Performance Analysis of Two Receiver Arrangements for Wireless Battery Charging System
Abstract
1. Introduction
2. WBC Background
2.1. Battery Charging
2.2. Analysis of SP Topology
3. FOMs and Their Calculation
3.1. FOMs Introduction
3.2. FOMs Calculation
3.3. WBC Arrangements #1
3.4. WBC Arrangements #2

4. Arrangement Comparison
4.1. Study Case
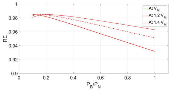
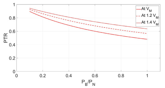
4.2. PTR, RE, and Efficiency
4.3. Arrangement #1
4.4. Arrangement #2
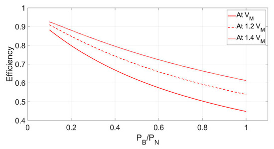
4.5. Efficiency Comparison
4.6. PSSF and RCSF
5. Effect on the Chopper
6. Experimental Analysis
7. Conclusions
Author Contributions
Funding
Data Availability Statement
Conflicts of Interest
Nomenclature
| WBCSs | Wireless Battery Charging Systems | 
| PFC | Power Factor Correction | 
| HFI | High-Frequency Inverter | 
| CN | Compensation Network | 
| EV | Electrical Vehicle | 
| SS | Series–Series | 
| SP | Series–Parallel | 
| FOM | Figure of Merit | 
| CC | Constant Current | 
| CV | Constant Voltage | 
| IB | Battery Current | 
| VB | Battery Voltage | 
| RB | Battery resistance | 
| PB | Battery power | 
| Ico | Cutoff current | 
| Vco | Cutoff voltage | 
| ICC | Normalized current in CC mode | 
| VM | Normalized maximum voltage of battery | 
| RN | Normalized resistance at point N | 
| PN | Normalized power at point N | 
| Power source voltage | |
| Transmitter-side current | |
| Receiver-side current | |
| CT | Transmitter-side resonant capacitor | 
| CR | Receiver-side resonant capacitor | 
| Transmitter coil terminal voltage | |
| Receiver coil terminal voltage | |
| rT | Transmitter coil parasitic resistance | 
| rR | Receiver coil parasitic resistance | 
| Transmitter coil induce voltage | |
| Receiver coil induce voltage | |
| Receiver-side capacitor current | |
| Load current | |
| RL | Load resistance | 
| Voltage across RL | |
| M | Mutual inductance | 
| ω | Supply angular frequency | 
| η | Efficiency | 
| PTR | Power Transfer Ratio | 
| RE | Receiver Efficiency | 
| PSSF | Power Source Sizing Factor | 
| RCSF | Receiver Coil Sizing Factor | 
| PS | Power source output power | 
| PR | Power transfer to receiver | 
| AS | Power source sizing power | 
| AR | Receiver coil sizing power | 
| Loss of transmitter coil | |
| Loss of receiver coil | |
| LDC | Low pass filter inductor | 
| CDC | Low pass filter capacitor | 
| VDC | Voltage across CDC in arrangement #2 | 
| δ | Chopper duty cycle | 
Appendix A
References
- Kumar, A.; Singh, A.R.; Meena, N.K.; Deng, Y.; He, X.; Kumar, P.; Bansal, R.C. Design and Evaluation of Microgrids Based on Renewable Energy Technologies with a Perspective of Sustainable Development. Bansal Handb. Renew. Energy Technol. Syst. 2021, 385–415. [Google Scholar] [CrossRef]
 - Rangu, S.K.; Lolla, P.R.; Dhenuvakonda, K.R.; Singh, A.R. Recent trends in power management strategies for optimal operation of distributed energy resources in microgrids: A comprehensive review. Int. J. Energy Res. 2020, 44, 9889–9911. [Google Scholar] [CrossRef]
 - Vázquez-Leal, H.; Gallardo-Del-Angel, A.; Castañeda-Sheissa, R.; González-Martínez, F.J. The phenomenon of wireless energy transfer: Experiment and philosophy. In Wireless Power Transfer—Principles and Engineering Explorations; Kim, K.Y., Ed.; IntechOpen: London, UK, 2012. [Google Scholar]
 - Bertoluzzo, M.; Mude, K.N.; Buja, G. Preliminary investigation on contactless energy transfer for electric vehicle battery recharging. In Proceedings of the 2012 IEEE 7th International Conference on Industrial and Information Systems (ICIIS), Madras, India, 6–9 August 2012; pp. 1–6. [Google Scholar]
 - Buja, G.; Jha, R.K.; Bertoluzzo, M.; Naik, M.K. Analysis and comparison of two wireless battery charger arrangements for electric vehicles. Chin. J. Electr. Eng. 2015, 1, 50–57. [Google Scholar]
