Next Article in Journal
Carbon and Nitrogen Stocks and Soil Organic Matter Persistence under Native Vegetation along a Topographic and Vegetation Gradient in the Central Amazon Region
Previous Article in Journal
Fast High-Resolution pKa Spectrotitrimetry for Quantification of Surface Functional Groups of Retisols
 
 
Font Type:
Arial Georgia Verdana
Font Size:
Aa Aa Aa
Line Spacing:
Column Width:
Background:
Article

Ciliated Protist Communities in Soil: Contrasting Patterns in Natural Sites and Arable Lands across Italy

1
School of Biosciences and Veterinary Medicine, University of Camerino, Via Gentile III daVarano, 62032 Camerino, Italy
2
Zoological Survey of India, Prani Vigyan Bhawan, M-Block, New Alipore, Kolkata 700 053, West Bengal, India
3
National Centre for Coastal Research, Ministry of Earth Sciences, NIOT Campus, Chennai 600 100, Tamil Nadu, India
*
Authors to whom correspondence should be addressed.
Soil Syst. 2024, 8(2), 64; https://doi.org/10.3390/soilsystems8020064
Submission received: 15 March 2024 / Revised: 4 June 2024 / Accepted: 7 June 2024 / Published: 13 June 2024

Abstract

This study represents the first investigation of soil ciliate diversity and community structure in the Marche region, Italy, encompassing both natural sites and agro-ecosystems. The main aims were (i) to assess the ability of ciliates to discriminate between different types of land uses, i.e., arable lands and possible farming management practices [organic (ORG) vs. conventional (CON)], and forest (FOR) sites; and (ii) to investigate the relationships among ciliate communities and abiotic parameters at the studied sites. Soil samples were collected twice from 10 sites (5 forest (FOR) (natural soils) and 5 arable lands under different agricultural management systems (3 ORG (minimum tillage) and 2 CON (sod seeding)). Ciliate communities were studied using qualitative (non-flooded Petri dish) and quantitative methods (ciliate counts from permanent slides). Soil chemical–physical (texture, CEC, N, OM, C/N) parameters were also measured. Qualitative ciliate analysis allowed us to identify a total of 59 species representing 33 genera, 20 families, 13 orders, and 7 classes. ORG sites were the richest in species followed by CON and FOR. Multivariate analysis showed statistically significant differences between natural sites (FOR) and agricultural sites, and between ORG and CON management farming systems. CCA analysis revealed a positive correlation between the ciliate species and silt, clay, and pH in ORG sites, and sand, organic carbon, organic matter, total nitrogen, C/N ratio, and CEC (cation exchange capacity) in FOR sites, suggesting the significance of these parameters in shaping the ciliate communities. Altogether, these results showed the bioindicative potential of ciliate communities in discriminating between natural sites (FOR) and arable lands, and their capacity to discriminate, at least preliminarily, between different soil management systems (ORG vs. CON). Furthermore, this study highlights the high diversity of soil ciliates and their response to habitat variability.

1. Introduction

Within the vibrant realm of soil, an intricate tapestry of life unfolds brimming with an array of organisms. Astonishingly, just one square meter of soil may cradle more than a thousand animal species [1] and over half a million species of prokaryotes [2]. Amidst this diverse community, soil protists, particularly ciliates with short generation times, rapid reproduction, and elevated respiration rates [1,3,4], emerge as pivotal players in the microbial landscape. Positioned as keystone organisms within soil ecosystems [5], they play a crucial role in shaping the intricate web of soil life. Their prevalence provides vital functions in nutrient cycling, accelerating the turnover of soil bacterial biomass, processes like ammonification and nitrification, and rapid mineralization of organic nitrogen (N) and phosphorus (P) nutrients [3,6]. These activities, in turn, increase the bioavailability of soil nutrients [7,8], thereby enhancing the growth of plants and animals [9].
It is evident that a healthy and functional soil serves as the cornerstone of agricultural production, furnishing vital resources crucial for human well-being such as sustenance, livestock feed, and raw materials [10]. While conventional farming significantly contributes towards meeting the dietary needs of a burgeoning population [11], its heavy reliance on synthetic fertilizers, pesticides, and herbicides has led to profound environmental contamination and, over time, compromised ecosystem functionality [12,13]. In contrast, studies have shown that, organic farming presents a potentially more sustainable approach [14], fostering soil biodiversity and favorable ecological interactions, thereby mitigating adverse environmental repercussions compared with conventional practices [15,16,17].
However, the measurement of soil health in agro-ecosystems is primarily based on in situ measurements of various chemical–physical parameters such as pH, bulk density, nutrients, and pesticide levels. While these measurements offer quantitative insights into soil health dynamics over time and space, they fail to directly capture the impacts of different agricultural practices (i.e., conventional vs. organic farming) on soil organisms, thus overlooking the crucial role that soil organisms play in functions such as plant growth and nutrient cycling [18,19]. Consequently, there is a need for bioindicators capable of reflecting the diverse abiotic stressors affecting soil biodiversity and its functions in agricultural soil management. In this context, soil protists, especially ciliates (due to their unique ecological characteristics and responsiveness to soil conditions such as pH [20], nitrogen levels [21,22], soil moisture [23], and pesticide levels [24]), suggest a significant potential for bioindication in agricultural soil ecosystems. Many ciliate taxa can serve as markers of environmental stress in the soil ecosystem [25,26,27], and they become invaluable for monitoring major soil pollutants, contaminants, and transformations in land use [28,29,30,31,32,33]. Despite their potential, the utilization of soil ciliates as bioindicators remains largely unexplored. Moreover, even basic information on the community structure of ciliates from agricultural fields, specifically as indicator species in agro-ecosystems, remains incomplete, with a few scattered reports targeting limited taxa [17,33,34].
This study aims to (i) assess the ability of ciliates to discriminate between different types of land uses, i.e., arable lands, possible farming management practices [organic (ORG) vs. conventional (CON)], and forest (FOR); and (ii) examine the relationships among ciliate communities and abiotic parameters at the investigated sites. Overall, the gathered data will contribute to the enrichment of the Italian ciliate checklist. This effort will help fill existing gaps in community structure studies concerning soil ciliates while simultaneously assessing their potential as bioindicators of soil health across both natural sites and arable lands in the Marche region (Italy). Finally, this study aims to provide a first baseline to discriminate between different land uses and agricultural management practices using ciliate as indicators.

2. Materials and Methods

2.1. Study Area

Soil sampling was carried out in the Marche region, Italy (Figure 1), twice in autumn (A) (October, 2011) and spring (S) (May 2012) at 10 sites representative of 5 natural forest (undisturbed virgin soils), hereafter defined as FOR; and 5 agricultural fields at 3 sites under organic management (ORG) with low soil disturbance (e.g., minimum tillage at 25 cm), and 2 sites under conventional management (CON) (e.g., sod seeding (no-tillage and chemical weed control)) (Figure 1). Forest sampling sites were represented by three beechwood and two mixed woodlands dominated by oak (Quercus pubescens) and chestnut (Castanea sativa). The agricultural (arable land) sites were cultivated with wheat in spring (hereafter S), with no crops present at the autumn (hereafter A) sampling. For each monitored season, soil samples were taken at the same topographical positions (Table 1). The sampling sites were previously selected by the soil observatory of the Marche region, which funded the MOSYSS (MOnitoring SYstem of Soils at multi Scale) project, within which part of the activities described in this study were carried out [35,36]. The Marche region has a Mediterranean-type climate in the coastal areas and in the middle of the hills, which gradually becomes sub-Mediterranean in the interior. The mean annual temperature is 12.5 °C, and the mean annual precipitation is about 780 mm. The geological substrates and other data are summarized in Table 1.

