing global LNG trade and the growing demand for efficient cold energy recovery, this study addresses the limitations of LNG cold energy power generation systems in onshore LNG-receiving terminals by innovatively integrating a Type II Absorption Heat Transformer (AHT) to utilize waste heat. A steady-state model of the AHT-LNG-CEPG system was developed to evaluate performance under different organic working fluids and operational parameters. Results indicate that R32, propane, propene, and R143a significantly enhance system performance. The system achieves optimal performance when the AHT condensation temperature is 40 °C and the LNG-CEPG evaporation temperature is 30 °C, with R32 identified as the most effective working fluid. Economic analysis confirms the system’s viability, demonstrating that optimizing LNG-CEPG equipment can reduce costs. Under a 20-year operational lifetime (OL), the system using R32 achieves the lowest Levelized Cost of Electricity (LCOE) and Payback Period (PP) at 0.084 USD/kWh and 7.86 years, respectively. These findings provide practical insights for industrial applications. Full article
Show Figures

Figure 1

15 pages, 3870 KB  
Article
Planar Non-Uniformity of Regular and Partially Regular Microreliefs and Method for Its Evaluation
by Volodymyr Dzyura, Pavlo Maruschak, Roman Bytsa and Ihor Zinchenko
Eng 2025, 6(11), 314; https://doi.org/10.3390/eng6110314 - 5 Nov 2025
Viewed by 187
Abstract
Based on the analysis of grooves of regular and partially regular microreliefs formed on flat surfaces, the relationship between the geometric parameters of the grooves of their microreliefs, which ensures their regularity, was revealed. The functionality of the existing parameter for assessing the [...] Read more.
Based on the analysis of grooves of regular and partially regular microreliefs formed on flat surfaces, the relationship between the geometric parameters of the grooves of their microreliefs, which ensures their regularity, was revealed. The functionality of the existing parameter for assessing the oil capacity of the surface of the relative area of the grooves of the microrelief was analyzed. It was proved that the parameter—the relative area of the grooves of the microrelief—is insensitive to their distribution on the plane. A new graph-analytical method for determining the planar heterogeneity of the distribution of the area of the grooves of the microreliefs was developed. A numerical parameter—the coefficient of planar heterogeneity, which determines the uniformity of the distribution of the area of the grooves on the plane, was also substantiated. The effectiveness of the new approach was demonstrated and proven. Graphs of longitudinal and transverse planar heterogeneity of the main forms of the grooves of the microreliefs were constructed, which will eliminate the need to obtain complex analytical dependencies to determine the area of these grooves. By analyzing the graphs of planar heterogeneity, numerical values of the heterogeneity coefficient were determined—a parameter that characterizes the homogeneity of microrelief grooves in the axial and interaxial directions. It is proposed to search for optimal placement schemes of adjacent microrelief grooves on the plane based on the analysis of their planar heterogeneity coefficients. This will ensure an increase in the plane heterogeneity coefficient from 0.69 to 0.97 for the triangular shape of the grooves, from 0.87 to 0.83 for the sinusoidal and from 0.46 to 0.69 for the groove shape in the form of a truncated cycloid, with the same relative areas of the microrelief. Full article
(This article belongs to the Special Issue Advances in Precision Machining and Surface Engineering of Materials)
Show Figures

