Next Article in Journal
A Global Perspective of Stenting after Ureteroscopy: An Observational Multicenter Cohort Study
Previous Article in Journal
Open Surgery for Urinary Stones in a Resource Poor Setting: A Look at Dalhatu Araf Specialist Hospital, Lafia, Nigeria
 
 
Société Internationale d’Urologie Journal is published by MDPI from Volume 5 Issue 1 (2024). Previous articles were published by another publisher in Open Access under a CC-BY (or CC-BY-NC-ND) licence, and they are hosted by MDPI on mdpi.com as a courtesy and upon agreement with International Society of Urology (SIU).
Font Type:
Arial Georgia Verdana
Font Size:
Aa Aa Aa
Line Spacing:
Column Width:
Background:
Article

Can Incomplete Metastasectomy Impact Renal Cell Carcinoma Outcomes? A Propensity Score Matching Analysis from a Prospective Multicenter Collaboration

by
Alice Dragomir
1,†,
Charles Hesswani
1,†,
Gautier Marcq
1,
Alan I. So
2,
Christian Kollmannsberger
2,
Naveen S. Basappa
3,
Adrian Fairey
3,
Anil Kapoor
4,
Aly-Khan A. Lalani
4,
Antonio Finelli
5,
Lori A. Wood
6,
Daniel Y.C. Heng
7,
Georg Bjarnason
8,
Rodney H. Breau
9,
Luke T. Lavallée
9,
Denis Soulières
10,
Darrel Drachenberg
11,
Frédéric Pouliot
12 and
Simon Tanguay
1,*
1
McGill University, Montreal, QC H3A 0G4, Canada
2
Department of Urologic Sciences, University of British Columbia, Vancouver, BC V6T 1Z4, Canada
3
Cross Cancer Institute, University of Alberta, Edmonton, AB T6G 2R3, Canada
4
Juravinski Cancer Centre, McMaster University, Hamilton, ON L8P 1A2, Canada
5
Princess Margaret Cancer Centre, University of Toronto, Toronto, ON M5S 1A1, Canada
6
Queen Elizabeth II Health Sciences Centre, Halifax, Canada
7
Tom Baker Cancer Centre, University of Calgary, Calgary, AB T2N 1N4, Canada
8
Odette Cancer Centre, Sunnybrook Health Sciences Centre, Toronto, Canada
9
Ottawa Hospital Cancer Center, Ottawa, Canada
10
Centre Hospitalier de l’Université de Montréal, Montreal, Canada
11
University of Manitoba, Winnipeg, MB R3T 2N2, Canada
12
Centre Hospitalier Universitaire de Québec, Université Laval, Quebec, QC G1V 0A6, Canada
*
Author to whom correspondence should be addressed.
Co-first authors.
Soc. Int. Urol. J. 2021, 2(2), 82-95; https://doi.org/10.48083/WQFR32352
Submission received: 27 September 2020 / Revised: 27 September 2020 / Accepted: 2 January 2021 / Published: 15 March 2021

Abstract

Objectives: To evaluate the role of incomplete metastasectomy (IM) for patients with metastatic renal cell carcinoma (mRCC) on overall survival (OS) and time to introduction of first-line systemic therapy. Methods: Patients diagnosed with mRCC between January 2011 and April 2019 in 16 centers were selected from the Canadian Kidney Cancer information system database. We included mRCC patients who had prior nephrectomy and had received an IM (resection of at least 1 metastasis) or no metastasectomy (NM). A propensity score matching was performed to minimize selection bias. Cox proportional hazards analysis was used to assess the impact of the metastasectomy while adjusting for potential confounders. OS was assessed by Kaplan-Meier analysis. Results: A total of 138 patients with mRCC underwent IM, while 1221 patients did not. On multivariate analysis, IM did not improve OS (hazard ratio [HR] 0.96, 95% CI 0.63 to 1.45, P = 0.836) However, subgroup analyses revealed IM improved OS compared with NM when lungs were the only site involved (median time to OS not reached versus 66 months, respectively; P = 0.014). Additionally, lung metastasectomy delayed the systemic therapy compared with NM (median 41 and 13 months, respectively, P = 0.014). IM of endocrine organs (thyroid, pancreas, adrenals) or bone metastases did not impact OS. Conclusion: The role of IM for mRCC is limited. Incomplete resection of lung metastases was associated with improved OS and delayed time to introduction of systemic therapy when lungs were the sole location of metastatic disease. Despite case-matching, unknown unadjusted confounders may explain the relationship between IM and survival in this analysis.

