Development and Evaluation of Thread Transistor Based on Carbon-Nanotube Composite Thread with Ionic Gel and Its Application to Logic Gates
Abstract
1. Introduction
2. Materials and Methods
2.1. Structure and Operating Principle of Thread Transistor
2.2. Preparation and Fabrication of Thread Transistor
2.2.1. CNT Composite Thread-Making Method
- Amounts of 10 mg of CNT and 100 mg of sodium dodecyl sulfate (SDS) were dispersed in 20 mL of pure water with an ultrasonic homogenizer (UX-50, Mitsui Electric Co., Ltd., Tokyo, Japan) for 1 h. We chose multi-walled CNTs (NC7000, Nanocyl, diameter = 9.5 nm) to prepare metallic CNT dispersion and chose single-walled CNTs (SG65i, CHASM, (6,5)-chirality, 95%purity, diameter = 0.78 nm) to prepare semiconducting CNT dispersion in this study.
- Then, 10 cm of cotton thread (diameter = 0.4 mm) was prepared. This was washed lightly with pure water, placed on a glass plate, and of the dispersion was dropped so that the entire thread was covered with the CNT dispersion.
- The glass plate was put in an oven at 60 °C to fix the CNT on/in the thread. This was left it in an oven for about 30 min until the dispersion was completely evaporated.
- The thread was removed from the glass plate and washed with pure water to residual surfactant.
2.2.2. Ionic Gel-Making Method
- An amount of 20 mg of PVDF-HFP (Sigma-Aldrich, St. Louis, MO, USA, average Mw, Mn) was dissolved in 5 mL of acetone by heating and stirring at for 3 h in a magnetic stirrer (SP88854200, Fisherbrand, Waltham, MA, USA).
- An amount of 1 mL of ionic liquid (EMI-TFSI, TOYO GOSEI Co., Ltd., Tokyo, Japan) was added to the polymer solution prepared in step (1); then, heating and stirring were conducted at for 3 h, and acetone was evaporated.
2.2.3. Thread Transistor-Making Method
- (1)
- In preparation, the ionic gel was heated to to gelatinize it. Then, 1 cm of metallic CNT composite thread and semiconducting CNT composite thread were cut.
- (2)
- The gel was attached to the tip of the metallic CNT composite thread.
- (3)
- Before the gel cooled and hardened, it was physically connected to the center of the semiconducting CNT composite thread prepared in step (2).
- (4)
- The fabricated thread transistor was dried in an oven at for 30 min.
2.3. Performance Evaluation Method of Thread Transistor
- Investigation of the effect of applying tension to a CNT composite thread:
- Measurement of thread transistor characteristics:
- Measurement of logic gate operation:
- Investigation of the effect of applying tension to a thread transistor:
3. Results and Discussion
3.1. Flexibility of CNT Composite Thread
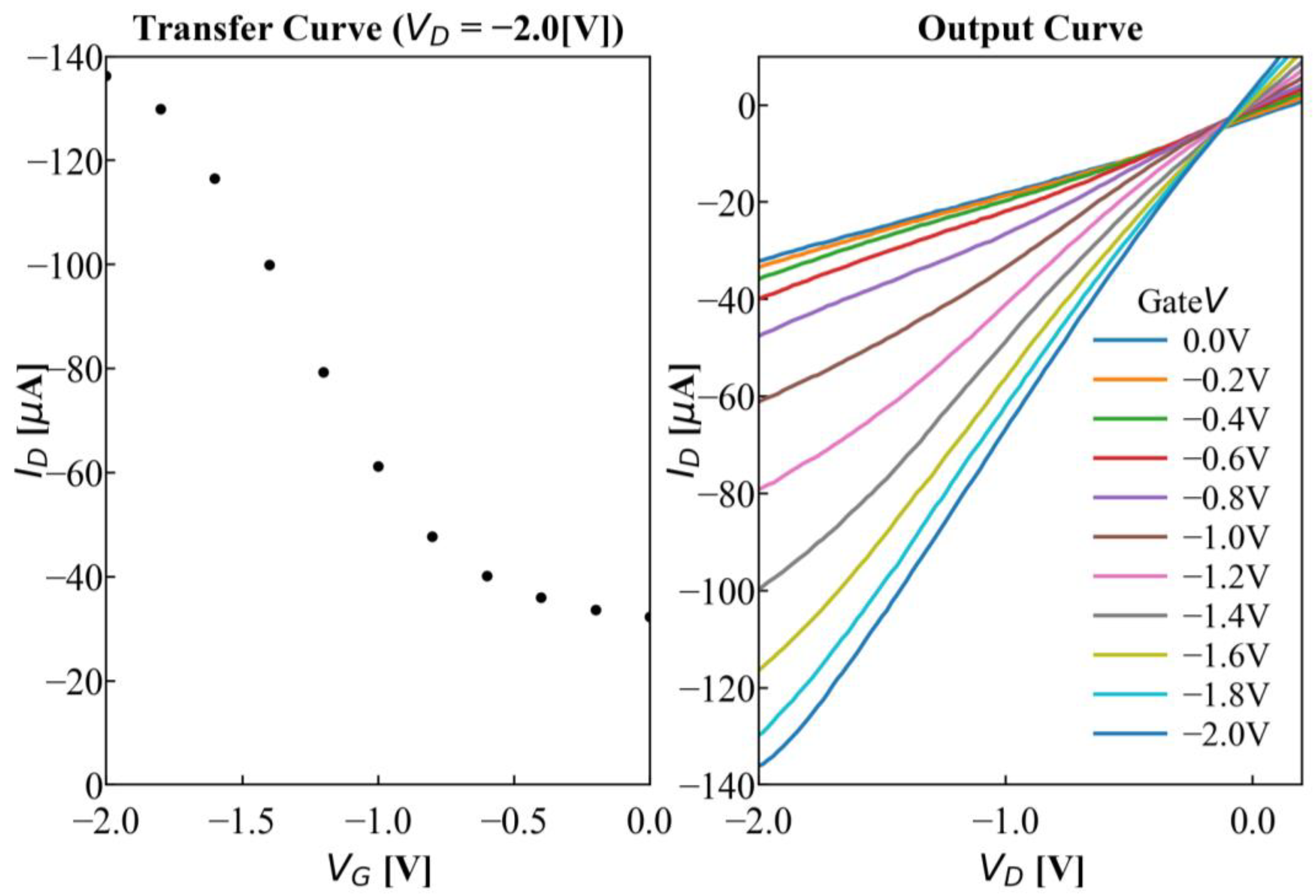
3.2. Characterization of Thread Transistor
3.3. Logic Gate
