Tannins as Biobased Molecules for Surface Treatments of Flax Wrapped Rovings for Epoxy/Flax Fabrics Biocomposites: Influence on Mechanical Properties through a Multi-Scale Approach
Abstract
1. Introduction
2. Materials and Methods
2.1. Materials
2.1.1. Wrapped Flax Rovings
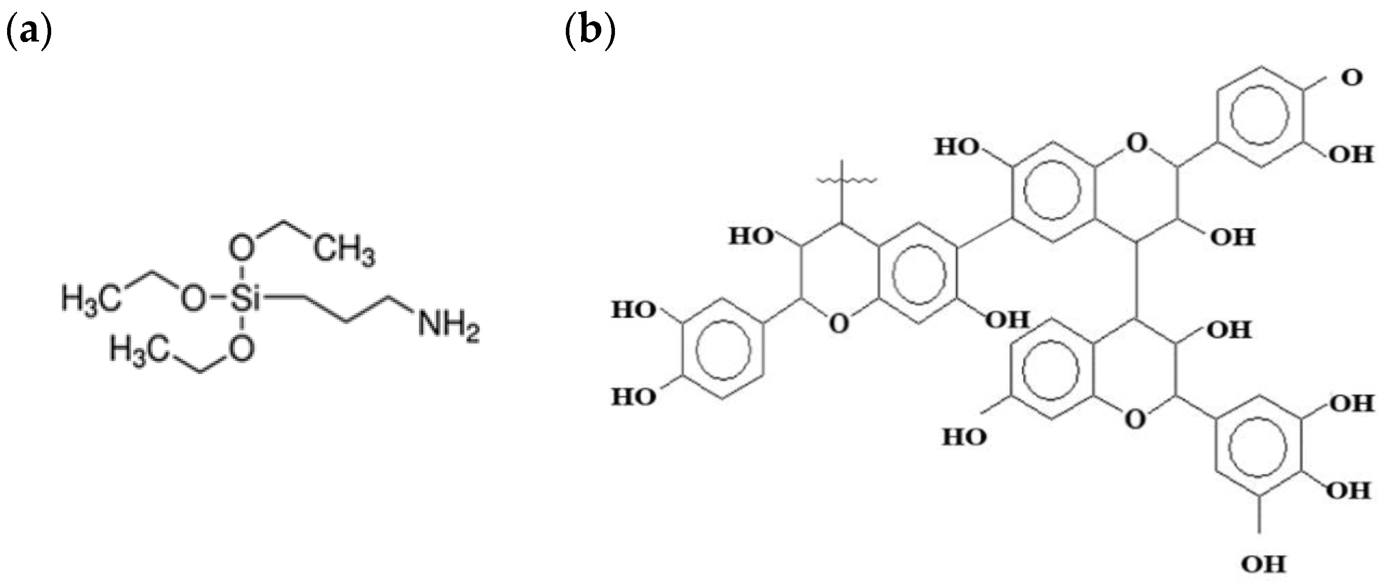
2.1.2. Molecules for Surface Treatment of Wrapped Flax Rovings
2.2. Processing
2.2.1. Preparation of the Solutions for Surface Treatment
2.2.2. Impregnation Line
2.2.3. Fabric Manufacturing
2.3. Characterization Methods
2.3.1. Fourier Transform InfraRed Spectroscopy (FT-IR)
2.3.2. Scanning Electron Microscopy (SEM-EDX)
2.3.3. Mechanical Characterizations
Mechanical Properties of Rovings
Mechanical Properties of Fabrics
3. Results and Discussion
3.1. Evaluation of the Molecule Grafting Efficiency on Wrapped Flax Rovings
3.1.1. Physico-Chemical Characterization
APTES Treatments
Quebracho Tannins Treatments
3.2. Influence of the Surface Treatments on the Tensile Properties of Wrapped Flax Rovings
3.2.1. Effect of the Gauge Length
3.2.2. Effect of the Chemical Treatment
3.3. Evaluation of the Chemical Functionalization of Wrapped Flax Rovings on the Properties of Developed Fabrics
3.3.1. Determination of the Characteristics of Manufactured Fabrics
3.3.2. Influence of Chemical Functionalization of Wrapped Flax Rovings on the Tensile Properties of Fabrics
3.4. Evaluation of the Effect of Weaving Process on the Mechanical Properties of Wrapped Flax Rovings
4. Conclusions
Author Contributions
Funding
Data Availability Statement
Acknowledgments
Conflicts of Interest
References
- Yan, L.; Chouw, N.; Jayaraman, K. Flax fibre and its composites—A review. Compos. Part B Eng. 2014, 56, 296–317. [Google Scholar] [CrossRef]
- Li, M.; Pu, Y.; Thomas, V.M.; Yoo, C.G.; Ozcan, S.; Deng, Y.; Nelson, K.; Ragauskas, A.J. Recent advancements of plant-based natural fiber–reinforced composites and their applications. Compos. Part B Eng. 2020, 200, 108254. [Google Scholar] [CrossRef]
- Bledzki, A.K.; Gassan, J. Composites reinforced with cellulose. Prog. Polym. Sci. 1999, 24, 221–274. [Google Scholar] [CrossRef]