Introduction

In 2020, kidney cancer was estimated to be the sixth most common neoplasm in Canadian men and the eighth most common in Canadian women [1]. Renal cell carcinoma (RCC) is metastatic at diagnosis in 15% of cases, and metastasis will occur after diagnosis in up to 30% of patients [2]. Despite the advent of systemic therapies and immunotherapies, drug resistance remains a major therapeutic challenge in treating metastatic RCC. Since current systemic therapy does not offer complete response in most patients with metastatic disease, surgical resection of metastases can be used to improve survival. Most studies have compared complete metastasectomy (CM) with incomplete or no metastasectomy, and demonstrated a significant improvement in overall survival (OS) [3,4]. A recent systematic review pooling 8 studies and 2267 patients demonstrated an improved OS in patients undergoing CM when compared with those who had incomplete metastasectomy (IM) or no metastasectomy (NM) (OS 36.5 to 142 months for CM and 8.5 to 27 months for IM/NM) [5]. Similarly, a recent single institution retrospective cohort study comparing patients undergoing CM with those who had IM/NM demonstrated a significantly improved OS (at 2 years 81% versus 53%, P < 0.001) [6].
Few studies have compared the outcomes of IM patients with those of NM patients. The few available studies have been discordant and/or published before the era of tyrosine kinase inhibitors and immunotherapy [7,8,9]. All were single-center studies with limited power to allow extrapolation and clear recommendations for daily practice. Multicenter studies comparing IM with NM are lacking. The present study was conducted to assess OS and time to first-line systemic therapy of IM in patients with metastatic RCC (mRCC) when compared to patients who did not receive metastasectomy in a large prospective multicenter database using propensity score matching.

Methods

Patient demographics and clinical and pathological data were collected from the Canadian Kidney Cancer information system (CKCis) database, a prospective multicenter collaboration of 16 institutions in 6 Canadian provinces. Baseline information was obtained from patient surveys and the medical record and included age, sex, date of RCC and mRCC diagnosis, date of nephrectomy, comorbidities, and the location and number of metastases. CM was defined as surgical resection of all visible metastases, while IM was defined as resection of some, but not all, of the radiographically visible metastases. IM was performed without curative intent. If this information was missing, the no evidence of disease status of the patient post-metastasectomy was used to classify patients between the IM and the CM groups. Complete versus incomplete resection was specified by patient’s medical records. If the patient underwent subsequent metastasectomy at different dates, the CM versus IM status was defined on the first metastasectomy. The indication for the metastasectomy and the reason for incomplete surgical resection were not available. Research Ethics Board approval was obtained at each individual participating center.
Medical records of patients diagnosed with mRCC who underwent radical or partial nephrectomy between January 2011 and April 2019 were reviewed. Patients receiving a CM were excluded and were reported separately [10]. Histopathological evaluation of the nephrectomy specimen was used to diagnose RCC. The date of diagnosis of a first metastasis confirmed by imaging was labeled as the index date. The analysis ranged from the index date to the end of follow-up, defined as the earliest date between the last patient visit, the date of death, or the end of study period (April 31, 2019).
Clinical characteristics including sex, age, number and location of metastases, metastasectomy sites, pathological stage, clear cell histology, synchronicity, comorbidities (diabetes mellitus, hypertension, dyslipidemia, cardiovascular disease, smoking status, and obesity), Charlson comorbidity index score (excluding the solid tumors) and time from RCC diagnosis until metastasis were identified at the index date. “Endocrine” metastasis was defined as a metastasis at one of the following sites: adrenal glands, pancreas, and thyroid. The use of systemic therapy and radiation therapy was assessed at the index date and during follow-up. A propensity score method was used to determinate the predicted probability of receiving an IM based on clinical characteristics evaluated at index date including age (< 65 years versus ≥ 65), sites and number of metastasis (1 versus ≥ 2), synchronous disease (yes versus no) and clear cell histology (yes versus no). For each patient, a propensity score and its quintiles were obtained. In order to reduce selection bias, patients receiving IM were matched with patients who had not received a metastasectomy. Up to 4 patients were randomly selected for each patient with IM. The date of IM or the date of selection was defined as the matching date. The matching was performed for (1) the propensity score quintiles (ie, probability of receiving an IM), (2) the status of the systemic treatment at the time of matching (yes versus no), (3) time between the first metastasis and the RCC diagnosis (< 3 months, 3 months to < 6 months, 6 months to < 1 year, 1 year to < 2 years, and ≥ 2 years), and (4) an equivalent duration of follow-up between index date and the matching date.
Clinical and demographic characteristics between IM group and NM group were performed using t test for continuous variables and chi-square test for categorical variables. Individual propensity scores of IM were obtained using a multivariate logistic regression model based on variables enumerated in the section above. Overall survival was calculated from matching date to death from any cause. Kaplan-Meier curve analysis was performed to estimate OS since matching date in the matched cohort, with log-rank test to compare the IM and NM groups. Similarly, the time to introduction of systemic therapy during follow-up was assessed in IM and NM groups. The Cox proportional hazards regression model was used in the matched cohort to evaluate the association between IM and overall survival by adjusting for different covariables that were not used for matching. These included sex, age 65 and older (yes versus no), sites and number of sites of metastasis and clear cell carcinoma versus other histology. The use of systemic treatment and the use of radiation therapy were also included as time-dependent factors. A second Cox model was performed by adding an additional factor, the Charlson comorbidity index (0 or 1 versus > 1).
To assess differences between IM and NM by metastatic sites we performed several stratified analyses. Kaplan-Meier curve analyses were performed (1) to estimate OS since matching date and (2) to estimate time to introduction of systemic therapy during follow-up, in the matched cohort, with log-rank test to compare the IM and NM groups by metastatic site (lung, lymph nodes, bones, and endocrine). Patients with brain and liver metastasis were included in the multiple sites analysis but were not considered from the individual sites analyses because of the low number of patients in these groups. Finally, Kaplan-Meier curve was performed to assess the OS among patients receiving IM by metastasectomy sites. All statistical tests were 2-sided, with a P < 0.05 considered significant. All analyses were performed using SASS (version 9; SAS Institute, Cary, North Carolina).

