Reproductive Parameters of the Western Tubenose Goby (Proterorhinus semilunaris) from Žitný Island, Slovakia, in Connection with Its Invasive Potential
Abstract
1. Introduction
2. Materials and Methods
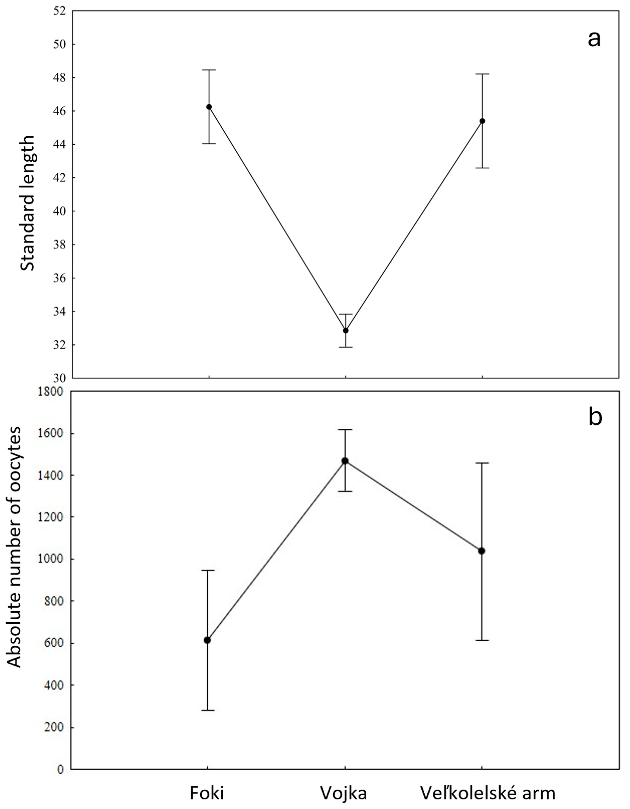
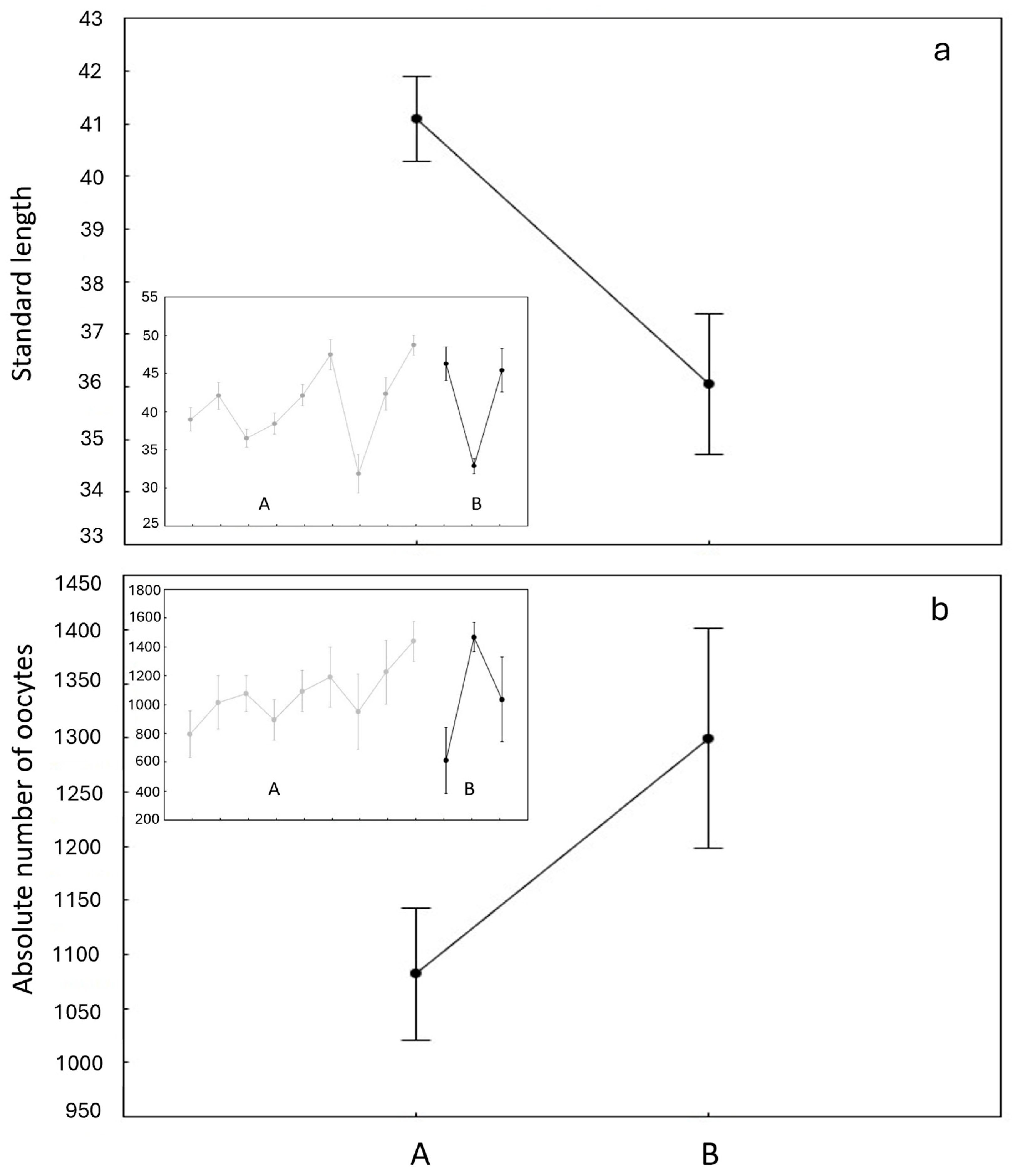
3. Results
4. Discussion
4.1. Sex Ratio and Condition
4.2. Reproductive Parameters
4.3. Invasive Potential
5. Conclusions
Author Contributions
Funding
Institutional Review Board Statement
Data Availability Statement
Conflicts of Interest
Abbreviations
| ANO | Absolute number of oocytes |
| RNO | Relative number of oocytes |
| GSI | Gonadosomatic index |
| W | Body weight |
| TL | Total length |
| F | Female |
| M | Male |
| SL | Standard length |
| AOIP | Alternative ontogenies and invasive potential |
References
- West-Eberhard, M.J. Developmental Plasticity and Evolution, 1st ed.; Oxford University Press: Oxford, UK, 2003; 916p. [Google Scholar]
- Pfenning, D.W. Key Questions about Phenotypic Plasticity. In Phenotypic Plasticity & Evolution: Causes, Consequences, Controversies, 1st ed.; Pfennig, D.W., Ed.; CRC Press: Abingdon, UK, 2021; pp. 55–88. [Google Scholar]
- Sultan, S.E. Phenotypic Plasticity as an Intrinsic Property of Organisms. In Phenotypic Plasticity & Evolution: Causes, Consequences, Controversies, 1st ed.; Pfennig, D.W., Ed.; CRC Press: Abingdon, UK, 2021; pp. 3–24. [Google Scholar]
- Diamond, S.E.; Martin, R.A. Buying time: Plasticity and population persistence. In Phenotypic Plasticity & Evolution: Causes, Consequences, Controversies, 1st ed.; Pfennig, D.W., Ed.; CRC Press: Abingdon, UK, 2021; pp. 185–209. [Google Scholar]
- Levis, N.A.; Pfennig, D.W. Innovation and diversification via plasticity-led evolution. In Phenotypic Plasticity & Evolution: Causes, Consequences, Controversies, 1st ed.; Pfennig, D.W., Ed.; CRC Press: Abingdon, UK, 2021; pp. 211–240. [Google Scholar]
- Burton, T.; Ratikainen, I.I.; Einum, S. Environmental Change and the Rate of Phenotypic Plasticity. Glob. Change Biol. 2022, 28, 5337–5345. [Google Scholar]
- Sultan, S.E.; Stearns, S.C. Environmentally contingent variation: Phenotypic plasticity and norms of reaction. In Variation: A Hierarchical Examination of a Central Concept in Biology, 1st ed.; Hall, B., Hallgrimsson, B., Eds.; Elsevier Academic Press: New York, NY, USA, 2005; pp. 303–332. [Google Scholar]