 - Tuttle, D.P.; Baldick, R. The evolution of plug-in electric vehicle grid interactions. IEEE Trans. Smart Grid 2012, 3, 500–505. [Google Scholar] [CrossRef]
 - Kaneko, Y.; Abe, S. Technology trends of wireless power transfer systems for electric vehicle and plug-in hybrid electric vehicle. In Proceedings of the 2013 IEEE 10th International Conference on Power Electronics and Drive Systems (PEDS), Kitakyushu, Japan, 22–25 April 2013; pp. 1009–1014. [Google Scholar]
 - Mude, K.N.; Bertoluzzo, M.; Buja, G. Design of contactless battery charger for electric vehicle. In Proceedings of the African Electrical Technology Conference, Pamplemousses, Mauritius, 12–15 May 2013; pp. 1099–1104. [Google Scholar]
 - Zhou, W.; Ma, H. Design considerations of compensation topologies in ICPT system. In Proceedings of the APEC 07-Twenty-Second Annual IEEE Applied Power Electronics Conference and Exposition, Anaheim, CA, USA, 25 February–1 March 2007; pp. 985–990. [Google Scholar]
 - Zhang, W.; Wong, S.-C.; Tse, C.K.; Chen, Q. Analysis and comparison of secondary series- and parallel-compensated inductive power transfer systems operating for optimal efficiency and load-independent voltage-transfer ratio. IEEE Trans. Power Electron. 2014, 29, 2979–2990. [Google Scholar] [CrossRef]
 - Bertoluzzo, M.; Buja, G.; Mude, K.N. Characteristic Evaluation of Wireless Battery Chargers for Electric Vehicles. Electromotion 2013, 20, 103–108. [Google Scholar]
 - Li, W.; Zhao, H.; Li, S.; Deng, J.; Kan, T.; Mi, C.C. Integrated LCC Compensation Topology for Wireless Charger in Electric and Plug-in Electric Vehicles. IEEE Trans. Ind. Electron. 2015, 62, 4215–4225. [Google Scholar] [CrossRef]
 - Pantic, Z.; Bhattacharya, S.; Lukic, S. Optimal resonant tank design considerations for primary track compensation in inductive power transfer systems. In Proceedings of the IEEE Energy Conversion Congress and Exposition (ECCE), Atlanta, GA, USA, 2-16 September 2010; pp. 1602–1609. [Google Scholar]
 - Bailian, N.; Chung, C.Y.; Chan, H.L. Design and comparison of parallel and series resonant topology in wireless power transfer. In Proceedings of the IEEE (ICIEA), Melbourne, Australia, 19–21 June 2013; pp. 1832–1837. [Google Scholar]
 - Pantic, Z.; Lukic, S. Framework and topology for active tuning of parallel compensated receivers in wireless power transfer systems. IEEE Trans. Power Electron. 2012, 99, 1–10. [Google Scholar]
 - Kumar, A.; Bertoluzzo, M.; Jha, R.K.; Sagar, A. Analysis of Losses in Two Different Control Approaches for S-S Wireless Power Transfer Systems for Electric Vehicle. Energies 2023, 16, 1795. [Google Scholar] [CrossRef]
 - Keeling, N.A.; Covic, G.A.; Boys, J.T. A Unity-Power-Factor IPT Pickup for High-Power Applications. IEEE Trans. Ind. Electron. 2010, 57, 744–751. [Google Scholar] [CrossRef]
 - Chao, Y.-H.; Shieh, J.-J.; Pan, C.-T.; Shen, W.-C.; Chen, M.-P. A Primary-Side Control Strategy for Series-Parallel Loosely Coupled Inductive Power Transfer Systems. In Proceedings of the IEEE Conference on Industrial Electronics and Applications (ICIEA), Harbin, China, 23–25 May 2007; pp. 2322–2327. [Google Scholar]
 - Chen, J.; Maksimovic, D.; Erickson, R. Buck-boost PWM converters having two independently controlled switches. In Proceedings of the IEEE Power Electronics Specialists Conference (PESC), Vancouver, BC, Canada, 17–21 June 2001; Volume 2, pp. 736–741. [Google Scholar]
 - Yao, C.; Ruan, X.; Cao, W.; Chen, P. A Two-Mode Control Scheme with Input Voltage Feed-Forward for the Two-Switch Buck-Boost DC–DC Converter. IEEE Trans. Power Electron. 2014, 29, 2037–2048. [Google Scholar] [CrossRef]