Results

During the study period, the CKCis cohort included 8936 patients diagnosed with RCC (Figure 1); 6223 patients did not develop metastasis and were therefore excluded from the analysis.
Patients without prior nephrectomy (336 patients) or who had received a CM (266 patients) were also excluded from the cohort. Our final cohort consisted of 1367 patients: 146 of these patients underwent an IM, and 1221 patients did not undergo any form of metastasectomy (Figure 1).
The demographics and clinicopathological characteristics of the cohort before propensity score matching were summarized in Supplementary Table S1. One hundred thirty-eight patients who underwent an IM were matched with 522 patients with NM based on usage of systemic therapy before selection or date of IM, delay between primary tumor diagnosis and first metastasis, and propensity score quintiles (Table 1).
All the variables used in the matching were balanced after matching the IM group and their respective NM patients. After matching, several other features remained or were balanced between the 2 groups, such as age over 65 years, sex, more than 1 year from primary tumor diagnosis and usage of systemic therapy during follow-up (Table 1). A significant difference persisted among the pathological stages at diagnosis between each group. The IM group had a higher percentage of pT2, pT4 and pTx, while the NM group had increased pT1 and pT3 disease (P = 0.002). More patients received radiation treatment in the IM group than in the NM group (56.0 versus 42%, P = 0.036). The number of organs involved by metastasis was also significantly different. In the IM group, 71% of patients had a single organ with metastases compared with 82.4% of patients in the NM group (P = 0.003). More patients in the IM group had hypertension (P < 0.001), diabetes mellitus (P< 0.001), dyslipidemia (P = 0.031), and history of smoking (P < 0.001). One-third (33.3%) of patients in the IM had a Charlson comorbidity index score over 1 compared with 50.7% of patients in the NM group (P = 0.004) (Table 1).
The median OS was similar between the IM group and their matched NM group (58 months IQR 22 to “not reached” [NR]) versus 47 months IQR (18 to NR); P = 0.878), respectively (Figure 2A). At 12 months, 81.2% of patients were still alive in the IM group, and 86.2% in its matched NM group. The 5-year OS was 48.7% versus 42.5%, respectively (Figure 2A). Regarding the time to introduction of systemic therapy, no significant difference was observed between the IM and the NM group (P = 0.327) (Figure 2B).