- Shah, D.U.; Schubel, P.J.; Clifford, M.J. Can flax replace E-glass in structural composites? A small wind turbine blade case study. Compos. Part B Eng. 2013, 52, 172–181. [Google Scholar] [CrossRef]
- Holbery, J.; Houston, D. Natural-fiber-reinforced polymer composites in automotive applications. J. Miner. Met. Mater. Soc. 2006, 58, 80–86. [Google Scholar] [CrossRef]
- Sanjay, M.R.; Siengchin, S.; Parameswaranpillai, J.; Jawaid, M.; Pruncu, C.I.; Khan, A. A comprehensive review of techniques for natural fibers as reinforcement in composites: Preparation, processing and characterization. Carbohydr. Polym. 2019, 207, 108–121. [Google Scholar]
- Rangappa, S.M.; Siengchin, S. Moving towards biofiber-based composites: Knowledge gaps and insights. Express Polym. Lett. 2022, 16, 451–452. [Google Scholar] [CrossRef]
- Baley, C.; Bourmaud, A. Multiscale Structure of Plant Fibers. Encycl. Mater. Compos. 2021, 3, 117–134. [Google Scholar]
- Bourmaud, A.; Nuez, L.; Goudenhooft, C.; Baley, C. Multi-scale mechanical characterization of flax fibres for the reinforcement of composite materials. In Handbook of Natural Fibres; Woodhead Publishing: Cambridge, UK, 2020; pp. 205–226. [Google Scholar]
- Gurunathan, T.; Mohanty, S.; Nayak, S.K. A review of the recent developments in biocomposites based on natural fibres and their application perspectives. Compos. Part A Appl. Sci. Manuf. 2015, 77, 1–25. [Google Scholar] [CrossRef]
- Renault, T. Les Materiaux Composites Dans L’Automobile. Mécanique et Industries 2001, 2, 211–218. [Google Scholar] [CrossRef]
- Zhu, J.; Zhu, H.; Njuguna, J.; Abhyankar, H. Recent development of flax fibres and their reinforced composites based on different polymeric matrices. Materials 2013, 6, 5171–5198. [Google Scholar] [CrossRef]
- Baley, C.; Bourmaud, A.; Davies, P. Eighty years of composites reinforced by flax fibers: A historical review. Comp Part A 2021, 144, 106333. [Google Scholar] [CrossRef]
- AFNOR NF T25-501-2 Reinforcement Fibres—Flax Fibres fro Platics Composites. Part 2. Determination of Tensile Properties of Elementary Flax Fibres. AFNOR Edition. 2015. Available online: https://www.boutique.afnor.org/fr-fr/norme/nf-t255012/fibres-de-renfort-fibres-de-lin-pour-composites-plastiques-partie-2-determi/fa059503/44866 (accessed on 6 February 2024).
