The Long-Term Deep Loessal Sediments of Northeast China: Loess or Loessal Paleosols?
Abstract
:1. Introduction
2. Materials and Methods
2.1. The Study Area and Profile Descriptions
2.2. Sampling Methods
2.3. Laboratory Methods
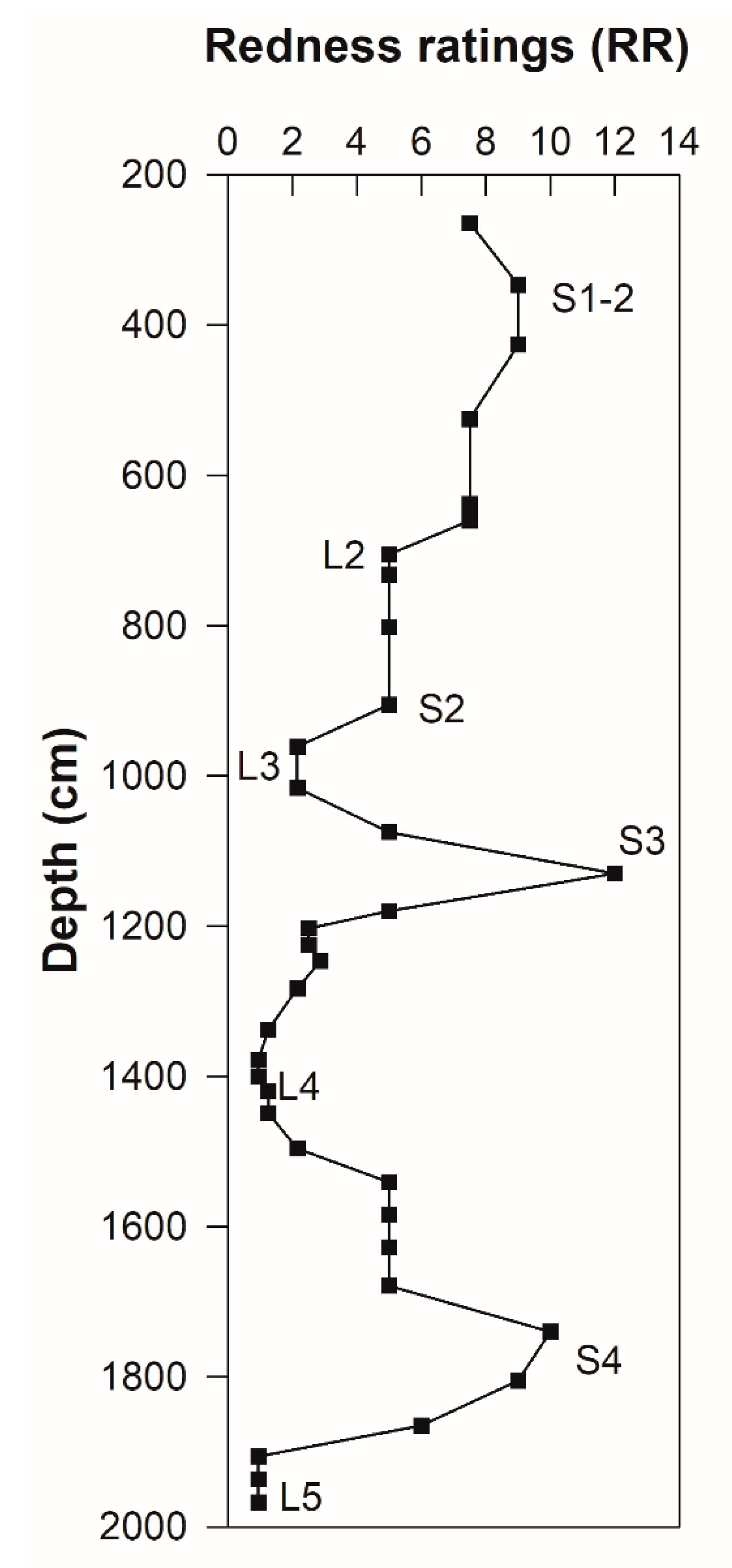
3. Results
3.1. Profile Morphologies
3.1.1. Field Morphology
3.1.2. Micromorphology
3.2. Dust Deposition Fluxes
3.3. Geochemical Characteristics
3.4. The Grain Size Distribution and Magnetic Susceptibility
4. Discussion
4.1. The Identification of Paleosols
4.1.1. The Time Criteria for Paleosol Formation
4.1.2. The Depth Criteria for Identification of Paleosols
4.1.3. The Morphological Characteristics for the Identification of Paleosols
4.2. The Difference between Loess and Paleosols
4.3. The Suggestted Definition of Loess in the Loess-Paleosol Sequence
5. Conclusions
Author Contributions
Funding
Data Availability Statement
Acknowledgments
Conflicts of Interest
References
- Li, Y.; Shi, W.; Aydin, A.; Beroya-Eitner, M.A.; Gao, G. Loess genesis and worldwide distribution. Earth-Sci. Rev. 2020, 201, 102947. [Google Scholar] [CrossRef]
- Liu, T.S. Loess and the Environment; China Ocean Press: Beijing, China, 1985; p. 251. [Google Scholar]
- Gallet, S.; Jahn, B.-m.; Torii, M. Geochemical characterization of the Luochuan loess-paleosol sequence, China, and paleoclimatic implications. Chem. Geol. 1996, 133, 67–88. [Google Scholar] [CrossRef]
- Smalley, I.J.; Marković, S.B.; Svirčev, Z. Loess is [almost totally formed by] the accumulation of dust. Quat. Int. 2011, 240, 4–11. [Google Scholar] [CrossRef]
- Sprafke, T.; Obreht, I. Loess: Rock, sediment or soil–What is missing for its definition? Quat. Int. 2016, 399, 198–207. [Google Scholar] [CrossRef]
- Smalley, I.J.; Marković, S.B. Loessification and hydroconsolidation: There is a connection. Catena 2014, 117, 94–99. [Google Scholar] [CrossRef]
- Ruhe, R.V. Relation of Fluctuations of Sea Level to Soil Genesis in the Quaternary. Soil Sci. 1965, 99, 23–29. [Google Scholar] [CrossRef]
- Lehmkuhl, F.; Nett, J.J.; Pötter, S.; Schulte, P.; Sprafke, T.; Jary, Z.; Antoine, P.; Wacha, L.; Wolf, D.; Zerboni, A.; et al. Loess landscapes of Europe–Mapping, geomorphology, and zonal differentiation. Earth-Sci. Rev. 2021, 215, 103496. [Google Scholar] [CrossRef]
- An, Z.S.; Kukla, G.J.; Porter, S.C.; Xiao, J.L. Magnetic susceptibility evidence of monsoon variation on the Loess Plateau of central China during the last 130,000 years. Quat. Res. 1991, 36, 29–36. [Google Scholar] [CrossRef]
- Liu, T.S.; Guo, Z.T.; Liu, J.Q.; Han, J.M.; Ding, Z.L.; Gu, Z.Y.; Wu, N.Q. Variations of eastern Asian monsoon over the last 140,000 years. Bull. Soc. Géol. Fr. 1995, 166, 221–229. [Google Scholar]
- Kukla, G.; An, Z.S. Loess stratigraphy in central China. Palaeogeogr. Palaeoclimatol. Palaeoecol. 1989, 72, 203–225. [Google Scholar] [CrossRef]