Figure 1

25 pages, 6510 KB  
Article
Enhancing Dry-Sliding Wear Performance of a Powder-Metallurgy-Processed “Metal Matrix–Carbide” Composite via Laser Surface Modification
by Yuliia Chabak, Vasily Efremenko, Yevhen Barma, Ivan Petrišinec, Bohdan Efremenko, František Kromka, Ivan Sili and Taras Kovbasiuk
Eng 2025, 6(11), 313; https://doi.org/10.3390/eng6110313 - 5 Nov 2025
Viewed by 335
Abstract
The increasing demand for enhanced wear resistance and mechanical integrity in tooling applications has driven the development of advanced surface engineering strategies for high-alloy steels. Böhler K390 MICROCLEAN, a powder-metallurgical V–Cr–Mo–W cold work tool steel with high vanadium content, features a composite metal [...] Read more.
The increasing demand for enhanced wear resistance and mechanical integrity in tooling applications has driven the development of advanced surface engineering strategies for high-alloy steels. Böhler K390 MICROCLEAN, a powder-metallurgical V–Cr–Mo–W cold work tool steel with high vanadium content, features a composite metal matrix–carbide microstructure, consisting of uniformly distributed coarse vanadium carbides and finer carbides (M7C3, M6C/MC) embedded in a ferritic matrix. This study investigated the effects of non-melting laser surface treatment (LST) applied to both as-received and bulk heat-treated K390 specimens. Microstructural characterization using SEM, EBSD, XRD, and EDX revealed the formation of a hardened surface layer comprising a structureless mixture of ultrafine-grained martensite and retained austenite, localized around vanadium carbides. Lattice parameter analysis and Williamson–Hall evaluation demonstrated increased carbon content, lattice distortion, and crystallite size reduction, contributing to high dislocation density (6.4 × 1014 to 2.6 × 1015 m−2) and enhanced hardness. Microhardness was increased by up to 160% compared to the initial state (reaching 835–887 HV20), and dry-sliding testing showed up to 3.94 times reduced volume loss and decreased friction coefficients. Wear occurred via the formation and delamination of thin oxide tribo-layers, which enhanced the wear behavior. The combined approach of bulk heat treatment followed by LST produced a graded microstructure with superior mechanical stability, offering clear advantages for extending tool life under severe contact loads in stamping and forming operations. Full article
(This article belongs to the Special Issue Advances in Precision Machining and Surface Engineering of Materials)
Show Figures

Figure 1

18 pages, 2187 KB  
Article
A 68dB-SNDR, 100-Frame/s CMOS Analog Front-End for a SWIR Detector
by Jiming Chen, Zhifeng Chen, Yuyan Zhang, Qiaoying Gan, Weiyi Zheng, Caiping Zheng, Sixian Li, Ying Gao and Chengying Chen
Eng 2025, 6(11), 312; https://doi.org/10.3390/eng6110312 - 5 Nov 2025
Viewed by 268
Abstract
For the application of a high-performance shortwave infrared (SWIR) detector, a fully integrated analog front-end (AFE) circuit is proposed in this paper, which includes a readout integrated circuit (ROIC) and a 12-bit/100 kHz two-step single-slope analog-to-digital converter (TS-SS ADC). The ROIC adopts a [...] Read more.
For the application of a high-performance shortwave infrared (SWIR) detector, a fully integrated analog front-end (AFE) circuit is proposed in this paper, which includes a readout integrated circuit (ROIC) and a 12-bit/100 kHz two-step single-slope analog-to-digital converter (TS-SS ADC). The ROIC adopts a direct injection (DI) structure with a pixel size of only 10 µm × 10 µm. The column processing circuit uses a passive correlated double-sampling (CDS) circuit to reduce noise and improve dynamic range. The comparator of four inputs in the ADC solves the problem of linearity reduction caused by charge redistribution during coarse quantization. In addition, the current steering digital-to-analog converter (DAC) is used to compensate for the non-ideal characteristics of the switch, which effectively optimizes the differential nonlinearity (DNL) and integral nonlinearity (INL). The AFE is implemented using SMIC 180 nm 1P6M technology. The post-simulation results show that at a power supply voltage of 3.3 V, the AFE has a frame rate of 100 Hz and a full well capacity (FWC) of 2.8 Me. The linearity can reach 99.59%, and the equivalent output noise is 243 µV. The dynamic range is 73.8 dB. Meanwhile, the signal-to-noise distortion ratio (SNDR) and effective number of bits (ENOB) are 68.38 dB and 11.06 bits, respectively. Full article
(This article belongs to the Topic Advanced Integrated Circuit Design and Application)
Show Figures