The multivariate analysis revealed that performing an IM was not associated with a survival advantage compared with NM (hazard ratio [HR] 0.96, 95% CI 0.63 to 1.45, P = 0.836) (Table 2). Clear cell histology was not found to be an independent factor associated with a decreased risk of mortality compared with other histology (HR 0.63, 95% CI 0.38 to 1.041, P = 0.071). When including the Charlson comorbidity index in the multivariate analysis, the risk of mortality related to an IM remained similar (HR 1.05, 95% CI 0.0.69 to 0.1.60) (data not shown). Having a Charlson comorbidity score of 0 or 1 versus more than 1, was not associated with a reduced risk of death (HR 0.89, 95%CI 0.56 to 1.41).
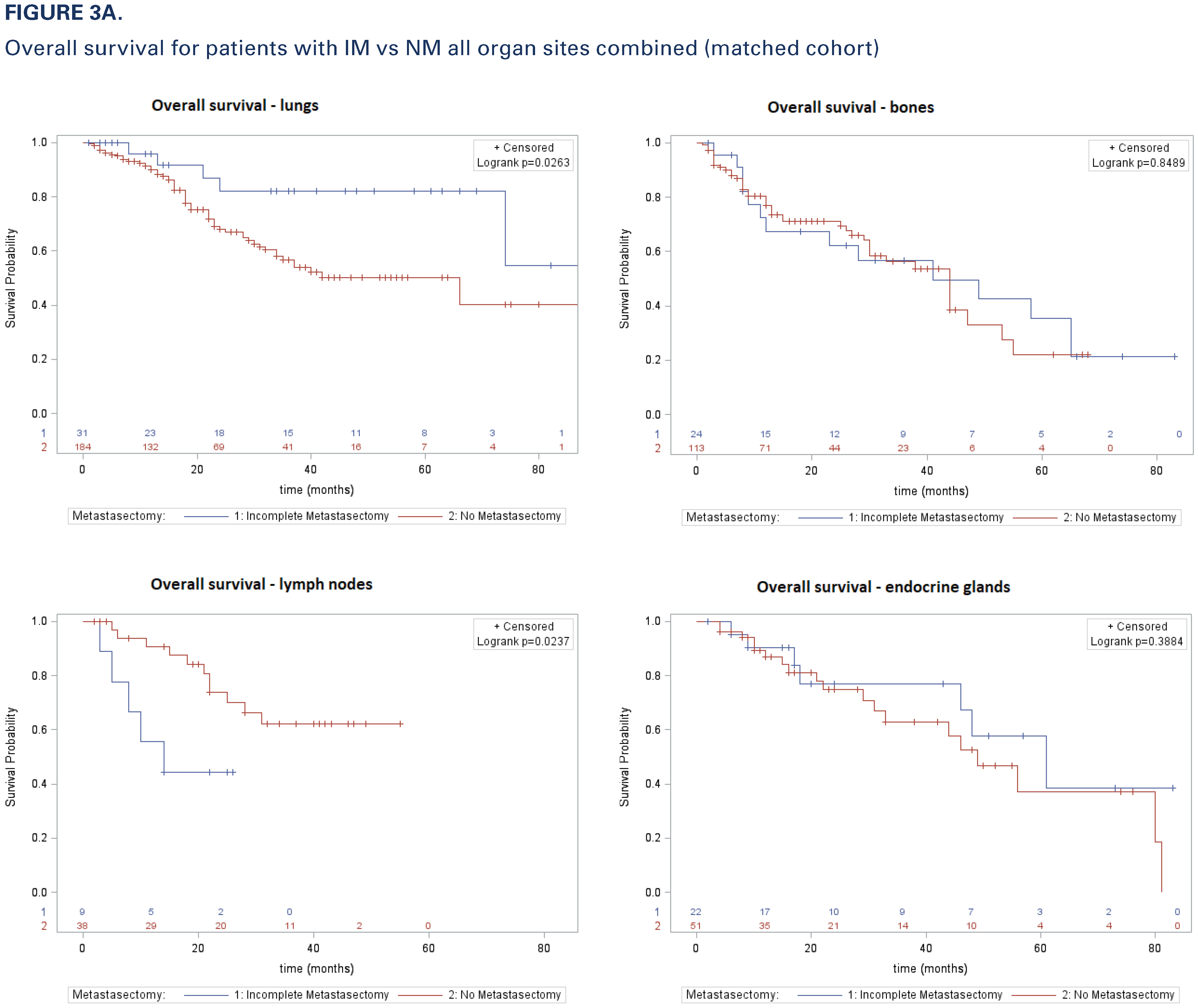
Stratified analyses by site of metastasis revealed that IM in patients with only lung metastases, led to improved OS (median OS not reached versus 66 months in the NM group) (2-year OS 82% versus 68%, 5-year OS 82% versus 50%, respectively) (P = 0.026) (Figure 3A). IM of bone or endocrine lesions did not show a significant difference in survival compared with NM (P = 0.849 and P = 0.388, respectively), while IM of lymph nodes showed a decreased OS compared with NM (median OS 14 months versus NR) (2-year OS 44.4% versus 73.8%) (Figure 3A). IM of liver and brain lesions was not assessed because of the low number of events at these sites. Furthermore, analysis performed for the time to systemic treatment initiation revealed that only IM in patients with lung metastasis resulted in a delayed initiation of systemic therapy (median of 41 months (95% CI 14 to 57) compared with 13 months (95% CI 7 to 35) in NM patients) (P = 0.026) (Figure 3B). No significant difference was found for bone, lymph node or endocrine metastasectomy (P = 0.063, P = 0.149 and P = 0.701, respectively) (Figure 3B).
While there was no difference in OS observed between the IM and NM groups all organ sites combined, the OS differed among IM sites (Supplementary Figure S1). Among patients with an IM, those with lung lesions had better survival (2-year OS of 86%; 5-year OS of 86%) (median not reached) when compared with patients who had bone, lymph node, and endocrine metastasis (2-year OS 62%, 44% and 76.8%; 5-year OS 35%, NA and 57.6%, respectively) (medians 41 months (IQR 11 to 65), 14 months (IQR 8 to NR), and 61 months (IQR 46 to NR), respectively) (P = 0.004) (Supplementary Figure S1).
Subgroup analysis of IM patients with a single organ site involved by metastasis yielded a significant difference between groups (P = 0.003) The IM of lung lesions had the higher delay to first-line systemic therapy initiation when compared to bone, lymph node, and endocrine metastasectomy (Supplementary Figure S2). The median time to systemic therapy initiation was 39 months (IQR 14 to 57) compared with 5 months (IQR 3 to 19), 8 months (IQR 3 to NA), and 15 months (IQR 6 to 57), respectively.