- Ding, Z.; Yu, Z.; Rutter, N.; Liu, T. Towards an orbital time scale for Chinese loess deposits. Quat. Sci. Rev. 1994, 13, 39–70. [Google Scholar] [CrossRef]
- An, Z.S. The history and variability of the East Asian paleomonsoon climate. Quat. Sci. Rev. 2000, 19, 171–187. [Google Scholar] [CrossRef]
- Sun, Y.B.; Lu, H.Y.; An, Z.S. Grain size of loess, palaeosol and Red Clay deposits on the Chinese Loess Plateau: Significance for understanding pedogenic alteration and palaeomonsoon evolution. Palaeogeogr. Palaeoclimatol. Palaeoecol. 2006, 241, 129–138. [Google Scholar] [CrossRef]
- Makeev, A.O. Pedogenic alteration of aeolian sediments in the upper loess mantles of the Russian Plain. Quat. Int. 2009, 209, 79–94. [Google Scholar] [CrossRef]
- Zhou, L.P.; Oldfield, F.; Wintle, A.G.; Robinson, S.G.; Wang, J.T. Partly pedogenic origin of magnetic variations in Chinese loess. Nature 1990, 346, 737–739. [Google Scholar] [CrossRef]
- Maher, B.A.; Thompson, R. Mineral magnetic record of the Chinese loess and paleosols. Geology 1991, 19, 3–6. [Google Scholar] [CrossRef]
- Smalley, I.J. ‘In-situ’ theories of loess formation and the significance of the calcium-carbonate content of loess. Earth-Sci. Rev. 1971, 7, 67–85. [Google Scholar] [CrossRef]
- Yang, S.L.; Ding, F.; Ding, Z.L. Pleistocene chemical weathering history of Asian arid and semi-arid regions recorded in loess deposits of China and Tajikistan. Geochim. Cosmochim. Acta 2006, 70, 1695–1709. [Google Scholar] [CrossRef]
- Sun, Z.-X.; Owens, P.R.; Han, C.-L.; Chen, H.; Wang, X.-L.; Wang, Q.-B. A quantitative reconstruction of a loess–paleosol sequence focused on paleosol genesis: An example from a section at Chaoyang, China. Geoderma 2016, 266, 25–39. [Google Scholar] [CrossRef]
- Guo, Z.T.; Fedoroff, N.; An, Z.S. Genetic types of the Holocene soil and the Pleistocene paleosols in the Xifeng loess section in central China. In Loess, Environment and Global Change; Science Press: Beijing, China, 1991; pp. 93–111. [Google Scholar]
- Guo, Z.T.; Liu, T.S.; Fedoroff, N.; Wei, L.Y.; Ding, Z.L.; Wu, N.Q.; Lu, H.Y.; Jiang, W.Y.; An, Z.S. Climate extremes in loess of China coupled with the strength of deep-water formation in the North Atlantic. Glob. Planet. Chang. 1998, 18, 113–128. [Google Scholar] [CrossRef]
- Guo, Z.T.; Biscaye, P.E.; Wei, L.Y.; Chen, X.H.; Peng, S.Z.; Liu, T.S. Summer monsoon variations over the last 1.2 Ma from the weathering of loess-soil sequences in China. Geophys. Res. Lett. 2000, 27, 1751–1754. [Google Scholar] [CrossRef]
- Bronger, A.; Heinkele, T. Micromorphology and genesis of paleosols in the Luochuan loess section, China: Pedostratigraphic and environmental implications. Geoderma 1989, 45, 123–143. [Google Scholar] [CrossRef]
- Smalley, I.J.; Obreht, I. The formation of loess ground by the process of loessification: A history of the concept. Geologos 2018, 24, 163–170. [Google Scholar] [CrossRef]