2.2. Soil Sampling and Sample Processing

From each site, ten soil samples were randomly collected from a 100 m2 area at a depth of 0–10 cm using an Edelman auger. These samples were then combined to form a composite sample weighing approximately 1 kg, which was sealed in a sterile plastic bag and transported to the laboratory. To prevent cross-contamination between soil samples from different locations, the Edelman auger underwent a thorough cleaning process by (1) scrubbing off adhering soil particles with a metal brush, (2) rinsing with tap water, (3) immersion in a 10% bleach solution for 5 min, and (4) a final rinse with sterile water. The cleaned auger was then stored in a sterile plastic bag until its next use [37,38].
The resulting soil samples were divided into approximately two halves. One half was used to measure the main chemical–physical parameters, while the other half was used for the qualitative and quantitative assessment of the ciliate communities (Table 2). Soil texture analyses and further chemical analyses were performed at the laboratory of Agrochemistry of AMAP (Marche, Agricoltura, Pesca, https://www.amap.marche.it/, accessed on 12 January 2024), as described by Kumar et al. [39].
For ciliate analysis, soil samples were dried for two weeks at room temperature in the laboratory to promote cyst maturation and subsequent ciliate excystment, following the non-flooded Petri dish method [29]. To avoid potential contamination from airborne ciliate cysts, soil samples were covered with straw paper, as also indicated by Ning et al. [4]. Live observations were conducted under a microscope with bright field illumination at magnifications ranging from 100× to 1000×. The cells’ body shape and flexibility were observed without applying coverslip pressure, and protargol staining [40] was utilized to reveal their ciliature for species identification.
To conduct qualitative ciliate abundance analyses, we utilized a counting method based on the non-flooded Petri dish approach, wherein about 5 mL of soil runoffs was collected on the 2nd, 5th, and 7th days. Subsequently, three permanent protargol-stained slides were prepared from each of the collected runoffs for the 2nd, 5th, and 7th days. These slides were then utilized for the direct identification and counting of species. Average values were calculated by summing the specimens of each species present on the slides made from runoffs of the 2nd, 5th, and 7th days and dividing accordingly. The number of specimens varied widely, ranging from as few as 2 to over 1500 for species identified.

2.3. Statistical Analysis

The spatial distribution of ciliate species in the study areas was analyzed through multivariate methods. Using Bray–Curtis similarity-based cluster analysis, ciliate abundance data (which accounted for up to 92% of the total abundance) were transformed using the square root and classified into assemblages following standard protocols [41,42,43]. The contribution of each species and spatial differences in ciliate assemblages were assessed using SIMPROF (similarity percentage analysis) [43]. To study biotic–abiotic interactions, square-root-transformed ciliate abundance data were analyzed using unimodal canonical correspondence analysis (CCA) to elucidate variations in ciliate composition across the different investigated sites [44]. Monte Carlo randomization tests (499 permutations under the reduced model with inter-species distance matrix) were conducted to evaluate the probability of observed patterns [45]. Additionally, alpha diversity metrics, including species richness (S), Margalef’s richness index (d’), Shannon–Weiner diversity (H’), and Pielou’s evenness index (J’), were computed to highlight patterns of ciliate diversity across the different site groups. Differences between group sites in relation to diversity indices and abundance data were evaluated through one-way analysis of variance (ANOVA) followed by Tukey’s post hoc test (p < 0.05). Before ANOVA, the normality and homogeneity of the data were tested. The PRIMER v6.1 software package (PRIMER-E, Plymouth, UK, 2001), developed by Clarke and Gorley [43], was utilized for all the univariate and multivariate procedures described earlier. For canonical correspondence analysis (CCA), CANOCO v4.5 [46] was employed. The box plots were obtained using Origin v8. Indicator species analysis (ISA) [47,48] was carried out using software developed by Prof. Michele Scardi (available on request at http://ecologia.uniroma2.it/, accessed on 15 January 2024).

3. Results

3.1. Ciliate Community Structure and Indicator Species Analysis in Organic (ORG), Conventional (CON), and Forest (FOR) Sites

A total of 59 species representing 33 genera, 20 families, 13 orders, and 7 classes were identified. The ciliate abundance data were subjected to cluster analysis based on the Bray–Curtis similarity index using the group average similarity (Figure 2). Seventeen ciliate taxa were included in the analysis, collectively contributing 92% of the total ciliate population. These taxa comprised Colpoda inflata, Colpoda cucullus, Colpoda steinii, Sterkiella tricirrata, Gonostomum affine, Halteria grandinella, Actinobolina sp., Cyrtolophosis mucicola, Oxytricha sp1., Blepharisma sp1., Nassulides sp1., Euplotes sp., Spathidium sp2., Aspidisca sp., Sterkiella cavicola, Urosomoida sp2., and Anteholosticha sp. It is interesting to note that the cluster analysis revealed the following three distinct clusters representing different study areas: ORG (arable land under organic management; 1A, 1S, 2A, 2S, 3A, 3S), CON (arable land under conventional management; 4A, 4S, 5A, 5S), and FOR (forest; 6A, 6S, 7A, 7S, 8A, 8S, 9A, 9S, 10A, and 10Aa) (Figure 2, Table 1). The analysis of similarity (ANOSIM) between these ciliate assemblages indicated statistically significant results, with a global R-value of 0.850 at p < 0.001.
Based on the results of the cluster analysis, the community structures of soil ciliates from the three identified study areas were treated separately and the contribution of each taxonomic group to the total population was measured (Figure 3). Notably, class Colpodea was found to be more abundant than the other groups, contributing up to 48%, 63%, and 59% in ORG (organic), CON (conventional), and FOR (forest), respectively, followed by Spirotrichea (38%, 26%, and 25%), Litostomatea (11%, 9%, and 10%), and others (3%, 2%, and 6%).
Indicator species analyses (ISA) were performed for ciliates across the ORG, CON, and FOR sites, considering significant indicator values (IndVal) as a percentage of perfect indication based on relative abundance and frequency [47,48]. A total of nine indicator species were identified across the three group sites. Four indicator species were identified in ORG (Actinobolina sp. (IndV = 50.3, p = 0.0495), Anteholosticha sp. (IndV = 83.3, p = 0.0013), Aspidisca sp. (IndV = 100, p = 0.0001), and Halteria grandinella (IndV = 62.6, p = 0.024)); two in FOR (Colpoda inflata (IndV = 80.2, p = 0.0001) and Gonostomum affine (IndV = 62.9, p = 0.0024)); three in CON (Colpoda cucullus (IndV = 74.5, p = 0.0005), Frontonia sp., (IndV = 47.05, p = 0.0192), and Rigidocortex octanucleatus (IndV = 50, p = 0.0001)) (Table 3).

