Transformation of NO in Combustion Gases by DC Corona
Abstract
1. Introduction
2. Materials and Methods
2.1. Setup
2.2. Sampling and Evaluation
3. Results and Discussion
3.1. Parameters of Combustion Tests
3.2. The Impact of ESP Energisation on Active Species Generation
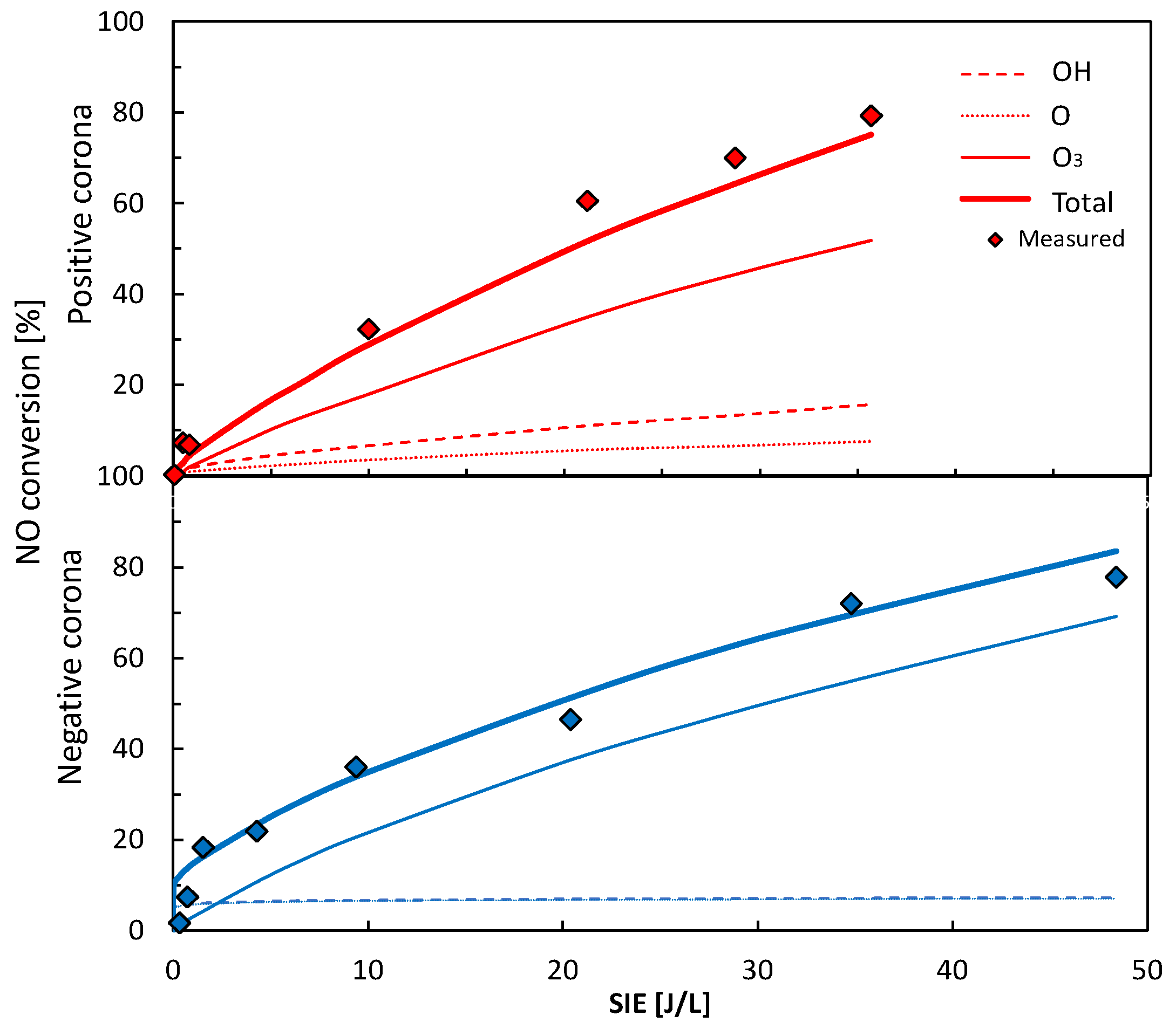
3.3. The Impact of ESP Energization on NO Abatement
3.4. The Polarity Effect on Energy Consumption
3.5. Optimization Strategies for Enhanced NO Conversion
4. Conclusions
- Corona discharge polarity significantly impacts NO conversion and energy consumption: while a 78% NO reduction was achieved with ESP operation, positive corona required lower specific input energy (35 J/L) compared to negative corona (48 J/L). Despite achieving lower NO conversion than DBD reactors [8], plasma–catalyst hybrid systems [33,34] and pulsed corona [30], the DC corona ESP demonstrated lower energy consumption, making it a cost-effective option for small-scale applications.
