Next Article in Journal
Local Differentiation in the Loess Deposition as a Function of Dust Source: Key Study Novo Orahovo Loess Paleosol Sequence (Vojvodina, Serbia)
Next Article in Special Issue
An Assessment of Soil Phytolith Analysis as a Palaeoecological Tool for Identifying Pre-Columbian Land Use in Amazonian Rainforests
Previous Article in Journal
The Role of Large Mammals as Vitamin C Sources for MIS 3 Hominins
 
 
Font Type:
Arial Georgia Verdana
Font Size:
Aa Aa Aa
Line Spacing:
Column Width:
Background:
Article

High-Resolution Multiproxy Record of Environmental Changes and Anthropogenic Activities at Unguja Ukuu, Zanzibar, Tanzania during the Last 5000 Years

1
Biological Sciences Program, Faculty of Science, Chulalongkorn University, Bangkok 10330, Thailand
2
Plants of Thailand Research Unit, Department of Botany, Faculty of Science, Chulalongkorn University, Bangkok 10330, Thailand
3
Faculty of Environment and Resource Studies, Mahidol University, Salaya, Phutthamonthon, Nakhon Pathom 73170, Thailand
4
York Institute of Tropical Ecosystems, Department of Environment and Geography, University of York, York YO10 5NG, UK
5
Department of Archaeology, University of York, King’s Manor, York YO1 7EP, UK
6
Synchrotron Light Research Institute (Public Organization), 111 University Avenue, Muang District, Nakhon Ratchasima 30000, Thailand
*
Authors to whom correspondence should be addressed.
Quaternary 2023, 6(1), 21; https://doi.org/10.3390/quat6010021
Submission received: 17 February 2023 / Revised: 3 March 2023 / Accepted: 8 March 2023 / Published: 13 March 2023

Abstract

A high-resolution multiproxy sedimentary record comprising pollen, charcoal, trace element, stratigraphy and particle size data is used to reveal environmental changes from the mangrove ecosystem at Unguja Ukuu, Zanzibar, Tanzania, over the last 5000 years. Historical human–environment interactions over the last millennia are explored by a comparison of the stratigraphic and archaeological data. The area was characterised by a mixture of mangrove forest and beaches, indicating a low level of tidal inundation to at least 3300 BCE. From 2750 BCE, mangrove forest expanded as the area experienced sea-level rise. Further sea-level rise is recorded between 600 and 1100 CE, indicated by the pollen record, particle size analysis and the presence of shell fragments. After 1100 CE, mangrove forest decreased with back mangrove species increasing, indicating a falling sea level. Cocos nucifera decreased after 1900 CE, which reflects a recent sea-level rise and possibly a phase of exploitation. Cereal pollen shows a high presence at around 1500 CE, which coincided with the arrival of the Portuguese on Zanzibar and the transition to Omani colonisation. The sedimentation rate in the core top indicates that mangroves in Unguja Ukuu cannot keep pace with the current rate of sea-level rise.

1. Introduction

Mangrove forests are one of the most valuable ecosystems on Earth as they provide a wide variety of ecosystem services such as supporting commercial fisheries, providing habitats for animal and plants, filtering sediment, contributing to coastal protection and sequestering large amounts of carbon [1,2,3,4] However, mangrove ecosystems have been massively impacted on by human activities, river discharge, coastal development and climate change, including recent sea-level rise [5,6]. Mangrove ecosystems accumulate sediment and build up an archive of fossils that indicates changes in sea levels, river discharge and mangrove composition. Thus, mangroves are widely used as a sea-level indicator and to track environmental change and human–mangrove interaction, e.g., [7,8,9,10,11]. In addition to this, reconstructing past mangrove dynamics at a range of different temporal and spatial scales can aid in understanding how mangroves may respond to future sea-level change [12]. During the last millennium, global sea level at approximately 1150 CE had reached 12–21 cm above the level at 1980-1999 CE [13]. The projected global sea-level rise is between 3.0 and 13.2 mm yr−1 by 2100 CE [14]. This recent and continuing rise is a threat to mangrove ecosystems [6] and the large populations that live in the coastal zone. Coastal areas are often highly developed, curtailing the ability of mangrove to migrate landward.
Relative sea-level changes have been reconstructed from a range of geomorphological proxies across the world including the southwest Indian Ocean region [9,10,11,15,16,17,18,19,20,21,22]. However, the results from these studies are inconsistent and there is considerable disagreement about the chronology, characteristics and duration of Holocene sea-level changes across the Indian Ocean region. Moreover, few studies focus on Anthropocene sea-level change, which began in the late 18th century [23,24]. Additional proxies and tighter chronological control can resolve these inconsistencies while also exploring Holocene–Anthropocene environmental and sea-level change interactions. Such past relative sea-level reconstructions are vital to understand anthropogenic-driven coastal environmental changes by combining palaeoecological data from mangrove ecosystems and coastal archaeological sites.
Aside from past environmental changes, the interplay between humans and ecosystems have shaped the composition and distribution of mangrove ecosystems [1,12]. Although pollen and charcoal analyses of mangrove sediment cores from Unguja Ukuu, Zanzibar, have already revealed that mangrove ecosystems have been influenced by human activities since around 500 CE [9], more specific information on the nature of this human–ecosystem interaction is needed. Human–environment interactions from the Holocene onwards often focus on the exploitation of ecosystem resources, particularly food plant resources for human communities [25,26,27]. In addition, there are direct impacts on mangrove trees for timber to support the growing maritime trade, particularly along the Swahili coast [28]. We focus on the investigation of plant resources in this study by combining multiple proxies from mangrove sediments with additional archaeological data to unravel historical human–ecosystem–environment interactions throughout the last millennia, a critical period of significant global sea-level rise [14,29,30] that has affected not only the mangrove ecosystems but also coastal cultures and landscapes. This study presents a high-resolution multiproxy pollen analysis combined with phytolith, microcharcoal, stratigraphy, particle size and trace element analysis set within a chronological framework provided by 14C dating on mangrove sediments of the last 5000 years collected from the site of Unguja Ukuu, a former capital of Zanzibar, Tanzania. Insights from the sedimentary archive are compared with an archaeological record covering the past 1000 years and used to explore adaptive human responses to sea-level change, possible connections to cultural settlement, development and abandonment including early agriculture with wider consequences to the Swahili coast, Tanzania.

2. Materials and Methods

2.1. Study Area

2.1.1. Environmental Setting

Unguja is the largest island of the Zanzibar archipelago situated approximately 40 km from mainland Tanzania and separated from Africa by the Zanzibar Channel [9,31,32]. Zanzibar comprises coral reefs and the continental slope underlain by Miocene sandy clay marl. Zanzibar has a tropical monsoonal climate with two rainy seasons, typically with dry and hot weather during January and February controlled by the biannual migration of the Intertropical Convergence Zone (ITCZ). Northeast and southeast monsoons occur from March to May with short rains from October to December [9,32,33,34]. Between June and September, the southern monsoon winds bring cooler temperatures, stronger winds and more rain. The monsoon winds were critical in linking Zanzibar to the rest of Indian Ocean countries, enabling for socio-economic trade between Zanzibar and the rest of the Indian Ocean [35]. Annual average rainfall is approximately 1100–1500 mm with average temperature range approximately 27–30 °C [32,36]. Mangrove vegetation found along Zanzibar’s western shores cover approximately 6% of the whole area of Zanzibar including 5% in Unguja and 15% in Pemba [35]. Root crops, vegetables and rain-fed rice plantations account for most of the agriculture in the island [32]. According to [10], although there are ten mangrove species found on Zanzibar [37], eight mangrove species (Acrostichum aureum, Avicennia marina, Bruguiera gymnorhiza, Ceriops tagal, Lumnitzera racemosa, Rhizophora mucronata, Sonneratia alba and Xylocarpus granatum) form a distinct vegetation zonation. The study area is located in a dense mangrove stand approximately 75–120 m wide and 1 km long in a north–south alignment bordered to the south by the sea and a 3 m high sand ridge to the west (Figure 1).

2.1.2. Archaeological Context

Unguja Ukuu was a prominent early settlement on Zanzibar and was one of the first densely settled coastal sites in eastern Africa, with archaeological evidence of settlement dating back to around 450 CE [38]. The archaeological site is situated along a narrow coral-rag peninsula on Zanzibar’s southwestern coast, between the mangrove-lined Uzi Creek to the east and Menai Bay to the west which formed a natural harbour [39]. There is a substantial archaeological deposit at Unguja Ukuu, indicating a major settlement and trade port with a wattle-and-daub architecture spread across 17 ha, representing quantities of imported goods, including Chinese and Near Eastern ceramics, glass beads and glass vessel fragments [31,39] with evidence of mangrove exploitation [40]. The study from [31] indicated the appearance of mud–timber buildings, pottery, iron working and other craft materials for domestic use and trade, but little evidence of agricultural use. Nonetheless, there was an evidence of a varied diet of people that included hunting, a major emphasis on fish consumption and the rearing of chickens; the staple crops were pearl millet and sorghum [41]. Unguja Ukuu was abandoned around 950 CE before experiencing a re-occupation between 1450 to 1600 CE during which time several buildings were built from coral rag. From 1100 to 1400 CE, there are an increasing number of other archaeological sites along the coast of Zanzibar, especially on the western side of the island which was thought to be a prosperous period on the island [31,42]. Following the arrival of Portuguese traders on Zanzibar during the late 15th century, Zanzibar came under Omani rule from the 18th century onwards, a period characterised by increased trade in commodities, particularly spices, ivory and slaves [43] and wider connections into trade in ivory into Europe and North America [28]. Zanzibar became a British protectorate from 1890 CE to 1963 CE before becoming independent.

2.2. Sediment Core Sampling

This study is based on fieldwork conducted in 2010 CE by [9] with an additional site visit in 2022. Three sediment cores, AUU1, BUU1 and CUU1 (Figure 1), were retrieved with a 5 cm-diameter Russian-type corer along a transect perpendicular to the coastline from seaward to landward through mangroves in Unguja Ukuu [9]. The sediment characteristics of the cores were described based on depth, colour, texture by eye evaluation and finger-texturing on dry and wet samples using a modified version of the Tröels-Smith (1955) classification [44,45] and other notable characteristics.