3.4. Responsiveness to External Forces
3.4.1. For Bending
3.4.2. For Tension
4. Conclusions
Author Contributions
Funding
Data Availability Statement
Acknowledgments
Conflicts of Interest
References
- Iijima, S. Helical micro-tubules of graphitic carbon. Nature 1991, 354, 56–58. [Google Scholar] [CrossRef]
- Popov, V.N. Carbon nanotubes: Properties and application. In Materials Science and Engineering: R: Reports; Elsevier: Amsterdam, The Netherlands, 2004; Volume 43, pp. 61–102. [Google Scholar]
- Odom, T.W.; Huang, J.L.; Kim, P.; Lieber, C.M. Atomic structure and electronic properties of single-walled carbon nanotubes. Nature 1998, 391, 62–64. [Google Scholar] [CrossRef]
- Ebbesen, T.W.; Lezec, H.J.; Hiura, H.; Bennett, J.W.; Ghaemi, H.F.; Thio, T. Electrical conductivity of individual carbon nanotubes. Nature 1996, 382, 54–56. [Google Scholar] [CrossRef]
- Yu, M.F.; Files, B.S.; Arepalli, S.; Ruoff, R.S. Tensile loading of ropes of single wall carbon nanotubes and their mechanical properties. Phys. Rev. Lett. 2000, 84, 5552–5555. [Google Scholar] [CrossRef] [PubMed]
- Dresselhaus, M.S.; Dresselhaus, G.; Avouris, P. (Eds.) Carbon Nanotubes: Synthesis, Structure, Properties, and Applications; Springer: Berlin, Germany, 2001. [Google Scholar]
- Jorio, A.; Dresselhaus, M.S.; Dresselhaus, G. (Eds.) Carbon Nanotubes: Advanced Topics in the Synthesis, Structure, Properties, and Applications; Springer: Berlin, Germany, 2008. [Google Scholar]
- Hata, K. Great expectations for a dream material, 21st century industrial revolution. AIST Stories 2013, 1, 18–19. [Google Scholar]
- Tans, S.; Verschueren, A.; Dekker, C. Room-temperature transistor based on a single carbon nanotube. Nature 1998, 393, 49–52. [Google Scholar] [CrossRef]
- Xu, L.; Yang, J.; Qiu, C.; Liu, S.; Zhou, W.; Li, Q.; Shi, B.; Ma, J.; Yang, C.; Lu, J.; et al. Can carbon nanotube transistors be scaled down to the sub-5nm gate length? ACS Appl. Mater. Interfaces 2021, 13, 31957–31967. [Google Scholar] [CrossRef]
- Liu, X.; Wu, Z.; Hong, D.; Wu, W.; Xue, C.; Cai, X.; Ding, S.; Yao, F.; Jin, C.; Wang, S. Hf-contacted high-performance air-stable n-type carbon nanotube transistors. ACS Appl. Electron. Mater. 2021, 3, 4623–4629. [Google Scholar] [CrossRef]
- Yao, X.; Zhang, Y.; Jin, W.; Hu, Y.; Cui, Y. Carbon Nanotube Field-Effect Transistor-Based Chemical and Biological Sensors. Sensors 2021, 21, 995. [Google Scholar] [CrossRef]
- Liu, C.; Hu, J.; Wu, G.; Cao, J.; Zhang, Z.; Zhang, Y. Carbon nanotube-based field-effect transistor-type sensor with a sensing gate for ppb-level formaldehyde detection. ACS Appl. Mater. Interfaces 2021, 13, 56309–56319. [Google Scholar] [CrossRef]