- Musa, C.; Kervoëlen, A.; Danjou, P.E.; Bourmaud, A.; Delattre, F. Bio-based unidirectional composite made of flax fibre and isosorbide-based epoxy resin. Mater. Lett. 2020, 258, 126818. [Google Scholar] [CrossRef]
- Habibi, M.; Laperrière, L.; Lebrun, G.; Toubal, L. Combining short flax fiber mats and unidirectional flax yarns for composite applications: Effect of short flax fibers on biaxial mechanical properties and damage behaviour. Compos. Part B Eng. 2017, 123, 165–178. [Google Scholar] [CrossRef]
- Torres, J.P.; Vandi, L.J.; Veidt, M.; Heitzmann, M.T. The mechanical properties of natural fibre composite laminates: A statistical study. Compos. Part A Appl. Sci. Manuf. 2017, 98, 99–104. [Google Scholar] [CrossRef]
- Doineau, E.; Coqueugniot, G.; Pucci, M.F.; Caro, A.S.; Cathala, B.; Benezet, J.C.; Bras, J.; Le Moigne, N. Hierarchical thermoplastic biocomposites reinforced with flax fibres modified by xyloglucan and cellulose nanocrystals. Carbohydr. Polym. 2021, 254, 11740. [Google Scholar] [CrossRef] [PubMed]
- Ouagne, P.; Soulat, D.; Hivet, G.; Allaoui, S.; Duriatti, D. Analysis of defects during the preforming of a woven flax reinforcement. Adv. Compos. Lett. 2011, 20, 105–108. [Google Scholar] [CrossRef]
- Torres, J.P.; Vandi, L.J.; Veidt, M.; Heiztmann, M.T. Statistical data for the tensile properties of natural fibre composites. Data Br. 2017, 12, 222–226. [Google Scholar] [CrossRef] [PubMed]
- Zhou, N.; Geng, X.; Ye, M.; Yao, L.; Shan, Z. Mechanical and sound adsorption properties of cellular poly (lactic acid) matrix composites reinforced with 3D ramie fabrics woven with co-wrapped yarns. Ind. Crop. Prod. 2014, 56, 1–8. [Google Scholar] [CrossRef]
- Elmogahzy, Y.E. Chapter 9: Yarns. In Engineering Textiles; Woodhead Publishing: Cambridge, UK, 2020. [Google Scholar]
- Corbin, A.C.; Ferreira, M.; Labanieh, A.R.; Soulat, D. Natural fiber composite manufacture using wrapped hemp roving with. Mater. Today Proc. 2020, 31, 329–334. [Google Scholar] [CrossRef]
- Baghaei, B.; Skrifvars, M.; Berglin, L. Manufacture and characterisation of thermoplastic composites made from PLA / hemp co-wrapped hybrid yarn prepregs. Compos. Part A 2013, 50, 93–101. [Google Scholar] [CrossRef]
- Liotier, P.J.; Pucci, M.F.; Le Duigou, A.; Kervoelen, A.; Tirillo, J.; Sarasini, F.; Drapier, S. Role of interface formation versus fibres properties in the mechanical behaviour of bio-based composites manufactured by Liquid Composite Molding processes. Compos. Part B Eng. 2019, 163, 86–95. [Google Scholar] [CrossRef]
- Pucci, M.F.; Liotier, P.J.; Seveno, D.; Fuentes, C.; Van Vuure, A.; Draier, S. Wetting and swelling property modifications of elementary flax fibres and their effects on the Liquid Composite Molding process. Compos. Part A Appl. Sci. Manuf. 2017, 97, 31–40. [Google Scholar] [CrossRef]
- Vo, H.N.; Pucci, M.F.; Drapier, S.; Liotier, P.J. Capillary pressure contribution in fabrics as a function of fibre volume fraction for Liquid Composite Moulding processes. Colloids Surfaces A Physicochem. Eng. Asp. 2022, 635, 128120. [Google Scholar] [CrossRef]
- Teraube, O.; Gratier, L.; Agopian, J.C.; Pucci, M.F.; Liotier, P.J.; Hajjar-Garreau, S.; Petit, E.; Batisse, N.; Bousquet, A.; Charlet, K.; et al. Elaboration of hydrophobic flax fibers through fluorine plasma treatment. Appl. Surf. Sci. 2023, 611, 155615. [Google Scholar] [CrossRef]
- Ramachandran, A.R.; Rangappa, S.M.; Kushvaha, V.; Khan, A.; Seingchin, S.; Dhakal, H.N. Modification of Fibers and Matrices in Natural Fiber Reinforced Polymer Composites: A Comprehensive Review. Macromol. Rapid Commun. 2022, 43, e2100862. [Google Scholar] [CrossRef]