Figure 1

18 pages, 7087 KB  
Article
Fractal Characterization and Quantitative Petrophysical Prediction of Low-Permeability Glutenite Reservoirs in the Qaidam Basin, NW China
by Yuhang Ren, Zhengbin Wu, Cheng Yang, Kun Shu and Shu Jiang
Eng 2025, 6(11), 311; https://doi.org/10.3390/eng6110311 - 5 Nov 2025
Viewed by 255
Abstract
Low-permeability glutenite reservoirs in the Qaidam Basin, NW China, exhibit intricate pore networks and strong heterogeneity that hinder effective hydrocarbon development. Here, we integrate thin-section petrography, scanning electron microscopy (SEM), mercury injection capillary pressure (MICP), and nuclear magnetic resonance (NMR) to characterize pore [...] Read more.
Low-permeability glutenite reservoirs in the Qaidam Basin, NW China, exhibit intricate pore networks and strong heterogeneity that hinder effective hydrocarbon development. Here, we integrate thin-section petrography, scanning electron microscopy (SEM), mercury injection capillary pressure (MICP), and nuclear magnetic resonance (NMR) to characterize pore types and establish quantitative links between fractal dimension and petrophysical properties. The reservoirs are mainly pebbly sandstones and sandy conglomerates with 15–23% quartz, 27–37% feldspar, and 2–20% carbonate/muddy matrix. Helium porosity ranges from 5.12% to 18.11% (mean 9.39%) and air permeability from 60 to 3270 mD (mean 880 mD). Fine pores (1–10 μm) dominate, throats are short and poorly connected, and illite (up to 16.76%) lines pore walls, further reducing permeability. Fractal analysis yields weighted-average dimensions of 2.55, 2.50, and 2.15 for macro-, meso-, and micropores, respectively, giving an overall dimension of 2.52. Higher dimensions correlate negatively with porosity and permeability. Empirical models (quadratic for porosity and exponential for permeability) predict core data within 0.86% and 5.4% error, validated by six blind wells. Reservoirs are classified as Class I (>12%, >1.0 mD), Class II (8–12%, 0.5–1.0 mD), and Class III (<8%, <0.5 mD), providing a robust tool for stimulation design and numerical simulation. Full article
(This article belongs to the Section Chemical, Civil and Environmental Engineering)
Show Figures

Figure 1

18 pages, 5325 KB  
Article
Soil Density Measurement During Cultivation Through Analysis of the Elastic Deformation of a Cultivator Shank
by Asparuh I. Atanasov and Atanas Z. Atanasov
Eng 2025, 6(11), 310; https://doi.org/10.3390/eng6110310 - 4 Nov 2025
Viewed by 590
Abstract
Soil compaction significantly affects crop growth and yield. Traditional methods for assessing soil density are labor-intensive, time-consuming, and provide limited coverage of the entire field. This study aims to evaluate an alternative method for measuring soil density in real time during standard cultivation [...] Read more.
Soil compaction significantly affects crop growth and yield. Traditional methods for assessing soil density are labor-intensive, time-consuming, and provide limited coverage of the entire field. This study aims to evaluate an alternative method for measuring soil density in real time during standard cultivation operations. The proposed approach involves measuring the elastic deformation of the cultivator shank using strain gauges mounted on the working element. Simultaneous measurement of two separate working elements was tested. Data were recorded in real time and used to generate a soil compaction map of the test field. Soil density measurements obtained using a vertical cone penetrometer served as a reference for comparison. Analysis of the collected data revealed a strong correlation between shank deformation and measured soil density, with a Multiple R = 0.814 and R2 = 0.662. The results demonstrate that elastic deformation of the cultivator shank can reliably indicate soil compaction. The tested methodology provides a practical, real-time assessment of soil density during cultivation. It can be integrated into various plows or cultivators, enabling continuous monitoring of soil compaction without the labor and fuel demands of traditional mechanical tests. This approach offers a promising tool for precision soil management and optimizing field operations. Full article
(This article belongs to the Section Chemical, Civil and Environmental Engineering)
Show Figures