2.3. Palaeoecological Analyses

Sediment samples of 1 cm3 were extracted every 2 cm along cores AUU1, BUU1 and CUU1 for pollen, microcharcoal, phytolith, trace element and particle size analysis.

2.3.1. Pollen and Spore Analysis

Pollen and spores from sediment were processed using acetolysis technique [46,47] and heavy liquid separation using sodium polytungstate solution with a specific gravity of 2.0–2.2 [48]. One tablet of exotic Lycopodium spores was added to each sample to estimate pollen concentration following [49,50]. Slides were prepared with sample residues mounted in a silicone oil. The number of pollen species in five samples from each site were counted and recorded for every 20 grains up to a count of 300 grains in order to estimate the appropriate grain count. The tally of new taxa stopped increasing after 80 grains; therefore, every sample had a minimum of 150 pollen grains counted. Moreover, due to the limited amount of pollen in some sediment samples, it was not possible to obtain a count of 300 grains. The pollen and spore identification was based on published pollen morphology and modern pollen references, as well as comparison with pollen from mangrove specimens collected during fieldwork and modern pollen references following [9]. Identified pollen and spore types were grouped according to their ecology into mangroves, back mangroves, terrestrial herbaceous, non-mangrove arboreal and unknown. Mangroves and back mangroves were grouped according to [51,52] inundation classes. Pteridophyte spores were excluded from the pollen sum. Percentages of pollen were calculated and zoned based on the total pollen sum and presented in diagrams by stratigraphically constrained cluster analysis using CONISS, within the software TILIA2 and TILIA ∗ Graph [53].

2.3.2. Phytolith Analysis

Phytoliths were extracted from mangrove sediments according to [54]. The sample residues were mounted on microscope slides using silicone oil as a mounting medium. However, the phytolith concentration in mangrove sediments were extremely low and insufficient to be analysed.

2.3.3. Microcharcoal Analysis

The charcoal in pollen slides was quantified using size classes of microscopic charcoal modified from [9,55,56,57] which is divided into six classes (3–10 μm, 11–25 μm, 26–50 μm, 51–75 μm, 76–100 μm and >100 μm). The total number of fragments counted on an entire slide is used to represent the charcoal counts for each size class within 500 fields. The quantity of fragments per calculated area of each sample slide is multiplied by the mean length of each size class to determine the total charcoal content for each size class and is also shown in summary diagrams of each core. The size of the charcoal fragments can be used to provide more information about the distance from which the fire originated. Smaller less than 50 μm charcoal fragments typically cover a wider area, indicating remote regional fire and larger charcoal fragments tend to be found closer to the location of the fire, indicating a local source of the charcoal. Moreover, larger fragments of charcoal can be used to identify potential links between human activities and environment, particularly those related to human-caused fires [56].

2.3.4. Trace Element Analysis

The X-ray fluorescence (XRF) technique was used to analyse trace elements on 192 sediment sub-samples (2 cm intervals) within three sediment cores. The experiment was carried out at the BL1.1W, Synchrotron Light Research Institute, Nakhon Ratchasima. A 19 element Ge detector was employed to measure fluorescence signals for all samples. As elemental concentration is proportional to the strength of the fluorescence lines, the relative heavy-metal content for all samples were determined by comparing areas under peaks of the fluorescence lines corresponding to each element. The program PyMCA [58] was used for the data analysis and the obtained peak areas as a function of core length and soil samples are provided together with a pollen diagram, respectively.

2.3.5. Particle Size Analysis

Carbonate content and organic material were removed from the 192 subsamples using 10% HCl and 30% H2O2, respectively. Grain size analysis on the remaining material was undertaken using a Malvern Mastersizer 2000 analyser with a measurement range of 0.02–2000 μm. The end-member-modelling algorithm of Weltje (1997) was used to calculate the end members from the total set of grain size measurements of the cores.

2.3.6. Chronology

Five organic samples from the basal sections of each core and the depth of biostratigraphic changes were treated with acid–base–acid (ABA) method following [59] to remove soluble carbonates and prevent humic acids from percolating into the mangrove sediment sequences. The pre-treated samples were radiocarbon-dated by Acceleration Mass Spectrophotometry (AMS) at DirectAMS Radiocarbon Dating Service, USA. Combined with the ages obtained from [9], the calibrated ages and age–depth model were performed using the package ‘rBacon’ [60] and the R statistical programming language version 3.4.0 [61,62]. These calibrated ages for individual 14C ages were derive using a Southern Hemisphere calibration curve, which provided range with 95% probability (SHCal20) [63]. The median age probability prefixed circa (c.) is used to report 14C ages in this study, and the max–min age range is presented as BCE/CE (Table 1).

3. Results

3.1. Vegetation Survey and Mangrove Zonation in Unguja Ukuu, Zanzibar Island

Mangrove forest found along the coast of Unguja Ukuu was surveyed and levelled by [9] and revisited in 2022. The ecological distribution of major mangrove species was then presented along a 50 m transect from landward to seaward perpendicular to the shoreline (Figure 2) to demonstrate the mangrove zonation in Unguja Ukuu.

3.2. Core Chronological Results and Sedimentation Rates

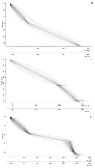
The chronology of mangrove development and palaeoenvironment changes on Unguja Ukuu, Zanzibar have been revisited and provide more high resolution over the past 5000 years at Unguja Ukuu. Two dates were excluded from the age–depth curves but reported in Table 1; these dates are both much younger than their stratigraphic position and likely reflect the incorporation of younger plant material to depth. Therefore, approximate ages of pollen zones were based on the interpolated age–depth curves (Figure 3).
The sedimentation rate in the lower part of core AUU1 is 0.69 mm yr−1 (128–56 cm), increasing in the upper part to 1.66 mm yr−1 (56–0 cm). The sedimentation rate of BUU1 in the lower part (138–88 cm) is 1.31 mm yr−1 and the rate of the upper part is 0.83 mm yr−1 (0–88 cm). The sedimentation rates in the lower, middle and upper part of CUU1 are 0.52 (55–78 cm), 0.11 (36–55 cm) and 0.26 (0–36 cm) mm yr−1, respectively.

3.3. Stratigraphy, Particle-Size and Trace Elements Analyses

The basal part of all three sediment cores is characterised by grey sand and silt, which is overlain by peat containing woody root fragments. Shell fragments are discovered in the lower parts of cores AUU1 and BUU1. Silt particles are present at the uppermost part of core AUU1 while sand particles and small woody root fragments are found at the top of cores BUU1 and CUU1 (Figure 2, Figure 4, Figure 5 and Figure 6). Particle size analysis of the three cores agrees with stratigraphic descriptions (Figure 7, Figure 8 and Figure 9).
Most of core AUU1 contained moderately well-sorted medium sand, as well as sand particles present along the core; these range from 0.5–71.2% while most of cores BUU1 and CUU1 consisted of poorly sorted medium silt to very fine sandy. Silt and sand in core BUU1 range from 42.6–98.1% and 0.5–71.2%, respectively. Silt and sand of CUU1 range from 28–98% and 1–71%, respectively. In core BUU1, the coarsest particle size is from 0 to 76 cm (0–15%), then the particle size is smaller and gradually decreases towards its deepest depth. The particle size in core CUU1 is mainly very coarse silt to very fine sandy. Sand decreased from the bottom to the top of core CUU1, with some fluctuation, whereas silt demonstrated in the opposite trend.
In core AUU1, Zn and Pb increase with peaks towards the top. As, Mn and Ni record relatively low across the core with peaks at depths of 36, 76 and 134 cm, respectively. From the core bottom to the AUU-2 zone boundary at around 80 cm, Ti, Fe and Zr increase, but towards the top Ti and Zr fluctuate with several peaks while Fe slightly decreases. In core BUU1, Zn and Pb demonstrate similar patterns to those in core AUU1. Mn and Ni are lower, but As is slightly higher than those in core AUU1. Ti and Fe do not change in concentration throughout core BUU1, whereas Zr increases from the bottom to the top of the core with peaks at depths of 28, 44 and 56 cm. In core CUU1, all elements, except As, Ni and Pb, show similar patterns, i.e., decreasing with some fluctuation from the bottom to the core top. As increases from the bottom to the CUU-3 zone and then decreases towards the top. Ni decreases from the bottom to CUU-3 zone, then increases before decreasing again towards the top. Pb decreases from the core bottom to the top with a notable peak at 52 cm.

3.4. Pollen Records

Pollen taxa from three sediment cores of Unguja Ukuu are presented in Table 2 and summaries of pollen zone characterisation of each core are shown in Figure 4, Figure 5 and Figure 6 and in the supplementary file, Table S1.

3.5. Microcharcoal Records

Charcoal fragments in each size class and the total charcoal content are presented as a summary diagram in Figure 7, Figure 8 and Figure 9. Summaries of charcoal description based on pollen zones of each core are shown in the supplementary file, Table S1.

4. Interpretation and Discussion

A high-resolution multidisciplinary approach that includes pollen, charcoal, stratigraphy, particle size and trace element analyses is used to contribute an understanding of environmental change at Unguja Ukuu, Zanzibar Island with impact for the wider Indian Ocean and sea-level change ecosystem. R. mucronata pollen dominated the mangrove pollen in all sediment cores. Importantly, R. mucronata pollen is dispersed from local sources although it can be over-represented due to its wind-pollination and high pollen production [64,65,66]. Similarly, Poaceae pollen is also periodically abundant in the sediment cores, especially towards the top of each core. Although several palaeoenvironmental studies show that grass pollen increases in dry conditions [67,68,69], there is a similar response attributed to human-induced changes, making it more difficult to attribute the change without additional information, e.g., [70,71,72,73]. C. nucifera is also abundant in sediment cores. Surprisingly, C. nucifera pollen was not detected in the previous studies, most likely due to this study using the heavy liquid separation technique, which was not reported in the previous study [9], to separate pollen from sediment. The heavy liquid separation method can more effectively increase a pollen concentration yield in the same volume as a previous study which was 1 cm3 and reduced impurities. This could possibly be an explanation for the high concentration of C. nucifera pollen discovered in this study [74]. C. nucifera pollen has been used in some studies as a proxy for human activity [75]. C. nucifera dispersal occurs by both natural flotation and/or human introduction such as maritime trading and agricultural production [76]. Although several studies suggested that C. nucifera was not in the study area before extensive human populations [77,78,79], the evidence here suggests that it was present before extensive human populations. There have been significant interactions between humans and environments across East Africa from the early Holocene through the present day [80,81,82]. The environmental and human interactions from Unguja Ukuu, Zanzibar Island will be presented and discussed in consecutive periods from 3300 BCE to the present day (Figure 10).

