Guidance Method with Collision Avoidance Using Guiding Vector Field for Multiple Unmanned Surface Vehicles
Abstract
1. Introduction
- (1)
- A trajectory tracking guidance method based on a guiding vector field is proposed. Compared to the guidance methods presented in [1,39], the proposed method leverages the strengths of these methods and automatically adjusts the trajectory tracking modes based on different initial errors. This method enhances tracking performance and formation efficiency while maintaining stable heading and velocity.
- (2)
- A new collision avoidance strategy for multiple USVs in formation is proposed. Compared to the collision avoidance strategies based on APFs, this strategy incorporates two additional factors: headings and azimuth angles. This enhancement improves the accuracy of collision risk assessment. Simultaneously, in complex situations where multiple USVs are at risk of colliding with each other, this strategy effectively prevents further reductions in the distance between the USVs. And collision avoidance is achieved through the generation of heading and velocity adjustment commands. Additionally, the effectiveness of this strategy is proved theoretically.
2. Model and Problem Formulation
2.1. Motion Model of USVs
2.2. Problem Formulation
3. Guiding Vector Field Design
3.1. Problem Description of Trajectory Tracking
3.2. Novel Guiding Vector Field Design
4. Design of Collision Avoidance Strategy and Guidance Law
4.1. Strategy Design for Multi-USV Collision Avoidance
- (i)
- and ;
- (ii)
- and ;
- (iii)
- and ,
- (1)