- Hydrogeology Brigade of Liaoning Geology Bureau. The Quaternary of Liaoning Province; Geology Press: Beijing, China, 1983. [Google Scholar]
- Zeng, L.; Yi, S.; Zhang, W.; Feng, H.; Lv, A.; Zhao, W.; Luo, Y.; Wang, Q.; Lu, H. Provenance of loess deposits and stepwise expansion of the desert environment in NE China since ~1.2 Ma: Evidence from Nd-Sr isotopic composition and grain-size record. Glob. Planet. Chang. 2020, 185, 103087. [Google Scholar] [CrossRef]
- Li, L.; Li, G.K.; Li, T.; Yi, S.; Lu, H.; Hedding, D.W.; Chen, J.; Li, G. Tracking the Provenance of Aeolian Loess in Northeastern China by Uranium Isotopes. Geochem. Geophys. Geosyst. 2023, 24, e2022GC010715. [Google Scholar] [CrossRef]
- Soil Survey Staff. Keys to Soil Taxonomy, 12th ed.; USDA, NRCS. U.S. Gov. Print. Office: Washington, DC, USA, 2014. [Google Scholar]
- Schoeneberger, P.J.; Wysocki, D.A.; Benham, E.C.; Soil-Survey-Staff. Field Book for Describing and Sampling Soils; Version 3.0; Natural Soil Survey Center: Lincoln, NE, USA, 2012. [Google Scholar]
- Chen, H.; Wang, Q.B.; Han, C.L.; Wu, D.L. Grain-size distribution and material origin of a paleosol sequence at Fenghuang Mountain, Chaoyang, Liaoning Province. Earth Environ. 2009, 37, 243–248. [Google Scholar]
- Lisiecki, L.E.; Raymo, M.E. Plio-Pleistocene climate evolution: Trends and transitions in glacial cycle dynamics. Quat. Sci. Rev. 2007, 26, 56–69. [Google Scholar] [CrossRef]
- Cesareo, R. X-ray Fluorescence Spectrometry; Wiley Online Library: Hoboken, NJ, USA, 2010. [Google Scholar]
- Murphy, C.P. Thin Section Preparation of Soils and Sediments; AB Academic: Berkhamsted, UK, 1986. [Google Scholar]
- Bullock, P.; Fedoroff, N.; Jongerius, A.; Stoops, G.; Tursina, T. Handbook for Soil Thin Section Description; Waine Research: Wolverhampton, UK, 1985. [Google Scholar]
- Brasher, B.R.; Franzmeier, D.P.; Valassis, V.; Davidson, S.E. Use of saran resin to coat natural soil clods for bulk density and water retention measurements. Soil Sci. 1966, 101, 108. [Google Scholar] [CrossRef]
- Nelson, D.W.; Sommers, L.E. Total carbon, organic carbon, and organic matter. In Methods of soil analysis. Part 2. Chemical and microbiological properties; John Wiley & Sons, Ltd.: Hoboken, NJ, USA, 1982; pp. 539–579. [Google Scholar]
- Lu, H.Y.; An, Z.S. An experimental study on the effect of pretreatment methods for the particle size determination of loess sediment. Chin. Sci. Bull. 1997, 42, 2535–2538. [Google Scholar]
- Chen, H.; Wang, Q.B.; Han, C.L. Grain-size characteristics and climatic changes of a paleosol sequence at Fenghuang Mountain in Chaoyang, Liaoning Province. Geol. J. China Univ. 2009, 15, 563–568. [Google Scholar]
- Kukla, G.; An, Z.S.; Melice, J.L.; Gavin, J.; Xiao, J.L. Magnetic susceptibility record of Chinese loess. Trans. R. Soc. Edinb. Earth Sci. 1990, 81, 263–288. [Google Scholar] [CrossRef]