3.2. Diversity and Abundances of Ciliates

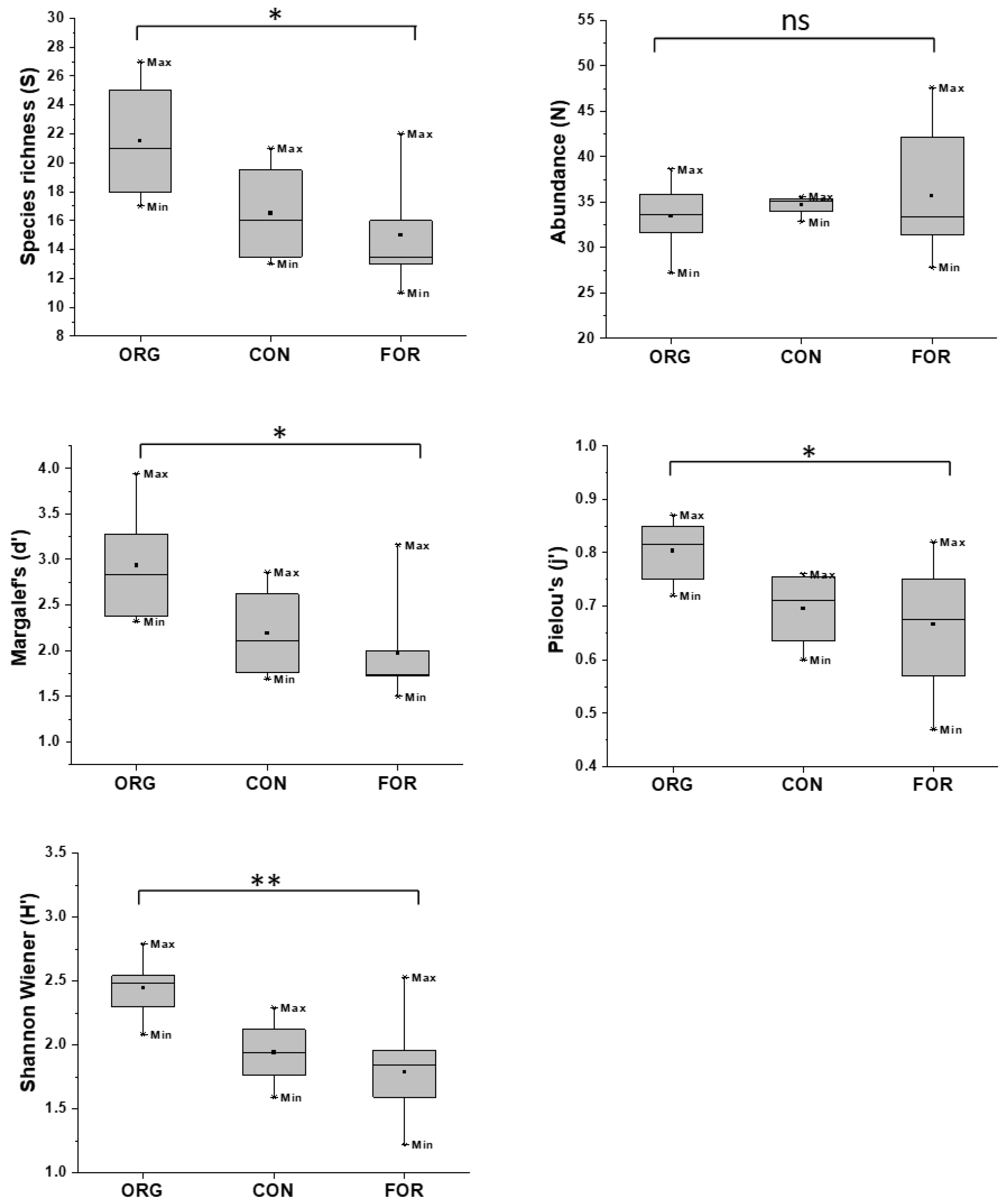
Ciliate diversity indices were measured using the algorithms developed in the Primer 6 software package, and it was found that the ORG sites had higher diversity indices, except for abundance value, which was higher in the FOR sites. Species richness (S) ranged from 11 to 27, with an average of 17.25. The lowest value (11) was recorded at 8S located in FOR and the highest at 3A in ORG (Table 4). Statistical analysis using ANOVA applied to the species richness data of three different sites showed a significant difference between them at p < 0.05. Similarly, the alpha diversity indices measured based on the abundance data for the three group sites are presented in the form of box plots (Figure 4). Abundance (N), Margalef’s index (d’), Pielou’s (J’), and Shannon Weiner (H’), were also subjected to ANOVA, and it was found that, except for abundance (N), the analyzed diversity indices showed statistically significant variation between the three group sites (Figure 4, Table 4).

3.3. Ciliate Communities and Correlation with Abiotic Parameters across ORG, CON, and FOR Sites

In order to identify the abiotic parameters most involved in the structuring of the ciliated protist communities in the different areas studied, a canonical correspondence analysis (CCA) was applied. The square-root-transformed ciliate abundance data were projected for canonical correspondence analysis (CCA) along with the soil characteristics to understand the biotic and abiotic relationships (Figure 5, Table 5). The first canonical axis explained with the highest eigenvalue (0.326) delineated the main environmental gradient within the study area. This axis showed positive correlations with soil variables such as silt, pH, and clay, characterizing the ORG sites. Conversely, variables including sand, organic carbon, organic matter, total nitrogen, C/N ratio, and CEC (cation exchange capacity) displayed negative correlations, distinguishing the FOR sites from the others. Total phosphorus (TP) displayed homogeneous distribution across both FOR and CON sites. The species–environment relationship variance was notably high along axis 1 (42.9%), highlighting ciliate species such as Colpoda inflata, Colpoda steinii, Spathidium sp2., Cyrtolophosis mucicola, Gonostomum affine, and Oxytricha sp1., signifying the ORG sites. In contrast, Sterkiella tricirrata, Halteria grandinella, Actinobolina sp., Blepharisma sp1., Nassulides sp1., Euplotes sp., Aspidisca sp., and Anteholosticha sp. were highly correlated with the FOR sites. Colpoda cucullus and Urosomoida sp2. were the only species positively correlated with the CON sites. Three site groups were again identified in CCA by considering the correlation values of soil characteristics and Bray–Curtis analysis superimposition. Collectively, the first two axes explained over two-thirds of the spatial variation in the ciliate community, accounting for 62.6% of the total 88.2% constrained variability by the measured variables. The influence of canonical axis 1 was particularly pronounced (F = 0.661, p = 0.028), as validated by Monte Carlo permutation tests (499 permutations under the full model).