- Zhou, L.; Ouyang, X.; Zhao, Y.; Gomes-Silva, G.; Segura-Muñoz, S.I.; Jourdan, J.; Riesch, R.; Plath, M. Invasive Fish Retain Plasticity of Naturally Selected, but Diverge in Sexually Selected Traits. Sci. Total Environ. 2022, 811, 152386. [Google Scholar] [CrossRef]
- Bensky, M.K.; Bell, A.M. A Behavioral Syndrome Linking Boldness and Flexibility Facilitates Invasion Success in Sticklebacks. Am Nat. 2022, 200, 846–856. [Google Scholar] [CrossRef]
- Price, T.D.; Qvarnström, A.; Irwin, D.E. The Role of Phenotypic Plasticity in Driving Genetic Evolution. Proc. R. Soc. B 2003, 270, 1433–1440. [Google Scholar] [CrossRef]
- Hôrková, K.; Kováč, V. Rapid Response of Invasive Round Goby (Neogobius melanostomus) (Pallas, 1814) to an Environmental Perturbation Demonstrated in Reproductive Parameters of Females. J. Appl. Ichthyol. 2015, 31, 328–332. [Google Scholar] [CrossRef]
- Slovák Švolíková, K.; Števove, B.; Križek, P.; Mosná, P.; Fedorčák, J.; Kováč, V. Tubenose Goby—A Discreet Invader from the Past Goes Figher. J. Vertebr. Biol. 2021, 70, 21042.1-13. [Google Scholar]
- Záhorská, E.; Balážová, M.; Ciceková, J.; Zięba, G. Is Temperature a Primary Source of Morphological Variability? A Case Study of Pumpkinseed Populations from Different Habitats Near the Thermal Power Plant Dolna Odra (Poland). J. Vertebr. Biol. 2024, 73, 24059. [Google Scholar] [CrossRef]
- Cammaerts, R.; Spikmans, F.; van Kessel, N.; Verreycken, H.; Chérot, F.; Demol, T.; Richez, S. Colonization of the Border Meuse Area (The Netherlands and Belgium) by the Non-native Western Tubenose Goby Proterorhinus semilunaris (Heckel, 1837) (Teleostei, Gobiidae). Aquat. Invasions 2012, 7, 251–258. [Google Scholar] [CrossRef]
- Jude, D.J.; Reider, R.H.; Smith, G.R. Establishment of Gobiidae in the Great Lakes Basin. Can. J. Fish. Aquat. Sci. 1992, 49, 416–421. [Google Scholar] [CrossRef]
- Kocovsky, P.M.; Tallman, J.A.; Jude, D.J.; Murphy, D.M.; Brown, J.E.; Stepien, C.A. Expansion of Tubenose Gobies Proterorhinus semilunaris into Western Lake Erie and Potential Effects on Native Species. Biol. Invasions 2011, 13, 2775–2784. [Google Scholar] [CrossRef]