- Andrews, J.B.; Cardenas, J.A.; Lim, C.J.; Noyce, S.G.; Mullett, J.; Franklin, A.D. Fully printed and flexible carbon nanotube transistors for pressure sensing in automobile tires. IEEE Sens. J. 2018, 18, 7875–7880. [Google Scholar] [CrossRef]
- Cardenas, J.A.; Andrews, J.B.; Noyce, S.G.; Franklin, A.D. Carbon nanotube electronics for IoT sensors. Nano Futures 2020, 4, 012001. [Google Scholar] [CrossRef]
- Lei, T.; Shao, L.L.; Zheng, Y.Q.; Pitner, G.; Fang, G.; Zhu, C.; Li, S.; Beausoleil, R.; Wong, H.-S.P.; Huang, T.C.; et al. Low-voltage high-performance flexible digital and analog circuits based on ultrahigh-purity semiconducting carbon nanotubes. Nat. Commun. 2019, 10, 2161. [Google Scholar] [CrossRef] [PubMed]
- Sun, D.-M.; Liu, C.; Ren, W.-C.; Cheng, H.-M. A review of carbon nanotube- and graphene-based flexible thin-film transistors. Small 2013, 9, 1188–1205. [Google Scholar] [CrossRef]
- Moore, V.C.; Strano, M.S.; Haroz, E.H.; Hauge, R.H.; Smalley, R.E.; Schmidt, J.; Talmon, Y. Individually suspended single-walled carbon nanotubes in barious surfactants. Nano Lett. 2003, 3, 1379–1382. [Google Scholar] [CrossRef]
- Pramanik, C.; Gissinger, J.R.; Kumar, S.; Heinz, H. Carbon nanotube dispersion in solvents and polymer solutions: Mechanisms, assembly, and preferences. ACS Nano 2017, 11, 12805–12816. [Google Scholar] [CrossRef]
- Polo-Luque, M.L.; Simonet, B.M.; Valcarcel, M. Functionalization and dispersion of carbon nanotubes in ionic liquids. TrAC Trends Anal. Chem. 2013, 47, 99–110. [Google Scholar] [CrossRef]
- Harris, P.J.F. Carbon nanotube composites. Int. Mater. Rev. 2004, 49, 31–43. [Google Scholar] [CrossRef]
- Khanna, V.; Kumar, V.; Bansal, S.A. Mechanical properties of aluminium-graphene/carbon nanotubes (CNTs) metal matrix composites: Advancement, opportunities and perspective. Mater. Res. Bull. 2021, 138, 111224. [Google Scholar] [CrossRef]
- Mohd Nurazzi, N.; Asyraf, M.R.M.; Khalina, A.; Abdullah, N.; Sabaruddin, F.A.; Kamarudin, S.H.; Ahmad, S.; Mahat, A.M.; Lee, C.L.; Aisyah, H.A.; et al. Fabrication, functionalization, and application of carbon nanotube-reinforced polymer composite: An overview. Polymers 2021, 13, 1047. [Google Scholar] [CrossRef]
- Mohammed, S.A.M.K.; Chen, D.L. Carbon nanotube-reinforced aluminum matrix composites. Adv. Eng. Mater. 2020, 22, 1901176. [Google Scholar] [CrossRef]
- Islam, M.H.; Afroj, S.; Uddin, M.A.; Andreeva, D.V.; Novoselov, K.S.; Karim, N. Graphene and CNT-based smart fiber-reinforced composites: A review. Adv. Funct. Mater. 2022, 32, 2205723. [Google Scholar] [CrossRef]
- Ramezani, M.; Dehghani, A. Carbon nanotube reinforced cementitious composites: A comprehensive review. Constr. Build. Mater. 2022, 315, 125100. [Google Scholar] [CrossRef]
- Oya, T.; Ogino, T. Production of electrically conductive paper by adding carbon nanotubes. Carbon 2008, 46, 169–171. [Google Scholar] [CrossRef]