- Currently, many collision avoidance studies rely solely on the distance as the trigger condition. However, differing headings could mean that even when the distance is close, a collision may not occur. In addition to considering distance, the heading and the relative azimuth between the USVs are incorporated in this paper to enhance the accuracy of collision risk assessment.
- (2)
- The distance for removing conditions is set larger than the safe distance to prevent oscillations in the heading and velocity of the USVs during the obstacle avoidance process.
- (3)
- When there is a risk of the USVs colliding with each other, the design of commands could enable the course safety of USVs in this complex situation. In addition, the temporary setting of the velocity command to zero is considering that there may be an unsolvable collision avoidance situation in multi-USV aggregations.
4.2. Design of the Heading Guidance Law
4.3. Design of the Velocity Guidance Law
5. Stability Analysis
6. Simulation Verification
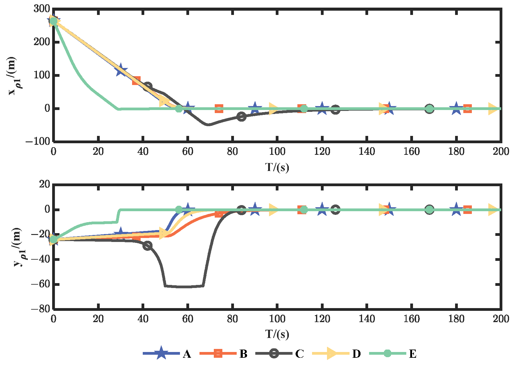
6.1. Guidance Tracking with Expected Formation
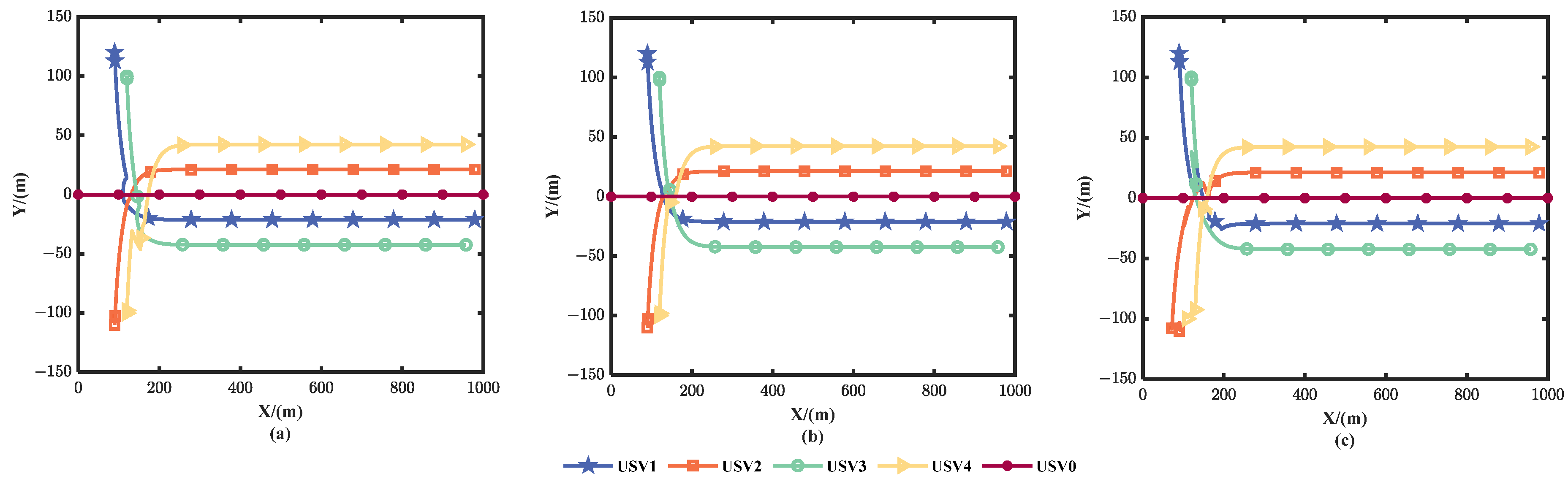
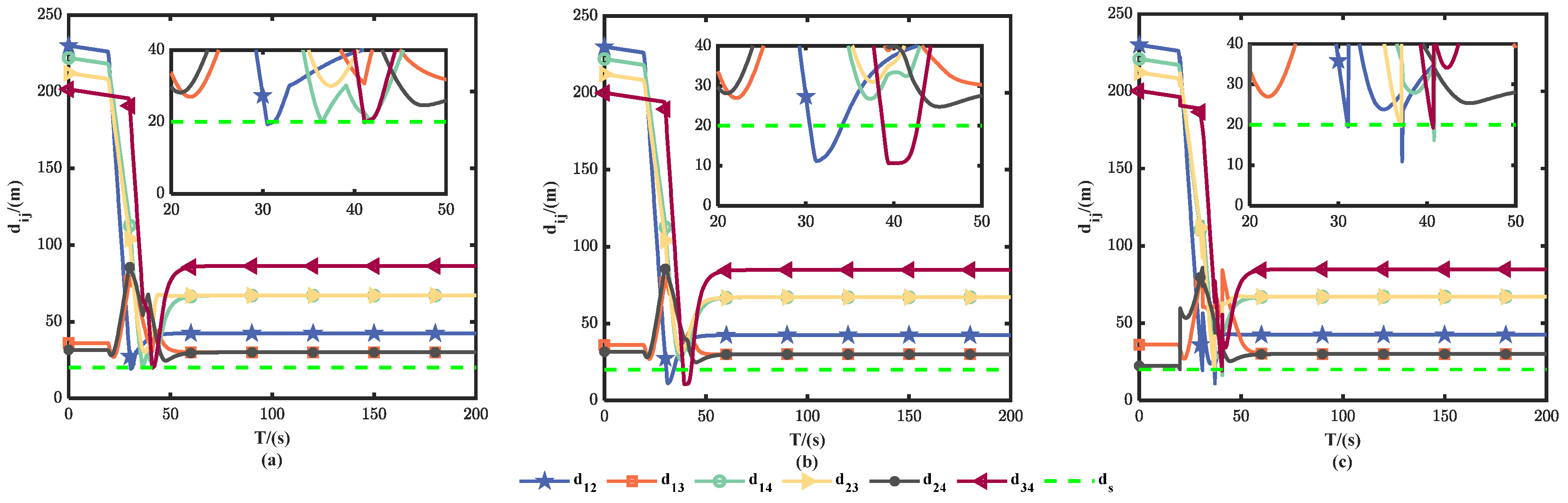
6.2. Formation Guidance with Collision Avoidance
7. Conclusions
- (1)
- The designed guiding vector field automatically selects the corresponding guidance tracking mode based on the relative initial positions of the USVs and the trajectory point. This allows the USVs to achieve efficient trajectory tracking and desired formation with a relatively stable heading and velocity. Comparative simulation results indicate that this method offers significant advantages over other trajectory guidance techniques.