- Goretzke, J.A.; Windle, M.J.; Farrell, J.M. Range Expansion of the Western Tubenose Goby (Proterorhinus semilunaris Heckel, 1837) in Eastern Lake Ontario and the Upper St. Lawrence River. BioInvasions Rec. 2019, 8, 684–698. [Google Scholar] [CrossRef]
- Grant, K.A.; Shadle, M.J.; Andraso, G. First Report of Tubenose Goby (Proterorhinus semilunaris) in the Eastern Basin of Lake Erie. J. Great Lakes Res. 2012, 38, 821–824. [Google Scholar] [CrossRef]
- Goldsmit, J.; Paradis, Y.; Vachon, N.; Boivin, V.; Morissette, O.; Drouin, A. The Western Tubenose Goby (Proterorhinus semilunaris Heckel, 1837) is Expanding its Range into the St. Lawrence River: First Record in Quebec. BioInvasions Rec. 2023, 12, 851–860. [Google Scholar] [CrossRef]
- Grabowska, J.; Błońska, D.; Ondračková, M.; Kakareko, T. The Functional Ecology of Four Invasive Ponto–Caspian Gobies. Rev. Fish Biol. Fisheries 2023, 33, 1329–1352. [Google Scholar] [CrossRef]
- French, J.R.P., III; Jude, D.J. Diet and Diet Overlap of Nonindigenous Gobies and Small Benthic Native Fishes Coinhabiting the St. Clair River, Michigan. J. Great Lakes Res. 2001, 27, 300–311. [Google Scholar] [CrossRef]
- Ondračková, M.; Všetičková, L.; Adámek, Z.; Kopeček, L.; Jurajda, P. Ecological Plasticity of Tubenose Goby, a Small Invader in South Moravian Waters. Hydrobiologia 2019, 829, 217–235. [Google Scholar] [CrossRef]
- Jude, D.J.; Janssen, J.; Crawford, G. Ecology, distribution, and impact of the newly introduced round tubenose gobies on the biota of the St. Clair and Detroit rivers. In The Lake Huron Ecosystem: Ecology, Fisheries, and Management, 1st ed.; Munawar, M., Edsall, T., Leach, J., Eds.; Academic Publishing: Amsterdam, The Netherlands, 1995; pp. 447–460. [Google Scholar]
- Grabowska, J.; Tarkan, A.S.; Błońska, D.; Karakuş, N.T.; Bartosz, J.; Przybylski, M. Prolific Pioneers and Reserved Settlers. Changes in the Life-history of the Western Tubenose Goby (Proterorhinus semilunaris) at Different Invasion Stages. Sci. Total Environ. 2021, 750, 142316. [Google Scholar] [CrossRef]
- Záhorská, E.; Kubala, M.; Balážová, M. From Native to Invasive. Shifts in Strategy of Western Tubenose Goby in Slovakia. TrJFAS 2025, 25, TRJFAS26602. [Google Scholar] [CrossRef]