4.1. ~3300 BCE–600 CE (5250–1350 cal yr BP)

C. nucifera pollen dominated in zones CUU-1 and CUU-2, followed by Poaceae pollen, with a short-lived but dramatic increase in S. alba from around 72 to 68 cm indicating this area experienced low levels of inundation from around 3300 BCE. The mid-Holocene sea-level rise from around 5950–2650 BCE was recorded in Tanzania [83]; taken together with a dominant presence of C. nucifera and a low representation of mangrove taxa in the CUU-1 zone, it is suggested that this area was likely the transitional zone between marine and terrestrial habitats with the mixture of open sand bars and mangrove forests characterising the area from 3300 BCE. Gradually, the intertidal area increased until around 2750 BCE when a seaward mangrove species, S. alba, occurred at the beginning of zone CUU-2. This interpretation is also supported by a high presence of sand particles in zone CUU-1 and silt gradually becoming more dominant. Considering the altitude of core CUU1, and the dominance of C. nucifera at the core base, it is likely that sea level was lower than 0.48 m a.m.s.l. during 3300 BCE. However, at the beginning of zone CUU-2 until at the depth around 64 cm, R. mucronata and S. alba became more common while C. nucifera and Poaceae decrease, indicating a sea-level rise at around 2750 BCE with a short period of sea level being consistent around 2650 BCE; this is in agreement with the sea-level reconstructions from South Africa [17,18]. After 2650 BCE, sea level fell until around 1800 BCE, after which sea-level rise took place again possibly causing erosion after the depth of 40 cm, as evidenced in a sudden change in the pollen record and particle size in zone CUU-3. Accordingly, the vegetation dynamics and sea-level changes during this period may not reasonably be described. Nonetheless, the existence of Poaceae and C. nucifera from the bottom of core CUU1 combined with an increase in charcoal accumulation in all size classes around 2650 BCE indicate a period of aridity that may have promoted both local and regional fire events in Unguja Ukuu [9,84]. This interpretation is consistent with other palaeoecological works revealing regional aridity occurred along East Africa during 2550–2150 BCE [80,85,86].

4.2. ~600–950 CE (1350–1000 cal yr BP)

Mangrove taxa, particularly R. mucronata, were abundant through zone CUU-4, AUU1 and BUU1 from around 600 CE, indicating the whole area was inhabited by mangroves influenced by tidal inundation. S. alba, which is generally found along the seaward edge or a mangrove ecosystem where it is flooded by all tides [10,11,87], sharply increased at the beginning of zones AUU-1 and BUU-1 and at the top part of core CUU1 around 970–1000 CE, implying sea-level rise. The presence of shell fragments in zone AUU-1 further supports that sea-level transgression was occurring during this time. These findings are congruent with evidence of sea-level rise between 750 and 1450 CE [9,83]. This sea-level rise also coincided with the late Holocene sea-level highstand from southern Africa between 450 and 750 CE [16,21,88,89]. Moreover, there are higher total charcoal contents in all three cores at this time, probably due to burning, [56,57,84], which indicated a dry climate across the area associated with the late Holocene arid climate regime in East Africa [80,90]. This observation is accompanied by multiproxy records from the Kapsabet Swamp in Kenya, which shows a warm and dry climate stage from 280 to 1325 CE [91]. In addition, the abundance of charcoal fragments larger than 100 µm in size, around 635 CE in cores AUU1, BUU1 and CUU1 suggested that local fire regimes possibly represent anthropogenic rather than natural fires with fingerprints related to earliest human settlement on Unguja Ukuu [9,31]. This charcoal record could also suggest the increase in exploitation of mangroves as a source of materials for mud–timber building constructions and trade, the latter of which is well-organised and widespread throughout the Swahili coast, part of a network of Islamic trade in settlements around the Indian Ocean coast (Figure 11) [31,40]. Moreover, the presence of C. nucifera at the bottom of core AUU1, at around 635 CE, is linked to the first human settlement in the Swahili coast around the 7th–10th centuries CE [31,41,92,93]. According to linguistic studies, C. nucifera arrived in Madagascar with early Austronesian settlers in the 1st millennium [94,95]. It also was found on Pemba, the Comoros and mainland Tanzania in the 6th to 8th centuries CE [96]. Therefore, C. nucifera can also be used to indicate human activities when combined with other proxies of human activities. The high occurrence of C. nucifera in the area is also indicative that humans had to find alternate food sources due to extirpating large animals during the late Holocene [97] and possibly became more interested in coconut to expand their diet. The timing of this is also related to an arrival of farmers in the Middle Iron Age, who would have managed the area for their settlement and farming [97] to include coconut in the plantations. However, C. nucifera appeared earlier (~2500 BCE) in core CUU1 before this time and might have dispersed through natural flotation throughout this area prior to human settlement. The presence of anthropogenic activity during this time was also tied to the marine molluscs in eastern Africa as mollusc exploitation was common at Unguja Ukuu in the 8th–9th centuries CE [98]. The artifacts and organic supply analysed from archaeological trenches situated in backshore area of the Unguja Ukuu coast revealed that the early occupation was at around 7th century CE [99]. Furthermore, increases in trace elements, notably Fe, As and Pb, in zone CUU-4 and along core BUU1 suggested the ironwork in the Unguja Ukuu archaeological site during the 7th to 10th centuries CE [31,100]. Although these trace elements are low in core AUU1, this could possibly be due to location with AUU1 being located at a greater distance from the land compared to cores BUU1 and CUU1. Yet, it also indicates the early Indian Ocean trade in East Africa region, where Unguja Ukuu on Zanzibar Island was one of the major commercial ports from the 6th–10th centuries CE [101].

4.3. ~950–1300 CE (1000–650 cal yr BP)

After 950 CE, mangrove taxa, particularly R. mucronata, remained prominent which indicated a continuous mangrove environment in the area. S. alba is represented in zones AUU-1 and BUU-2 and sharply increased in zone CUU-4, firmly cementing the notion of a continuous sea-level rise from 950 to 1100 CE. After that, S. alba decreased in zones CUU-4 and BUU-2 and disappeared in zone AUU-1 which possibly suggested that sea level started to fall until 1300 CE. Moreover, the presence of back mangrove species, i.e., Lumnitzera sp., in zones CUU-4 and BUU-2 indicates that the mangroves landward edges were subjected to more freshwater input, an interpretation also supported by the presence of Poaceae pollen in zones CUU-4, BUU-2 and AUU-1. C. nucifera still has a small presence in zone CUU-4 while it has stable presence in zone AUU-1 but dramatically increases at the bottom of the AUU-2 zone. These pollen records combined with sharp increases and decreases in sand and silt particles in zones BUU-2 and CUU-4 after 1100 CE suggest that the frequency of sea-level inundation was reduced and the sea level fell, leading to mangrove retreat from a landward habitat to seaward habitat. This evidence is in accordance with the sea-level regression occurrences in other Tanzanian coastal regions throughout the late Holocene period [90,102]. From roughly 1100 CE onwards, Poaceae pollen decreased while Cyperaceae was recorded in the top of zone AUU-1 which was dated to around 1276 CE, and it coincided with wet conditions observed throughout East Africa, possible coeval with the Little Ice Age (1250–1850 CE) [103]. A decline in the size of charcoal fragments larger than 100 µm in zone BUU-1 and a disappearance at the top of zone BUU-2 suggest a reduction in anthropogenic activities in the area. This suggestion is supported by the fact that charcoal fragments size larger than 100 µm in cores CUU1 and AUU1 also decreased during the same period. This period corresponds to human abandonment on Unguja Ukuu, Zanzibar Island during the 10th and 13th centuries CE [93,100]. Persistent shortages of resources such as food or raw materials for maintaining some specialised activities, or an external attack, could have led to irreversible collapse. Unguja Ukuu’s demise could have been caused by one or more of these factors, or a combination of them [31]. Apart from these reasons, sea-level rise after 950 CE may be one of the factors contributing to human abandonment. It is feasible that sites were submerged by rising sea level. However, the cause of Unguja Ukuu’s demise at this period is unclear, and more investigation is necessary to support this argument.