Discussion

The role of IM on overall survival in mRCC patients, as part of a multimodal treatment approach, is limited. IM continues to be performed, however, mainly for palliative reasons. Also, IM and stereotactic body radiation therapy are being increasingly used for oligoprogression. In our cohort, 10.7% of patients underwent an IM, a rate comparable to those found in other studies (range 9% to 19%) [7,11,12,13]. The median age of patients at the time of metastasis is also similar to that in other studies (61 to 65 years old) [14,15]. In addition, our analysis consisted of primarily clear cell histology (84.8%), which is similar to the findings of previous studies (80% to 93.8%) [7,16,17]. After matching, most clinicopathologic characteristics were similar between the 2 groups, with the exception of pathological T-stage, number of organ sites involved by metastasis, and comorbidities. More patients had 2 and more organ sites involved by metastasis in the IM than the NM. Additionally, patients having undergone IM had more comorbidities than NM patients; however, Charlson score favored the IM group. This finding may reflect the existence of poorly controlled or more severe comorbidities in the NM group, resulting in healthier patients being selected for surgery. However, when adjusting for the Charlson comorbidity index, the HR of IM versus NM remained the same, and this was not found to be an independent factor associated to the survival in this population.
Our survival analysis showed that there was no significant difference in OS among patients who had undergone IM compared with those who had not (P = 0.8). Our results are comparable to those of other studies in which IM had no OS advantage over NM. As stated before, You et al. reported comparable OS medians of 29.6 versus 23.5 months ([95% CI 15.4 to 43.8 months], and [95% CI 18.9 to 28.1 months], respectively) for IM and NM, respectively [12]. In addition, Yu and colleagues also reported in a single-center retrospective study of patients undergoing IM, similar OS among IM and NM with median OS of 16 months versus 22 months (95% CI 9.5 to 22.5 and 17.6 to 26.4, respectively) [7]. In contrast, our recent study using the CKCis database found a significant improvement in OS all-sites combined when CM was compared to NM (median OS 82 months [95% CI 80 to NR] versus 66 months [95% CI 60 to NR], respectively [P = 0.001]) [10]. Although no difference in survival was shown among all metastasectomy sites combined, the risk of death among different IM sites is not similar. Patients with lung and endocrine IM experienced longer survival rates than those with bone and lymph node IM. However, in our subgroup analyses comparing each site to their matched NM, only lung IM was associated with better OS. In fact, lung IM had a 5-year OS of 82% compared with 50.4% without surgical resection. These results are similar to what was previously reported in the literature for CM (range 75% to 83.3%) [18,19]. Site-specific survival analyses were not conducted in previous studies evaluating IM [7,8,12]. From what is reported in the literature, lymph nodes, both regional and distant, represent 15% of sites of metastatic recurrences of RCC [20]. In our study, survival was worsened in patients with incomplete lymphadenectomy when compared with patients without surgical resection (P = 0.024). Yet this finding should be interpreted with caution, as this analysis is likely underpowered to assess the role of IM on lymph node metastasis since only 9 patients received an incomplete resection of lymph nodes, and no multivariate analysis was possible. Additionally, lymphadenectomy is often done in conjunction with organ metastasectomy. Our study confirmed that there is no benefit for OS when single or multiple metastatic sites are incompletely resected. Therefore, the role of lymphadenectomy is limited and should not be part of a multi-site IM. Analysis of liver and brain IM was inadequate because of the small number of cases present in our registry (8.7% and 5.1%, respectively). As for endocrine IM, our results confirmed the absence of survival benefits (P = 0.388). Kavolius et al. previously demonstrated that among patients undergoing CM, those with isolated endocrine disease (pancreas, adrenal, ovary, thyroid, and salivary gland) exhibited the most favorable prognosis with a 5-year OS of 63% [9]. However, the benefit was only in patients who received a CM and not in those who had an IM or NM.
This study is the first to demonstrate significantly delayed mean time to introduction of first-line systemic therapy (28 months delay in this study) compared with NM. Therefore, when lung lesions represent the only site of metastasis, there may be a benefit of partial resection of metastasis on survival and time to systemic therapy. Given that lungs are the most common organ site for metastasis in renal cell carcinoma, one can speculate that the indication for metastasectomy included a higher proportion of patients with oligoprogression when compared with other sites [21]. Metastasectomy at other organ sites, such as bone or brain metastasectomy, may have been performed at a higher proportion for palliative measures such as for pathological fractures or seizures. Unfortunately, it is impossible to confirm this hypothesis through the CKCis database, which constitutes a limitation of our study. While stereotactic body radiation therapy is mainly used in the contemporary era, surgery may represent one treatment modality for such lesions. It is important to note that patients undergoing IM had a higher burden of metastasis and more comorbidities than patients without surgical resection, and despite this, a survival benefit was still evident in subgroup analyses. Incomplete metastasectomy could not be categorized according to the extent of metastasis resected due to the unavailability of this information.
The main limitation of our study arises from its retrospective nature. Also a selection bias may have occurred with respect to the patient’s characteristics. Indeed, patients with a worse general condition may have been deemed unfit for surgery and were selected in the NM group. We performed a propensity score analysis along with matching analysis to address this limitation. Propensity score estimation was carried for variables such as age, sites and number of metastases, disease synchronicity, and histology, and each patient undergoing incomplete surgical resection was matched with up to 4 patients among those who did not have a metastasectomy for variables deemed associated with treatment choice, including prior use of systemic therapy. This analysis allowed us to balance these clinicopathologic variables and drastically limit selection bias. With the exception of the number organs involved by metastasis, all were balanced in the final cohort. Interestingly, patients in the IM group had a higher percentage of patients with 2 or more organ sites involved than did the NM group. Additionally, patients in the IM group had a higher rate of hypertension, diabetes, and hypercholesterolemia, and were more likely to be smokers. Therefore, despite having more comorbidities and a higher disease burden, a significant improvement in OS and delay to introduction of systemic therapy was obtained for lung IM. Unfortunately, no multivariate analysis was possible because of the limited number of patients in the analysis stratified by metastasis location. Our results show potential benefits of IM for lung metastasis only, compared with NM; however, our multivariate analysis found that having a lung metastasis was not a predictive factor for OS when compared with other metastasis location. Furthermore, a better survival was observed for patients receiving IM for lung metastasis only in comparison with IM for other single metastasis locations such as endocrine, lymph nodes, and bones. Again, the small number of patients in each group made impossible a multivariate analysis or another alternative method, ie, matching strategy. Another limitation is the lack of quality of life (QoL) assessment post-metastasectomy. IM may negatively affect patient’s QoL, especially when performed in a non-palliative setting. Future comparative trials for different modalities for metastasectomy such as stereotactic body radiation therapy versus surgery versus cryotherapy may shed more light on not only potential survival benefits of one modality compared with the other, but also on improvement in patients’ QoL. Lastly, the patients’ list of medications was unavailable. Some medications, such as metformin or angiotensin converting enzyme inhibitors, may alter survival in metastatic renal cell carcinoma patients [22,23].
One of the main strengths of our analysis is the multicenter prospective registry: our study included 138 patients treated in 16 different hospitals across the country, making this study one of the largest studies on IM.