- Holčík, J.; Hensel, K. Ichtyologická príručka. In Handbook of Ichthyology; Obzor: Bratislava, Slovakia, 1972; 217p. [Google Scholar]
- Le Cren, E.D. The Length-Weight Relationship and Seasonal Cycle in Gonad Weight and Condition in the Perch (Perca fluviatilis). J. Anim. Ecol. 1951, 20, 201–219. [Google Scholar] [CrossRef]
- Trujillo-García, M.; Ceballos-Vázquez, B.P.; Guevara-Fiore, P.; Klug, H. An Overview of Post-Fertilization Parental Care in Gobiidae. Diversity 2025, 17, 446. [Google Scholar] [CrossRef]
- Brandner, J.; Pander, J.; Mueller, M.; Cerwenka, A.F.; Geist, J. Effects of Sampling Techniques on Population Assessment of Invasive Round Goby Noeogobius melanostomus. J. Fish Biol. 2013, 82, 2063–2079. [Google Scholar] [CrossRef]
- Didenko, A.; Volikov, Y.; Gurbyk, A.; Kruzhylina, S.; Buzevych, I.; Bekh, V. Population Dynamics and Feeding Ecology of the Western Tubenose Goby (Proterorhinus semilunaris) in the Stugna River, Dnieper River basin, Ukraine. Int. J. Oceanogr. Hydrobiol. 2024, 53, 61–70. [Google Scholar] [CrossRef]
- Grabowska, J.; Błońska, D.; Marszał, L.; Przybylski, M. Reproductive Traits of the Established Population of Invasive Western Tubenose Goby, Proterorhinus semilunaris (Actinopterygii: Perciformes: Gobiidae), in the Vistula River, Poland. AIeP 2019, 49, 355–364. [Google Scholar] [CrossRef]
- Valová, Z.; Konečná, M.; Janáč, M.; Jurajda, P. Population and Reproductive Characteristics of a Non-native Western Tubenose Goby (Proterorhinus semilunaris) Population Unaffected by Gobiid Competitors. Aquat. Invasions 2015, 10, 57–68. [Google Scholar] [CrossRef]
- Saç, G. Bio-Ecological Traits of Western Tubenose Goby Proterorhinus semilunaris (Heckel, 1837): A Key to Understand Its Invasion Success. Water 2019, 11, 1247. [Google Scholar] [CrossRef]
- Top, N.; Karakuş, U.; Tepeköy, E.G.; Britton, J.R.; Tarkan, A.S. Plasticity in Habitat Use of Two Native Ponto-Caspian Gobies, Proterorhinus semilunaris and Neogobius fluviatilis: Implications for Invasive Populations. Knowl. Manag. Aquat. Ecosyst. 2019, 420, 40. [Google Scholar] [CrossRef]
- Hôrková-Žitňanová, K.; Švolíková, K.; Haruštiaková, D.; Kováč, V. A New Approach to Evaluate Reproductive Traits in Batch-Spawning Fishes of Indeterminate Fecundity and Asynchronous Oocyte Maturation. Rev. Fish. Sci. Aquac. 2021, 29, 666–681. [Google Scholar] [CrossRef]