4. Discussion

The abundance and species compositions of soil organisms are closely associated with the type and physical characteristics of the soil and agricultural management practices and land uses. In this regard, the habitats of ciliated protists also exhibit temporal and spatial heterogeneity, leading to an uneven distribution of their communities in soils [49,50,51].
Multivariate analysis has been shown to be best at characterizing changes in the community structure and explaining how they vary along environmental gradients [52]. In our study, Bray–Curtis similarity was used to plot the canonical correspondence analysis of principal coordinates (CAP) and, interestingly, it showed three distinct ciliate community assemblages. In this respect, the first canonical axis separated the ciliate community present in the organic farming sites (ORG: 1A, 1S, 2A, 2S, 3A, 3S) from that present in the conventional farming sites (CON: 4A, 4S, 5A, 5S), even though these sites were included in the arable land category. The third group was represented by the community living in the forest sites (FOR: 6A, 6S, 7A, 7S, 8A, 8S, 9A, 9S, 10A, 10Aa), with global ANOSIM R = 0.85; p ≤ 0.001.
Our results showed that the composition of ciliates significantly varied between the three sites, namely ORG, CON, and FOR, with the predominant groups being Colpodea and Spirotrichea. According to Foissner [29], the taxonomic composition of ciliates is related to the morphological and ecological characteristics of each ciliate taxa. The dominance of these two groups can be attributed to their ecological traits, which enable them to readily adapt to soil habitats. For instance, species of Colpodea can encyst during periods of decreased soil moisture and excyst promptly when soil moisture increases [53,54]. Conversely, Spirotrichs have the ability to maneuver into adjacent soil granules or litter in search of food due to their dorsoventrally flattened bodies [54,55].
In the arable land sites under organic management practices, 48% of the ciliates were represented by the Colpodea family, compared with 63% and 59% in CON and FOR sites, respectively. This result is consistent with the Colpodea and Polyhymenophorean (C/P) quotient (ratio of r-selected Colpodean and k-selected Polyhymenophorean ciliates), a commonly used metric to assess habitat preference/suitability for ciliate species [29]. Generally, values below 1 indicate that the habitat is “ordinary” and predictable, whereas a value above 1 indicates that the habitat is harsher and unpredictable. In our study, ORG sites showed the lowest values, with C/P = 1.24, indicating a comparatively more suitable soil habitat for ciliates (at least for some ciliate taxa) than CON and FOR sites, with C/P = 2.33 and C/P = 2.10, respectively. In this respect, colpodids are known to be opportunistic r-selected generalists, tolerating fluctuations in humidity and temperature by rapidly encysting and excysting, and rapidly transitioning between active and dormant states [28,29]. In addition, species of the genus Colpoda contribute to increased abundance due to their short generation time and unique reproductive strategy, i.e., cyst division, which often produces more than two daughter cells. On the contrary, Polyhymenophorean ciliates are more abundant in less stressed “ordinary” soils. Consequently, the C/P quotient is often used to differentiate stressed soil systems from less stressed ones. Thus, the higher value observed in CON and FOR sites in our study indicates that these sites are less suitable for Polyhymenophorean species.
Indicator species analysis identified nine ciliate species that were significantly associated with the different investigated land uses (see Table 2). Notably, the relative abundance and frequency of ciliate species characteristic to each site were identified: Actinobolina sp., Anteholosticha sp., and Halteria grandinella were prominent for the ORG site; Colpoda cucullus, Frontonia sp., and Rigidocortex octonucleatus for the CON site; and Colpoda inflata and Gonostomum affine for the FOR site, based on their significant indicator values as a percentage of perfect indication (see Table 3).
Comparing the diversity indices (H’, d’, J’) measured at the three sites ORG, CON, and FOR showed that ORG had significantly higher values than CON and FOR for all the indices studied. In this respect, the ORG sites showed higher mean values for Margalef’s index (d’ = 2.9), Pielou’s index (J’ = 0.8), and Shannon–Weiner (H’ = 2.45) than for CON (d’ = 2.2; J’ = 0.7; H’ = 1.9) and FOR (d’ = 2; J’ = 0.7; H’ = 1.8). In addition, species richness (S) was higher in ORG than in the other sites, ranging from 17 to 27 (mean = 21), followed by 13 to 21 (mean = 16) and 11 to 22 (mean = 15) in CON and FOR, respectively. This indicates that ORG sites were the most diverse and richest in species compared with the CON and FOR sites. Overall, these results support the “intermediate disturbance hypothesis” (IDH), which states that slightly disturbed habitats (such as arable lands under minimumtillage farming practices) usually have higher organism diversities than stable ones [56,57]. In this regard, organically managed arable lands (ORG) are subject to frequent tillage, albeit at a shallow depth (minimum tillage, 15–20 cm). This light but constant mechanical treatment over the seasons helps to create ecological niches suitable for maintaining a rich and diverse soil ciliate community. In contrast, the CON sites were subjected to a different treatment at soil level, namely sod seeding, a conservative agronomic soil management technique that involves no-tillage of the herbaceous cover crops to reduce soil erosion and maintain a physical fertility comparable to that of natural soils. From this point of view (e.g., lack of mechanical disturbance at soil level), the CON sites were more similar to the FOR sites in terms of ciliate community structure, as also highlighted by the cluster and CCA analyses and the diversity data (Figure 2 and Figure 4).
Previous studies of biotic–abiotic relationships have revealed the significant role of variations in physicochemical parameters in influencing the abundance, distribution, and diversity of ciliates [58,59,60]. In this study, canonical correspondence analysis (CCA) was carried out in order to elucidate the multiple linear relationships between ciliate species and soil parameters (refer to Table 5, Figure 5). In this regard, CCA explained up to 42.9% of the total variance in ciliate community structure. The presence of species from the genera Colpodea and Spathidium indicated that factors like silt and clay content, along with soil pH, play pivotal roles in determining the distribution of ciliate communities. For instance, Spathidium species are typically found in alkaline environments with pH ranging from 7.9 to 8.5 [61], while Colpodida, a dominant group, thrives in moisture-rich conditions, particularly in silt and clay soils [53,54]. Factors such as the texture and moisture of the soil content are recognized as key regulators of soil ciliates populations. Previous research has highlighted the significant effects of soil moisture, texture, and structure on ciliate abundances [62,63]. Additionally, various soil parameters like pH, organic matter content, and nutrient levels (such as total nitrogen and phosphorus) also impact ciliate communities [62,63]. While there is extensive research on the relationships between ciliate abundances and factors like soil texture, moisture, and pH, there is limited information on their associations with specific nutrients like ammonia-nitrogen and nitrate-nitrogen. However, studies have shown that total nitrogen levels can influence the abundance of soil protists, suggesting a potential link between nutrient availability and ciliate populations.

5. Conclusions

Overall, the results of this study confirm the suitability of the soil protist community and its diversity as a bioindicator of different land uses. Moreover, the approach utilized herein successfully discerned differences in the community structure of soil ciliates under different agricultural management practices, with organic practices showing the most favorable outcomes. The correlations between observed and predicted values were all significant, highlighting the association of species distribution with abiotic parameters (such as pH, soil texture, and organic matter) and the distinction between different agricultural practices (ORG vs. CON), underscoring the importance of these parameters in shaping ciliate communities at the investigated sites (Figure 5). Altogether, these results showed the bioindicative potential of ciliate communities in discriminating between natural sites (FOR) and arable lands, and their capacity to discriminate, at least preliminarily, between different soil management systems (ORG vs. CON).

Brief Notes on the Soil Ciliate Diversity from Italy

In the current study, out of 59 species representing 33 genera, 20 families, 13 orders, and 7 classes, 5 species were identified as new to science (Daizy Bharti, Santosh Kumar, and Antonietta La Terza, unpublished results). During the course of this study and other projects particularly focused on soil ciliates from various ecosystems in Italy carried out at “Soil Biodiversity and Monitoring Laboratory” of the University of Camerino, an unexpectedly high number of new species/genera (more than 15) of ciliates have been identified, some of which have already been published [38]. Additionally, many of the species identified (over 30) were new records for the Italian ciliate fauna. These findings are consistent with earlier reports [39,40,41,42,43,44,45,46,47,48,49,50,51,52,53,54,55,56,57,58,59,60,61,62,63,64,65] and support observations by other authors [9,10,11,12,13,14,15,16,17,18,19,20,21,22,23,24,25,26,27,28,29,30,31,32,33,34,35,36,37,38,39,40,41,42,43,44,45,46,47,48,49,50,51,52,53,54,55,56,57,58,59,60,61,62,63,64,65,66,67], underscoring the inadequate understanding of soil ciliate diversity. Given the importance of soil protists in the soils, there is a necessity for internationally coordinated research efforts to explore ciliate diversity and their functional roles in soils across various land use systems.

Author Contributions

Data curation, investigation, D.B., S.K. and C.K.B.; writing—original draft, D.B., S.K. and C.K.B.; writing—review and editing, D.B., S.K. and A.L.T.; resources, funding acquisition, and supervision, A.L.T. All authors have read and agreed to the published version of the manuscript.

Funding

This research is part of a larger project denominated as “MOSYSS” (MOnitoring SYstem of Soils at multi Scale) that was funded by the Rural Development Plan (RDP) 2007/2013. Measure 511 (f) of Marche Region (Italy) to A.L.T., Grant Number 18333_ALT.

Institutional Review Board Statement

Not applicable.

Informed Consent Statement

Not applicable.

Data Availability Statement

The data are available when required under the responsibility of the corresponding author.

Acknowledgments

This study is part of a larger project denominated as “MOSYSS” (MOnitoringSYstem of Soils at multi Scale) that was funded by the Marche region to ALT. The authors wish to greatly thank Silvia Marinsalti and Emilio Insom, School of Bioscience and Veterinary Medicine, University of Camerino (Italy) for help in sampling and for supporting them through all the stages of the research. The authors would like to thank Mauro Tiberi, Giovanni Ciabocco, and Cristina Bernacconi from the Regional Soil Observatory (http://suoli.regione.marche.it/, accessed on 15 January 2024) for their help in sampling and for sharing the pedological data. Furthermore, great thanks to all farmers for having facilitated and supported the research on their lands. Finally, the authors wish to greatly thank the three anonymous reviewers for improving the first version of the manuscript with their helpful suggestions and constructive criticisms.

Conflicts of Interest

The authors declare no conflicts of interest.