Conclusion

Our study indicates that the benefit of IM on OS for mRCC patients is limited. Incomplete resection of lung metastasis shows a potential improvement in OS and delayed time to introduction of systemic therapy when lungs are the sole location of metastatic disease. Outside this indication, IM is not associated with a survival benefit, but may have a role in select patients for symptom relief or palliation. In addition, survival of patients receiving IM varies depending on the metastasectomy site, with the highest value observed for singular lung metastasis. Although groups were matched by propensity score on important measured covariates, some unmeasured confounders may have existed and may have impacted the survival benefit of lung IM in this analysis. Future randomized controlled trials are required to shed more light onto the role of IM.

Supplementary Materials

The following supporting information can be downloaded at: https://www.mdpi.com/2563-6499/2/2/82/s1.

Conflicts of Interest

None declared.

Abbreviations

CMcomplete metastasectomy
HRhazard ratio
IMincomplete metastasectomy
IQRinterquartile range
mRCCmetastatic renal cell carcinoma
NMno metastasectomy
OSoverall survival
RCCrenal cell carcinoma

References

  1. Siegel, R.L.; Miller, K.D.; Jemal, A. Cancer statistics, 2020. CA Cancer J Clin. 2020, 70, 7–30. [Google Scholar] [CrossRef] [PubMed]
  2. Tajzler, C.; Tanguay, S.; Mallick, R.; Ahrens, B.; Ly, T.L.; Breau, R.H.; et al. Determining generalizability of the Canadian Kidney Cancer information system (CKCis) to the entire Canadian kidney cancer population. Can Urol Assoc J. 2020, 14. [Google Scholar] [CrossRef] [PubMed]
  3. Breau, R.H.; Blute, M.L. Surgery for renal cell carcinoma metastases. Curr Opin Urol. 2010, 20, 375–381. [Google Scholar] [CrossRef] [PubMed]
  4. Dabestani, S.; Marconi, L.; Hofmann, F.; Stewart, F.; Lam, T.B.; Canfield, S.E.; et al. Local treatments for metastases of renal cell carcinoma: a systematic review. Lancet Oncol. 2014, 15, e549–e561. [Google Scholar] [CrossRef] [PubMed]
  5. Zaid, H.B.; Parker, W.P.; Safdar, N.S.; Gershman, B.; Erwin, P.J.; Murad, M.H.; et al. Outcomes following complete surgical metastasectomy for patients with metastatic renal cell carcinoma: a systematic review and meta-analysis. J Urol. 2017, 197, 44–49. [Google Scholar] [CrossRef] [PubMed]
  6. Lyon, T.D.; Thompson, R.H.; Shah, P.H.; Lohse, C.M.; Boorjian, S.A.; Costello, B.A.; et al. Complete surgical metastasectomy of renal cell carcinoma in the post-cytokine era. J Urol. 2020, 203, 275–282. [Google Scholar] [CrossRef] [PubMed]
  7. Yu, X.; Wang, B.; Li, X.; Lin, G.; Zhang, C.; Yang, Y.; et al. The significance of metastasectomy in patients with metastatic renal cell carcinoma in the era of targeted therapy. BioMed Res Int. 2015. [Google Scholar] [CrossRef] [PubMed]
  8. Orlova, R.; Borisov, P.; Karlov, P.A.; Shkolnik, M. Efficacy of incomplete metastasectomy with targeted therapy in patients with metastatic renal cell carcinoma. Am Soc Clin Oncol. 2016, 34 (Suppl. 15). [Google Scholar] [CrossRef]
  9. Kavolius, J.P.; Mastorakos, D.P.; Pavlovich, C.; Russo, P.; Burt, M.E.; Brady, M.S. Resection of metastatic renal cell carcinoma. J Clin Oncol. 1998, 16, 2261–2266. [Google Scholar] [CrossRef]
  10. Dragomir, A.; Nazha, S.; Wood, L.A.; Rendon, R.A.; Finelli, A.; Hansen, A.; et al. Outcomes of complete metastasectomy in metastatic renal cell carcinoma patients: The Canadian Kidney Cancer information system experience. Urol Oncol. 2020, 38, 799.e1–799.e10. [Google Scholar] [CrossRef]
  11. Alt, A.L.; Boorjian, S.A.; Lohse, C.M.; Costello, B.A.; Leibovich, B.C.; Blute, M.L. Survival after complete surgical resection of multiple metastases from renal cell carcinoma. Cancer 2011, 117, 2873–2882. [Google Scholar] [CrossRef] [PubMed]