Figure 1

44 pages, 8586 KB  
Review
Hybrid Renewable Energy Systems for Off-Grid Electrification: A Comprehensive Review of Storage Technologies, Metaheuristic Optimization Approaches and Key Challenges
by Kamran Taghizad-Tavana, Ali Esmaeel Nezhad, Mehrdad Tarafdar Hagh, Afshin Canani and Ashkan Safari
Eng 2025, 6(11), 309; https://doi.org/10.3390/eng6110309 - 4 Nov 2025
Viewed by 1614
Abstract
Hybrid Renewable Energy Systems (HRESs) are a practical solution for providing reliable, low-carbon electricity to off-grid and remote communities. This review examines the role of energy storage within HRESs by systematically comparing electrochemical, mechanical, thermal, and hydrogen-based technologies in terms of technical performance, [...] Read more.
Hybrid Renewable Energy Systems (HRESs) are a practical solution for providing reliable, low-carbon electricity to off-grid and remote communities. This review examines the role of energy storage within HRESs by systematically comparing electrochemical, mechanical, thermal, and hydrogen-based technologies in terms of technical performance, lifecycle cost, operational constraints, and environmental impact. We synthesize findings from implemented off-grid projects across multiple countries to evaluate real-world performance metrics, including renewable fraction, expected energy not supplied (EENS), lifecycle cost, and operation & maintenance burdens. Special attention is given to the emerging role of hydrogen as a long-term and cross-sector energy carrier, addressing its technical, regulatory, and financial barriers to widespread deployment. In addition, the paper reviews real-world implementations of off-grid HRES in various countries, summarizing practical outcomes and lessons for system design and policy. The discussion also includes recent advances in metaheuristic optimization algorithms, which have improved planning efficiency, system reliability, and cost-effectiveness. By combining technological, operational, and policy perspectives, this review identifies current challenges and future directions for developing sustainable, resilient, and economically viable HRES that can accelerate equitable electrification in remote areas. Finally, the review outlines key limitations and future directions, calling for more systematic quantitative studies, long-term field validation of emerging technologies, and the development of intelligent, Artificial Intelligence (AI)-driven energy management systems within broader socio-techno-economic frameworks. Overall, this work offers concise insights to guide researchers and policymakers in advancing the practical deployment of sustainable and resilient HRES. Full article
Show Figures

Figure 1

23 pages, 1905 KB  
Article
Development of a Methodology for Seismic Design of Framed Steel Structures Incorporating Viscous Dampers
by Panagiotis Diamantis, Panagiota Katsimpini and George D. Hatzigeorgiou
Eng 2025, 6(11), 308; https://doi.org/10.3390/eng6110308 - 4 Nov 2025
Viewed by 446
Abstract
This study develops empirical equations relating viscous damping ratios (ξ) and damper coefficients (c) in steel structures for seismic design applications. The objective is to establish predictive formulas that enable conversion between equivalent viscous damping ratios and physical damper characteristics through dynamic analysis. [...] Read more.
This study develops empirical equations relating viscous damping ratios (ξ) and damper coefficients (c) in steel structures for seismic design applications. The objective is to establish predictive formulas that enable conversion between equivalent viscous damping ratios and physical damper characteristics through dynamic analysis. This research employs a two-phase analytical methodology on steel building frameworks. Initially, inherent viscous damping ratios are incrementally varied from 3% to 40% to establish baseline response characteristics. Subsequently, supplemental damping devices are integrated with damper coefficients (c) adjusted according to manufacturer specifications. Linear time-history analyses are conducted for both configurations to determine equivalent damping relationships, with a particular focus on Interstory Drift Ratios (IDR) and Peak Floor Accelerations (PFA) as key seismic demand parameters. By comparing response quantities between inherent and supplemental damping scenarios, empirical relationships linking physical damper coefficients with equivalent viscous damping ratios are formulated. The resulting equations provide practicing engineers with a practical tool for estimating damper specifications based on target damping levels in steel structures. The formulations are derived from linear time-history analysis of steel frame configurations and are applicable within the scope of linear elastic response and viscous damper behavior consistent with typical design conditions. Full article
(This article belongs to the Section Chemical, Civil and Environmental Engineering)
Show Figures