References

  1. Anderson, J.M.; Healey, I.N. Seasonal and interspecific variation in major components of the gut contents of some woodland Collembola. J. Anim. Ecol. 1972, 41, 359–368. [Google Scholar] [CrossRef]
  2. Torsvik, V.; Sorheim, R.; Goksoyr, J. Total bacterial diversity in soil and sediment communities—A review. J. Ind. Microbiol. 1996, 17, 170–178. [Google Scholar] [CrossRef]
  3. Li, J.; Li, M.G.; Yang, J.; Wang, C.F.; Ai, Y.; Xu, R.L. The community structure of soil Sarcodina in Baiyun Mountain, Guangzhou, China. Eur. J. Soil Biol. 2010, 46, 1–5. [Google Scholar] [CrossRef]
  4. Ning, Y.Z.; Shen, Y.F. Soil protozoa in typical zones of China: II. Ecological study. Acta Zool. Sin. 1998, 44, 271–276, (In Chinese with English abstract). [Google Scholar]
  5. Geisen, S.; Mitchell, E.A.D.; Wilkinson, D.M.; Adl, S.; Bonkowski, M.; Brown, M.W.; Fiore-Donno, A.M.; Heger, T.J.; Jassey, V.E.; Krashevska, V.; et al. Soil protistology rebooted: 30 fundamental questions to start with. Soil Biol. Biochem. 2017, 111, 94–103. [Google Scholar] [CrossRef]
  6. Acosta-Mercado, D.; Lynn, D.H. Soil ciliate species richness and abundance associated with the rhizosphere of different subtropical plant species. J. Eukaryot. Microbiol. 2004, 51, 582–588. [Google Scholar] [CrossRef] [PubMed]
  7. Frey, S.D.; Gupta, V.V.S.R.; Elliott, E.T.; Paustian, K. Protozoan grazing affects estimates of carbon utilization efficiency of the soil microbial community. Soil Biol. Biochem. 2001, 33, 1759–1768. [Google Scholar] [CrossRef]
  8. Sun, Y.X.; Lin, Q.M.; Zhao, X.R. Interaction of protozoa and phosphate-solubilizing bacteria on rock phosphate dissolution. Chin. J. Ecol. 2003, 22, 84–86. (In Chinese) [Google Scholar]
  9. Foissner, W.; Berger, H.; Xu, K.; Zechmeister-Boltenstern, S. A huge, undecided soil ciliate (Protozoa: Ciliophora) diversity in natural forest stands of Central Europe. Biodivers. Conserv. 2005, 14, 617–701. [Google Scholar] [CrossRef]
  10. Amundson, R.; Berhe, A.A.; Hopmans, J.W.; Olson, C.; Sztein, A.E.; Sparks, D.L. Soil and human security in the 21st century. Science 2015, 348, 1261071. [Google Scholar] [CrossRef]
  11. Santos, V.B.; Araújo, A.S.F.; Leite, L.F.C.; Nunes, L.A.P.L.; Melo, W.J. Soil microbial biomass and organic matter fractions during transition from conventional to organic farming systems. Geoderma 2012, 170, 227–231. [Google Scholar] [CrossRef]
  12. Tilman, D.; Fargione, J.; Wolff, B.; D’Antonio, C.; Dobson, A.; Howarth, R.; Schindler, D.; Schlesinger, W.H.; Simberloff, D.; Swackhamer, D. Forecasting agriculturally driven global environmental change. Science 2001, 292, 281–284. [Google Scholar] [CrossRef] [PubMed]
  13. Tu, C.; Louws, F.J.; Creamer, N.G.; Paul Mueller, J.; Brownie, C.; Fager, K.; Bell, M.; Hu, S. Responses of soil microbial biomass and N availability to transition strategies from conventional to organic farming systems. Agric. Ecosyst. Environ. 2006, 113, 206–215. [Google Scholar] [CrossRef]
  14. Blundell, R.; Schmidt, J.E.; Igwe, A.; Cheung, A.L.; Vannette, R.L.; Gaudin, A.C.M.; Casteel, C.L. Organic management promotes natural pest control through altered plant resistance to insects. Nat. Plants 2020, 6, 483–491. [Google Scholar] [CrossRef] [PubMed]
  15. Verbruggen, E.; Röling, W.F.M.; Gamper, H.A.; Kowalchuk, G.A.; Verhoef, H.A.; van der Heijden, M.G.A. Positive effects of organic farming on below-ground mutualists: Large-scale comparison of mycorrhizal fungal communities in agricultural soils. N. Phytol. 2010, 186, 968–979. [Google Scholar] [CrossRef] [PubMed]
  16. Lupatini, M.; Korthals, G.W.; de Hollander, M.; Janssens, T.K.S.; Kuramae, E.E. Soil microbiome is more heterogeneous in organic than in conventional farming system. Front. Microbiol. 2017, 7, 2064. [Google Scholar] [CrossRef] [PubMed]
  17. Guo, S.; Tao, C.; Jousset, A.; Xiong, W.; Wang, Z.; Shen, Z.; Wang, B.; Xu, Z.; Gao, Z.; Liu, S.; et al. Trophic interactions between predatory protists and pathogen-suppressive bacteria impact plant health. ISME J. 2022, 16, 1932–1943. [Google Scholar] [CrossRef] [PubMed]
  18. Giller, K.E.; Beare, M.H.; Lavelle, P.; Izac, A.-M.-N.; Swift, M.J. Agricultural intensification, soil biodiversity and agroecosystem function. Appl. Soil Ecol. 1997, 6, 3–16. [Google Scholar] [CrossRef]
  19. Wagg, C.; Bender, S.F.; Widmer, F.; van der Heijden, M.G.A. Soil biodiversity and soil community composition determine ecosystem multifunctionality. Proc. Natl. Acad. Sci. USA 2014, 111, 5266–5270. [Google Scholar] [CrossRef]
  20. Dupont, A.Ö.; Griffiths, R.I.; Bell, T.; Bass, D. Differences in soil micro eukaryotic communities over soil pH gradients are strongly driven by parasites and saprotrophs. Environ. Microbiol. 2016, 18, 2010–2024. [Google Scholar] [CrossRef]
  21. Zhao, Z.-B.; He, J.-Z.; Geisen, S.; Han, L.-L.; Wang, J.-T.; Shen, J.-P.; Wei, W.-X.; Fang, Y.-T.; Li, P.-P.; Zhang, L.-M. Protist communities are more sensitive to nitrogen fertilization than other microorganisms in diverse agricultural soils. Microbiome 2019, 7, 33. [Google Scholar] [CrossRef] [PubMed]
  22. Zhao, Z.-B.; He, J.-Z.; Quan, Z.; Wu, C.-F.; Sheng, R.; Zhang, L.-M.; Geisen, S. Fertilization changes soil microbiome functioning, especially phagotrophic protists. Soil Biol. Biochem. 2020, 148, 107863. [Google Scholar] [CrossRef]
  23. Geisen, S.; Bandow, C.; Jörg, R.; Bonkowski, M. Soil water availability strongly alters the community composition of soil protists. Pedobiologia 2014, 57, 205–213. [Google Scholar]
  24. Fournier, B.; Pereira Dos Santos, S.; Gustavsen, J.A.; Imfeld, G.; Lamy, F.; Mitchell, E.A.D.; Mota, M.; Noll, D.; Planchamp, C.; Heger, T.J. Impact of a synthetic fungicide (fosetyl-Al and propamocarb-hydrochloride) and a biopesticide (Clonostachysrosea) on soil bacterial, fungal, and protist communities. Sci. Total Environ. 2020, 738, 139635. [Google Scholar] [CrossRef] [PubMed]
  25. Coppellotti, O.; Matarazzo, P. Ciliate colonization of artificial substrates in the Lagoon of Venice. J. Mar. Biol. Assoc. U.K. 2000, 80, 419–427. [Google Scholar] [CrossRef]
  26. Xu, H.; Jiang, Y.; Al-Rasheid, K.S.; Al-Farraj, S.; Song, W. Application of an indicator based on taxonomic relatedness of ciliated protozoan assemblages for marine environmental assessment. Environ. Sci. Pollut. Res. Int. 2011, 18, 1213–1221. [Google Scholar] [CrossRef] [PubMed]
  27. Debastiani, C.; Meira, B.R.; Lansac-Tôha, F.M.; Velho, L.F.M.; Lansac-Tôha, F.A. Protozoa ciliates community structure in urban streams and their environmental use as indicators. Braz. J. Biol. 2016, 76, 1043–1053. [Google Scholar] [CrossRef] [PubMed]
  28. Lüftenegger, G.; Foissner, W.; Adam, H. r- and k-selection in soil ciliates: A field and experimental approach. Oecologia 1985, 66, 574–579. [Google Scholar] [CrossRef] [PubMed]
  29. Foissner, W. Soil protozoa: Fundamental problems, ecological significance, adaptations in ciliates and testaceans, bioindicators, and guide to the literature. Prog. Protistol. 1987, 2, 69–212. [Google Scholar]
  30. Yeates, G.W.; Bamforth, S.S.; Ross, D.J.; Tate, K.R.; Sparling, G.P. Recolonization of methyl bromide sterilized soils under four different field conditions. Biol. Fert. Soils 1991, 11, 181–189. [Google Scholar] [CrossRef]
  31. Foissner, W. Soil protozoa as bioindicators: Pros and cons, methods, diversity representative examples. Agric. Ecosyst. Environ. 1999, 74, 95–112. [Google Scholar] [CrossRef]
  32. Mayzlish, E.; Steiberger, Y. Effects of chemical inhibitors on soil protozoan dynamics in a desert ecosystem. Biol. Fert. Soils 2004, 39, 415–421. [Google Scholar] [CrossRef]
  33. Zhang, W.; Lin, Q.; Li, G.; Zhao, X. The ciliate protozoan Colpodacucullus can improve maize growth by transporting soil phosphates. J. Integr. Agric. 2022, 21, 855–861. [Google Scholar] [CrossRef]
  34. Abraham, J.S.; Sripoorna, S.; Dagar, J.; Jangra, S.; Kumar, A.; Yadav, K.; Singh, S.; Goyal, A.; Maurya, S.; Gambhir, G.; et al. Soil ciliates of the Indian Delhi Region: Their community characteristics with emphasis on their ecological implications as sensitive bio indicators for soil quality. Saudi J. Biol. Sci. 2019, 26, 1305–1313. [Google Scholar] [CrossRef] [PubMed]