  12. You, D.; Lee, C.; Jeong, I.G.; Song, C.; Lee, J.-L.; Hong, B.; et al. Impact of metastasectomy on prognosis in patients treated with targeted therapy for metastatic renal cell carcinoma. J Cancer Res Clin Oncol. 2016, 142, 2331–2338. [Google Scholar] [CrossRef] [PubMed]
  13. Vogl, U.; Zehetgruber, H.; Dominkus, M.; Hejna, M.; Zielinski, C.; Haitel, A.; et al. Prognostic factors in metastatic renal cell carcinoma: metastasectomy as independent prognostic variable. Br J Cancer 2006, 95, 691–698. [Google Scholar] [CrossRef] [PubMed]
  14. Assouad, J.; Petkova, B.; Berna, P.; Dujon, A.; Foucault, C.; Riquet, M. Renal cell carcinoma lung metastases surgery: pathologic findings and prognostic factors. Ann Thorac Surg. 2007, 84, 1114–1120. [Google Scholar] [CrossRef] [PubMed]
  15. Hofmann, H.-S.; Neef, H.; Krohe, K.; Andreev, P.; Silber, R.-E. Prognostic factors and survival after pulmonary resection of metastatic renal cell carcinoma. Eur Urol. 2005, 48, 77–82. [Google Scholar] [CrossRef] [PubMed]
  16. Escudier, B.; Porta, C.; Schmidinger, M.; Rioux-Leclercq, N.; Bex, A.; Khoo, V.; et al. Renal cell carcinoma: ESMO Clinical Practice Guidelines for diagnosis, treatment and follow-up. Ann Oncol. 2016, 27 (Suppl. 5), v58–v68. [Google Scholar] [CrossRef] [PubMed]
  17. Naito, S.; Kinoshita, H.; Kondo, T.; Shinohara, N.; Kasahara, T.; Saito, K.; et al. Prognostic factors of patients with metastatic renal cell carcinoma with removed metastases: a multicenter study of 556 patients. Urology 2013, 82, 846–851. [Google Scholar] [CrossRef] [PubMed]
  18. Meacci, E.; Nachira, D.; Congedo, M.T.; Porziella, V.; Chiappetta, M.; Ferretti, G.; et al. Lung metastasectomy following kidney tumors: outcomes and prognostic factors from a single-center experience. J Thorac Dis. 2017, 9 (Suppl 12). [Google Scholar] [CrossRef] [PubMed]
  19. Chen, F.; Fujinaga, T.; Shoji, T.; Miyahara, R.; Bando, T.; Okubo, K.; et al. Pulmonary resection for metastasis from renal cell carcinoma. Interactive cardiovascular and thoracic surgery. Interact Cardiovasc Thorac Surg. 2008, 7, 825–828. [Google Scholar] [CrossRef]
  20. Eggener, S.E.; Yossepowitch, O.; Kundu, S.; Motzer, R.J.; Russo, P. Risk score and metastasectomy independently impact prognosis of patients with recurrent renal cell carcinoma. J Urol. 2008, 180, 873–878. [Google Scholar] [CrossRef]
  21. Bianchi, M.; Sun, M.; Jeldres, C.; Shariat, S.; Trinh, Q.-D.; Briganti, A.; et al. Distribution of metastatic sites in renal cell carcinoma: a population-based analysis. Ann Oncol. 2012, 23, 973–980. [Google Scholar] [CrossRef] [PubMed]
  22. Hamieh, L.; McKay, R.R.; Lin, X.; Moreira, R.B.; Simantov, R.; Choueiri, T.K. Effect of metformin use on survival outcomes in patients with metastatic renal cell carcinoma. Clin Genitourin Cancer 2017, 15, 221–229. [Google Scholar] [CrossRef] [PubMed]
  23. Derosa, L.; Izzedine, H.; Albiges, L.; Escudier, B. Hypertension and angiotensin system inhibitors in patients with metastatic renal cell carcinoma. Oncol Rev. 2016, 10, 298. [Google Scholar] [CrossRef] [PubMed]
Figure 1. Flowchart.
Figure 1. Flowchart.
Siuj 02 00082 g001
Figure 2.
Figure 2.
Siuj 02 00082 g002
Figure 3.
Figure 3.
Siuj 02 00082 g003aSiuj 02 00082 g003b
Table 1. Patient demographics, matched cohort.
Table 1. Patient demographics, matched cohort.
Siuj 02 00082 i001a
Siuj 02 00082 i001b
a Wilcoxon two-sample test for medians. b Index date: the date of the first metastasis. c Matching date: the date of incomplete metastasectomy or the date of selection. d Patients with multiple locations were counted in all specific locations. e Fisher exact text.
Table 2. Cox regression model incomplete metastasectomy versus no metastasectomy.
Table 2. Cox regression model incomplete metastasectomy versus no metastasectomy.
Siuj 02 00082 i002
Ref: reference.