4.4. ~1300 CE to the Present Day

Sonneratia alba pollen percentages decreased in the middle of zone CUU-4 at a depth of 20 cm while R. mucronata decreased in both zones CUU-4 and AUU-2 and C. nucifera increased dramatically in sub-zone AUU-2a. These data indicated the sea level fell from 1300 to 1900 CE, an event that coincides with a sea-level regression along the Tanzania coast between 1450 and 1850 CE [83,104]. Conversely, mangrove taxa, particularly S. alba and R. mucronata, continued to dominate throughout the uppermost parts of zones BUU-2 and BUU-3 until around 1950 CE. These findings also point to a sea-level fall during this period. Further evidence of sea-level fall was the formation of sand bars [105] along the area of AUU1 core that was probably connected to the coast. This could be suitable for the growth of C. nucifera and its pollen is found prominently in this core after 1300 CE (Figure 10). Furthermore, this may be the reason that core AUU1 contained a high percentage of sand particles across the core. The appearance of C. nucifera could be interpreted as human actions and the evidence of sea-level fall. After 1900 CE, mangrove taxa, particularly R. mucronata, had a marked presence in the uppermost part of cores AUU1, BUU1 and CUU1, whereas C. nucifera sharply decreased at the top of sub-zone AUU-2b and disappeared altogether in zone AUU-3; these changes are thought to reflect recent sea-level rise. This evidence is most likely associated with global sea-level rise with the rates from 1.1 to 2.5 mm yr−1 between 1902 and 1990 CE to the present rates of 3.1–3.4 mm yr−1 in the Anthropocene period due to the ice melting in Greenland and Antarctica as well as thermal expansion of warmed ocean waters [106,107,108]. Similar responses of late Holocene highstands are recorded along the southern African coasts [17,18,89]. It should be noted that the short period of rise and fall of sea level from the 900 CE until the present day corresponds to the Holocene sea-level fluctuations during the last centuries along the Tanzanian coast [83] which is seen in the fluctuation of sand and silt particles of zone CUU-4 and throughout core BUU1. This period also corresponds to arid climatic regimes which is evidenced by a significant increase in Poaceae pollen and high charcoal contents from the middle to the top of zone CUU-4 and along zone AUU-3. This could be related to the general decrease in moisture in East Africa from the mid-Holocene to the present day [80,82]. However, the significant presence of Poaceae pollen can be used to illustrate both drought incident [9,82,109] and anthropogenic activities such as agriculture and pastoralism [80]. Therefore, it is a challenge to separate between natural regimes and anthropogenic signals in palaeoenvironment reconstruction after the first imprint of anthropogenic influences [80]. Although pollen records reveal evidence of recent sea-level rise, S. alba pollen decreased in all cores around 100 years ago, possibly due to human exploitation because S. alba is commonly used in Zanzibar for charcoal production, firewood and materials for boat construction such as boat ribs and outrigger canoes [37,110]. Along with S. alba, R. mucronata is slightly declining at the top zone of cores AUU1 and BUU1, which is potentially related to the usage of mangrove woods for construction, fuel and firewood [9,37,110,111]. All of these are common uses of mangroves by Swahili communities today [112]. Poaceae pollen continues to be present at the top of all cores at around 1500 CE and the domesticated grass pollen dramatically increased at the uppermost zone of the BUU1 core which was dated back to around 1554 CE. This evidence indicated that the area was once again influenced by human activities associated with the human reoccupation phase at Unguja Ukuu during 14th–16th centuries CE, the arrival of the Portuguese on Zanzibar and continued to Omani colonisation and a sea-level fall period in the area (Figure 11). Although grass pollen larger than 40 μm is generally classified as domesticated grass pollen [113,114], grass pollen grain sizes between 60 and 80 μm are considered to be derived from east African cereals such as sorghum (Sorghum bicolor) [72]. Therefore, the presence of domesticated grass pollen in this study which is larger than 40 μm but smaller than 60 μm is unlikely to represent an east African cereal. The presence of domesticated grass pollen and coconut pollen might be due to the significant quantities of Asian crops especially Oryza sativa at eastern Africa sites including Unguja Ukuu after 11th century CE [112]. During this time, both Asian rice (Oryza sativa) and coconut (C. nucifera) macrofossils were discovered at Unguja Ukuu, which coincided with a significant increase in Indian Ocean trade, as evidenced by the arrival of imported ceramics, glass beads, metals and other foreign products from China, India and the Middle East [115]. Although the introduction of Asian crops to the region occurred in this period, African crops such as sorghum, pearl millet and finger millet remained a major source of food on Unguja Ukuu [115]. It is likely that domesticated grass pollen found in this study is considered to be trading Asian crops.
It is noted that since 1300 CE, trace elements, especially Ti, Fe, Ni, Pb, Zn and Zr, have been significantly higher at the uppermost part of cores CUU1, BUU1 and AUU1. Zn and Zr are elements that can be used for various purposes including household, agricultural and industrial activities [116,117]. Natural processes such as weathering and erosion as well as anthropogenic activity can expose these heavy metals [116]. Pb and Fe are typically found in households, food processing and/or consumption areas [36]. The abundance of Fe and Pb in the area could be due to either metal-bearing deposits or metal working, nonetheless indicating anthropogenic activity. This record supports geochemistry result studies conducted from excavation sites close to mangrove areas on Unguja Ukuu which revealed elemental signatures related to human activities such as house construction and resource uses [36]. After Zanzibar gained independence in 1967 CE, the coastal population has been rapidly rising, leading to an increase in human activities (Figure 11) such as tourism and urbanisation [118].
The multiproxy palaeoecological data with dating control from Unguja Ukuu, Zanzibar provide the long-term history of sea-level change and the evidence of mangrove response to the fluctuations in sea level in the last 5000 years. Relative sea-level rise as recorded from various studies, e.g., [6,66] and in this study is the primary driver affecting the increasing of inundation stress, decreasing the photosynthesis and growth of mangroves on the seaward edge [119] which led to the shifts of their distribution. Given the projected global sea-level rise of between 3.0 and 13.2 mm yr−1 by 2100 CE under low to high greenhouse gas emission scenarios [14], mangroves in Unguja Ukuu with average accumulation rate of 0.26–1.66 mm yr−1 cannot keep pace with the current pace of sea-level rise. We suggest that the sediment accumulation capacity at Unguja Ukuu will not be sufficient to sustain future mangrove ecosystems, and it is predicted to be flooded as early as 2070 CE with low tidal range and low sediment supply [120]. In addition to sea-level rise, the mangrove forest in Unguja Ukuu is threatened by anthropogenic modification such as agriculture, logging and coastal development [119].
It is noteworthy that sea-level rise has an impact not only on mangroves, but also on other low-lying coastal communities including deltas, coral reefs and seagrass beds, and there are many archaeological sites dated from the early to mid-Holocene submerged by sea-level rise. Mangroves in Unguja Ukuu close to many coastal archaeological sites provide services as the natural protection from natural threats such as coastal erosion and flooding to these sites. Therefore, the findings of this study in combination of other data are beneficial in developing future plans to protect the mangrove forest and coastal community from sea-level rise and anthropogenic impacts. Furthermore, this may aid in raising public awareness and developing a plan for the protection of coastal archaeological sites associated to coastal communities, including the mangrove areas.

5. Conclusions

A high-resolution multiproxy record derived from three mangrove sediment cores from Unguja Ukuu, Zanzibar, Tanzania, with the addition of adjacent archaeological data, reveal a high resolution of vegetation change, sea-level dynamics and provide a long history of human–environment interaction throughout the last millennia (Figure 11). The results indicate that from at least 3300 BCE, the area was covered by a mixture of mangrove and beaches, indicating a low level of inundation. Poaceae and C. nucifera, together with an increase in charcoal accumulation, suggest that a dry climate was experienced from 2750 to 1800 BCE. Pollen, particle size and the presence of shell fragments provide evidence of sea-level rise between 600 and 1100 CE. Charcoal fragments larger than 100 µm are abundant during this time, revealing increasing anthropogenic fingerprints from around 635 CE. The changing proportion of C. nucifera pollen may also be a signal that people started eating more coconut to expand their diet. After 1100 CE, S. alba decreased whereas back mangrove species increased, indicating a period of sea-level fall until 1300 CE. Domesticated grass pollen is not present at this time, which may indicate that anthropogenic activities in the area decreased around the time that people left Unguja Ukuu in the 10th and 13th centuries CE. After 1300 CE, the sea level continued to fall as evidenced by a decrease in R. mucronata and C. nucifera before rising after 1900 CE. The abundance of Poaceae pollen and domesticated grass pollen at around 1500 CE indicate reoccupation of this area coincident with the arrival of the Portuguese on Zanzibar that continued through Omani and British colonisation. After Zanzibar obtained independence in 1967, trace elements—another indicator of human activity related to the expansion of the coastal population on the island—increased dramatically, especially Fe and Pb.
The recent sedimentation rate in Unguja Ukuu indicates that mangrove in this area cannot keep pace with the current rate of sea-level rise, with the mangrove forest in Unguja Ukuu also threatened by anthropogenic modification. Therefore, mangroves in Unguja Ukuu are at risk of being flooded because of recent sea-level rise and erosion from increasing human disturbance along the coastal area.

Supplementary Materials

The following supporting information can be downloaded at: https://www.mdpi.com/article/10.3390/quat6010021/s1, Table S1: Description of pollen zone and dominant charcoal fragment along three sediment cores from Unguja Ukuu.

Author Contributions

Conceptualisation, A.E., P.P., T.S. and R.M.; fieldwork, A.E., P.P. and R.M.; lab analyses, A.E. and P.C.; writing—original draft preparation, A.E.; writing—review and editing, P.P., T.S., R.M. and S.W.-J.; funding, T.S. and A.E.; supervision, T.S., P.P., R.M. All authors have read and agreed to the published version of the manuscript.

Funding

This research was supported by Science Achievement Scholarship of Thailand (SAST) from Ministry of Higher Education, Science, Research and Innovation and the CU Graduate School Thesis Grant (GCUGR1225642035D) from the Graduate School, Chulalongkorn University.

Data Availability Statement

No applicable.

Acknowledgments

Appreciation is expressed to Rebecca Newman for her support and assistance throughout this fieldwork. We would like to express our gratitude to Asst. Akkaneewut Jirapinyakul for helpful suggestions. Special thanks to Luke Andrews for laboratory help. We would like to thank the Department of Botany Chulalongkorn University, the Faculty of Environment and Resource Studies, Mahidol University and the Department of Environment and Geography, University of York for support in the laboratory and other areas. The authors would like to acknowledge the Synchrotron Light Research Institute (Public Organization), SLRI, for provision of beamtime and assistance from the staff of BL1.1W. This research was supported by Science Achievement Scholarship of Thailand (SAST) from Ministry of Higher Education, Science, Research and Innovation and the CU Graduate School Thesis Grant (GCUGR1225642035D) from the Graduate School, Chulalongkorn University.

Conflicts of Interest

The authors declare no conflict of interest.