- (2)
- The proposed collision avoidance strategy for multiple USVs is capable of addressing complex scenarios where simultaneous collision risks occur among USVs. This strategy, based on heading and velocity adjustments, ensures that USVs maintain the safe distances to prevent collisions, and it has been theoretically proven. Comparative simulations demonstrate the effectiveness and superiority of this approach.
Author Contributions
Funding
Data Availability Statement
Conflicts of Interest
References
- Tong, H.Y.; Fu, X.L.; Wang, H.B.; Shang, Z.; Wang, J.J. Global finite-time guidance algorithm and constrained formation control using novel nonlinear mapping function for underactuated multiple unmanned surface vehicles. Ocean Eng. 2024, 293, 116756. [Google Scholar] [CrossRef]
- Zhou, W.X.; Wang, Y.Y.; Choon Ki Ahn Cheng, J.; Chen, C.Y. Adaptive Fuzzy Backstepping-Based Formation Control of Unmanned Surface Vehicles with Unknown Model Nonlinearity and Actuator Saturation. IEEE Trans. Veh. Technol. 2020, 69, 14749–14764. [Google Scholar] [CrossRef]
- Saska, M.; Baca, T.; Thomas, J.; Chudoba, J.; Preucil, L.; Krajnik, T.; Faigl, J.; Loianno, G.; Kumar, V. System for deployment of groups of unmanned micro aerial vehicles in GPS-denied environments using on board visual relative localization. Auton. Robot. 2017, 41, 919–944. [Google Scholar] [CrossRef]
- Ghamry, K.A.; Dong, Y.; Kamel, M.A.; Zhang, Y. Real-time autonomous take-off, tracking and landing of UAV on a moving UGV platform. In Proceedings of the 2016 24th Mediterranean Conference on Control and Automation, Athens, Greece, 21–24 June 2016; pp. 1236–1241. [Google Scholar]
- Tan, K.H.; Lewis, M.A. Virtual structures for high-precision cooperative mobile robotic control. In Proceedings of the IEEE/RSJ International Conference on Intelligent Robots and Systems—IROS’96, Osaka, Japan, 8 November 1996; Volume 1, pp. 132–139. [Google Scholar]
- Ren, W.; Beard, R.W. Decentralized scheme for space craft formation flying via the virtual structure approach. J. Guid. Control Dyn. 2004, 27, 73–82. [Google Scholar] [CrossRef]
- Jadbabaie, A.; Lin, J.; Morse, A.S. Coordination of groups of mobile autonomous agents using nearest neighbor rules. IEEE Trans. Autom. Control 2003, 48, 988–1001. [Google Scholar] [CrossRef]
- Fu, Y.; Ding, M.; Zhou, C.; Hu, H. Route planning for unmanned aerial vehicle on the sea using hybrid differential evolution and quantum-behaved particles warm optimization. IEEE Trans. Syst. Man Cybern. Syst. 2013, 43, 1451–1465. [Google Scholar] [CrossRef]
- Leonard, N.E.; Fiorelli, E. Virtual leaders, artificial potentials and coordinated control of groups. In Proceedings of the IEEE Conference on Decision & Control, Orlando, FL, USA, 4–7 December 2001. [Google Scholar]
- Gu, N.; Wang, D.; Peng, Z.H.; Liu, L. Distributed containment maneuvering of uncertain under-actuated unmanned surface vehicles guided by multiple virtual leaders with a formation. Ocean Eng. 2019, 187, 105996. [Google Scholar] [CrossRef]
- Li, M.C.; Guo, C.; Yu, H.M.; Yuan, Y. Event-triggered containment control of networked underactuated unmanned surface vehicles with finite-time convergence. Ocean Eng. 2022, 246, 110568. [Google Scholar] [CrossRef]
