Fatigue Crack Propagation Monitoring Using Fibre Bragg Grating Sensors
Abstract
:1. Introduction
2. Main Rotor Blade
2.1. Fatigue Cracks in Main Rotor Blades
- (1)
- A leading edge part including corrosion protection elements and heating parts;
- (2)
- A middle part including upper and lower D-spar walls;
- (3)
- A back part containing a D-spar back wall as well as additional sections with honeycomb filler (do not present in the scheme).
2.2. Investigated Structure
2.3. Fatigue Test Stand
3. Results
3.1. Strain Analyses
3.2. Spectrogram Analyse
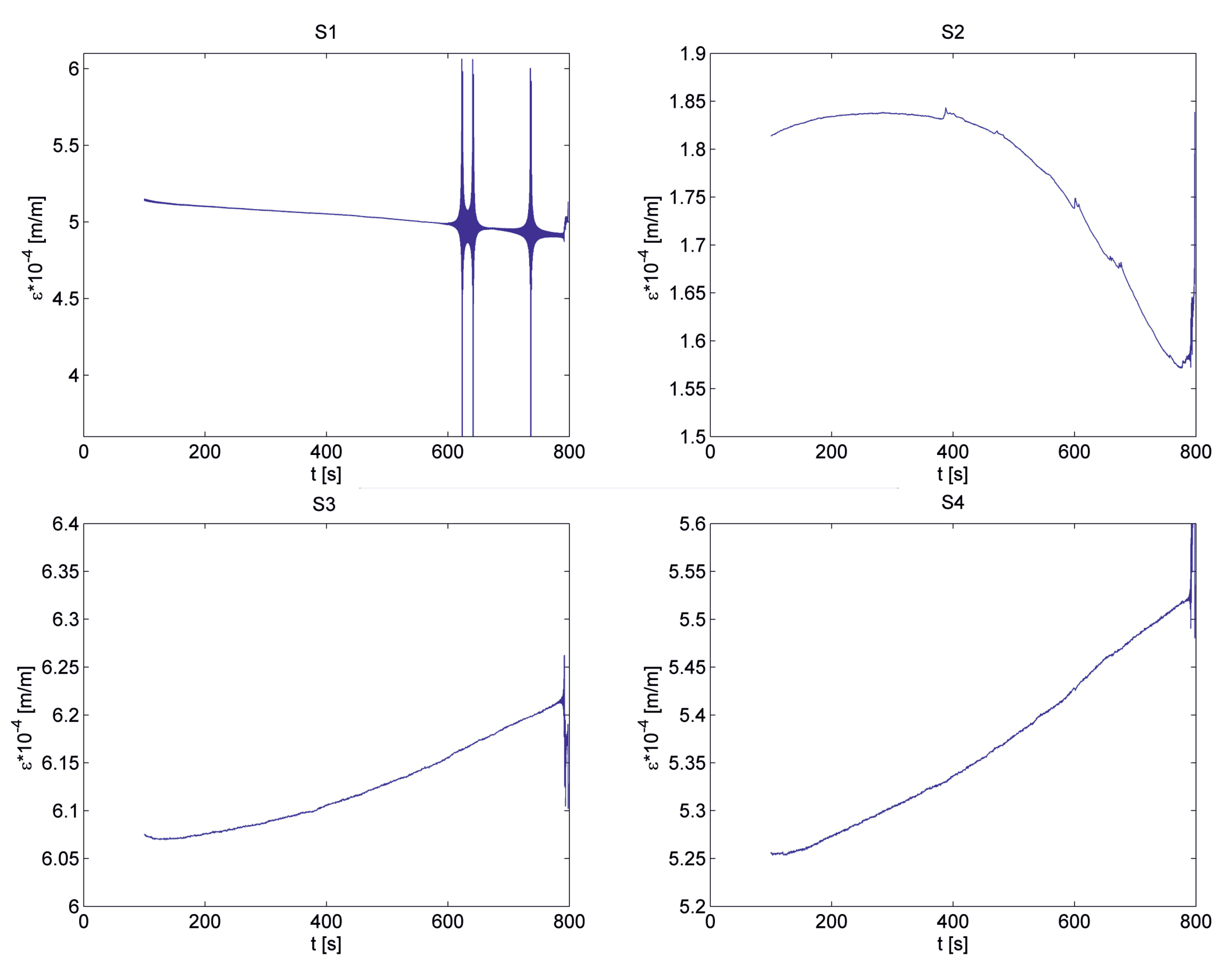
3.3. Strain Trends
4. Results and Discussion
5. Conclusions
Funding
Data Availability Statement
Acknowledgments
Conflicts of Interest
References
- Kamsu-Foguem, B. Knowledge-based support in Non-Destructive Testing for health monitoring of aircraft structures. Adv. Eng. Inform. 2012, 26, 859–869. [Google Scholar] [CrossRef] [Green Version]
- Towsyfyan, H.; Biguri, A.; Boardman, R.; Blumensath, T. Successes and challenges in non-destructive testing of aircraft composite structures. Chin. J. Aeronaut. 2020, 33, 771–791. [Google Scholar] [CrossRef]
- Wu, B.; Wu, G.; Yang, C. Parametric study of a rapid bridge assessment method using distributed macro-strain influence envelope line. Mech. Syst. Signal Process. 2019, 120, 642–663. [Google Scholar] [CrossRef]
- Chen, J.; Wang, J.; Li, X.; Sun, L.; Li, S.; Ding, A. Monitoring of temperature and cure-induced strain gradient in laminated composite plate with FBG sensors. Compos. Struct. 2020, 242, 112168. [Google Scholar] [CrossRef]
- Udd, E.; Spillman, W.B., Jr. Fiber Optic Sensors: An Introduction for Engineers and Scientists; John Wiley & Sons: Hoboken, NJ, USA, 2011. [Google Scholar]
- Fernández, R.; Gutiérrez, N.; Jiménez, H.; Martín, F.; Rubio, L.; Jiménez-Vicaria, J.D.; Paulotto, C.; Lasagni, F. On the structural testing monitoring of CFRP cockpit and concrete/CFRP pillar by FBG sensors. Adv. Eng. Mater. 2016, 18, 1289–1298. [Google Scholar] [CrossRef]
- Mieloszyk, M.; Ostachowicz, W. An application of Structural Health Monitoring system based on FBG sensors to offshore wind turbine support structure model. Mar. Struct. 2017, 51, 65–86. [Google Scholar] [CrossRef]
- Chan, T.H.; Yu, L.; Tam, H.Y.; Ni, Y.Q.; Liu, S.; Chung, W.; Cheng, L. Fiber Bragg grating sensors for structural health monitoring of Tsing Ma bridge: Background and experimental observation. Eng. Struct. 2006, 28, 648–659. [Google Scholar] [CrossRef]
- Mieloszyk, M.; Majewska, K.; Ostachowicz, W. Application of embedded fibre Bragg grating sensors for structural health monitoring of complex composite structures for marine applications. Mar. Struct. 2021, 76, 102903. [Google Scholar] [CrossRef]
- Gebremichael, Y.; Li, W.; Boyle, W.; Meggitt, B.; Grattan, K.; McKinley, B.; Fernando, G.; Kister, G.; Winter, D.; Canning, L.; et al. Integration and assessment of fibre Bragg grating sensors in an all-fibre reinforced polymer composite road bridge. Sens. Actuators A Phys. 2005, 118, 78–85. [Google Scholar] [CrossRef]