- The simplified reaction pathway, focusing on dominant reactions, demonstrates accuracy comparable to comprehensive reaction sets, such as those in [21], while being more practical for implementation.
- The spatial distribution of active species differs between positive and negative corona, with negative corona O and OH radicals concentrated near the discharge electrode and producing 15–20% more ozone, with saturation effects observed above 30 J/L, while positive corona created a more dispersed distribution of active species. Reactions with O and OH radicals dominate at low SIE, while ozone-mediated reactions prevail above 10 J/L for both polarities.
- At 30 J/L, sensitivity analysis showed that ±20% fluctuations in temperature, initial NO concentration, oxygen, and water vapor affected NO conversion efficiency for positive corona by ±9%, ±13%, ±11%, and ±8%, respectively, while negative corona showed corresponding variations of ±7%, ±11%, ±12%, and ±6%.
- The ESP technology for small-scale biomass heating systems may be potentially improved through dual-polarity systems, optimized electrode designs, and improvements to adjust flow patterns.
Author Contributions
Funding
Institutional Review Board Statement
Informed Consent Statement
Data Availability Statement
Conflicts of Interest
References
- Eurostat. Available online: http://ec.europa.eu/eurostat/data/database (accessed on 5 June 2024).
- Wang, L.; Xuan, C.; Zhang, X.; Sun, R.; Cheng, X.; Wang, Z.; Ma, C. NOx Adsorption Mechanism of Coal-Based Activated Carbon Modified with Trace Potassium: In Situ DRIFTS and DFT Study. Energy Fuels 2022, 36, 7633–7650. [Google Scholar] [CrossRef]
- Gómez-García, M.A.; Pitchon, V.; Kiennemann, A. Pollution by nitrogen oxides: An approach to NOx abatement by using sorbing catalytic materials. Environ. Int. 2005, 31, 445–467. [Google Scholar] [CrossRef]
- Liu, J.; Liu, J.; Zhang, G. Recent Advances in NO Reduction with NH3 and CO over Cu-Ce Bimetallic and Derived Catalysts. Catalysts 2024, 14, 819. [Google Scholar] [CrossRef]
- Zi, X.; Ye, J.; Cheng, Y.; Li, S.; Li, X.; Li, X.; Qiu, W.; Song, L. The Effect of CeO2 on the Catalytic Activity and SO2 Resistance of the V2O5-MoO3/TiO2 Catalyst Prepared Using the Ball Milling Method for the NH3-SCR of NO. Catalysts 2024, 14, 794. [Google Scholar] [CrossRef]