- Wu, W.T.; Zhang, Y.B.; Zhang, W.D.; Xie, W. Distributed finite-time performance-prescribed time-varying formation control of autonomous surface vehicles with saturated inputs. Ocean Eng. 2022, 266, 112826. [Google Scholar] [CrossRef]
- Lia, X.J.; Qin, H.D.; Li, L.Y.; Xue, Y.F. Adaptive fixed-time fuzzy formation control for multiple AUV systems considering time-varying tracking error constraints and asymmetric actuator saturation. Ocean Eng. 2024, 266, 112826. [Google Scholar] [CrossRef]
- Hao, Y.; Hu, K.; Liu, L.; Li, J.X. Distributed dynamic event-triggered flocking control for multiple unmanned surface vehicles. Ocean Eng. 2024, 309, 118307. [Google Scholar] [CrossRef]
- Fossen, T.I.; Breivik, M.; Skjetne, R. Line-of-Sight Path Following of Underactuated Marine Craft. IFAC Proc. Vol. 2003, 36, 211–216. [Google Scholar] [CrossRef]
- Børhaug, E.; Pavlov, A.; Pettersen, K.Y. Integral LOS Control for Path Following of Underactuated Marine Surface Vessels in the Presence of Constant Ocean Currents. In Proceedings of the 47th IEEE Conference on Decision and Control, Cancun, Mexico, 9–11 December 2008; pp. 4984–4991. [Google Scholar]
- Zhu, H.; Yu, H.M.; Guo, C. Finite time PAILOS based path following control of underactuated marine surface vessel with input saturation. ISA Trans. 2023, 135, 66–77. [Google Scholar] [CrossRef] [PubMed]
- Qin, H.; Li, C.; Sun, Y.; Li, X.; Du, Y.; Deng, Z. Finite-time trajectory tracking control of unmanned surface vessel with error constraints and input saturations. J. Frankl. Inst. 2020, 357, 11472–11495. [Google Scholar] [CrossRef]
- Qin, H.; Chen, X.; Sun, Y. Adaptive state constrained trajectory tracking control of unmanned surface vessel with actuator saturation based on RBFNN and tan-type barrier Lyapunov function. Ocean Eng. 2022, 253, 110966. [Google Scholar] [CrossRef]
- Mu, D.; Li, L.; Wang, G.; Fan, Y.; Zhao, Y.; Sun, X. State constrained control strategy for unmanned surface vehicle trajectory tracking based on improved barrier Lyapunov function. Ocean Eng. 2023, 277, 114276. [Google Scholar] [CrossRef]
- Li, J.; Xiang, X.; Zhang, Q.; Yang, S. Robust practical prescribed time trajectory tracking of USV with guaranteed performance. Ocean Eng. 2024, 302, 117622. [Google Scholar] [CrossRef]
- Nelson, D.R.; Barber, D.B.; McLain, T.W.; Beard, R.W. Vector Field Path Following for Miniature Air Vehicles. IEEE Trans. Robot. 2007, 23, 519–529. [Google Scholar] [CrossRef]
- Kapitanyuk, Y.A.; Proskurnikov, A.V.; Cao, M. A guiding vector field algorithm for path following control of nonholonomic mobile robots. IEEE Trans. Control Syst. Technol. 2016, 26, 1372–1385. [Google Scholar] [CrossRef]
- Panagou, D. A Distributed Feedback Motion Planning Protocol for Multiple Unicycle Agents of Different Classes. IEEE Trans. Autom. Control 2017, 62, 1178–1193. [Google Scholar] [CrossRef]
- Yao, W.J.; Marina, H.D.; Cao, M. Vector Field Guided Path Following Control: Singularity Elimination and Global Convergence. In Proceedings of the 59th IEEE Conference on Decision and Control, Jeju, Republic of Korea, 14–18 December 2020; pp. 1–9. [Google Scholar]
- Yao, W.J.; Marina, H.D.; Lin, B.H. Singularity-Free Guiding Vector Field for Robot Navigation. IEEE Trans. Robot. 2021, 37, 1206–1221. [Google Scholar] [CrossRef]