- Liu, Z.; Liu, X.; Zhu, S.P.; Zhu, P.; Liu, W.; Correia, J.A.; De Jesus, A.M. Reliability assessment of measurement accuracy for FBG sensors used in structural tests of the wind turbine blades based on strain transfer laws. Eng. Fail. Anal. 2020, 112, 104506. [Google Scholar] [CrossRef]
- Ren, L.; Li Sr, H.; Zhou, J.; Li, D.S.; Sun, L. Health monitoring system for offshore platform with fiber Bragg grating sensors. Opt. Eng. 2006, 45, 084401. [Google Scholar] [CrossRef]
- Bang, H.J.; Kim, H.I.; Lee, K.S. Measurement of strain and bending deflection of a wind turbine tower using arrayed FBG sensors. Int. J. Precis. Eng. Manuf. 2012, 13, 2121–2126. [Google Scholar] [CrossRef]
- Lima, H.F.; da Silva Vicente, R.; Nogueira, R.N.; Abe, I.; de Brito Andre, P.S.; Fernandes, C.; Rodrigues, H.; Varum, H.; Kalinowski, H.J.; Costa, A.; et al. Structural health monitoring of the church of Santa Casa da Misericórdia of Aveiro using FBG sensors. IEEE Sens. J. 2008, 8, 1236–1242. [Google Scholar] [CrossRef]
- Marazzi, F.; Tagliabue, P.; Corbani, F.M. Traditional vs innovative structural health monitoring of monumental structures: A case study. Struct. Control Health Monit. 2011, 18, 430–449. [Google Scholar] [CrossRef]
- Caponero, M.A.; Dell Erba, D.; Kropp, C. Use of fibre optic sensors for structural monitoring of temporary emergency reinforcements of the church S. Maria delle Grazie in Accumoli. J. Civ. Struct. Health Monit. 2019, 9, 353–360. [Google Scholar] [CrossRef]
- Wang, G.; Pran, K.; Sagvolden, G.; Havsgård, G.; Jensen, A.; Johnson, G.; Vohra, S. Ship hull structure monitoring using fibre optic sensors. Smart Mater. Struct. 2001, 10, 472. [Google Scholar] [CrossRef]
- Roberts, G.W.; Hancock, C.M.; Lienhart, W.; Klug, F.; Zuzek, N.; de Ligt, H. Displacement and frequency response measurements of a ship using GPS and fibre optic-based sensors. Appl. Geomat. 2021, 13, 51–61. [Google Scholar] [CrossRef]
- Wada, D.; Igawa, H.; Tamayama, M.; Kasai, T.; Arizono, H.; Murayama, H.; Shiotsubo, K. Flight demonstration of aircraft fuselage and bulkhead monitoring using optical fiber distributed sensing system. Smart Mater. Struct. 2018, 27, 025014. [Google Scholar] [CrossRef]
- Ruzek, R.; Kudrna, P.; Kadlec, M.; Karachalios, V.; Tserpes, K. Strain and damage monitoring in CFRP fuselage panels using fiber Bragg grating sensors. Part II: Mechanical testing and validation. Compos. Struct. 2014, 107, 737–744. [Google Scholar] [CrossRef]
- Tserpes, K.I.; Karachalios, V.; Giannopoulos, I.; Prentzias, V.; Ruzek, R. Strain and damage monitoring in CFRP fuselage panels using fiber Bragg grating sensors. Part I: Design, manufacturing and impact testing. Compos. Struct. 2014, 107, 726–736. [Google Scholar] [CrossRef] [Green Version]
- Mieloszyk, M.; Skarbek, L.; Krawczuk, M.; Ostachowicz, W.; Zak, A. Application of fibre Bragg grating sensors for structural health monitoring of an adaptive wing. Smart Mater. Struct. 2011, 20, 125014. [Google Scholar] [CrossRef]