References

  1. Spalding, M. World Atlas of Mangroves; Routledge: London, UK, 2010; p. 336. [Google Scholar]
  2. Marchio, D.; Savarese, M.; Bovard, B.; Mitsch, W. Carbon Sequestration and Sedimentation in Mangrove Swamps Influenced by Hydrogeomorphic Conditions and Urbanization in Southwest Florida. Forests 2016, 7, 116. [Google Scholar] [CrossRef]
  3. Matos, C.R.L.; Berrêdo, J.F.; Machado, W.; Sanders, C.J.; Metzger, E.; Cohen, M.C.L. Carbon and Nutrient Accumulation in Tropical Mangrove Creeks, Amazon Region. Mar. Geol. 2020, 429, 106317. [Google Scholar] [CrossRef]
  4. de Jong Cleyndert, G.; Cuni-Sanchez, A.; Seki, H.A.; Shirima, D.D.; Munishi, P.K.T.; Burgess, N.; Calders, K.; Marchant, R. The Effects of Seaward Distance on above and below Ground Carbon Stocks in Estuarine Mangrove Ecosystems. Carbon Balance Manag. 2020, 15, 27. [Google Scholar] [CrossRef] [PubMed]
  5. Ellison, J.C. Vulnerability Assessment of Mangroves to Climate Change and Sea-Level Rise Impacts. Wetl. Ecol. Manag. 2015, 23, 115–137. [Google Scholar] [CrossRef]
  6. Ellison, A.M.; Alexander, J.; Daniel, A. Mangrove rehabilitation and restoration as experimental adaptive management. Front. Mar. Sci. 2020, 7, 327. [Google Scholar] [CrossRef]
  7. Ellison, J.C. Long-Term Retrospection on Mangrove Development Using Sediment Cores and Pollen Analysis: A Review. Aquat. Bot. 2008, 89, 93–104. [Google Scholar] [CrossRef]
  8. Cohen, M.C.L.; Figueiredo, B.L.; Oliveira, N.N.; Fontes, N.A.; França, M.C.; Pessenda, L.C.R.; Souza, A.V.; Macario, K.; Giannini, P.C.F.; Bendassolli, J.A.; et al. Impacts of Holocene and Modern Sea-level Changes on Estuarine Mangroves from Northeastern Brazil. Earth Surf. Process. Landf. 2019, 45, 375–392. [Google Scholar] [CrossRef]
  9. Punwong, P.; Marchant, R.; Selby, K. Holocene Mangrove Dynamics from Unguja Ukuu, Zanzibar. Quat. Int. 2013, 298, 4–19. [Google Scholar] [CrossRef]
  10. Punwong, P.; Marchant, R.; Selby, K. Holocene Mangrove Dynamics in Makoba Bay, Zanzibar. Palaeogeogr. Palaeoclimatol. Palaeoecol. 2013, 379–380, 54–67. [Google Scholar] [CrossRef]
  11. Punwong, P.; Marchant, R.; Selby, K. Holocene Mangrove Dynamics and Environmental Change in the Rufiji Delta, Tanzania. Veget. Hist. Archaeobot. 2013, 22, 381–396. [Google Scholar] [CrossRef]
  12. Gilman, E.L.; Ellison, J.; Duke, N.C.; Field, C. Threats to Mangroves from Climate Change and Adaptation Options: A Review. Aquat. Bot. 2008, 89, 237–250. [Google Scholar] [CrossRef]
  13. Grinsted, A.; Moore, J.C.; Jevrejeva, S. Reconstructing Sea Level from Paleo and Projected Temperatures 200 to 2100 Ad. Clim. Dyn. 2010, 34, 461–472. [Google Scholar] [CrossRef]
  14. Horton, B.P.; Khan, N.S.; Cahill, N.; Lee, J.S.H.; Shaw, T.A.; Garner, A.J.; Kemp, A.C.; Engelhart, S.E.; Rahmstorf, S. Estimating Global Mean Sea-Level Rise and Its Uncertainties by 2100 and 2300 from an Expert Survey. NPJ Clim. Atmos. Sci. 2020, 3, 18. [Google Scholar] [CrossRef]
  15. Jaritz, W. Das Quartär im Küstengebiet von Moçambique und seine Schwermineralführung. Geologisches Jahrbuch B 1977, 26, 3–93. [Google Scholar]
  16. Ramsay, P.J. 9000 years of sea-level change along the southern African coastline. Quat. Int. 1996, 31, 71–75. [Google Scholar] [CrossRef]
  17. Compton, J.S. Holocene Sea-Level Fluctuations Inferred from the Evolution of Depositional Environments of the Southern Langebaan Lagoon Salt Marsh, South Africa. Holocene 2001, 11, 395–405. [Google Scholar] [CrossRef]
  18. Ramsay, P.J.; Cooper, J.A.G. Late Quaternary Sea—Level Change in South Africa. Quat. Res. 2002, 57, 82–90. [Google Scholar] [CrossRef]
  19. Camoin, G.F.; Montaggioni, L.F.; Braithwaite, C.J.R. Late Glacial to Post Glacial Sea Levels in the Western Indian Ocean. Mar. Geol. 2004, 206, 119–146. [Google Scholar] [CrossRef]
  20. Muzuka, A.N.N.; Nyandwi, N. Preliminary Investigation on the Pleistocene/Holocene Sea-Level Changes along the Coastline of Tanzania, with Reference to Unguja and Pemba Islands. Boletim Geológico 2004, 43, 8–13. [Google Scholar]
  21. Strachan, K.L.; Finch, J.M.; Hill, T.; Barnett, R.L. A Late Holocene Sea-Level Curve for the East Coast of South Africa. S. Afr. J. Sci. 2014, 110, 1–9. [Google Scholar] [CrossRef]
  22. Woodroffe, S.A.; Long, A.J.; Milne, G.A.; Bryant, C.L.; Thomas, A.L. New Constraints on Late Holocene Eustatic Sea-Level Changes from Mahé, Seychelles. Quat. Sci. Rev. 2015, 115, 1–16. [Google Scholar] [CrossRef]
  23. Ellis, E.C. Anthropogenic Transformation of the Terrestrial Biosphere. Philos. Trans. Royal Soc. A 2011, 369, 1010–1035. [Google Scholar] [CrossRef]
  24. Crutzen, P.J. Geology of Mankind. In A Pioneer on Atmospheric Chemistry and Climate Change in the Anthropocene; Crutzen, P.J., Brauch, H., Crutzen, P.J., Eds.; Springer: Cham, Switzerland, 2016; Volume 50, pp. 211–215. [Google Scholar]
  25. Codron, D.; Lee-Thorp, J.A.; Sponheimer, M.; Codron, J. Nutritional Content of Savanna Plant Foods: Implications for Browser/Grazer Models of Ungulate Diversification. Eur. J. Wildl. Res. 2007, 53, 100–111. [Google Scholar] [CrossRef]
  26. Henry, A.G.; Hutschenreuther, A.; Paine, O.C.C.; Leichleiter, J.; Codron, D.; Codron, J.; Loudon, J.; Adolph, S.; Sponheimer, M. Influences on Plant Nutritional Variation and Their Potential Effects on Hominin Diet Selection. Rev. Palaeobot. Palynol. 2019, 261, 18–30. [Google Scholar] [CrossRef]
  27. Revelles, J.; Allué, E.; Alcolea, M.; Antolín, F.; Berihuete-Azorín, M.; Expósito, I.; Garay, B.; Mas, B.; Piqué, R.; Obea, L. Site Formation Processes, Human Activities and Palaeoenvironmental Reconstructions from Archaeobotanical Records in Cave and Rock-Shelter Sites in NE Iberia. Rev. Palaeobot. Palynol. 2022, 299, 104612. [Google Scholar] [CrossRef]
  28. Marchant, R. East Africa’s Human Environment Interactions: Historical Perspectives for a Sustainable Future; Springer Nature: Cham, Switzerland, 2021. [Google Scholar]
  29. Church, J.A.; Clark, P.U.; Cazenave, A.; Gregory, J.M.; Jevrejeva, S.; Levermann, A.; Merrifield, M.A.; Milne, G.A.; Nerem, R.S.; Nunn, P.D.; et al. Chapter 13: Sea Level Change. In Climate Change 2013: The Physical Science Basis: Contribution of Working Group I to the Fifth Assessment Report of the Intergovernmental Panel on Climate Change; Stocker, T.F., Qin, D., Plattner, G.-K., Tignor, M., Allen, S.K., Boschung, J., Nauels, A., Xia, Y., Bex, V., Midgley, P.M., Eds.; Cambridge University Press: Cambridge, UK; New York, NY, USA, 2014; 1535p. [Google Scholar]
  30. Khojasteh, D.; Glamore, W.; Heimhuber, V.; Felder, S. Sea level rise impacts on estuarine dynamics: A review. Sci. Total Environ. 2021, 780, 146470. [Google Scholar] [CrossRef]
  31. Juma, A. Unguja Ukuu on Zanzibar: An Archaeological Study of Early Urbanism. Ph.D. Thesis, Uppsala University, Uppsala, Sweden, 2004. [Google Scholar]
  32. Hardy, A.; Mageni, Z.; Dongus, S.; Killeen, G.; Macklin, M.G.; Majambare, S.; Ali, A.; Msellem, M.; Al-Mafazy, A.-W.; Smith, M.; et al. Mapping Hotspots of Malaria Transmission from Pre-Existing Hydrology, Geology and Geomorphology Data in the Pre-Elimination Context of Zanzibar, United Republic of Tanzania. Parasites Vectors 2015, 8, 41. [Google Scholar] [CrossRef] [PubMed]
  33. Knopp, S.; Mohammed, K.A.; Khamis, I.S.; Mgeni, A.F.; Stothard, J.R.; Rollinson, D.; Marti, H.; Utzinger, J. Spatial Distribution of Soil-Transmitted Helminths, Including Strongyloides Stercoralis, among Children in Zanzibar. Geospat. Health 2008, 3, 47–56. [Google Scholar] [CrossRef]
  34. Mwandya, A.W.; Gullström, M.; Andersson, M.H.; Öhman, M.C.; Mgaya, Y.D.; Bryceson, I. Spatial and Seasonal Variations of Fish Assemblages in Mangrove Creek Systems in Zanzibar (Tanzania). Estuar. Coast. Shelf Sci. 2010, 89, 277–286. [Google Scholar] [CrossRef]
  35. Mkumbukwa, A.R. The History of Use and Conservation of Marine Resources in Zanzibar: Nineteenth Century to the Present. Ph.D. Thesis, Universitaet Bayreuth, Bayreuth, Germany, 2017. [Google Scholar]
  36. Sulas, F.; Kristiansen, S.M.; Wynne-Jones, S. Soil geochemistry, phytoliths and artefacts from an early Swahili daub house, Unguja Ukuu, Zanzibar. J. Archaeol. Sci. 2019, 103, 32–45. [Google Scholar] [CrossRef]
  37. Shunula, J. Public Awareness, Key to Mangrove Management and Conservation: The Case of Zanzibar. Trees 2002, 16, 209–212. [Google Scholar] [CrossRef]
  38. Horton, M.C.; Clark, C.M. Archaeological Survey of Zanzibar. Azania Archaeol. Res. Afr. 1985, 20, 167–171. [Google Scholar] [CrossRef]
  39. Crowther, A.; Veall, M.-A.; Boivin, N.; Horton, M.; Kotarba-Morley, A.; Fuller, D.Q.; Fenn, T.; Haji, O.; Matheson, C.D. Use of Zanzibar Copal (Hymenaea Verrucosa Gaertn.) as Incense at Unguja Ukuu, Tanzania in the 7–8th Century CE: Chemical Insights into Trade and Indian Ocean Interactions. J. Archaeol. Sci. 2015, 53, 374–390. [Google Scholar] [CrossRef]
  40. Fitton, T.; Wynne-Jones, S. Understanding the Layout of Early Coastal Settlement at Unguja Ukuu, Zanzibar. Antiquity 2017, 91, 1268–1284. [Google Scholar] [CrossRef]
  41. Walshaw, S.C. Converting to Rice: Urbanization, Islamization and Crops on Pemba Island, Tanzania, AD 700–1500. World Archaeol. 2010, 42, 137–154. [Google Scholar] [CrossRef]
  42. Wood, M.; Panighello, S.; Orsega, E.F.; Robertshaw, P.; van Elteren, J.T.; Crowther, A.; Horton, M.; Boivin, N. Zanzibar and Indian Ocean trade in the first millennium CE: The glass bead evidence. Archaeol. Anthropol. Sci. 2017, 9, 879–901. [Google Scholar] [CrossRef]
  43. Kessy, E. Iron Age Settlement Patterns and Economic Change on Zanzibar and Pemba Islands. In East African Archaeology: Foragers, Potters, Smiths, and Traders; Kusimba, C.M., Kusimba, S.B., Eds.; University of Pennsylvania Press: Philadelphia, PA, USA, 2003; pp. 117–132. [Google Scholar]
  44. Troels-Smith, J. Characterization of Unconsolidated Sediments. In CA Reitzels Forlag, Axel Sandal: Geological Survey of Denmark IV; CA Reitzels Forlag: Copenhagen, Denmark, 1955; Volume 3, pp. 38–71. [Google Scholar]
  45. Kershaw, A.P. A modification of the Troels-Smith system of sediment description and portrayal. Quat. Int. 1997, 15, 63–68. [Google Scholar]
  46. Erdtman, G. Handbook of Palynology: Morphology, Taxonomy, Ecology; Hafner: New York, NY, USA, 1969. [Google Scholar]
  47. Faegri, K.; Iversen, J. Text Book of Pollen Analysis; John Wiley & Sons Ltd.: Chichester, UK, 1989. [Google Scholar]
  48. Hunt, C.O. Recent advances in pollen extraction techniques: A brief review. Palaeobiol. Investig. 1985, 266, 181–187. [Google Scholar]
  49. Bonny, A.P. A method for determining absolute pollen frequencies in lake sediments. New Phytol. 1972, 72, 393–405. [Google Scholar] [CrossRef]