- Chen, H. Grain-Size Characteristics and Paleoclimatic Reconstruction during the Late Middle Pleistocene and the Last Interglacial Stage of a Paleosol Sequence at Fenghuang Mountain in Chaoyang, Liaoning Province. Ph.D. Thesis, College of Land and Environment, Shenyang Agricultural University, Shenyang, China, 2009. (In Chinese). [Google Scholar]
- Sun, Z.X.; Wang, Q.B.; Han, C.L.; Zhang, Q.J.; Owens, P.R. Clay mineralogical characteristics and the paleoclimatic significance of a Holocene to Late Middle Pleistocene loess-paleosol sequence from Chaoyang, China. Earth Environ. Sci. Trans. R. Soc. Edinb. 2016, 106, 185–197. [Google Scholar]
- Torrent, J.; Schwertmann, U.; Fechter, H.; Alferez, F. Quantitative relationships between soil color and hematite content. Soil Sci. 1983, 136, 354–358. [Google Scholar] [CrossRef]
- Sun, Z.-X.; Jiang, Y.-Y.; Wang, Q.-B.; Owens, P.R. Geochemical characterization of the loess-paleosol sequence in northeast China. Geoderma 2018, 321, 127–140. [Google Scholar] [CrossRef]
- Feng, J.-L.; Hu, H.-P.; Chen, F. An eolian deposit–buried soil sequence in an alpine soil on the northern Tibetan Plateau: Implications for climate change and carbon sequestration. Geoderma 2016, 266, 14–24. [Google Scholar] [CrossRef]
- Rudnick, R.L.; Gao, R. Composition of the continental crust. Crust 2003, 3, 1–64. [Google Scholar]
- Li, T.J.; Zhao, Y.; Zhang, K.L.; Zheng, Y.S.; Wang, Y. Soil Geography; Higher Education Press: Beijing, China, 2005. [Google Scholar]
- Peng, B.Z.; Zhou, S.L. Several Questions in the Study of Paleosols. In Soil Environmental Change; Gong, Z.T., Ed.; China Science and Technology Press: Beijing, China, 1992; pp. 121–124. [Google Scholar]
- Bronger, A.; Catt, J.A. Paleosols: Problems of definition, recognition and interpretation. Catena Suppl. 1989, 16, 1–7. [Google Scholar]
- Duchaufour, P. Pedology: Pedogenesis and Classification; George Allen and Unwin: London, UK, 1982. [Google Scholar]
- Xu, S.R. Understanding the relationship between environmental change and soil formation. In Soil Environmental Change; Gong, Z.T., Ed.; China Science and Technology Press: Beijing, China, 1992; pp. 118–120. [Google Scholar]
- Lu, J.G.; He, L.M. The dimensional differentiation of paleogeneic red soil characters in eastern China. In Soil Environmental Change; Gong, Z.T., Ed.; China Science and Technology Press: Beijing, China, 1992; pp. 91–96. [Google Scholar]
- Yaalon, D.H. The soils we classify essay review of recent publications on soil taxonomy. Catena 1995, 24, 233–241. [Google Scholar] [CrossRef]
- Cremeens, D.L.; Brown, R.B.; Huddleston, J.H. Whole Regolith Pedology; Soil Science Society of America: Madison, WI, USA, 1994. [Google Scholar]
- Nesbitt, H.; Young, G. Early Proterozoic climates and plate motions inferred from major element chemistry of lutites. Nature 1982, 299, 715–717. [Google Scholar] [CrossRef]