- Święch, Ł. Calibration of a Load Measurement System for an Unmanned Aircraft Composite Wing Based on Fibre Bragg Gratings and Electrical Strain Gauges. Aerospace 2020, 7, 27. [Google Scholar] [CrossRef] [Green Version]
- Gutiérrez, N.; Fernández, R.; Galvín, P.; Lasagni, F. Fiber Bragg grating application to study an unmanned aerial system composite wing. J. Intell. Mater. Syst. Struct. 2019, 30, 1252–1262. [Google Scholar] [CrossRef]
- Tsuda, H.; Lee, J.R.; Guan, Y. Fatigue crack propagation monitoring of stainless steel using fiber Bragg grating ultrasound sensors. Smart Mater. Struct. 2006, 15, 1429. [Google Scholar] [CrossRef]
- Australian Transport Safety Bureau. How Old Is Too Old? The Impact of Ageing Aircraft on Aviation Safety; Australian Transport Safety Bureau: Canberra, Australia, 2007.
- Fan, S.; Zhang, A.; Sun, H.; Yun, F. A Local TR-MUSIC Algorithm for Damage Imaging of Aircraft Structures. Sensors 2021, 21, 3334. [Google Scholar] [CrossRef] [PubMed]
- Zhong, Y.; Yuan, S.; Qiu, L. Multiple damage detection on aircraft composite structures using near-field MUSIC algorithm. Sens. Actuators A Phys. 2014, 214, 234–244. [Google Scholar] [CrossRef]
- Bao, Q.; Yuan, S.; Guo, F. A new synthesis aperture-MUSIC algorithm for damage diagnosis on complex aircraft structures. Mech. Syst. Signal Process. 2020, 136, 106491. [Google Scholar] [CrossRef]
- Azuara, G.; Barrera, E.; Ruiz, M.; Bekas, D. Damage detection and characterization in composites using a geometric modification of the RAPID algorithm. IEEE Sens. J. 2019, 20, 2084–2093. [Google Scholar] [CrossRef]
- Zhao, X.; Gao, H.; Zhang, G.; Ayhan, B.; Yan, F.; Kwan, C.; Rose, J.L. Active health monitoring of an aircraft wing with embedded piezoelectric sensor/actuator network: I. Defect detection, localization and growth monitoring. Smart Mater. Struct. 2007, 16, 1208. [Google Scholar] [CrossRef]
- Briand, W.; Rebillat, M.; Guskov, M.; Mechbal, N. Damage size quantification in aeronautic composite structures based on imaging results post-processing. In Proceedings of the IX ECCOMAS Thematic Conference on Smart Structures and Materials, Paris, France, 8–11 July 2019; pp. 1–12. [Google Scholar]
- Ang, J.; Li, H.; Herszberg, I.; Bannister, M.; Mouritz, A. Tensile fatigue properties of fibre Bragg grating optical fibre sensors. Int. J. Fatigue 2010, 32, 762–768. [Google Scholar] [CrossRef]
- Yashiro, S.; Okabe, T. Estimation of fatigue damage in holed composite laminates using an embedded FBG sensor. Compos. Part A Appl. Sci. Manuf. 2011, 42, 1962–1969. [Google Scholar] [CrossRef]
- Takeda, S.; Aoki, Y.; Ishikawa, T.; Takeda, N.; Kikukawa, H. Structural health monitoring of composite wing structure during durability test. Compos. Struct. 2007, 79, 133–139. [Google Scholar] [CrossRef]
- Kocaman, E.S.; Keulen, C.J.; Akay, E.; Yildiz, M.; Turkmen, H.S.; Suleman, A. An experimental study on the effect of length and orientation of embedded FBG sensors on the signal properties under fatigue loading. Sci. Eng. Compos. Mater. 2016, 23, 711–719. [Google Scholar] [CrossRef]