- Wilhelm, J.P.; Clem, G. Vector Field UAV Guidance for Path Following and Obstacle Avoidance with Minimal Deviation. J. Guid. Control Dyn. 2019, 42, 1848–1856. [Google Scholar] [CrossRef]
- Panagou, D. Motion Planning and Collision Avoidance using Navigation Vector Fields. In Proceedings of the IEEE International Conference on Robotics and Automation, Hong Kong, China, 31 May–7 June 2014; pp. 1–6. [Google Scholar]
- Peng, Z.H.; Wang, D.; Li, T.S.; Han, M. Output-Feedback Cooperative Formation Maneuvering of Autonomous Surface Vehicles with Connectivity Preservation and Collision Avoidance. IEEE Trans. Cybern. 2020, 50, 2527–2535. [Google Scholar] [CrossRef]
- Gu, N.; Wang, D.; Peng, Z.H.; Lu, L. Observer-Based Finite-Time Control for Distributed Path Maneuvering of Underactuated Unmanned Surface Vehicles with Collision Avoidance and Connectivity Preservation. IEEE Trans. Syst. Man Cybern. Syst. 2021, 51, 5105–5115. [Google Scholar] [CrossRef]
- Wang, P.; Yong, K.N.; Chen, M.; Zhang, X.B. Output-Feedback Flexible Performance-Based Safe Formation for Underactuated Unmanned Surface Vehicles. IEEE Trans. Intell. Veh. 2023, 8, 2437–2447. [Google Scholar] [CrossRef]
- Wu, W.; Tong, S.C. Collision-Free Finite-Time Adaptive Fuzzy Output-Feedback Formation Control for Unmanned Surface Vehicle Systems. IEEE Trans. Intell. Veh. 2024, 9, 1094–1103. [Google Scholar] [CrossRef]
- Li, C.Y.; Xu, H.X.; Yu, W.Z.; Du, Z.; Liu, Y.C. Exponential smoothing-based fixed-time path-guided coordinated control of unmanned surface vehicles under communication interruption. Ocean Eng. 2024, 298, 117119. [Google Scholar] [CrossRef]
- Mwaffo, V. Formation control and collision avoidance of unmanned water surface vehicles in maritime environments. J. Frankl. Inst. 2024, 361, 106791. [Google Scholar] [CrossRef]
- Qian, G.H.; Zheng, X.; Wang, J.H.; Xie, Z.G.; Wu, Q.W.; Xu, W. Equilateral triangular formation of unmanned surface vehicles for target tracking with event-triggered collision avoidance. Ocean Eng. 2023, 267, 113211. [Google Scholar] [CrossRef]
- Wang, N.; He, H.K.; Hou, Y.L.; Han, B. Model-Free Visual Servo Swarming of Manned-Unmanned Surface Vehicles with Visibility Maintenance and Collision Avoidance. IEEE Trans. Intell. Transp. Syst. 2024, 25, 697–708. [Google Scholar] [CrossRef]
- Lv, G.H.; Peng, Z.H.; Wang, H.L.; Liu, L.; Wang, D.; Li, T.S. Extended-state-observer-based distributed model predictive formation control of under-actuated unmanned surface vehicles with collision avoidance. Ocean Eng. 2021, 238, 109587. [Google Scholar] [CrossRef]
- Wang, W.; Gao, X.; Li, T.; Wang, Y.; Chen, C.P. Observer-Based Platoon Formation Control with Prescribed Performance Guarantees for Unmanned Surface Vehicles in Presence of Non smooth Input Characteristics. IEEE Trans. Circuits Syst. 2024, 71, 1226–1230. [Google Scholar] [CrossRef]
- Tang, C.C.; Zhang, H.T.; Cao, H.S.; Wang, J. Time-Varying Formation Control of Autonomous Surface Vehicles Based on Affine Observer. IEEE Trans. Ind. Electron. 2024, 71, 12952–12963. [Google Scholar] [CrossRef]
- Zhang, L.; Zheng, Y.; Huang, B.; Su, Y. Finite-time trajectory tracking control for under-actuated unmanned. Ocean Eng. 2022, 249, 110745. [Google Scholar] [CrossRef]