  35. Tiberi, M.; Ciabocco, G.; Bernacconi, C.; Bampa, F.; Dunbar, M.B.; Montanarella, L. MOSYSS (MOnitoringSYstem of Soils at multiScale)–Monitoring System of Physical, Chemical and Biological Soil Parameters in Relation to Forest and Agricultural Land Management; Report EUR 26386 EN; Publications Office of the European Union: Luxembourg, 2014; pp. 1–136. [Google Scholar]
  36. Bharti, D.; Kumara, S.; La Terza, A. Description and molecular phylogeny of a novel hypotrich ciliate from the soil of Marche Region, Italy; including notes on the MOSYSS Project. J. Eukaryot. Microbiol. 2017, 64, 678–690. [Google Scholar] [CrossRef] [PubMed]
  37. Pepper, I.L.; Gerba, C.P.; Gentry, T.; Maier, R.M. (Eds.) Chapter 8. Environmental sample collection and processing. In Environmental Microbiology, 2nd ed.; Elsevier Science: Amsterdam, The Netherland, 2009; pp. 1–598. [Google Scholar]
  38. Bharti, D.; Kumar, S.; La Terza, A. Two gonostomatid ciliates from the soil of Lombardia, Italy; including note on the soil mapping project. J. Eukaryot. Microbiol. 2015, 62, 762–772. [Google Scholar] [CrossRef] [PubMed]
  39. Kumar, S.; Bharti, D.; Marinsalti, S.; Insom, E.; La Terza, A. Morphology, morphogenesis, and molecular phylogeny of Paraparentocirrussibillinensis n. gen., n. sp., a “StylonychineOxytrichidae” (Ciliophora, Hypotrichida) without transverse cirri. J. Eukaryot. Microbiol. 2014, 61, 247–259. [Google Scholar] [CrossRef] [PubMed]
  40. Kamra, K.; Sapra, G.R. Partial retention of parental ciliature during morphogenesis of the ciliate Coniculostomummonilata (Dragesco and Njine, 1971) Njine, 1978 (Oxytrichidae, Hypotrichida). Eur. J. Protistol. 1990, 25, 264–278. [Google Scholar] [CrossRef] [PubMed]
  41. Clarke, K.R.; Green, R.H. Statistical design and analysis for a “biological effects” study. Mar. Ecol. Prog. Ser. 1988, 46, 213–226. [Google Scholar] [CrossRef]
  42. Clark, K.R.; Warwick, R.M. Change in Marine Communities: An Approach to Statistical and Interpretation; PlymouthMarine Laboratory: Plymouth, UK, 2001. [Google Scholar]
  43. Clarke, K.; Gorley, R. PRIMER v6: User Manual/Tutorial; Primer-E: Plymouth, UK, 2006; p. 192. [Google Scholar]
  44. TerBraak, C.J. Canonical correspondence analysis: A new eigenvector technique for multivariate direct gradient analysis. Ecology 1986, 67, 1167–1179. [Google Scholar] [CrossRef]
  45. TerBraak, C.J.; Verdonschot, F.M. Canonical correspondence analysis and related multivariate methods in aquatic ecology. Aquat. Sci. 1995, 57, 255–289. [Google Scholar] [CrossRef]
  46. TerBraak, C.J.F.; Smilauer, P. CANOCO Reference Manual and CanoDraw for Windows User’s Guide: Software for Canonical Community Ordination (Version 4.5); Microcomputer Power: Ithaca, NY, USA, 2002. [Google Scholar]
  47. Dufrêne, M.; Legendre, P. Species assemblages and indicator species: The need for a flexible asymmetrical approach. Ecol. Monogr. 1997, 67, 345–366. [Google Scholar] [CrossRef]
  48. Bakker, J.D. Increasing the utility of Indicator Species Analysis. J. Appl. Ecol. 2008, 45, 1829–1835. [Google Scholar] [CrossRef]
  49. Taylor, W.D.; Shuter, B.J. Body size, genome size, and intrinsic rate of increase in ciliated protozoa. Am. Nat. 1981, 118, 160–172. [Google Scholar] [CrossRef]
  50. Jackson, K.M.; Berger, J. Survivorship curves of ciliate protozoa under starvation conditions and at low bacterial levels. Protistologica 1985, 21, 17–24. [Google Scholar]
  51. Acosta-Mercado, D.; Lynn, D.H. A preliminary assessment of spatial patterns of soil ciliate diversity in two subtropical forests in Puerto Rico and its implications for designing an appropriate sampling approach. Soil Biol. Biochem. 2002, 34, 1517–1520. [Google Scholar] [CrossRef]
  52. Jiang, Y.; Xu, H.; Hu, X.; Zhu, M.; Al-Rasheid, K.A.; Warren, A. An approach to analyzing spatial patterns of planktonic ciliate communities for monitoring water quality in Jiaozhou Bay, northern China. Mar. Pollut. Bull. 2011, 62, 227–235. [Google Scholar] [CrossRef] [PubMed]
  53. Foissner, W. Colpodea (Ciliophora); Gustav Fischer Verlag: Stuttgart, Germany; Jena, NY, USA, 1993; p. 798. [Google Scholar]
  54. Foissner, W.; Agatha, S.; Berger, H. Soil ciliates (Protozoa, Ciliophora) from Namibia (Southwest Africa), with emphasis on two contrasting environments, the Etosha Region and the Namib Desert. Denisia 2002, 5, 1–1459. [Google Scholar]
  55. Ning, Y.Z.; Wu, W.N.; Du, H.F.; Wang, H.J. Response of soil ciliate communities to ecological restoration after the implementation of the conversion of cropland to forest and grassland program: A case study of Platycladusorientalis forest. Acta Ecol. Sin. 2016, 36, 288–297. [Google Scholar]
  56. Grime, J. Competitive exclusion in herbaceous vegetation. Nature 1973, 242, 344–347. [Google Scholar] [CrossRef]
  57. Connell, J.H. Diversity in tropical rain forests and coral reefs. Science 1978, 199, 1302–1310. [Google Scholar] [CrossRef] [PubMed]
  58. Amblard, C.; Sime-Ngando, T.; Rachiq, S.; Bourdier, G. Importance of ciliated protozoa in relation to the bacterial and phytoplanktonic biomass in an oligo-mesotrophic lake, during the spring diatom bloom. Aquat. Sci. 1993, 55, 1–9. [Google Scholar] [CrossRef]
  59. Kchaou, N.; Elloumi, J.; Drira, Z.; Hamza, A.; Ayadi, H.; Bouain, A.; Aleya, L. Distribution of ciliates in relation to environmental factors along the coastline of the Gulf of Gabes, Tunisia. Estuar. Coast Shelf Sci. 2009, 83, 414–424. [Google Scholar] [CrossRef]
  60. Wu, F.; Huang, J.; Dai, M.; Liu, H.; Huang, H. Using ciliates to monitor different aquatic environments in Daya Bay, South China Sea. Can. J. Zool. 2016, 94, 265–273. [Google Scholar] [CrossRef]
  61. Foissner, W. Terrestrial and semiterrestrial ciliates (Protozoa, Ciliophora) from Venezuela and Galápagos. Denisia 2016, 35, 1–912. [Google Scholar]
  62. Vargas, R.; Hattori, T. The distribution of protozoa among soil aggregates. FEMS Microbiol. Ecol. 1990, 74, 73–78. [Google Scholar] [CrossRef]
  63. Ekelund, F.; Rønn, R. Notes on protozoa in agricultural soil with emphasis on heterotrophic flagellates and naked amoebae and their ecology. FEMS Microbiol. Rev. 1994, 15, 321–353. [Google Scholar] [CrossRef] [PubMed]
  64. Forge, T.A.; Hogue, E.; Neilsen, G.; Neilsen, D. Effects of organic mulches on soil microfauna in the root zone of apple: Implications for nutrient fluxes and functional diversity of the soil food web. Appl. Soil. Ecol. 2003, 22, 39–54. [Google Scholar] [CrossRef]
  65. Bharti, D.; Kumar, S.; La Terza, A. Morphology, morphogenesis and molecular phylogeny of a novel soil ciliate, Pseudouroleptusplestiensis n. sp. (Ciliophora, Oxytrichidae), from the uplands of Colfiorito, Italy. Int. J. Syst. Evol. Microbiol. 2014, 64, 2625–2636. [Google Scholar] [CrossRef]
  66. Chao, A.; Li, P.C.; Agatha, S.; Foissner, W. A statistical approach to estimate soil ciliate diversity and distribution based on data from five continents. Oikos 2006, 114, 479–493. [Google Scholar] [CrossRef]
  67. Foissner, W.; Chao, A.; Katz, L. Diversity and geographic distribution of ciliates (Protista: Ciliophora). Biodivers. Conserv. 2008, 17, 345–363. [Google Scholar] [CrossRef]
Figure 1. Study area showing the sampling locations. The highlighted region in the upper inset map shows the Marche region, while the larger map shows two of the five provinces in the Marche region, i.e., Ancona (sites 4 and 5) and Macerata (sites 1–3 and 7–10), where samplings were performed. The red triangles mark the ORG farm, the black boxes mark the CON farms, and the blue inverted triangles mark the forest sites.
Figure 1. Study area showing the sampling locations. The highlighted region in the upper inset map shows the Marche region, while the larger map shows two of the five provinces in the Marche region, i.e., Ancona (sites 4 and 5) and Macerata (sites 1–3 and 7–10), where samplings were performed. The red triangles mark the ORG farm, the black boxes mark the CON farms, and the blue inverted triangles mark the forest sites.
Soilsystems 08 00064 g001