- Li, Z.; Zhou, X.; Pei, C. Effect of sisal fiber surface treatment on properties of sisal fiber reinforced polylactide composites. Int. J. Polym. Sci. 2011, 2011, 803428. [Google Scholar] [CrossRef]
- Hamidon, M.H.; Sultan, M.T.H.; Ariffin, A.H.; Shah, A.U.M. Effects of fibre treatment on mechanical properties of kenaf fibre reinforced composites: A review. J. Mater. Res. Technol. 2019, 8, 3327–3337. [Google Scholar] [CrossRef]
- Jha, K.; Kataria, R.; Verma, J.; Pradhan, S. Potential biodegradable matrices and fiber treatment for green composites: A review. AIMS Mater. Sci. 2019, 6, 119–138. [Google Scholar] [CrossRef]
- Kabir, M.M.; Wang, H.; Lau, K.T.; Cardona, F. Chemical treatments on plant-based natural fibre reinforced polymer composites: An overview. Compos. Part B Eng. 2012, 43, 2883–2892. [Google Scholar] [CrossRef]
- Mokhothu, T.H.; Mtibe, A.; Mokhena, T.C.; Mochane, M.J. Influence of silane modification on the properties of natural fibers and its effect on biocomposites. In Surface Treatment Methods of Natural Fibres and their Effects on Biocomposites; Woodhead Publishing: Cambridge, UK, 2022; pp. 67–93. [Google Scholar]
- Xie, Y.; Hill, C.A.S.; Xiao, Z.; Militz, H.; Mai, C. Silane coupling agents used for natural fiber/polymer composites: A review. Compos. Part A Appl. Sci. Manuf. 2010, 41, 806–819. [Google Scholar] [CrossRef]
- Arun Prakash, V.R.; Julyes Jaisingh, S. Mechanical strength behaviour of silane treated E-glass fibre, Al-6061 and SS-304 wire mesh reinforced epoxy resin Hybrid composites. Def. Technol. 2018, 10, 2279–2286. [Google Scholar] [CrossRef]
- Wu, H.F.; Dwight, D.W.; Huff, N.T. Effects of silane coupling agents on the interphase and performance of glass-fiber-reinforced polymer composites. Compos. Sci. Technol. 1997, 57, 975–983. [Google Scholar] [CrossRef]
- Thomason, J.L. Glass fibre sizing: A review. Compos. Part A Appl. Sci. Manuf. 2019, 127, 105619. [Google Scholar] [CrossRef]
- Jing, M.; Che, J.; Xu, S.; Liu, Z.; Fu, Q. The effect of surface modification of glass fiber on the performance of poly(lactic acid) composites: Graphene oxide vs. silane coupling agents. Appl. Surf. Sci. 2018, 435, 1046–1056. [Google Scholar] [CrossRef]
- Bergeret, A. Chapter 3: Surface treatments in fibre-reinforced composites. In Fiber Reinforced Composites; Woodhead Publishing: Cambridge, UK, 2021. [Google Scholar]
- Reulier, M.; Perrin, R.; Avérous, L. Biocomposites based on chemically modified cellulose fibers with renewable fatty-acid-based thermoplastic systems: Effect of different fiber treatments. J. Appl. Polym. Sci. 2016, 133, 1–13. [Google Scholar] [CrossRef]
- Sgriccia, N.; Hawley, M.C.; Misra, M. Characterization of natural fiber surfaces and natural fiber composites. Compos. Part A Appl. Sci. Manuf. 2008, 39, 1632–1637. [Google Scholar] [CrossRef]
- Kabir, M.M.; Wang, H.; Lau, K.T.; Cardona, F. Effects of chemical treatments on hemp fibre structure. Appl. Surf. Sci. 2013, 276, 13–23. [Google Scholar] [CrossRef]
- Calabia, B.P.; Ninomiya, F.; Yagi, H.; Oishi, A.; Taguchi, K.; Kunioka, M.; Funabashi, M. Biodegradable poly(butylene succinate) composites reinforced by cotton fiber with silane coupling agent. Polymers 2013, 5, 128–141. [Google Scholar] [CrossRef]
- Le Moigne, N.; Longerey, M.; Taulemesse, J.M.; Bénézet, J.C.; Bergeret, A. Study of the interface in natural fibres reinforced poly(lactic acid) biocomposites modified by optimized organosilane treatments. Ind. Crops Prod. 2014, 52, 481–494. [Google Scholar] [CrossRef]