- Guo, Q.; Zhao, M.; Fan, H.; Zhu, R.; Zhong, R.; Bai, X. Low-Temperature NH3-SCR Technology for Industrial Application of Waste Incineration: An Overview of Research Progress. Catalysts 2024, 14, 766. [Google Scholar] [CrossRef]
- Ciupek, B.; Urbaniak, R.; Kinalska, D.; Nadolny, Z. Flue Gas Recirculation System for Biomass Heating Boilers—Research and Technical Applications for Reductions in Nitrogen Oxides (NOx) Emissions. Energies 2024, 17, 259. [Google Scholar] [CrossRef]
- Jõgi, I.; Levoll, E.; Raud, J. Plasma oxidation of NO in O2:N2 mixtures: The importance of back-reaction. Chem. Eng. J. 2016, 301, 149–157. [Google Scholar] [CrossRef]
- Wang, J.; Yi, H.; Tang, X.; Zhao, S.; Gao, F. Simultaneous removal of SO2 and NOx by catalytic adsorption using γ-Al2O3 under the irradiation of non-thermal plasma: Competitiveness, kinetic, and equilibrium. Chem. Eng. J. 2020, 384, 123334. [Google Scholar] [CrossRef]
- Masuda, S.; Nakao, H. Control of NOx by positive and negative pulsed corona discharges. IEEE Trans. Ind. Appl. 1990, 26, 374–383. [Google Scholar] [CrossRef]
- Hu, X.; Zhang, J.-J.; Mukhnahallipatna, S.; Hamann, J.; Biggs, M.J.; Agarwal, P. Transformations and destruction of nitrogen oxides—NO, NO2 and N2O—In a pulsed corona discharge reactor. Fuel 2003, 82, 1675–1684. [Google Scholar] [CrossRef]
- Mok, Y.S.; Kim, J.H.; Nam, I.-S.; Ham, S.W. Removal of NO and Formation of Byproducts in a Positive-Pulsed Corona Discharge Reactor. Ind. Eng. Chem. Res. 2000, 39, 3938–3944. [Google Scholar] [CrossRef]
- Kossyi, I.A.; Kostinsky, A.Y.; Matveyev, A.A.; Silakov, V.P. Kinetic scheme of the non-equilibrium discharge in nitrogen-oxygen mixtures. Plasma Sources Sci. Technol. 1992, 1, 207. [Google Scholar] [CrossRef]
- Molchanov, O.; Krpec, K.; Horák, J.; Kubonová, L.; Hopan, F.; Ryšavý, J. Combined control of PM and NOx emissions by corona discharge. Sep. Purif. Technol. 2024, 345, 127359. [Google Scholar] [CrossRef]
- Manion, J.A.; Huie, R.E.; Levin, R.D.; Burgess, D.R., Jr.; Orkin, V.L.; Tsang, W.; McGivern, W.S.; Hudgens, J.W.; Knyazev, V.D.; Atkinson, D.B. NIST Chemical Kinetics Database, NIST Standard Reference Database 17, Version 7.0 (Web Version), Release 1.6.8, Data version 2015.09, National Institute of Standards and Technology, Gaithersburg, MD, USA. Available online: https://kinetics.nist.gov/ (accessed on 3 September 2024).