  50. Smol, J.P.; Birks, H.J.; Last, W.M. Tracking Environmental Change Using Lake Sediments Volume 3: Terrestrial, Algal, and Siliceous Indicators; Kluwer Academic: New York, NY, USA; Boston, MA, USA; Dordrecht, The Netherlands; London, UK; Moscow, Russia, 2001; Volume 3. [Google Scholar]
  51. Watson, J. Mangrove forests of the Malay Peninsula. Malay For. Rec. 1928, 6, 1–275. [Google Scholar]
  52. Santisuk, T. Taxonomy and distribution of terrestrial trees and shrubs in the mangrove formations in Thailand. Nat. Hist. Bull. Siam. Soc. 1983, 31, 63–91. [Google Scholar]
  53. Grimm, E.C. TGView 2.1.1; Illinois State Museum: Springfield, IL, USA, 2018. [Google Scholar]
  54. Madella, M.; Powers-Jones, A.H.; Jones, M.K. A Simple Method of Extraction of Opal Phytoliths from Sediments Using a Non-Toxic Heavy Liquid. J. Archaeol. Sci. 1998, 25, 801–803. [Google Scholar] [CrossRef]
  55. Tinner, W.; Hu, F.S. Size Parameters, Size-Class Distribution and Area-Number Relationship of Microscopic Charcoal: Relevance for Fire Reconstruction. Holocene 2003, 13, 499–505. [Google Scholar] [CrossRef]
  56. Rucina, S.M.; Muiruri, V.M.; Kinyanjui, R.N.; McGuiness, K.; Marchant, R. Late Quaternary Vegetation and Fire Dynamics on Mount Kenya. Palaeogeogr. Palaeoclimatol. Palaeoecol. 2009, 283, 1–14. [Google Scholar] [CrossRef]
  57. Clark, J.S. Particle motion and the theory of stratigraphic charcoal analysis: Source area, transport, deposition, and sampling. Quat. Res. 1988, 30, 67–80. [Google Scholar] [CrossRef]
  58. Solé, V.A.; Papillon, E.; Cotte, M.; Walter, P.; Susini, J. A Multiplatform Code for the Analysis of Energy-Dispersive X-Ray Fluorescence Spectra. Spectrochim. Acta Part B At. Spectrosc. 2007, 62, 63–68. [Google Scholar] [CrossRef]
  59. Brock, F.; Higham, T.; Ditchfield, P.; Ramsey, C.B. Current Pretreatment Methods for AMS Radiocarbon Dating at the Oxford Radiocarbon Accelerator Unit (Orau). Radiocarbon 2010, 52, 103–112. [Google Scholar] [CrossRef]
  60. Blaauw, M.J.; Christen, A.; Aquino-Lopez, M.A. rbacon: Age-Depth Modelling Using Bayesian Statistics. R Package Version 2.5.5. 2011. Available online: https://CRAN.R-project.org/package=rbacon (accessed on 20 January 2022).
  61. Blaauw, M.; Christen, J.A. Bacon Manual v2. 3.3, Queens University: Belfast, UK, 2013.
  62. R Core Team. A Language and Environment for Statistical Computing (Version 3.0. 1). R Foundation for Statistical Computing. 2015. Available online: http://www.R-project.org (accessed on 20 January 2022).
  63. Hogg, A.G.; Heaton, T.J.; Hua, Q.; Palmer, J.G.; Turney, C.S.; Southon, J.; Bayliss, A.; Blackwell, P.G.; Boswijk, G.; Bronk Ramsey, C.; et al. SHCal20 Southern Hemisphere Calibration, 0–55,000 Years Cal BP. Radiocarbon 2020, 62, 759–778. [Google Scholar] [CrossRef]
  64. Somboon, J.R.P. Palynological study of mangrove and marine sediments of the Gulf of Thailand. J. Southeast Asian Earth Sci. 1990, 4, 85–97. [Google Scholar] [CrossRef]
  65. Van Campo, E.; Bengo, M.D. Mangrove Palynology in Recent Marine Sediments off Cameroon. Mar. Geol. 2004, 208, 315–330. [Google Scholar] [CrossRef]
  66. Englong, A.; Punwong, P.; Selby, K.; Marchant, R.; Traiperm, P.; Pumijumnong, N. Mangrove Dynamics and Environmental Changes on Koh Chang, Thailand during the Last Millennium. Quat. Int. 2019, 500, 128–138. [Google Scholar] [CrossRef]
  67. Herzschuh, U.; Birks, H.J.B. Evaluating the Indicator Value of Tibetan Pollen Taxa for Modern Vegetation and Climate. Rev. Palaeobot. Palynol. 2010, 160, 197–208. [Google Scholar] [CrossRef]
  68. Cao, X.; Tian, F.; Li, K.; Ni, J.; Yu, X.; Liu, L.; Wang, N. Lake Surface-Sediment Pollen Dataset for the Alpine Meadow Vegetation Type from the Eastern Tibetan Plateau and Its Potential in Past Climate Reconstructions. Earth Syst. Sci. 2021, 13, 3525–3537. [Google Scholar] [CrossRef]
  69. Zhang, Y.; Li, Y.; Liu, L.; Wang, N.; Cao, X. No Evidence of Human Disturbance to Vegetation in the Zoige Region (North-Eastern Tibetan Plateau) in the Last Millennium until Recent Decades. Palaeogeogr. Palaeoclimatol. Palaeoecol. 2022, 589, 110843. [Google Scholar] [CrossRef]
  70. Biagioni, S.; Haberzettl, T.; Wang, L.-C.; St-Onge, G.; Behling, H. Unravelling the Past 1000 Years of History of Human–Climate–Landscape Interactions at the Lindu Plain, Sulawesi, Indonesia. Veget. Hist. Archaeobot. 2016, 25, 1–17. [Google Scholar] [CrossRef]
  71. Githumbi, E.N.; Kariuki, R.; Shoemaker, A.; Courtney-Mustaphi, C.J.; Chuhilla, M.; Richer, S.; Lane, P.; Marchant, R. Pollen, People and Place: Multidisciplinary Perspectives on Ecosystem Change at Amboseli, Kenya. Front. Earth Sci. 2018, 5, 113. [Google Scholar] [CrossRef]
  72. Van der Plas, G.W.; Rucina, S.M.; Hemp, A.; Marchant, R.A.; Hooghiemstra, H.; Schüler, L.; Verschuren, D. Climate-Human-Landscape Interaction in the Eastern Foothills of Mt. Kilimanjaro (Equatorial East Africa) during the Last Two Millennia. Holocene 2021, 31, 556–569. [Google Scholar] [CrossRef]
  73. Punwong, P.; Promplin, S.; Lomchantrasilp, C.; Soonthornampaipong, P.; Englong, A.; Marchant, R.; Selby, K.; Chirawatkul, P. Documenting a Thousand Years of Environmental and Anthropogenic Changes on Mangroves on the Bangkok Coast, the Upper Gulf of Thailand. Veget. Hist. Archaeobot. 2023, 32, 17–34. [Google Scholar] [CrossRef]
  74. Eskola, T.; Kontio, R.; Lunkka, J.P. Comparison between modified LST Fastfloat and conventional HF methods for pollen preparation in highly minerogenic sediments. Bull. Geol. Soc. Finl. 2021, 93, 5–8. [Google Scholar] [CrossRef]
  75. González, C.; Urrego, L.E.; Martínez, J.I.; Polanía, J.; Yokoyama, Y. Mangrove Dynamics in the Southwestern Caribbean since the ‘Little Ice Age’: A History of Human and Natural Disturbances. Holocene 2010, 20, 849–861. [Google Scholar] [CrossRef]
  76. Harries, H.; Baudouin, L.; Cardena, R. Floating, Boating and Introgression: Molecular Techniques and the Ancestry of Coconut Palm Populations on Pacific Islands. Ethnobot. Res. App. 2004, 2, 037–053. [Google Scholar] [CrossRef]
  77. Athens, J.S.; Ward, J.V.; Blinn, D.W. Vegetation History of Laysan Island, Northwestern Hawaiian Islands. Pac. Sci. 2007, 61, 17–37. [Google Scholar] [CrossRef]
  78. Ellison, J.C. Palaeo-lake and Swamp Stratigraphic Records of Holocene Vegetation and Sea-level Changes, Mangaia, Cook Islands. Pac. Sci. 1994, 48, 1–15. [Google Scholar]
  79. Athens, J.S.; Ward, J.V. Paleoenvironment of the Orote Peninsula, Guam. Micronesica 1995, 28, 205–223. [Google Scholar]
  80. Marchant, R.; Richer, S.; Boles, O.; Capitani, C.; Courtney-Mustaphi, C.J.; Lane, P.; Prendergast, M.E.; Stump, D.; de Cort, G.; Kaplan, J.O.; et al. Drivers and trajectories of land cover change in East Africa: Human and environmental interactions from 6000 years ago to present. Earth-Sci. Rev. 2018, 178, 322–378. [Google Scholar] [CrossRef]
  81. Chritz, K.L.; Cerling, T.E.; Freeman, K.H.; Hildebrand, E.A.; Janzen, A.; Prendergast, M.E. Climate, Ecology, and the Spread of Herding in Eastern Africa. Quat. Sci. Rev. 2019, 204, 119–132. [Google Scholar] [CrossRef]
  82. Opiyo, B.; Gebregiorgis, D.; Cheruiyot, V.C.; Deocampo, D.M.; Kiage, L.M. Late Quaternary Paleoenvironmental Changes in Tropical Eastern Africa Revealed by Multi–Proxy Records from the Cherangani Hills, Kenya. Quat. Sci. Rev. 2019, 222, 105907. [Google Scholar] [CrossRef]
  83. Punwong, P.; Selby, K.; Marchant, R. Holocene Mangrove Dynamics and Relative Sea-Level Changes along the Tanzanian Coast, East Africa. Estuar. Coast. Shelf Sci. 2018, 212, 105–117. [Google Scholar] [CrossRef]
  84. Whitlock, C.; Larsen, C. Charcoal as a Fire Proxy. In Tracking Environmental Change Using Lake Sediments; Smol, J.P., Birks, H.J.B., Last, W.M., Bradley, R.S., Alverson, K., Eds.; Developments in Paleoenvironmental Research; Springer Netherlands: Dordrecht, The Netherlands, 2002; Volume 3, pp. 75–97. [Google Scholar]
  85. Msaky, E.S.; Livingstone, D.; Davis, O.K. Paleolimnological Investigations of Anthropogenic Environmental Change in Lake Tanganyika: V. Palynological Evidence for Deforestation and Increased Erosion. J. Paleolimnol. 2005, 34, 73–83. [Google Scholar] [CrossRef]
  86. Bloszies, C.; Forman, S.L.; Wright, D.K. Water Level History for Lake Turkana, Kenya in the Past 15,000years and a Variable Transition from the African Humid Period to Holocene Aridity. Glob. Planet Change 2015, 132, 64–76. [Google Scholar] [CrossRef]
  87. Tomlinson, P.B. The Botany of Mangroves, 2nd ed.; Cambridge University Press: Cambridge, UK, 2016. [Google Scholar]
  88. Miller, D.E.; Yates, R.J.; Jerardino, A.; Parkington, J.E. Late Holocene Coastal Change in the Southwestern Cape, South Africa. Quat. Int. 1995, 29–30, 3–10. [Google Scholar] [CrossRef]
  89. Khan, N.S.; Ashe, E.; Shaw, T.A.; Vacchi, M.; Walker, J.; Peltier, W.R.; Kopp, R.E.; Horton, B.P. Holocene relative sea-level changes from near-, intermediate-, and far-field locations. Curr. Clim. Change Rep. 2015, 1, 247–262. [Google Scholar] [CrossRef]
  90. Liu, X.; Rendle-Bühring, R.; Henrich, R. Geochemical Composition of Tanzanian Shelf Sediments Indicates Holocene Climatic and Sea-Level Changes. Quat. Res. 2017, 87, 442–454. [Google Scholar] [CrossRef]
  91. Njagi, D.M.; Routh, J.; Olago, D.; Gayantha, K. A Multi-Proxy Reconstruction of the Late Holocene Climate Evolution in the Kapsabet Swamp, Kenya (East Africa). Palaeogeogr. Palaeoclimatol. Palaeoecol. 2021, 574, 110475. [Google Scholar] [CrossRef]
  92. Chami, F.A. Roman Beads from the Rufiji Delta, Tanzania: First Incontrovertible Archaeological Link with the Periplus. Curr. Anthropol. 1999, 40, 237–242. [Google Scholar] [CrossRef]
  93. Wynne-Jones, E.S.; LaViolette, A. The Swahili World; Routledge: London, UK; New York, NY, USA, 2018; p. 702. [Google Scholar]
  94. Allibert, C. Austronesian Migration and the Establishment of the Malagasy Civilization: Contrasted Readings in Linguistics, Archaeology, Genetics and Cultural Anthropology. Diogenes 2008, 55, 7–16. [Google Scholar] [CrossRef]
  95. Beaujard, P. The First Migrants to Madagascar and Their Introduction of Plants: Linguistic and Ethnological Evidence. Azania Archaeol. Res. Afr. 2011, 46, 169–189. [Google Scholar] [CrossRef]
  96. Boivin, N.; Crowther, A.; Helm, R.; Fuller, D.Q. East Africa and Madagascar in the Indian Ocean World. J. World Prehist. 2013, 26, 213–281. [Google Scholar] [CrossRef]
  97. Prendergast, M.E.; Rouby, H.; Punnwong, P.; Marchant, R.; Crowther, A.; Kourampas, N.; Shipton, C.; Walsh, M.; Lambeck, K.; Boivin, N.L. Continental Island Formation and the Archaeology of Defaunation on Zanzibar, Eastern Africa. PLoS ONE 2016, 11, e0149565. [Google Scholar] [CrossRef]