Figure 2. Bray–Curtis similarity based cluster analysis was performed on the square-root-transformed dominant ciliate taxa abundance data that contributed 92% of the total population through group average linking for classifying the ciliate assemblages. ANOSIM global R = 0.85; p ≤ 0.001. Red triangles mark the ORG farms, black boxes mark the CON farms, and blue inverted triangles mark the forest sites.
Figure 2. Bray–Curtis similarity based cluster analysis was performed on the square-root-transformed dominant ciliate taxa abundance data that contributed 92% of the total population through group average linking for classifying the ciliate assemblages. ANOSIM global R = 0.85; p ≤ 0.001. Red triangles mark the ORG farms, black boxes mark the CON farms, and blue inverted triangles mark the forest sites.
Soilsystems 08 00064 g002aSoilsystems 08 00064 g002b
Figure 3. Composition of ciliates at the three study areas.
Figure 3. Composition of ciliates at the three study areas.
Soilsystems 08 00064 g003
Figure 4. Variations in diversity indices between the study areas (box represents quartile deviation, whisker represents minimum and maximum; symbols inside the box represent mean values and horizontal line). Asterisks indicate level of statistical significance: * p ≤ 0.05, ** p ≤ 0.01, ns, not significant.
Figure 4. Variations in diversity indices between the study areas (box represents quartile deviation, whisker represents minimum and maximum; symbols inside the box represent mean values and horizontal line). Asterisks indicate level of statistical significance: * p ≤ 0.05, ** p ≤ 0.01, ns, not significant.
Soilsystems 08 00064 g004
Figure 5. Canonical correspondence analysis (CCA) triplet with biotic and abiotic variables that forms the threestudy areas. Abbreviations of the ciliate species used for the CCA: Col infColpoda inflata; Col cucColpoda cucullus; Col steColpoda steinii; Ste triSterkiella tricirrata; Gon affGonostomum affine; Hal graHalteria grandinella; Act sp.—Actinobolina sp.; Cyr muciCyrtolophosis mucicola; Oxy sp1.—Oxytricha sp1.; Ble sp1.—Blepharisma sp1.; Nas sp1.—Nassulides sp1.; Eup sp.—Euplotes sp.; Spa sp2.—Spathidium sp2.; Asp sp.—Aspidisca sp.; Ste cavSterkiella cavicola; Uro sp2.—Urosomoida sp2.; Ant stiAnteholosticha sp.).
Figure 5. Canonical correspondence analysis (CCA) triplet with biotic and abiotic variables that forms the threestudy areas. Abbreviations of the ciliate species used for the CCA: Col infColpoda inflata; Col cucColpoda cucullus; Col steColpoda steinii; Ste triSterkiella tricirrata; Gon affGonostomum affine; Hal graHalteria grandinella; Act sp.—Actinobolina sp.; Cyr muciCyrtolophosis mucicola; Oxy sp1.—Oxytricha sp1.; Ble sp1.—Blepharisma sp1.; Nas sp1.—Nassulides sp1.; Eup sp.—Euplotes sp.; Spa sp2.—Spathidium sp2.; Asp sp.—Aspidisca sp.; Ste cavSterkiella cavicola; Uro sp2.—Urosomoida sp2.; Ant stiAnteholosticha sp.).
Soilsystems 08 00064 g005
Table 1. Sampling sites characteristics.
Table 1. Sampling sites characteristics.
Site No.Site CodeHabitat Type LocalityLatitudeLongitudeAltitude (asl)Humus TypeGeological Substrate
1ORG_APPArable landGaglianvecchio, San Severino Marche (MC)43°19′15.74″13°8′59.86″506 mNot present Calcareous marls
2ORG_MArable landBerta, San Severino Marche (MC)43°17′17.53″13°12′56.29″187 mNot present Marly clay
3ORG_CUCArable landCantagallo, Pollenza (MC)43°15′10.75″13°26′47.20″265 mNot present Peliticcalcareous rocks
4CON_MG30Arable landPassatempo, Osimo (AN)43°28′10.26″13°26′11.22″46 mNot present Calcareous marls
5CON_MG34Arable landPian del Medico, Jesi (AN)43°27′27.43″13°23′7.90″88 mNot present Calcareous marls
6BF_GUABeech forestGualdo, Visso (MC)42°53′16.71″13°12′15.17″1236 mOligomullMarl limestones
7BF_FIUBeech forestMonte Vermenone, Fiuminata (MC)43°8′19.58″12°56′24.34″1126 mDysmoderFlint limestones
8BF_CANBeech forestCanfaito, San Severino Marche (MC)43°14′14.21″13°4′24.04″1025 mDysmoderFlint limestones
9OF_FBMixed forestFossoBarronciano, Serravalle del Chienti (MC)43°0′23.31″13°0′58.45″843 mHemimoderMarl limestones
10CF_TORMixed forestTorrone, Camerino (MC)43°6′48.78″13°10′58.08″684 mHemimoderpelitic calcareous rocks
Table 2. Chemical–physical soil parameters at the sampling sites.
Table 2. Chemical–physical soil parameters at the sampling sites.
Soil ParametersORG (Organic)CON (Conventional)FOR (Forest)p-Value
pH8–8.28.2–8.36.5–70.0001 ***
(8.1 ± 0.2)(8.2 ± 0.1)(6.8 ± 0.2)
Organic carbon (OC) (g/Kg)7.4–8.39.1–10.817.7–206.3ns
(7.7 ± 0.6)(10 ± 1.3)(80.3 ± 85.6)
Organic matter (OM) (g/Kg)12.6–14.315.6–18.230.6–355.6ns
(13.3 ± 1)(16.9 ± 1.9)(138.5 ± 147.5)
Total nitrogen (TN) (g/Kg)0.9–1.11.1–1.41.6–1.9ns
(1 ± 0.2)(1.3 ± 0.2)(1.8 ± 0.2)
Carbon/nitrogen (C/N)6.8–8.68–8.210.1–16.40.03 *
(7.8 ± 1)(8.1 ± 0.2)(12.2 ± 2.7)
Cation exchange capacity (CEC) meq/100 g16.4–22.718.8–19.817.6–71.7ns
(19.3 ± 3.2)(19.3 ± 0.8)(41 ± 19.7)
S1 (g/Kg)4–717–1068–380ns
(26.7 ± 38.4)(8.5 ± 2.2)(201.2 ± 130.1)
S2 (g/Kg)13–5750–6420–145ns
(33.7 ± 22.2)(57 ± 9.9)(58 ± 51.1)
S3 (g/Kg)95–171162–215116–484ns
(142.4 ± 41.3)(188.5 ± 37.5)(234.4 ± 153.9)
Silt (g/Kg)424–471479–480162–3140.0001 ***
(443.7 ± 24.5)(479.5 ± 0.8)(228.6 ± 67.5)
Clay (g/Kg)277–452232–30190–526ns
(353.7 ± 89.5)(266.5 ± 48.8)(277.8 ± 226.4)
Note: ns—not significant. Asterisks indicate level of statistical significance: * p ≤ 0.05, *** p ≤ 0.001.
Table 3. Indicator species analysis for ciliates across the ORG, CON, and FOR sites. Indicator values (IndV) for the ciliate species most characteristic for a specific site are in bold. Only shown are significant indicator values as a percentage of perfect indication based on relative abundance and frequency. Asterisks indicate level of statistical significance: * p ≤ 0.05, ** p ≤ 0.01, *** p ≤ 0.001.
Table 3. Indicator species analysis for ciliates across the ORG, CON, and FOR sites. Indicator values (IndV) for the ciliate species most characteristic for a specific site are in bold. Only shown are significant indicator values as a percentage of perfect indication based on relative abundance and frequency. Asterisks indicate level of statistical significance: * p ≤ 0.05, ** p ≤ 0.01, *** p ≤ 0.001.
SpeciesORG (IndV)FOR (IndV)CON (IndV)p-Value
Actinobolina sp.50.312.628.60.0495 *
Anteholosticha sp.83.30.00.00.0013 **
Aspidisca sp.1000.00.00.0001 ***
Colpoda inflata0.080.219.70.0001 ***
Colpoda cucullus6.916.674.50.0005 ***
Frontonia sp.0.00.547.050.0192 *
Gonostomum affine13.662.911.70.0024 **
Halteria grandinella62.64.33922.80.024 *
Rigidocortex octanucleatus0.00.0500.0001 ***
Table 4. Summary of ciliate diversity indices.
Table 4. Summary of ciliate diversity indices.
Diversity IndicesORG (Organic)CON (Conventional)FOR (Forest)
RangeMean ± SDRangeMean ± SDRangeMean ± SD
Speciesrichness (S)17–2721.5 ± 3.9413–2116.5 ± 3.711–2215 ± 3.5
Abundance (N)740–14921131 ± 2691079–12671203 ± 84.1773–22671313 ± 506
Margalef’s index (d’)2.32–3.92.9 ± 0.61.69–2.862.2 ± 0.51.5–3.162 ± 0.5
Pielou’s index (J’)0.72–0.90.8 ± 0.10.60–0.760.7 ± 0.10.47–0.820.7 ± 0.1
Shannon–Weiner (H’)2.08–2.792.45 ± 0.241.59–2.291.94 ± 0.281.22–2.531.8 ± 0.4
Table 5. Canonical correspondence analysis (CCA) generated eigen and correlation values between the ciliates and the soil characteristics.
Table 5. Canonical correspondence analysis (CCA) generated eigen and correlation values between the ciliates and the soil characteristics.
Axes1234Total Inertia
Eigenvalues0.3260.1490.1080.0860.818
Species–environment correlations10.9930.9710.997
Cumulative percentage variance
  of species data39.858.171.381.9
  of species–environment relation42.962.676.988.2
Sum of all eigenvalues 0.818
Sum of all canonical eigenvalues 0.759
Sand−0.713−0.224−0.028−0.106
Silt0.6970.3840.0600.116
Clay0.251−0.057−0.0170.027
pH0.7830.357−0.0520.048
OC−0.592−0.283−0.0040.054
OM−0.592−0.283−0.0040.054
TN−0.560−0.2260.092−0.045
C/N−0.7270.0700.167−0.482
TP−0.2130.293−0.040−0.092
CEC−0.694−0.3920.1260.177
Disclaimer/Publisher’s Note: The statements, opinions and data contained in all publications are solely those of the individual author(s) and contributor(s) and not of MDPI and/or the editor(s). MDPI and/or the editor(s) disclaim responsibility for any injury to people or property resulting from any ideas, methods, instructions or products referred to in the content.