- Cerwenka, A.F.; Brandner, J.; Dashinov, D.; Geist, J. Small but Mighty: The Round Goby (Neogobius melanostomus) as a Model Species of Biological Invasions. Diversity 2023, 15, 528. [Google Scholar] [CrossRef]
- Záhorská, E.; Švolíková, K.; Kováč, V. Do Invasive Populations of Topmouth Gudgeon (Pseudorasbora parva, Temminck and Schlegel) from Disturbed and Undisturbed Habitats Follow Different Life-histories? Int. Rev. Hydrobiol. 2013, 98, 61–70. [Google Scholar] [CrossRef]
- Geist, V. How genes communicate with the environment—The biology of inequality. In Life Strategies, Human Evolution, Environmental Design; Toward a Biological Theory of Health; Geist, V., Ed.; Springer Verlag: New York, NY, USA, 1978; pp. 116–144. [Google Scholar]
- Masson, L.; Masson, G.; Beisel, J.N.; Gutowsky, L.F.G.; Fox, M.G. Consistent Life History Shifts Along Invasion Routes? An Examination of Round Goby Populations Invading on Two Continents. Divers. Distrib. 2018, 24, 841–852. [Google Scholar] [CrossRef]
- Gozlan, R.E.; Záhorská, E.; Cherif, E.; Asaeda, T.; Britton, J.R.; Chang, C.-H.; Hong, T.; Miranda, R.; Musil, J.; Povz, M.; et al. Native drivers of fish life history traits are lost during the invasion process. Ecol. Evol. 2020, 10, 8623–8633. [Google Scholar] [CrossRef]
- Záhorská, E.; Kováč, V. Environmentally Induced Shift in Reproductive Traits of a Long-term Established Population of Topmouth Gudgeon (Pseudorasbora parva). J. Appl. Ichthyol. 2013, 29, 218–220. [Google Scholar] [CrossRef]
- Fox, R.J.; Donelson, J.M.; Schunter, C.; Ravasi, T.; Gaitán-Espitia, J.D. Beyond buying time: The Role of Plasticity in Phenotypic Adaptation to Rapid Environmental Change. Phil. Trans. R. Soc. B 2019, 374, 20180174. [Google Scholar] [CrossRef] [PubMed]
- Záhorská, E.; Balážová, M.; Gozlan, R.E. Exploring Morphological Variation and Evolutionary Adaptation During Biological Invasions in Fish. J. Fish. Biol. 2025, accepted. [CrossRef] [PubMed]
- Shi, L.; Xiang, T.; Dong, X.; Wang, H.; Xie, P. Latitudinal Migrations and “Matthew Effect” for Invasive Fish Under Dispersal Limitation in an Endemic Biodiversity Hotspot. 2025. Available online: https://ssrn.com/abstract=5102311 (accessed on 28 August 2025).