  98. Faulkner, P.; Harris, M.; Ali, A.K.; Haji, O.; Crowther, A.; Horton, M.C.; Boivin, N.L. Characterising Marine Mollusc Exploitation in the Eastern African Iron Age: Archaeomalacological Evidence from Unguja Ukuu and Fukuchani, Zanzibar. Quat. Int. 2018, 471, 66–80. [Google Scholar] [CrossRef]
  99. Kotarba-Morley, A.M.; Kourampas, N.; Morley, M.W.; MacAdams, C.; Crowther, A.; Faulkner, P.; Horton, M.; Boivin, N. Coastal Landscape Changes at Unguja Ukuu, Zanzibar: Contextualizing the Archaeology of an Early Islamic Port of Trade. J. Island Coast. Archaeol. 2022, 1–35. [Google Scholar] [CrossRef]
  100. Wynne-Jones, S.; Sulas, F.; Out, W.A.; Kristiansen, S.M.; Fitton, T.; Ali, A.K.; Olsen, J. Urban Chronology at a Human Scale on the Coast of East Africa in the 1st Millennium A. D. J. Field Archaeol. 2021, 46, 21–35. [Google Scholar] [CrossRef]
  101. Chami, F.A. Further Archaeological Research on Mafia Island. Azania Archaeol. Res. Afr. 2000, 35, 208–214. [Google Scholar] [CrossRef]
  102. Pollard, E. Settlement Adaptation to a Changing Coastline: Archaeological Evidence from Tanzania, during the First and Second Millennia AD. J. Island Coast. Archaeol. 2009, 4, 82–107. [Google Scholar] [CrossRef]
  103. Verschuren, D.; Laird, K.R.; Cumming, B.F. Rainfall and Drought in Equatorial East Africa during the Past 1100 Years. Nature 2000, 403, 410–414. [Google Scholar] [CrossRef]
  104. Åse, L. Studies of Shores and Shore Displacement on the Southern Coast of Kenya. Especially in Kilifi District. Phys. Geogr. 1981, 63, 303–310. [Google Scholar]
  105. Andreucci, S.; Pascucci, V.; Murray, A.S.; Clemmensen, L.B. Late Pleistocene Coastal Evolution of San Giovanni Di Sinis, West Sardinia (Western Mediterranean). Sediment Geol. 2009, 216, 104–116. [Google Scholar] [CrossRef]
  106. IPCC. Contribution of working groups I, II and III to the Fifth Assessment Report of the Intergovernmental Panel on Climate Change. In Climate Change 2014: Synthesis Report; Pachauri, R.K., Meyer, L.A., Eds.; IPCC: Geneva, Szwitzerland, 2014; p. 151. [Google Scholar]
  107. Dangendorf, S.; Marcos, M.; Wöppelmann, G.; Conrad, C.P.; Frederikse, T.; Riva, R. Reassessment of 20th Century Global Mean Sea Level Rise. Proc. Natl. Acad. Sci. USA 2017, 114, 5946–5951. [Google Scholar] [CrossRef]
  108. Nerem, R.S.; Beckley, B.D.; Fasullo, J.T.; Hamlington, B.D.; Masters, D.; Mitchum, G.T. Climate-Change–Driven Accelerated Sea-Level Rise Detected in the Altimeter Era. Proc. Natl. Acad. Sci. USA 2018, 115, 2022–2025. [Google Scholar] [CrossRef]
  109. Kiage, L.M.; Liu, K. Late Quaternary Paleoenvironmental Changes in East Africa: A Review of Multiproxy Evidence from Palynology, Lake Sediments, and Associated Records. Prog. Phys. Geogr. 2006, 30, 633–658. [Google Scholar] [CrossRef]
  110. Semesi, A.K. Mangrove Management and Utilization in Eastern Africa. Ambio 1998, 27, 620–626. [Google Scholar]
  111. Ngoile, M.A.K.; Shunula, J.P. Status and Exploitation of the Mangrove and Associated Fishery Resources in Zanzibar. Hydrobiologia 1992, 247, 229–234. [Google Scholar] [CrossRef]
  112. Crowther, A.; Faulkner, P.; Prendergast, M.E.; Quintana Morales, E.M.; Horton, M.; Wilmsen, E.; Kotarba-Morley, A.M.; Christie, A.; Petek, N.; Tibesasa, R.; et al. Coastal Subsistence, Maritime Trade, and the Colonization of Small Offshore Islands in Eastern African Prehistory. J. Island Coast. Archaeol. 2016, 11, 211–237. [Google Scholar] [CrossRef]
  113. Joly, C.; Barillé, L.; Barreau, M.; Mancheron, A.; Visset, L. Grain and Annulus Diameter as Criteria for Distinguishing Pollen Grains of Cereals from Wild Grasses. Rev. Palaeobot. Palynol. 2007, 146, 221–233. [Google Scholar] [CrossRef]
  114. Quamar, M.F. Late Holocene Vegetation Dynamics and Monsoonal Climatic Changes in Jammu, India. Acta Palaeobot. 2022, 62, 36–49. [Google Scholar] [CrossRef]
  115. Crowther, A.; Prendergast, M.E.; Fuller, D.Q.; Boivin, N. Subsistence Mosaics, Forager-Farmer Interactions, and the Transition to Food Production in Eastern Africa. Quat. Int. 2018, 489, 101–120. [Google Scholar] [CrossRef]
  116. Tchounwou, P.B.; Yedjou, C.G.; Patlolla, A.K.; Sutton, D.J. Heavy Metal Toxicity and the Environment. Mol. Clin. Environ. Toxicol. 2012, 101, 133–164. [Google Scholar]
  117. Shahid, M.; Ferrand, E.; Schreck, E.; Dumat, C. Behavior and Impact of Zirconium in the Soil–Plant System: Plant Uptake and Phytotoxicity. Rev. Environ. Contam. Toxicol. 2013, 221, 107–127. [Google Scholar] [PubMed]
  118. Masalu, D.C.P. Coastal and Marine Resource Use Conflicts and Sustainable Development in Tanzania. Ocean Coast. Manag. 2000, 43, 475–494. [Google Scholar] [CrossRef]
  119. He, Q.; Silliman, B.R. Climate Change, Human Impacts, and Coastal Ecosystems in the Anthropocene. Curr. Biol. 2019, 29, R1021–R1035. [Google Scholar] [CrossRef]
  120. Lovelock, C.E.; Adame, M.F.; Bennion, V.; Hayes, M.; Reef, R.; Santini, N.; Cahoon, D.R. Sea Level and Turbidity Controls on Mangrove Soil Surface Elevation Change. Estuar. Coast. Shelf Sci. 2015, 153, 1–9. [Google Scholar] [CrossRef]
Figure 1. (A) Map of Zanzibar Island (B) Location of the Unguja Ukuu site showing the location of mangrove coring sites with green spot (C).
Figure 1. (A) Map of Zanzibar Island (B) Location of the Unguja Ukuu site showing the location of mangrove coring sites with green spot (C).
Quaternary 06 00021 g001
Figure 2. A cross-section showing the ecological distribution and dominant mangrove species from landward to seaward in the Unguja Ukuu mangrove area and coring sites including the stratigraphic details of AUU1, BUU1 and CUU1 cores.
Figure 2. A cross-section showing the ecological distribution and dominant mangrove species from landward to seaward in the Unguja Ukuu mangrove area and coring sites including the stratigraphic details of AUU1, BUU1 and CUU1 cores.
Quaternary 06 00021 g002
Figure 3. An age–depth model of the (A) AUU1, (B) BUU1 and (C) CUU1 cores.
Figure 3. An age–depth model of the (A) AUU1, (B) BUU1 and (C) CUU1 cores.
Quaternary 06 00021 g003
Figure 4. Pollen percentage diagram of AUU1 core.
Figure 4. Pollen percentage diagram of AUU1 core.
Quaternary 06 00021 g004
Figure 5. Pollen percentage diagram of BUU1 core.
Figure 5. Pollen percentage diagram of BUU1 core.
Quaternary 06 00021 g005
Figure 6. Pollen percentage diagram of CUU1 core.
Figure 6. Pollen percentage diagram of CUU1 core.
Quaternary 06 00021 g006
Figure 7. Frequency plot showing pollen summary, charcoal, trace elements and particle size data from AUU1 core. Zonation is based on a cluster analysis of pollen data.
Figure 7. Frequency plot showing pollen summary, charcoal, trace elements and particle size data from AUU1 core. Zonation is based on a cluster analysis of pollen data.
Quaternary 06 00021 g007
Figure 8. Frequency plot showing pollen summary, charcoal, trace elements and particle size data from BUU1 core. Zonation is based on a cluster analysis of pollen data.
Figure 8. Frequency plot showing pollen summary, charcoal, trace elements and particle size data from BUU1 core. Zonation is based on a cluster analysis of pollen data.
Quaternary 06 00021 g008
Figure 9. Frequency plot showing pollen summary, charcoal, trace elements and particle size data from CUU1 core. Zonation is based on a cluster analysis of pollen data.
Figure 9. Frequency plot showing pollen summary, charcoal, trace elements and particle size data from CUU1 core. Zonation is based on a cluster analysis of pollen data.
Quaternary 06 00021 g009
Figure 10. Schematic representation simplifying major sea-level changes recorded at Unguja Ukuu from before around 3300 BCE until the present day.
Figure 10. Schematic representation simplifying major sea-level changes recorded at Unguja Ukuu from before around 3300 BCE until the present day.
Quaternary 06 00021 g010
Figure 11. Summary diagram showing the main findings of this study coupled with previous study [9] and historical periods referring to the timing of human activities in Unguja Ukuu, Zanzibar Island.
Figure 11. Summary diagram showing the main findings of this study coupled with previous study [9] and historical periods referring to the timing of human activities in Unguja Ukuu, Zanzibar Island.
Quaternary 06 00021 g011
Table 1. Radiocarbon ages from Unguja Ukuu mangrove areas including calibrated ages using the Southern Hemisphere calibration of the SHcal20 curve [63]. Asterisk (*) refers to excluded dates. (a.m.s.l. refers to above mean sea level).
Table 1. Radiocarbon ages from Unguja Ukuu mangrove areas including calibrated ages using the Southern Hemisphere calibration of the SHcal20 curve [63]. Asterisk (*) refers to excluded dates. (a.m.s.l. refers to above mean sea level).
CoreDepth
(cm)
Altitude
(m a.m.s.l.)
CodesSample Type14C AgeMin-Max Age Range
(BCE/CE)
Median Age
(BCE/CE)
Median Age
(Cal yr BP)
Source
AUU156−0.52D-AMS 045311Uncharred plant218 ± 181507-1759 CE1673 CE277This study
91 *−0.81UBA-16626Bulk sediment169 ± 221672-1954 CE1813 CE137[9]
128−1.24D-AMS 045312Uncharred plant1469 ± 20756-635 CE635 CE1315This study
BUU188−0.71D-AMS 045313Charcoal1182 ± 20883-999 CE949 CE1001This study
138−1.21UBA-16627Bulk sediment1534 ± 23441-631 CE565 CE1385[9]
CUU1361.02D-AMS 045314Uncharred plant1458 ± 20545-758 CE64 CE1309This study
550.83D-AMS 046339Charcoal, bark4158 ± 352664-1461 BCE2389 BCE4339This study
780.6UBA-16628Bulk sediment4211 ± 253190-2641 BCE2823 BCE4773[9]
* 880.5D-AMS 045315Uncharred plant1506 ± 20550-643 CE--This study
Table 2. Pollen taxa present in sediment cores from Unguja Ukuu. Groups are according to ecological habitats and typical mangrove zonation in Zanzibar according to [9] with a ‘+’ indicates presence of pollen taxa in the respective cores.
Table 2. Pollen taxa present in sediment cores from Unguja Ukuu. Groups are according to ecological habitats and typical mangrove zonation in Zanzibar according to [9] with a ‘+’ indicates presence of pollen taxa in the respective cores.
GroupFamilies, Genera or SpeciesAUU1BUU1CUU1
MangrovesAvicennia marina+++
Bruguiera/Ceriops+++
Rhizophora mucronata+++
Sonneratia alba+++
Back mangrovesAcrostichum sp. +
Lumnitzera sp. ++
Non-mangrove arborealApocynaceae +
Arecaceae+ +
Blighia sp.++
Buddleja polystachya+++
Casuarina sp.++
Cocos nucifera+ +
Convolvulaceae ++
Mangifera sp.+ +
Sapindaceae+++
Tiliaceae ++
Terrestrial herbaceousAsteraceae+++
Cichorioideae +
Cyperaceae+++
Poaceae+++
Poaceae, >40–60 µm +
Disclaimer/Publisher’s Note: The statements, opinions and data contained in all publications are solely those of the individual author(s) and contributor(s) and not of MDPI and/or the editor(s). MDPI and/or the editor(s) disclaim responsibility for any injury to people or property resulting from any ideas, methods, instructions or products referred to in the content.