Figure 1

26 pages, 2380 KB  
Review
Strengthening Techniques for Steel–Concrete Composite Beams: A Comprehensive Review
by Yassar Yusuf, Ahmed Elbelbisi, Lamies Elgholmy, Mohamed Elsawi Mahmoud, Ahmed Elkilani and Alaa Elsisi
Eng 2025, 6(11), 307; https://doi.org/10.3390/eng6110307 - 4 Nov 2025
Viewed by 888
Abstract
Composite steel–concrete beams have gained significant attention in modern construction due to their superior structural efficiency, economic viability, and adaptability to diverse applications. This paper presents a comprehensive review of research developments related to both conventional and post-tensioned composite beam systems. Emphasis is [...] Read more.
Composite steel–concrete beams have gained significant attention in modern construction due to their superior structural efficiency, economic viability, and adaptability to diverse applications. This paper presents a comprehensive review of research developments related to both conventional and post-tensioned composite beam systems. Emphasis is placed on the structural behavior, design considerations, and performance improvements achieved through external post-tensioning using high-strength tendons. Such systems enhance ultimate load capacity, extend the elastic range before yielding, and reduce the required amount of structural steel, thereby improving material efficiency and reducing construction costs. The review also examines the influence of tendon application timing, connection type, and load conditions in both positive and negative bending regions. By synthesizing experimental and analytical findings, this study identifies key advantages, limitations, and research needs in optimizing the design and performance of steel–concrete composite beams. The insights presented herein aim to guide engineers, researchers, and practitioners in advancing the application of composite beam strengthening techniques in modern infrastructure. Full article
Show Figures

Figure 1

21 pages, 7776 KB  
Article
Identification of Critical and Post-Critical States of a Drill String Under Dynamic Conditions During the Deepening of Directional Wells
by Mikhail Dvoynikov and Pavel Kutuzov
Eng 2025, 6(11), 306; https://doi.org/10.3390/eng6110306 - 3 Nov 2025
Viewed by 431
Abstract
When drilling inclined and horizontal sections, a significant part of the drill string is in a compressed state which leads to a loss of stability and longitudinal bending. Modeling of the stress–strain state (SSS) of the drill string (DS), including prediction of its [...] Read more.
When drilling inclined and horizontal sections, a significant part of the drill string is in a compressed state which leads to a loss of stability and longitudinal bending. Modeling of the stress–strain state (SSS) of the drill string (DS), including prediction of its stability loss, is carried out using modern software packages; the basis of the software’s mathematical apparatus and algorithms is represented by deterministic statically defined formulae and equations. At the same time, a number of factors such as the friction of the drill string against the borehole wall, the presence of tool joints, drill string dynamic operating conditions, and the uncertainty of the position of the borehole in space cast doubt on the accuracy of the calculations and the reliability of the predictive models. This paper attempts to refine the actual behavior of the drill string in critical and post-critical conditions. To study the influence of dynamic conditions in the well on changes in the SSS of the DS due to its buckling, the following initial data were used: a drill pipe with an outer diameter of 88.9 mm and tool joints causing pipe deflection under gravitational acceleration of 9.81 m/s2 placed in a horizontal wellbore with a diameter of 152.4 mm; axial vibrations with an amplitude of variable force of 15–80 kN and a frequency of 1–35 Hz; lateral vibrations with an amplitude of variable impact of 0.5–1.5 g and a frequency of 1–35 Hz; and an increasing axial load of up to 500 kN. A series of experiments are conducted with or without friction of the drill string against the wellbore walls. The results of computational experiments indicate a stabilizing effect of friction forces. It should be noted that the distance between tool joints and their diametrical ratio to the borehole, taking into account gravitational acceleration, has a stabilizing effect due to the formation of additional contact force and bending stresses. It was established that drill string vibrations may either provide a stabilizing effect or lead to a loss of stability, depending on the combination of their frequency and vibration type, as well as the amplitude of variable loading. In the experiments without friction, the range of critical loads under vibration varied from 85 to >500 kN, compared to 268 kN as obtained in the reference experiment without vibrations. In the presence of friction, the range was 150 to >500 kN, while in the reference experiment without vibrations, no buckling was observed. Based on the results of this study, it is proposed to monitor the deformation rate of the string during loading as a criterion for identifying buckling in the DS stress–strain state monitoring system. Full article
(This article belongs to the Section Chemical, Civil and Environmental Engineering)
Show Figures