Share and Cite

MDPI and ACS Style

Dragomir, A.; Hesswani, C.; Marcq, G.; So, A.I.; Kollmannsberger, C.; Basappa, N.S.; Fairey, A.; Kapoor, A.; Lalani, A.-K.A.; Finelli, A.; et al. Can Incomplete Metastasectomy Impact Renal Cell Carcinoma Outcomes? A Propensity Score Matching Analysis from a Prospective Multicenter Collaboration. Soc. Int. Urol. J. 2021, 2, 82-95. https://doi.org/10.48083/WQFR32352

AMA Style

Dragomir A, Hesswani C, Marcq G, So AI, Kollmannsberger C, Basappa NS, Fairey A, Kapoor A, Lalani A-KA, Finelli A, et al. Can Incomplete Metastasectomy Impact Renal Cell Carcinoma Outcomes? A Propensity Score Matching Analysis from a Prospective Multicenter Collaboration. Société Internationale d’Urologie Journal. 2021; 2(2):82-95. https://doi.org/10.48083/WQFR32352

Chicago/Turabian Style

Dragomir, Alice, Charles Hesswani, Gautier Marcq, Alan I. So, Christian Kollmannsberger, Naveen S. Basappa, Adrian Fairey, Anil Kapoor, Aly-Khan A. Lalani, Antonio Finelli, and et al. 2021. "Can Incomplete Metastasectomy Impact Renal Cell Carcinoma Outcomes? A Propensity Score Matching Analysis from a Prospective Multicenter Collaboration" Société Internationale d’Urologie Journal 2, no. 2: 82-95. https://doi.org/10.48083/WQFR32352

APA Style

Dragomir, A., Hesswani, C., Marcq, G., So, A. I., Kollmannsberger, C., Basappa, N. S., Fairey, A., Kapoor, A., Lalani, A.-K. A., Finelli, A., Wood, L. A., Heng, D. Y. C., Bjarnason, G., Breau, R. H., Lavallée, L. T., Soulières, D., Drachenberg, D., Pouliot, F., & Tanguay, S. (2021). Can Incomplete Metastasectomy Impact Renal Cell Carcinoma Outcomes? A Propensity Score Matching Analysis from a Prospective Multicenter Collaboration. Société Internationale d’Urologie Journal, 2(2), 82-95. https://doi.org/10.48083/WQFR32352

Article Metrics

Back to TopTop