- Shen, W.; Yan, R.; Xu, L.; Tang, G.; Chen, X. Application study on FBG sensor applied to hull structural health monitoring. Optik 2015, 126, 1499–1504. [Google Scholar] [CrossRef]
- Szebényi, G.; Blößl, Y.; Hegedüs, G.; Tábi, T.; Czigany, T.; Schledjewski, R. Fatigue monitoring of flax fibre reinforced epoxy composites using integrated fibre-optical FBG sensors. Compos. Sci. Technol. 2020, 199, 108317. [Google Scholar] [CrossRef]
- Vieira, J.; Morais, O.; Vasques, C.; de Oliveira, R. A laboratorial prototype of a weight measuring system using optical fiber Bragg grating sensors embedded in silicone rubber. Measurement 2015, 61, 58–66. [Google Scholar] [CrossRef]
- U.S. Department of Transportation. Helicopter Instructor’s Handbook; Federal Aviation Administration, Flight Standards Service; U.S. Department of Transportation: Washington, DC, USA, 2012.
- Klimaszewski, S.; Leski, A.; Dragan, K.; Kurdelski, M.; Wrona, M. Helicopter Structural Integrity Program Of Polish Mi-24 Hind Helicopters. In ICAF 2009, Bridging the Gap between Theory and Operational Practice; Springer: Berlin/Heidelberg, Germany, 2009; pp. 263–277. [Google Scholar]
- Lombardo, D. Helicopter Structures—A Review of Loads, Fatigue Design Techniques and Usage Monitoring; U.S. Department of Defence: Washington, DC, USA, 1993.
- Sih, G.C. Elastodynamic Crack Problems; Springer Science & Business Media: Berlin/Heidelberg, Germany, 1977; Volume 4. [Google Scholar]























| Property | Value | Unit |
|---|---|---|
| Wavelength range | 1541–1561 | nm |
| FBG length | 10 | mm |
| Strain limit | 4000 | |
| Strain Sensitivity | ca. 1.2 | |
| Accuracy | +/−2 | |
| Spectral width (FWHM) | <0.2 | nm |
| Sensor | Strain ε × 10−4 [m/m] | ||
|---|---|---|---|
| Experiment | Model | Error [%] | |
| Beginning of the fatigue test | |||
| S1 | 9.8 | 8.2 | 16.3 |
| S2 | 8.8 | 8.2 | 6.8 |
| S3 | 10.0 | 8.2 | 18.0 |
| S4 | 9.0 | 8.2 | 8.9 |
| End of the fatigue test | |||
| S1 | 9.0 | 9.0 | 8.2 |
| S2 | 10.0 | 9.0 | 10.0 |
| S3 | 12.5 | 11.0 | 12.0 |
| S4 | 12.8 | 12.0 | 6.3 |
Publisher’s Note: MDPI stays neutral with regard to jurisdictional claims in published maps and institutional affiliations. |
© 2021 by the author. Licensee MDPI, Basel, Switzerland. This article is an open access article distributed under the terms and conditions of the Creative Commons Attribution (CC BY) license (https://creativecommons.org/licenses/by/4.0/).
Share and Cite
Mieloszyk, M. Fatigue Crack Propagation Monitoring Using Fibre Bragg Grating Sensors. Vibration 2021, 4, 700-721. https://doi.org/10.3390/vibration4030039
Mieloszyk M. Fatigue Crack Propagation Monitoring Using Fibre Bragg Grating Sensors. Vibration. 2021; 4(3):700-721. https://doi.org/10.3390/vibration4030039
Chicago/Turabian StyleMieloszyk, Magdalena. 2021. "Fatigue Crack Propagation Monitoring Using Fibre Bragg Grating Sensors" Vibration 4, no. 3: 700-721. https://doi.org/10.3390/vibration4030039
APA StyleMieloszyk, M. (2021). Fatigue Crack Propagation Monitoring Using Fibre Bragg Grating Sensors. Vibration, 4(3), 700-721. https://doi.org/10.3390/vibration4030039