- Atkinson, R.; Baulch, D.L.; Cox, R.A.; Crowley, J.N.; Hampson, R.F.; Hynes, R.G.; Jenkin, M.E.; Rossi, M.J.; Troe, J. Evaluated kinetic and photochemical data for atmospheric chemistry: Volume I—Gas phase reactions of Ox, HOx, NOx and SOx species. Atmos. Chem. Phys. 2004, 4, 1461–1738. [Google Scholar] [CrossRef]
- Itikawa, Y.; Mason, N. Cross Sections for Electron Collisions with Water Molecules. J. Phys. Chem. Ref. Data 2005, 34, 1–22. [Google Scholar] [CrossRef]
- Cosby, P.C. Electron-impact dissociation of oxygen. J. Chem. Phys. 1993, 98, 9560–9569. [Google Scholar] [CrossRef]
- Hagstrum, H.D. Ionization by Electron Impact in CO, N2, NO, and O2. Rev. Mod. Phys. 1951, 23, 185–203. [Google Scholar] [CrossRef]
- Raizer, Y.P.; Allen, J.E. Gas Discharge Physics; Springer: Berlin/Heidelberg, Germany, 1991; Volume 1. [Google Scholar]
- Zhang, W.; Wang, Z.; Guo, Y.; Yang, M.; Li, Z.; Zhang, J.; Chang, C.; Ji, Y. Experimental and mechanism research on the NOx removal by a novel liquid electrode dielectric barrier discharge reactor. Chem. Eng. J. 2022, 443, 136375. [Google Scholar] [CrossRef]
- Wu, Z.L.; Gao, X.; Luo, Z.Y.; Wei, E.Z.; Zhang, Y.S.; Zhang, J.Z.; Ni, M.J.; Cen, K.F. NOx Treatment by DC Corona Radical Shower with Different Geometric Nozzle Electrodes. Energy Fuels 2005, 19, 2279–2286. [Google Scholar] [CrossRef]
- Ji, W.; Yang, C.; Qu, G.; Zhou, J.; Chen, Y.; Tang, H.; Li, Z.; Xie, R.; Ning, P. Purification mechanism of corona discharge coupled with dimethyl sulfoxide microemulsion for simultaneous desulfurization and denitrification. Sep. Purif. Technol. 2022, 300, 121866. [Google Scholar] [CrossRef]
- Arai, M.; Saito, M.; Yoshinaga, S. Effect of oxygen on NOx removal in corona discharge field: NOx behavior without a reducing agent. Combust. Sci. Technol. 2004, 176, 1653–1665. [Google Scholar] [CrossRef]
- Wang, M.; Zhu, T.; Wang, H. Oxidation and Removal of NO From Flue Gas by DC Corona Discharge Combined With Alkaline Absorption. IEEE Trans. Plasma Sci. 2011, 39, 704–710. [Google Scholar] [CrossRef]
- Érces, N.; Kajtár, L. Heating boilers—Part 5: Heating boilers for solid fuels, manually and automatically stoked, nominal heat output of up to 500 kW—Terminology, requirements, testing and marking. Energies 2021, 14, 2926. [Google Scholar]
- Pearson, K.X. On the criterion that a given system of deviations from the probable in the case of a correlated system of variables is such that it can be reasonably supposed to have arisen from random sampling. Lond. Edinb. Dublin Philos. Mag. J. Sci. 1900, 50, 157–175. [Google Scholar] [CrossRef]
- Jaworek, A.; Sobczyk, A.T.; Marchewicz, A.; Krupa, A.; Czech, T. Particulate matter emission control from small residential boilers after biomass combustion. A review. Renew. Sustain. Energy Rev. 2021, 137, 110446. [Google Scholar] [CrossRef]
- Zhang, Z.; Xi, H.; Zhou, S.; Zhou, W.; Shreka, M. Efficient removal of NOx from simulated marine exhaust by using O3-Na2SO3: Experimental factors and optimization analysis. Fuel 2022, 313, 122659. [Google Scholar] [CrossRef]
- Mok, Y.S.; Nam, I.-S. Modeling of pulsed corona discharge process for the removal of nitric oxide and sulfur dioxide. Chem. Eng. J. 2002, 85, 87–97. [Google Scholar] [CrossRef]