- Georgiopoulos, P.; Kontou, E.; Georgousis, G. Effect of silane treatment loading on the flexural properties of PLA/flax unidirectional composites. Compos. Commun. 2018, 10, 6–10. [Google Scholar] [CrossRef]
- Yu, T.; Ren, J.; Li, S.; Yuan, H.; Li, Y. Effect of fiber surface-treatments on the properties of poly(lactic acid)/ramie composites. Compos. Part A Appl. Sci. Manuf. 2010, 41, 499–505. [Google Scholar] [CrossRef]
- Li, Y.; Hu, C.; Yu, Y. Interfacial studies of sisal fiber reinforced high density polyethylene (HDPE) composites. Compos. Part A Appl. Sci. Manuf. 2008, 39, 570–578. [Google Scholar] [CrossRef]
- Zhou, F.; Cheng, G.; Jiang, B. Effect of silane treatment on microstructure of sisal fibers. Appl. Surf. Sci. 2014, 292, 806–812. [Google Scholar] [CrossRef]
- Asim, M.; Jawaid, M.; Abdan, K.; Ishak, M.R. Effect of Alkali and Silane Treatments on Mechanical and Fibre-matrix Bond Strength of Kenaf and Pineapple Leaf Fibres. J. Bionic Eng. 2016, 13, 426–435. [Google Scholar] [CrossRef]
- Hasan, A.; Rabbi, M.S.; Maruf Billah, M. Making the lignocellulosic fibers chemically compatible for composite: A comprehensive review. Clean. Mater. 2022, 4, 100078. [Google Scholar] [CrossRef]
- Acera Fernandez, J.; Le Moigne, N.; Bergeret, A. Modification of Flax Fibres for the Development of Epoxy-Based Biocomposites: Role of Cell Wall Components and Surface Treatments on the Microstructure and Mechanical Properties. PhD Thesis, University of Montpellier, Montpellier, France, 2015. [Google Scholar]
- Liu, X.D.; Nishi, N.; Tokura, S.; Sakairi, N. Chitosan coated cotton fiber: Preparation and physical properties. Carbohydr. Polym. 2001, 44, 233–238. [Google Scholar] [CrossRef]
- Prabhakar, M.N.; Song, J.-I. Fabrication and characterisation of starch/chitosan/flax fabric green flame-retardant composites. Int. J. Biol. Macromol. 2018, 119, 1335–1343. [Google Scholar]
- Dong, A.; Yu, Y.; Yuan, J.; Wang, Q.; Fan, X. Hydrophobic modification of jute fiber used for composite reinforcement via laccase-mediated grafting. Appl. Surf. Sci. 2014, 301, 418–427. [Google Scholar] [CrossRef]
- Khanbabaee, K.; van Ree, T. Tannins: Classification and definition. Nat. Prod. Rep. 2001, 18, 641–649. [Google Scholar]
- Falcão, L.; Araújo, M.E.M. Tannins characterization in historic leathers by complementary analytical techniques ATR-FTIR, UV-Vis and chemical tests. J. Cult. Herit. 2013, 14, 499–508. [Google Scholar] [CrossRef]
- Hemingway, R.W. Introduction to the chemistry and significance of condensed tannins. J. Eng. Appl. Sci. 1996, 2, 1382–1386. [Google Scholar]
- Karaseva, V.; Bergeret, A.; Lacoste, C.; Fulcrand, H.; Ferry, L. New biosourced flame retardant agents based on gallic and ellagic acids for epoxy resins. Molecules 2019, 24, 4305. [Google Scholar] [CrossRef] [PubMed]
- Laoutid, F.; Karaseva, V.; Costes, L.; Brohez, S.; Mincheva, R.; Dubois, P. Novel bio-based flame retardant systems derived from tannic acid. J. Renew. Mater. 2018, 6, 559–572. [Google Scholar] [CrossRef]
- Bayart, M.; Adjallé, K.; Diop, A.; Ovlaque, P.; Barnabé, S.; Robert, M.; Elkoun, S. PLA/flax fiber bio-composites: Effect of polyphenol-based surface treatment on interfacial adhesion and durability. Compos. Interfaces 2020, 28, 287–308. [Google Scholar] [CrossRef]
- Pantoja-Castroa, M.A.; González-Rodríguez, H. Study by infrared spectroscopy and thermogravimetric analysis of Tannins and Tannic acid. Rev. Latinoam. Quim. 2011, 39, 107–112. [Google Scholar]
- ASTM C1557-20 Standard Test Method for Tensile Strength and Young’s Modulus of Fibers. 2020. Available online: https://www.astm.org/c1557-20.html (accessed on 6 February 2024).