- Yoshida, M.; Oya, T. Development of carbon-nanotube composite thread and its application to “thread transistor”. Adv. Sci. Technol. 2014, 95, 38–43. [Google Scholar]
- Arakaki, R.; Oya, T. Development and evaluation of “thermoelectric power generating thread” using carbon nanotube-coated threads. Jpn. J. Appl. Phys. 2019, 58, SDDD06. [Google Scholar] [CrossRef]
- Yamabe, M.; Arai, K.; Oya, T. Thermoelectric performance improvement of Peltier thread using carbon-nanotube-composite threads. In Proceedings of the 36th International Microprocesses and Nanotechnology Conference, Sapporo, Japan, 14–17 November 2023; p. 17B-1-4. [Google Scholar]
- Iwama, M.; Oya, T. Study of n-type doping by vapor deposition for thread transistors using carbon nanotube composite threads. In Proceedings of the 2021 International Chemical Congress of Pacific Basin Societies, Online, 16–21 December 2021; p. 3592906. [Google Scholar]
- Mei, T.; Liu, W.; Xu, G.; Chen, Y.; Wu, M.; Wang, L.; Xiao, K. Ionic transistor. ACS Nano 2024, 18, 4624–4650. [Google Scholar] [CrossRef]
- Meunier, V.; Huang, J.; Feng, G.; Qiao, R.; Sumpter, B.G. Modern theories of carbon-based electrochemical capacitors: A short review. In Proceedings of the ASME International Mechanical Engineering Congress and Exposition, Vancouver, BC, Canada, 30 April 2010; pp. 21–30. [Google Scholar]
- Kwon, H.N.; Jang, S.J.; Kang, Y.C.; Roh, K.C. The effect of ILs as co-salts in electrolytes for high voltage supercapacitors. Sci. Rep. 2019, 9, 1180. [Google Scholar] [CrossRef] [PubMed]
- Wang, D.; Zhao, S.; Yin, R.; Li, L.; Lou, Z.; Shen, G. Recent advanced applications of ion-gel in ionic-gated transistor. Npj Flex. Electron. 2021, 5, 13. [Google Scholar] [CrossRef]
- Zhong, Y.; Nayak, P.D.; Wustoni, S.; Surgailis, J.; Parrado Agudelo, J.Z.; Marks, A.; McCulloch, I.; Inal, S. Ionic liquid gated organic electrochemical transistors with broadened bandwidth. ACS Appl. Mater. Interfaces 2023. [Google Scholar] [CrossRef]
- Lee, H.J.; Lee, S.; Ji, Y.; Cho, K.G.; Choi, K.S.; Jeon, C.; Lee, K.H.; Hong, K. Ultrahigh-mobility and solution-processed inorganic p-channel thin-film transistors based on a transition-metal halide semiconductor. ACS Appl. Mater. Interfaces 2019, 11, 40243–40251. [Google Scholar] [CrossRef] [PubMed]
- Geng, Y.; Ren, Y.; Wang, X.; Li, J.; Portilla, L.; Fang, Y.; Zhao, J. Highly sensitive and selective H2S sensors with ultra-low power consumption based on flexible printed carbon-nanotube-thin-film-transistors. Sens. Actuators B Chem. 2022, 360, 131633. [Google Scholar] [CrossRef]
- Gao, N.; Pan, C. Intelligent ion gels; design, performance, and applications. SmartMat 2024, 5, e1215. [Google Scholar] [CrossRef]