- Van De Bund, W. Water Framework Directive Intercalibration Technical Report. Part 1: Rivers; EUR 23838 EN/1; OPOCE: Luxembourg, Luxembourg, 2009. [Google Scholar]





| n | SL (mm) | W (g) | EW (g) | W Gonads (g) | |
|---|---|---|---|---|---|
| Foki | 13 | 40.20–53.00 (46.25) | 1.77–3.60 (2.55) | 1.48–2.66 (1.96) | 0.05–0.71 (0.28) |
| Vojka | 65 | 26.60–44.70 (32.85) | 0.37–2.45 (1.08) | 0.17–1.66 (0.79) | 0.04–0.72 (0.16) |
| Veľkolelské arm | 8 | 36.50–52.5 (45.40) | 1.52–3.75 (2.79) | 1.07–2.76 (2.02) | 0.11–0.83 (0.39) |
| n | GSI (%) | ANO | RNO | DO | |
|---|---|---|---|---|---|
| Foki | 13 | 3.02–28.83(13.75) | 114–1121 (613) | 181–1916 (1183) | 0.10–1.80 (0.61) |
| Vojka | 65 | 5.64–93.27(20.46) | 163–3997 (1469) | 114–3206 (1140) | 0.08–1.81 (0.61) |
| Veľkolelské arm | 8 | 6.15–38.24(20.93) | 474–2049 (1035) | 833–2868 (1979) | 0.10–1.93 (0.66) |
| Percentage of Oocyte Size Groups | Size of Oocytes in Each Size Group | ||||
|---|---|---|---|---|---|
| Site | n | 1 | 2 | I | II |
| Foki | 13 | 15.4 | 84.6 | 0.10–0.95 | 0.41–1.80 |
| Vojka | 65 | 8.7 | 92.3 | 0.08–1.09 | 0.65–1.81 |
| Veľkolelské arm | 8 | 0.1 | 100.0 | 0.10–0.97 | 0.42–1.93 |
| Site | n | SL (mm) | W (g) | EW (g) | W Gonads (g) | GSI |
|---|---|---|---|---|---|---|
| Foki | 29 | 36.00–62.00 (56.00) | 1.11–6.59 (4.75) | 1.00–6.01 (4.30) | 0.02–0.12 (0.06) | 0.52–2.69 (1.45) |
| Vojka | 60 | 27.20–57.40 (40.30) | 0.57–5.37 (2.08) | 0.42–4.76 (1.85) | 0.01–0.09 (0.04) | 0.56–10.72 (2.66) |
| Veľkolelské arm | 3 | 30.70–54.80 (44.03) | 0.83–4.57 (2.65) | 0.67–4.17 (2.36) | 0.04–0.08 (0.07) | 1.65–6.26 (3.90) |
| Site | n | Females | n | Males |
|---|---|---|---|---|
| Foki | 13 | 1.18–1.69 (1.35) | 29 | 1.17–1.73 (1.45) |
| Vojka | 65 | 0.68–2.02 (1.55) | 60 | 1.27–1.83 (1.51) |
| Veľkolelské arm | 8 | 1.22–1.99 (1.64) | 3 | 1.41–1.59 (1.47) |
Disclaimer/Publisher’s Note: The statements, opinions and data contained in all publications are solely those of the individual author(s) and contributor(s) and not of MDPI and/or the editor(s). MDPI and/or the editor(s) disclaim responsibility for any injury to people or property resulting from any ideas, methods, instructions or products referred to in the content. |
© 2025 by the authors. Licensee MDPI, Basel, Switzerland. This article is an open access article distributed under the terms and conditions of the Creative Commons Attribution (CC BY) license (https://creativecommons.org/licenses/by/4.0/).
Share and Cite
Záhorská, E.; Balážová, M.; Kečkéšová, A.; Gruľa, D. Reproductive Parameters of the Western Tubenose Goby (Proterorhinus semilunaris) from Žitný Island, Slovakia, in Connection with Its Invasive Potential. Fishes 2025, 10, 528. https://doi.org/10.3390/fishes10100528
Záhorská E, Balážová M, Kečkéšová A, Gruľa D. Reproductive Parameters of the Western Tubenose Goby (Proterorhinus semilunaris) from Žitný Island, Slovakia, in Connection with Its Invasive Potential. Fishes. 2025; 10(10):528. https://doi.org/10.3390/fishes10100528
Chicago/Turabian StyleZáhorská, Eva, Mária Balážová, Andrea Kečkéšová, and Daniel Gruľa. 2025. "Reproductive Parameters of the Western Tubenose Goby (Proterorhinus semilunaris) from Žitný Island, Slovakia, in Connection with Its Invasive Potential" Fishes 10, no. 10: 528. https://doi.org/10.3390/fishes10100528
APA StyleZáhorská, E., Balážová, M., Kečkéšová, A., & Gruľa, D. (2025). Reproductive Parameters of the Western Tubenose Goby (Proterorhinus semilunaris) from Žitný Island, Slovakia, in Connection with Its Invasive Potential. Fishes, 10(10), 528. https://doi.org/10.3390/fishes10100528