- AFNOR NF G07-316. Textiles—Essais des Fils—Détermination de la Masse Linéique. AFNOR Edition. 1988. Available online: https://www.boutique.afnor.org/fr-fr/norme/nf-g07316/textiles-essais-des-fils-determination-de-la-masse-lineique-resulte-de-linc/fa018845/8441 (accessed on 6 February 2024).
- AFNOR NF EN ISO 5084. Textiles—Détermination de L’épaisseur des Textiles et Produits Textiles. AFNOR Edition. 1996. Available online: https://www.boutique.afnor.org/fr-fr/norme/nf-en-iso-5084/textiles-determination-de-lepaisseur-des-textiles-et-produits-textiles/fa036917/8323 (accessed on 6 February 2024).
- AFNOR NF EN 12127. Textiles—Étoffes—Détermination de la Masse Surfacique sur de Petits Echantillons. AFNOR Edition. 1998. Available online: https://www.boutique.afnor.org/fr-fr/norme/nf-en-12127/textiles-etoffes-determination-de-la-masse-surfacique-sur-de-petits-echanti/fa041735/8381 (accessed on 6 February 2024).
- Hospodarova, V.; Singovszka, E.; Stevulova, N. Characterization of Cellulosic Fibers by FTIR Spectroscopy for Their Further Implementation to Building Materials. Am. J. Anal. Chem. 2018, 9, 303–310. [Google Scholar] [CrossRef]
- Stevulova, N.; Cigasova, J.; Estokova, A.; Terpakova, E.; Geffert, A.; Kacik, F.; Singovszka, E.; Holub, M. Properties characterization of chemically modified hemp hurds. Materials 2014, 7, 8131–8150. [Google Scholar] [CrossRef]
- Abdelmouleh, M.; Boufi, S.; Belgacem, M.N.; Duarte, A.P.; Ben Salah, A.; Gandini, A. Modification of cellulosic fibres with functionalised silanes: Development of surface properties. Int. J. Adhes. Adhes. 2004, 24, 43–54. [Google Scholar] [CrossRef]
- Pornwannachai, W.; Richard Horrocks, A.; Kandola, B.K. Surface Modification of Commingled Flax/PP and Flax/PLA Fibres by Silane or Atmospheric Argon Plasma Exposure to Improve Fibre–Matrix Adhesion in Composites. Fibers 2022, 10, 2. [Google Scholar] [CrossRef]
- Garside, P.; Wyeth, P. Identification of Cellulosic Fibres by FTIR Spectroscopy: Thread and Single Fibre Analysis by Attenuated Total Reflectance. Stud. Conserv. 2004, 48, 269–275. [Google Scholar] [CrossRef]
- Chen, K.; Xu, W.; Ding, Y.; Xue, P.; Sheng, P.; Qiiao, H.; He, J. Hemp-based all-cellulose composites through ionic liquid promoted controllable dissolution and structural control. Carbohydr. Polym. 2020, 235, 116027. [Google Scholar] [CrossRef]
- Müssig, J.; Fischer, H.; Graupner, N.; Drieling, A. Testing Methods for Measuring Physical and Mechanical Fibre Properties (Plant and Animal Fibres). In Industrial Applications of Natural Fibres: Structure, Properties and Technical Applications; Wiley: Hoboken, NJ, USA, 2010; pp. 267–309. [Google Scholar]
- Arkles, B.; Goff, J. Silanes & Silicones for Epoxy Resins; Gelest: Morrisville, PA, USA, 2004. [Google Scholar]
- Shan, S.; Ji, W.; Zhang, S.; Huang, Y.; Yu, Y.; Yu, W. Insights into the immobilization mechanism of tannic acid on bamboo cellulose fibers. Ind. Crops Prod. 2022, 182, 114836. [Google Scholar] [CrossRef]
- Nam, S.; Condon, B.D.; Xia, Z.; Madison, C.A. Intumescent flame-retardant cotton produced by tannic acid and sodium hydroxide. J. Anal. Appl. Pyrolysis 2017, 126, 239–246. [Google Scholar] [CrossRef]