- Wang, M.; Sun, Y.; Zhu, T. Removal of NOx, SO2, and Hg From Simulated Flue Gas by Plasma—Absorption Hybrid System. IEEE Trans. Plasma Sci. 2013, 41, 312–318. [Google Scholar] [CrossRef]
- Chen, X.; Shi, Y.; Cai, Y.; Xie, J.; Yang, Y.; Hou, D.; Fan, Y. Effect of non-thermal plasma injection flow rate on diesel particulate filter regeneration at room temperature. Carbon Lett. 2024, 34, 1075–1089. [Google Scholar] [CrossRef]
- Shadi, Z.; Rahemi, N.; Allahyari, S.; Tasbihi, M. Low-temperature reduction of NOx with NH3 using a hybrid system of non-thermal plasma-LaMn0.9CO0.1O3 perovskite nanocatalyst. J. Environ. Chem. Eng. 2024, 12, 114973. [Google Scholar] [CrossRef]
- Nguyen, D.B.; Matyakubov, N.; Saud, S.; Heo, I.; Kim, S.-J.; Kim, Y.J.; Lee, J.H.; Mok, Y.S. High-Throughput NOx Removal by Two-Stage Plasma Honeycomb Monolith Catalyst. Environ. Sci. Technol. 2021, 55, 6386–6396. [Google Scholar] [CrossRef]
- Kawakami, K.; Watatani, K.; Yamasaki, H.; Kuroki, T.; Okubo, M. Performance evaluation of PM, NOx, and hydrocarbon removal in diesel engine exhaust by surface discharge-induced plasma. J. Hazard. Mater. 2024, 462, 132685. [Google Scholar] [CrossRef] [PubMed]
- Peek, F.W. The Law of Corona and the Dielectric Strength of Air-II. Trans. Am. Inst. Electr. Eng. 1912, XXXI, 1051–1092. [Google Scholar] [CrossRef]
- Whitehead, J.B.; Brown, W.S. The Electric Strength of Air.-VII. Trans. Am. Inst. Electr. Eng. 1917, XXXVI, 169–205. [Google Scholar] [CrossRef]
- Farwell, S.P. The Corona Produced by Continuous Potentials. Trans. Am. Inst. Electr. Eng. 1914, XXXIII, 1631–1671. [Google Scholar] [CrossRef]
- Eliasson, B.; Kogelshatz, U. Basic data for modeling of electrical discharges in gases: Oxygen report. Tech. Rep. 1986. Available online: https://books.google.cz/books?id=5FJCAQAAIAAJ (accessed on 6 July 2024).
- Chen, J.; Davidson, J.H. Electron Density and Energy Distributions in the Positive DC Corona: Interpretation for Corona-Enhanced Chemical Reactions. Plasma Chem. Plasma Process. 2002, 22, 199–224. [Google Scholar] [CrossRef]
- Robinson, M. Electrostatic Precipitation in Air Pollution Control, Part I (W. Strauss, ed.). Wiley-Interscience: New York, NY, USA, 1971; pp. 256–281. [Google Scholar]
- Strauss, W. Industrial Gas Cleaning; Pergamon Press: Oxford, UK, 1975. [Google Scholar]
- Ning, Z.; Podlinski, J.; Shen, X.; Li, S.; Wang, S.; Han, P.; Yan, K. Electrode geometry optimization in wire-plate electrostatic precipitator and its impact on collection efficiency. J. Electrost. 2016, 80, 76–84. [Google Scholar] [CrossRef]
- Adachi, M.; Kousaka, Y.; Okuyama, K. Unipolar and bipolar diffusion charging of ultrafine aerosol particles. J. Aerosol Sci. 1985, 16, 109–123. [Google Scholar] [CrossRef]
- Reischl, G.P.; Mäkelä, J.M.; Karch, R.; Necid, J. Bipolar charging of ultrafine particles in the size range below 10 nm. J. Aerosol Sci. 1996, 27, 931–949. [Google Scholar] [CrossRef]
- Marquard, A.; Meyer, J.; Kasper, G. Unipolar Field and Diffusion Charging in the Transition Regime—Part II: Charging Experiments. Aerosol Sci. Technol. 2007, 41, 611–623. [Google Scholar] [CrossRef]
- Bürger, P.; Riebel, U. Electrostatic charging and precipitation of nanoparticles in technical nitrogen: Highly efficient diffusion charging by hot free electrons. J. Aerosol Sci. 2020, 141, 105495. [Google Scholar] [CrossRef]