Share and Cite

MDPI and ACS Style

Englong, A.; Punwong, P.; Marchant, R.; Seelanan, T.; Wynne-Jones, S.; Chirawatkul, P. High-Resolution Multiproxy Record of Environmental Changes and Anthropogenic Activities at Unguja Ukuu, Zanzibar, Tanzania during the Last 5000 Years. Quaternary 2023, 6, 21. https://doi.org/10.3390/quat6010021

AMA Style

Englong A, Punwong P, Marchant R, Seelanan T, Wynne-Jones S, Chirawatkul P. High-Resolution Multiproxy Record of Environmental Changes and Anthropogenic Activities at Unguja Ukuu, Zanzibar, Tanzania during the Last 5000 Years. Quaternary. 2023; 6(1):21. https://doi.org/10.3390/quat6010021

Chicago/Turabian Style

Englong, Apichaya, Paramita Punwong, Rob Marchant, Tosak Seelanan, Stephanie Wynne-Jones, and Prae Chirawatkul. 2023. "High-Resolution Multiproxy Record of Environmental Changes and Anthropogenic Activities at Unguja Ukuu, Zanzibar, Tanzania during the Last 5000 Years" Quaternary 6, no. 1: 21. https://doi.org/10.3390/quat6010021

APA Style

Englong, A., Punwong, P., Marchant, R., Seelanan, T., Wynne-Jones, S., & Chirawatkul, P. (2023). High-Resolution Multiproxy Record of Environmental Changes and Anthropogenic Activities at Unguja Ukuu, Zanzibar, Tanzania during the Last 5000 Years. Quaternary, 6(1), 21. https://doi.org/10.3390/quat6010021

Article Metrics

Back to TopTop