Figure 1

25 pages, 3091 KB  
Article
Multi-Objective Site Selection of Underground Smart Parking Facilities Using NSGA-III: An Ecological-Priority Perspective
by Xiaodan Li, Yunci Guo, Huiqin Wang, Yangyang Wang, Zhen Liu and Dandan Sun
Eng 2025, 6(11), 305; https://doi.org/10.3390/eng6110305 - 3 Nov 2025
Viewed by 407
Abstract
In high-density urban areas where ecological protection constraints are increasingly stringent, transportation infrastructure layout must balance service efficiency and environmental preservation. From an ecological-prioritization perspective, this study proposes a three-stage multi-objective optimization strategy for siting underground smart parking facilities using the NSGA-III algorithm, [...] Read more.
In high-density urban areas where ecological protection constraints are increasingly stringent, transportation infrastructure layout must balance service efficiency and environmental preservation. From an ecological-prioritization perspective, this study proposes a three-stage multi-objective optimization strategy for siting underground smart parking facilities using the NSGA-III algorithm, with Haidian District, Beijing, as a case study. First, spatial identification and screening are conducted using GIS, integrating urban fringe-space extraction with POI, AOI, population, and transportation network data to determine candidate locations. Second, a multi-objective model is constructed to minimize green space occupation, walking distance, and construction cost while maximizing service coverage, and is solved with NSGA-III. Third, under the ecological-prioritization strategy, the solution with the lowest land occupation is selected, and marginal benefit analysis is applied to identify the optimal trade-off between ecological and economic objectives, forming a flexible decision-making framework. The findings show that several feasible schemes can achieve zero green-space occupation while maintaining high service coverage, and marginal benefit analysis identifies a cost-effective solution serving about 20,000 residents with an investment of 7 billion CNY. These results confirm that ecological protection and urban service efficiency can be reconciled through quantitative optimization, offering practical guidance for sustainable infrastructure planning. The proposed methodology integrates spatial analysis, multi-objective optimization, and post-Pareto analysis into a unified framework, addressing diverse infrastructure planning problems with conflicting objectives and ecological constraints. It offers both theoretical significance and practical applicability, supporting sustainable urban development under multiple scenarios. Full article
Show Figures

Figure 1

56 pages, 17528 KB  
Review
A Practical Tutorial on Spiking Neural Networks: Comprehensive Review, Models, Experiments, Software Tools, and Implementation Guidelines
by Bahgat Ayasi, Cristóbal J. Carmona, Mohammed Saleh and Angel M. García-Vico
Eng 2025, 6(11), 304; https://doi.org/10.3390/eng6110304 - 2 Nov 2025
Viewed by 1965
Abstract
Spiking neural networks (SNNs) provide a biologically inspired, event-driven alternative to artificial neural networks (ANNs), potentially delivering competitive accuracy at substantially lower energy. This tutorial-study offers a unified, practice-oriented assessment that combines critical review and standardized experiments. We benchmark a shallow fully connected [...] Read more.
Spiking neural networks (SNNs) provide a biologically inspired, event-driven alternative to artificial neural networks (ANNs), potentially delivering competitive accuracy at substantially lower energy. This tutorial-study offers a unified, practice-oriented assessment that combines critical review and standardized experiments. We benchmark a shallow fully connected network (FCN) on MNIST and a deeper VGG7 architecture on CIFAR-10 across multiple neuron models (leaky integrate-and-fire (LIF), sigma–delta, etc.) and input encodings (direct, rate, temporal, etc.), using supervised surrogate-gradient training implemented in Intel Lava, SLAYER, SpikingJelly, Norse, and PyTorch. Empirically, we observe a consistent but tunable trade-off between accuracy and energy. On MNIST, sigma–delta neurons with rate or sigma–delta encodings achieve 98.1% accuracy (ANN baseline: 98.23%). On CIFAR-10, sigma–delta neurons with direct input reach 83.0% accuracy at just two time steps (ANN baseline: 83.6%). A GPU-based operation-count energy proxy indicates that many SNN configurations operate below the ANN energy baseline; some frugal codes minimize energy at the cost of accuracy, whereas accuracy-oriented settings (e.g., sigma–delta with direct or rate coding) narrow the performance gap while remaining energy-conscious—yielding up to threefold efficiency compared with matched ANNs in our setup. Thresholds and the number of time steps are decisive factors: intermediate thresholds and the minimal time window that still meets accuracy targets typically maximize efficiency per joule. We distill actionable design rules—choose the neuron–encoding pair according to the application goal (accuracy-critical vs. energy-constrained) and co-tune thresholds and time steps. Finally, we outline how event-driven neuromorphic hardware can amplify these savings through sparse, local, asynchronous computation, providing a practical playbook for embedded, real-time, and sustainable AI deployments. Full article
(This article belongs to the Section Electrical and Electronic Engineering)
Show Figures