- Chen, J.; Davidson, J.H. Model of the Negative DC Corona Plasma: Comparison to the Positive DC Corona Plasma. Plasma Chem. Plasma Process. 2003, 23, 83–102. [Google Scholar] [CrossRef]
- Wang, P.; Chen, J. Numerical modelling of ozone production in a wire–cylinder corona discharge and comparison with a wire–plate corona discharge. J. Phys. D Appl. Phys. 2009, 42, 035202. [Google Scholar] [CrossRef]
- Viner, A.S.; Lawless, P.A.; Ensor, D.S.; Sparks, L.E. Ozone generation in DC-energized electrostatic precipitators. IEEE Trans. Ind. Appl. 1992, 28, 504–512. [Google Scholar] [CrossRef]
- Chen, J.; Davidson, J.H. Ozone Production in the Negative DC Corona: The Dependence of Discharge Polarity. Plasma Chem. Plasma Process. 2003, 23, 501–518. [Google Scholar] [CrossRef]
- Chen, J.; Davidson, J.H. Ozone Production in the Positive DC Corona Discharge: Model and Comparison to Experiments. Plasma Chem. Plasma Process. 2002, 22, 495–522. [Google Scholar] [CrossRef]
- Junhong, C.; Pengxiang, W. Effect of relative humidity on electron distribution and ozone production by DC coronas in air. IEEE Trans. Plasma Sci. 2005, 33, 808–812. [Google Scholar] [CrossRef]






| No | Reaction | Reaction Constant | Reference |
| R1 | [13] | ||
| R2 | [14] | ||
| R3 | [15] | ||
| R4 | [15] | ||
| R5 | [15] | ||
| R6 | [15] | ||
| R7 | [15] | ||
| R8 | [15] | ||
| R9 | [16] | ||
| R10 | [16] |
| Parameter | Unit | Value |
|---|---|---|
| Combustion gas temperature | °C | 125 |
| Combustion gas flow rate * | L/s | 9.8 |
| Gas velocity in ESP | m/s | 0.3 |
| Content of/O2/H2O | vol % | 13.0/7.8 |
| The initial concentration of NO * | mg/m3 | 130 |
| Gas Parameter | Sensitivity * | |
|---|---|---|
| Positive Corona | Negative Corona | |
| Temperature | ±9% | ±7% |
| Initial NO concentration | ±13% | ±11% |
| O2 Concentration | ±11% | ±12% |
| H2O concentration | ±8% | ±6% |
Disclaimer/Publisher’s Note: The statements, opinions and data contained in all publications are solely those of the individual author(s) and contributor(s) and not of MDPI and/or the editor(s). MDPI and/or the editor(s) disclaim responsibility for any injury to people or property resulting from any ideas, methods, instructions or products referred to in the content. |
© 2025 by the authors. Licensee MDPI, Basel, Switzerland. This article is an open access article distributed under the terms and conditions of the Creative Commons Attribution (CC BY) license (https://creativecommons.org/licenses/by/4.0/).
Share and Cite
Molchanov, O.; Krpec, K.; Horák, J.; Kuboňová, L.; Hopan, F.; Ryšavý, J.; Bury, M. Transformation of NO in Combustion Gases by DC Corona. Fire 2025, 8, 21. https://doi.org/10.3390/fire8010021
Molchanov O, Krpec K, Horák J, Kuboňová L, Hopan F, Ryšavý J, Bury M. Transformation of NO in Combustion Gases by DC Corona. Fire. 2025; 8(1):21. https://doi.org/10.3390/fire8010021
Chicago/Turabian StyleMolchanov, Oleksandr, Kamil Krpec, Jiří Horák, Lenka Kuboňová, František Hopan, Jiří Ryšavý, and Marcelina Bury. 2025. "Transformation of NO in Combustion Gases by DC Corona" Fire 8, no. 1: 21. https://doi.org/10.3390/fire8010021
APA StyleMolchanov, O., Krpec, K., Horák, J., Kuboňová, L., Hopan, F., Ryšavý, J., & Bury, M. (2025). Transformation of NO in Combustion Gases by DC Corona. Fire, 8(1), 21. https://doi.org/10.3390/fire8010021