- Chae, K.; Cuong, N.D.; Ryu, S.; Yeom, D.I.; Ahn, Y.H.; Lee, S.; Park, J.Y. Electrical properties of ion gels based on PVDF-HFP applicable as gate stacks for flexible devices. Curr. Appl. Phys. 2018, 18, 1567–1739. [Google Scholar] [CrossRef]
- Zhao, D.; Martineli, A.; Willfahrt, A.; Fisher, T.; Bernin, D.; Khan, Z.U.; Shahi, M.; Brill, J.; Jonsson, M.P.; Fabiano, S.; et al. Polymer gels with tunable ionic seebeck coefficient for ultra-senstive printer thermopiles. Nat. Commun. 2019, 10, 1093. [Google Scholar] [CrossRef]
- Robin, M.; Portilla, L.; Wei, M.; Gao, T.; Zhao, J.; Shao, S.; Pecunia, V.; Cui, Z. Overcoming electrochemical instabilities of printed silver electrodes in all-printed ion gel gated carbon nanotube thin-film transistors. ACS Appl. Mater. Interfaces 2019, 11, 41531–41543. [Google Scholar] [CrossRef]
- Owyeung, R.E.; Terse-Thakoor, T.; Nejad, H.R.; Panzer, M.J.; Sonkusale, S.R. Highly flexible transistor threads for all-thread based integrated circuits and multiplexed diagnostics. ACS Appl. Mater. Interfaces 2019, 11, 31096–31104. [Google Scholar] [CrossRef]











Disclaimer/Publisher’s Note: The statements, opinions and data contained in all publications are solely those of the individual author(s) and contributor(s) and not of MDPI and/or the editor(s). MDPI and/or the editor(s) disclaim responsibility for any injury to people or property resulting from any ideas, methods, instructions or products referred to in the content. |
© 2024 by the authors. Licensee MDPI, Basel, Switzerland. This article is an open access article distributed under the terms and conditions of the Creative Commons Attribution (CC BY) license (https://creativecommons.org/licenses/by/4.0/).
Share and Cite
Kodaira, H.; Oya, T. Development and Evaluation of Thread Transistor Based on Carbon-Nanotube Composite Thread with Ionic Gel and Its Application to Logic Gates. J. Compos. Sci. 2024, 8, 463. https://doi.org/10.3390/jcs8110463
Kodaira H, Oya T. Development and Evaluation of Thread Transistor Based on Carbon-Nanotube Composite Thread with Ionic Gel and Its Application to Logic Gates. Journal of Composites Science. 2024; 8(11):463. https://doi.org/10.3390/jcs8110463
Chicago/Turabian StyleKodaira, Hiroki, and Takahide Oya. 2024. "Development and Evaluation of Thread Transistor Based on Carbon-Nanotube Composite Thread with Ionic Gel and Its Application to Logic Gates" Journal of Composites Science 8, no. 11: 463. https://doi.org/10.3390/jcs8110463
APA StyleKodaira, H., & Oya, T. (2024). Development and Evaluation of Thread Transistor Based on Carbon-Nanotube Composite Thread with Ionic Gel and Its Application to Logic Gates. Journal of Composites Science, 8(11), 463. https://doi.org/10.3390/jcs8110463