Figure 1

20 pages, 2856 KB  
Article
Overview of Cement Bond Evaluation Methods in Carbon Capture, Utilisation, and Storage (CCUS) Projects—A Review
by Paulus Tangke Allo, Reza Rezaee and Michael B. Clennell
Eng 2025, 6(11), 303; https://doi.org/10.3390/eng6110303 - 1 Nov 2025
Cited by 1 | Viewed by 520
Abstract
Cement bond evaluation helps check wellbore integrity and zonal isolation in carbon capture, utilisation, and storage (CCUS) projects. This overview describes various cement bond evaluation methods, focusing on acoustic logging and ultrasonic imaging tools supplemented by emerging data-driven interpretation techniques. Their advantages, limitations, [...] Read more.
Cement bond evaluation helps check wellbore integrity and zonal isolation in carbon capture, utilisation, and storage (CCUS) projects. This overview describes various cement bond evaluation methods, focusing on acoustic logging and ultrasonic imaging tools supplemented by emerging data-driven interpretation techniques. Their advantages, limitations, and recent advancements are described with illustrative example on ultrasonic-image-based machine learning classifier that detect microannulus. Key research gaps remain in field-scale validation of long-term cement behaviour and in establishing comprehensive 3-D bond-strength benchmarks. To address these gaps, this review recommends (i) creating an open, standardised ML dataset for CCUS well logs, (ii) adopting best-practice pressure-monitoring protocols during and after injection, and (iii) integrating ML analytics with advanced modelling while exploring alternative binder systems. The next step is to test these ML models on real CO2-storage well data, paving the way toward more reliable cement-bond integrity assessments in future CCUS projects. Full article
(This article belongs to the Section Chemical, Civil and Environmental Engineering)
Show Figures

Figure 1

19 pages, 1929 KB  
Article
Detection and Classification of Defects on Metal Surfaces Based on a Lightweight YOLOX-Tiny COCO Network
by João Duarte, Manuel Fernandes Claro, Pedro M. A. Vitoriano, Tito G. Amaral and Vitor Fernão Pires
Eng 2025, 6(11), 302; https://doi.org/10.3390/eng6110302 - 1 Nov 2025
Viewed by 984
Abstract
The detection of metallic surface defects is an essential task to control the quality of industrial products. During the production of metal materials, several defect types may appear on the surface, accompanied by a large amount of background texture information, leading to false [...] Read more.
The detection of metallic surface defects is an essential task to control the quality of industrial products. During the production of metal materials, several defect types may appear on the surface, accompanied by a large amount of background texture information, leading to false or missing detections during small-defect detection. Computer vision is a crucial method for the automatic detection of defects. Yet, this remains a challenging problem, requiring the continuous development of new approaches and algorithms. Furthermore, many industries require fast and real-time detection. In this paper, a lightweight deep learning model is presented for implementation on embedded devices to perform in real time. The YOLOX-Tiny model is used for detecting and classifying metallic surface defect types. The YOLOX-Tiny has 5.06M parameters and only 6.45 GFLOPs, yet performs well, even with a smaller model size than its counterparts. Extensive experiments on the dataset demonstrate that the proposed model is robust and can meet the accuracy requirements for metallic defect detection. Full article
(This article belongs to the Special Issue Emerging Trends and Technologies in Manufacturing Engineering)
Show Figures

Figure 1

Previous Issue
Next Issue
Back to TopTop