- Friedman, M.; Juürgens, H.S. Effect of pH on the Stability of Plant Phenolic Compounds. J. Agric. Food Chem. 2000, 48, 2101–2110. [Google Scholar] [CrossRef]
- Dante, M.F.; Harvey, L.P. Process for Reacting a Phenol with an Epoxy Compound and Resulting Products. US Patent US3477990A, 11 November 1969. [Google Scholar]
- Singpee, D. Review on Natural Dyes for Textiles from Wastes; Samanta, A.K., Awwad, N.S., Algarni, H.M., Eds.; IntechOpen: London, UK, 2020; pp. 225–240. [Google Scholar]
- Romhány, G.; Karger-Kocsis, J.; Czigány, T. Tensile Fracture and Failure Behavior of Technical Flax Fibers. J. Appl. Polym. Sci. 2003, 90, 3638–3645. [Google Scholar] [CrossRef]
- Müssig, J.; Haag, K. The use of flax fibres as reinforcements in composites. In Biofiber Reinforcements in Composite Materials; Elsevier: Amsterdam, The Netherlands, 2015; pp. 35–85. [Google Scholar]
- Bos, H.L.; Donald, A.M. In situ ESEM study of the deformation of elementary flax fibres. J. Mater. Sci. 1999, 34, 3029–3034. [Google Scholar] [CrossRef]
- Sepe, R.; Bollino, F.; Boccarusso, L.; Caputo, F. Influence of chemical treatments on mechanical properties of hemp fiber reinforced composites. Compos. Part B Eng. 2018, 133, 210–217. [Google Scholar] [CrossRef]
- Galbe, M.; Wallberg, O. Pretreatment for biorefineries: A review of common methods for efficient utilisation of lignocellulosic materials. Biotechnol. Biofuels 2019, 12, 294. [Google Scholar] [CrossRef] [PubMed]
- Acera Fernández, J.; Le Moigne, N.; Caro-Bretelle, A.S.; El Hage, R.; Le Duc, A.; Lozachmeur, M.; Bono, P.; Bergeret, A. Role of flax cell wall components on the microstructure and transverse mechanical behaviour of flax fabrics reinforced epoxy biocomposites. Ind. Crops Prod. 2016, 85, 93–108. [Google Scholar] [CrossRef]
- Tran, T.P.T.; Bénézet, J.C.; Bergeret, A. Rice and Einkorn wheat husks reinforced poly(lactic acid) (PLA) biocomposites: Effects of alkaline and silane surface treatments of husks. Ind. Crops Prod. 2014, 58, 111–124. [Google Scholar] [CrossRef]
- Corbin, A.C.; Soulat, D.; Ferreira, M.; Labanieh, A.R.; Gabrion, X.; Placet, V. Multi-scale analysis of flax fibres woven fabrics for composite applications. IOP Conf. Ser. Mater. Sci. Eng. 2018, 406, 012016. [Google Scholar] [CrossRef]
- Omrani, F.; Wang, P.; Soulat, D.; Ferreira, M. Mechanical properties of flax-fibre-reinforced preforms and composites: Influence of the type of yarns on multi-scale characterisations. Compos. Part A Appl. Sci. Manuf. 2017, 93, 72–81. [Google Scholar] [CrossRef]

















| Abbreviation | Description |
|---|---|
| UR | Untreated rovings |
| TRS1 | Treated rovings with 1 wt.% APTES solution |
| TRS5 | Treated rovings with 5 wt.% APTES solution |
| TRQ5 | Treated rovings with 5 wt.% quebracho tannins |
| TRQ5N1 | Treated rovings with 5 wt.% quebracho tannins + 1 wt.% NaOH |
| Plain Woven | Satin Woven |
|---|---|
Ratio of 2![]() | Ratio of 5![]() |
| 1 wrap thread × 1 weft thread Offset 1 | 5 wrap threads × 5 weft threads Offset 2 |