- Goncalves, V.M.; Pimenta, L.C.; Maia, C.A.; Dutra, B.C.; Pereira, G.A. Vector fields for robot navigation along time-varying curves in n-dimensions. IEEE Trans. Robot. 2010, 26, 647–659. [Google Scholar] [CrossRef]
- Yao, W.J.; Lin, B.H.; Ming, C. Integrated Path Following and Collision Avoidance Using a Composite Vector Field. In Proceedings of the 58th IEEE Conference on Decision and Control, Nice, France, 11–13 December 2019; pp. 250–255. [Google Scholar]
- Zheng, Y.; Tao, J.; Hartikainen, J.; Duan, F.; Sun, H.; Sun, M.; Sun, Q.; Zeng, X.; Chen, Z.; Xie, G. DDPG based LADRC trajectory tracking control for underactuated unmanned ship under environmental disturbances. Ocean Eng. 2023, 271, 113667. [Google Scholar] [CrossRef]
- Deng, Q.; Peng, Y.; Qu, D.; Han, T.; Zhan, X.S. Neuro-adaptive containment control of unmanned surface vehicles with disturbance observer and collision-free. ISA Trans. 2022, 129, 150–156. [Google Scholar] [CrossRef]

























| Guidance Methods | The Values of Parameters |
|---|---|
| Method “A” | ; , ; , , . |
| Comparison method “B” | , . |
| Comparison method “C” | , , . |
| Comparison method “D” | . |
| Comparison method “E” | ¬¬¬¬¬¬¬¬¬¬¬¬¬¬¬¬¬¬¬¬¬¬————— |
| A | B | C | D | E | ||
|---|---|---|---|---|---|---|
| Straight trajectory | 24.29 | 78.66 | 359.57 | 35.80 | 128.79 | |
| 368.98 | 399.19 | 369.23 | 392.24 | 370.49 | ||
| Curve trajectory | 394.19 | 646.51 | 1300.51 | 768.72 | 940.14 | |
| 112.90 | 279.73 | 1053.62 | 141.87 | 731.09 | ||
| The formation of USVs | The parameters of USVs for straight trajectory: , , , ; , , , ; , , . The parameters of USVs for curved trajectory: , , , ; , , , ; , , . |
| Collision avoidance strategy | , . |
| , , , , . | |
Disclaimer/Publisher’s Note: The statements, opinions and data contained in all publications are solely those of the individual author(s) and contributor(s) and not of MDPI and/or the editor(s). MDPI and/or the editor(s) disclaim responsibility for any injury to people or property resulting from any ideas, methods, instructions or products referred to in the content. |
© 2025 by the authors. Licensee MDPI, Basel, Switzerland. This article is an open access article distributed under the terms and conditions of the Creative Commons Attribution (CC BY) license (https://creativecommons.org/licenses/by/4.0/).
Share and Cite
Wei, J.; Zhang, J.; Li, H.; Xia, J.; Liu, Z. Guidance Method with Collision Avoidance Using Guiding Vector Field for Multiple Unmanned Surface Vehicles. Drones 2025, 9, 105. https://doi.org/10.3390/drones9020105
Wei J, Zhang J, Li H, Xia J, Liu Z. Guidance Method with Collision Avoidance Using Guiding Vector Field for Multiple Unmanned Surface Vehicles. Drones. 2025; 9(2):105. https://doi.org/10.3390/drones9020105
Chicago/Turabian StyleWei, Junbao, Jianqiang Zhang, Haiyan Li, Jiawei Xia, and Zhong Liu. 2025. "Guidance Method with Collision Avoidance Using Guiding Vector Field for Multiple Unmanned Surface Vehicles" Drones 9, no. 2: 105. https://doi.org/10.3390/drones9020105
APA StyleWei, J., Zhang, J., Li, H., Xia, J., & Liu, Z. (2025). Guidance Method with Collision Avoidance Using Guiding Vector Field for Multiple Unmanned Surface Vehicles. Drones, 9(2), 105. https://doi.org/10.3390/drones9020105