 - Colak, K.; Bojarski, M.; Asa, E.; Czarkowski, D. A constant resistance analysis and control of cascaded buck and boost converter for wireless EV chargers. In Proceedings of the IEEE Applied Power Electronics Conference and Exposition (APEC), Charlotte, NC, USA, 15–19 March 2015; pp. 3157–3161. [Google Scholar]
 - Wu, H.H.; Covic, G.A.; Boys, J.T.; Hu, A.P. A 1 kW inductive charging system using AC processing pickups. In Proceedings of the IEEE Industrial Electronics and Applications (ICIEA), Beijing, China, 21–23 June 2011; pp. 1999–2004. [Google Scholar]
 - Sagar, A.; Kumar, A.; Bertoluzzo, M.; Jha, R.K. Analysis and Design of a Two-winding Wireless Power Transfer System with Higher System Efficiency and Maximum Load Power. In Proceedings of the IECON 2022—48th Annual Conference of the IEEE Industrial Electronics Society, Brussels, Belgium, 18–21 October 2022; pp. 1–6. [Google Scholar]
 - Sagar, A.; Bertoluzzo, M.; Kumar, A. Analysis and Comprehensive Comparison of Wireless Power Transfer System Using SS and SP topology for Electric Vehicle Charging. In Proceedings of the 2023 International Conference on Computational Intelligence, Communication Technology and Networking (CICTN), Ghaziabad, India, 20–21 April 2023; pp. 235–240. [Google Scholar]
 - Haller, S.; Alam, M.F.; Bertilsson, K. Reconfigurable Battery for Charging 48 V EVs in High-Voltage Infrastructure. Electronics 2022, 11, 353. [Google Scholar] [CrossRef]
 - Buja, G.; Bertoluzzo, M.; Mude, K.N. Design and Experimentation of WPT Charger for Electric City-Car. IEEE Trans. Ind. Electron. 2015, 62, 7436–7447. [Google Scholar] [CrossRef]
 - Bertoluzzo, M.; Giacomuzzi, S.; Kumar, A. Design of a Bidirectional Wireless Power Transfer System for Vehicle-to-Home Applications. Vehicles 2021, 3, 406–425. [Google Scholar] [CrossRef]
 















| Data | Symbol | Value | 
|---|---|---|
| Battery voltages | Vco, VM | 36, 56 V | 
| Battery currents | ICC, Ico | 10, 1 A | 
| Battery resistances | RI, RN, RF | 3.6, 5.6, 56 Ω | 
| Battery power | PI, PN, PF | 360, 560, 56 W | 
| Trans. and rec. coil inductances | LT, LR | 120 μH | 
| Trans. and rec. coil parasitic resistance | rT, rR | 0.5 Ω | 
| Trans. and rec. resonant capacitances | CT, CR | 29 nF | 
| Mutual inductance | M | 30 μH | 
| Supply angular frequency | ω | 2π·85,000 rad/s | 
Disclaimer/Publisher’s Note: The statements, opinions and data contained in all publications are solely those of the individual author(s) and contributor(s) and not of MDPI and/or the editor(s). MDPI and/or the editor(s) disclaim responsibility for any injury to people or property resulting from any ideas, methods, instructions or products referred to in the content.  | 
© 2023 by the authors. Licensee MDPI, Basel, Switzerland. This article is an open access article distributed under the terms and conditions of the Creative Commons Attribution (CC BY) license (https://creativecommons.org/licenses/by/4.0/).
Share and Cite
Kumar, A.; Jha, R.K.; Bertoluzzo, M.; Khadse, C.B.; Jaiswal, S.; Mulay, G.; Sagar, A. Performance Analysis of Two Receiver Arrangements for Wireless Battery Charging System. Designs 2023, 7, 92. https://doi.org/10.3390/designs7040092
Kumar A, Jha RK, Bertoluzzo M, Khadse CB, Jaiswal S, Mulay G, Sagar A. Performance Analysis of Two Receiver Arrangements for Wireless Battery Charging System. Designs. 2023; 7(4):92. https://doi.org/10.3390/designs7040092
Chicago/Turabian StyleKumar, Abhay, Rupesh Kumar Jha, Manuele Bertoluzzo, Chetan B. Khadse, Swati Jaiswal, Gourang Mulay, and Amritansh Sagar. 2023. "Performance Analysis of Two Receiver Arrangements for Wireless Battery Charging System" Designs 7, no. 4: 92. https://doi.org/10.3390/designs7040092
APA StyleKumar, A., Jha, R. K., Bertoluzzo, M., Khadse, C. B., Jaiswal, S., Mulay, G., & Sagar, A. (2023). Performance Analysis of Two Receiver Arrangements for Wireless Battery Charging System. Designs, 7(4), 92. https://doi.org/10.3390/designs7040092
        