| Abbreviation | Description | Abbreviation | Description |
|---|---|---|---|
| UP | Untreated plain![]() | US | Untreated satin![]() |
| TPS1 | Treated plain with 1 wt.% APTES![]() | TSS1 | Treated satin with 1 wt.% APTES![]() |
| TPS5 | Treated plain with 5 wt.% APTES![]() | TSS5 | Treated satin with 5 wt.% APTES![]() |
| TPQ5 | Treated plain with 1 wt.% Q![]() | TSQ5 | Treated satin with 1 wt.% Q![]() |
| TP5N1 | Treated plain with 5 wt.% Q + 1 wt.% NaOH![]() | TSQ5N1 | Treated satin with 5 wt.% Q + 1 wt.% NaOH![]() |
| Plain Fabric | Thickness (mm) | Areal Weight (g/m2) |
| UP | 0.9 | 484 ± 7 |
| TPS1 | 1.2 | 571 ± 6 |
| TPS5 | 1.2 | 571 ± 6 |
| TPQ5 | 1 | 525 ± 5 |
| TPQ5N1 | 1 | 556 ± 13 |
| Satin Fabric | Thickness (mm) | Areal Weight (g/m2) |
| US | 1.7 | 513 ± 31 |
| TSS1 | 2 | 676 ± 24 |
| TSS5 | 2 | 683 ± 38 |
| TSQ5 | 1.8 | 668 ± 38 |
| TSQ5N1 | 1.8 | 724 ± 30 |
Disclaimer/Publisher’s Note: The statements, opinions and data contained in all publications are solely those of the individual author(s) and contributor(s) and not of MDPI and/or the editor(s). MDPI and/or the editor(s) disclaim responsibility for any injury to people or property resulting from any ideas, methods, instructions or products referred to in the content. |
© 2024 by the authors. Licensee MDPI, Basel, Switzerland. This article is an open access article distributed under the terms and conditions of the Creative Commons Attribution (CC BY) license (https://creativecommons.org/licenses/by/4.0/).
Share and Cite
Tilouche-Guerdelli, K.; Lacoste, C.; Perrin, D.; Liotier, P.-J.; Ouagne, P.; Tirillò, J.; Sarasini, F.; Bergeret, A. Tannins as Biobased Molecules for Surface Treatments of Flax Wrapped Rovings for Epoxy/Flax Fabrics Biocomposites: Influence on Mechanical Properties through a Multi-Scale Approach. J. Compos. Sci. 2024, 8, 75. https://doi.org/10.3390/jcs8020075
Tilouche-Guerdelli K, Lacoste C, Perrin D, Liotier P-J, Ouagne P, Tirillò J, Sarasini F, Bergeret A. Tannins as Biobased Molecules for Surface Treatments of Flax Wrapped Rovings for Epoxy/Flax Fabrics Biocomposites: Influence on Mechanical Properties through a Multi-Scale Approach. Journal of Composites Science. 2024; 8(2):75. https://doi.org/10.3390/jcs8020075
Chicago/Turabian StyleTilouche-Guerdelli, Khouloud, Clément Lacoste, Didier Perrin, Pierre-Jacques Liotier, Pierre Ouagne, Jacopo Tirillò, Fabrizio Sarasini, and Anne Bergeret. 2024. "Tannins as Biobased Molecules for Surface Treatments of Flax Wrapped Rovings for Epoxy/Flax Fabrics Biocomposites: Influence on Mechanical Properties through a Multi-Scale Approach" Journal of Composites Science 8, no. 2: 75. https://doi.org/10.3390/jcs8020075
APA StyleTilouche-Guerdelli, K., Lacoste, C., Perrin, D., Liotier, P.-J., Ouagne, P., Tirillò, J., Sarasini, F., & Bergeret, A. (2024). Tannins as Biobased Molecules for Surface Treatments of Flax Wrapped Rovings for Epoxy/Flax Fabrics Biocomposites: Influence on Mechanical Properties through a Multi-Scale Approach. Journal of Composites Science, 8(2), 75. https://doi.org/10.3390/jcs8020075