- Li, X.; Han, Z.; Yang, S.; Chen, Y.; Wang, Y.; Yang, D. Chemical weathering intensity and element migration features of the Xiashu Loess profile in Zhenjiang. Acta Geogr. Sin. 2007, 62, 1174–1184. (In Chinese) [Google Scholar]
- Kang, J.C.; Mu, D.F. Geochemical characteristics of beiyuan loess profile in Linxia city, Gansu, China. J. Lan Zhou Univ. 1998, 34, 119–125, (In Chinese with an English Abstract). [Google Scholar]
- Ložek, V. Molluscan fauna from the loess series of Bohemia and Moravia. Quat. Int. 2001, 76, 141–156. [Google Scholar] [CrossRef]
- Porter, S.C.; An, Z.S. Correlation between climate events in the North Atlantic and China during the last glaciation. Nature 1995, 375, 305–308. [Google Scholar] [CrossRef]
- Yang, S.L.; Ding, Z.L. Comparison of particle size characteristics of the Tertiary ‘red clay’ and Pleistocene loess in the Chinese Loess Plateau: Implications for origin and sources of the ‘red clay’. Sedimentology 2004, 51, 77–93. [Google Scholar] [CrossRef]
- Ding, Z.L.; Derbyshire, E.; Yang, S.L.; Yu, Z.W.; Xiong, S.F.; Liu, T.S. Stacked 2.6-Ma grain size record from the Chinese loess based on five sections and correlation with the deep-sea δ18O record. Paleoceanography 2002, 17, 5-1–5-21. [Google Scholar] [CrossRef]










Disclaimer/Publisher’s Note: The statements, opinions and data contained in all publications are solely those of the individual author(s) and contributor(s) and not of MDPI and/or the editor(s). MDPI and/or the editor(s) disclaim responsibility for any injury to people or property resulting from any ideas, methods, instructions or products referred to in the content. |
© 2023 by the authors. Licensee MDPI, Basel, Switzerland. This article is an open access article distributed under the terms and conditions of the Creative Commons Attribution (CC BY) license (https://creativecommons.org/licenses/by/4.0/).
Share and Cite
Sun, Z.-X.; Zhang, N.-W.; Jiang, Y.-Y.; Wang, Q.-B.; Zhang, G.-L. The Long-Term Deep Loessal Sediments of Northeast China: Loess or Loessal Paleosols? Quaternary 2023, 6, 53. https://doi.org/10.3390/quat6040053
Sun Z-X, Zhang N-W, Jiang Y-Y, Wang Q-B, Zhang G-L. The Long-Term Deep Loessal Sediments of Northeast China: Loess or Loessal Paleosols? Quaternary. 2023; 6(4):53. https://doi.org/10.3390/quat6040053
Chicago/Turabian StyleSun, Zhong-Xiu, Nai-Wen Zhang, Ying-Ying Jiang, Qiu-Bing Wang, and Gan-Lin Zhang. 2023. "The Long-Term Deep Loessal Sediments of Northeast China: Loess or Loessal Paleosols?" Quaternary 6, no. 4: 53. https://doi.org/10.3390/quat6040053
APA StyleSun, Z.-X., Zhang, N.-W., Jiang, Y.-Y., Wang, Q.-B., & Zhang, G.-L. (2023). The Long-Term Deep Loessal Sediments of Northeast China: Loess or Loessal Paleosols? Quaternary, 6(4), 53. https://doi.org/10.3390/quat6040053