Share and Cite

MDPI and ACS Style

Bharti, D.; Kumar, S.; Basuri, C.K.; La Terza, A. Ciliated Protist Communities in Soil: Contrasting Patterns in Natural Sites and Arable Lands across Italy. Soil Syst. 2024, 8, 64. https://doi.org/10.3390/soilsystems8020064

AMA Style

Bharti D, Kumar S, Basuri CK, La Terza A. Ciliated Protist Communities in Soil: Contrasting Patterns in Natural Sites and Arable Lands across Italy. Soil Systems. 2024; 8(2):64. https://doi.org/10.3390/soilsystems8020064

Chicago/Turabian Style

Bharti, Daizy, Santosh Kumar, Charan Kumar Basuri, and Antonietta La Terza. 2024. "Ciliated Protist Communities in Soil: Contrasting Patterns in Natural Sites and Arable Lands across Italy" Soil Systems 8, no. 2: 64. https://doi.org/10.3390/soilsystems8020064

APA Style

Bharti, D., Kumar, S., Basuri, C. K., & La Terza, A. (2024). Ciliated Protist Communities in Soil: Contrasting Patterns in Natural Sites and Arable Lands across Italy. Soil Systems, 8(2), 64. https://doi.org/10.3390/soilsystems8020064

Article Metrics

Back to TopTop